Post-Hurricane Damage Severity Classification at the Individual Tree Level Using Terrestrial Laser Scanning and Deep Learning
Abstract
1. Introduction
2. Materials and Methods
2.1. Study Area
2.2. TLS Data Acquisition and Processing
2.3. CNN Models and Accuracy Assessment
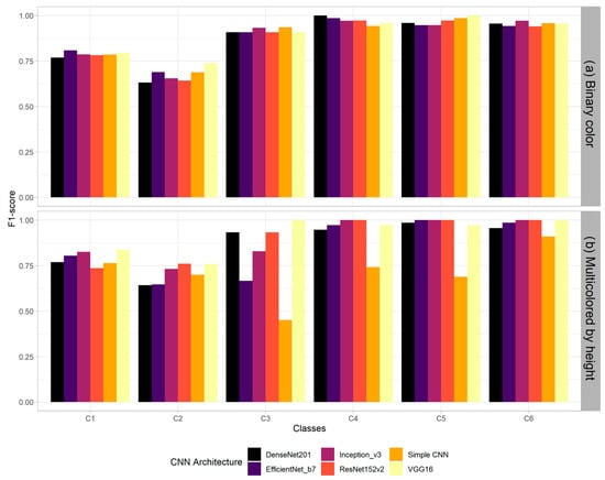
3. Results
4. Discussion
5. Conclusions
Supplementary Materials
Author Contributions
Funding
Acknowledgments
Conflicts of Interest
References
- Lugo, A.E.; Applefield, M.; Pool, D.J.; McDonald, R.B. The impact of Hurricane David on forests of Dominica. Can. J. For. Res. 1983, 13, 201–211. [Google Scholar] [CrossRef]
- Gresham, C.A.; Williams, T.M.; Lipscomb, D.J. Hurricane Hugo wind damage to southeastern U.S. coastal forest tree species. Biotropica 1991, 23, 420–446. [Google Scholar] [CrossRef]
- Tanner, E.V.J.; Kampos, V.; Healey, J.R. Hurricane effects on forest ecosystems in the Caribbean. Biotropica 1991, 23, 512–521. [Google Scholar] [CrossRef]
- Lin, T.C.; Hamburg, S.P.; Hsia, Y.J.; Lin, T.T.; King, H.B.; Wang, L.J.; Lin, K.C. Influence of typhoon disturbances on the understory light regime and stand dynamics of a subtropical rain forest in northeastern Taiwan. J. For. Res. 2003, 8, 139–145. [Google Scholar] [CrossRef]
- Mitchell, S.J. Wind as a natural disturbance agent in forests: A synthesis. Forestry 2013, 86, 147–157. [Google Scholar] [CrossRef]
- Whigham, D.F.; Olmsted, I.; Cano, E.C.; Harmon, M.E. The impact of Hurricane Gilbert on trees, litterfall, and woody debris in a dry tropical forest in the northeastern Yucatan Peninsula. Biotropica 1991, 32, 434–441. [Google Scholar] [CrossRef]
- Liu, K.B.; Lu, H.; Shen, C. A 1200-year proxy record of hurricanes and fires from the Gulf of Mexico coast: Testing the hypothesis of hurricane-fire interactions. Quat. Res. 2008, 69, 29–41. [Google Scholar] [CrossRef]
- Evans, A.M.; Camp, A.E.; Tyrrell, M.L.; Riely, C.C. Biotic and abiotic influences on wind disturbance in forests of NW Pennsylvania, USA. For. Ecol. Manag. 2007, 245, 44–53. [Google Scholar] [CrossRef]
- Achim, A.; Ruel, J.-C.; Gardiner, G.L.; Meunier, S. Modelling the vulnerability of balsam fir forests to wind damage. For. Ecol. Manag. 2005, 204, 35–50. [Google Scholar] [CrossRef]
- Schroeder, L.M.; Eidmann, H.H. Attacks of bark and wood boring Coleoptera on snow broken conifers over a two-year period. Scand. J. For. Res. 1993, 8, 257–265. [Google Scholar] [CrossRef]
- Oliver, C.D.; Larson, B.C. Forest Stand Dynamics; Wiley: New York, NY, USA, 1996; p. 520. [Google Scholar]
- Seidl, R.; Thom, D.; Kautz, M.; Martin-Benito, D.; Peltoniemi, M.; Vacchiano, G.; Wild, J.; Ascoli, D.; Petr, M.; Honkaniemi, J.; et al. Forest disturbances under climate change. Nat. Clim. Chang. 2017, 7, 395–402. [Google Scholar] [CrossRef] [PubMed]
- Sharma, A.; Ojha, S.K.; Dimov, L.D.; Vogel, J.; Nowak, J. Long-term effects of catastrophic wind on southern US coastal forests: Lessons from a major hurricane. PLoS ONE 2021, 16, 243–362. [Google Scholar] [CrossRef]
- Xi, W.; Peet, R.K.; Urban, D.L. Changes in forest structure, species diversity and spatial pattern following hurricane disturbance in a Piedmont North Carolina forest, USA. J. Plant Ecol. 2008, 1, 43–57. [Google Scholar] [CrossRef]
- Zampieri, N.E.; Pau, S.; Okamoto, D.K. The impact of Hurricane Michael on longleaf pine habitats in Florida. Sci. Rep. 2020, 10, 8483. [Google Scholar] [CrossRef]
- Rutledge, B.T.; Cannon, J.B.; McIntyre, R.K.; Holland, A.M.; Jack, S.B. Tree, Stand, and Landscape Factors Contributing to Hurricane Damage in a Coastal Plain Forest: Post-Hurricane Assessment in a Longleaf Pine Landscape. For. Ecol. Manag. 2021, 481, 118724. [Google Scholar] [CrossRef]
- Bigelow, S.; Looney, C.; Cannon, J.B. Hurricane effects on climate-adaptive silviculture treatments to longleaf pine woodland in southwestern Georgia, USA. For. Int. J. For. Res. 2020, 94, 395–406. [Google Scholar] [CrossRef]
- Willson, K.G.; Cox, L.E.; Hart, J.L.; Dey, D.C. Three-dimensional light structure of an upland Quercus stand post-tornado disturbance. J. For. Res. 2020, 31, 141–153. [Google Scholar] [CrossRef]
- Bender, M.A.; Knutson, T.R.; Tuleya, R.E.; Sirutis, J.J.; Vecchi, G.A.; Garner, S.T.; Held, I.M. Modeled impact of anthropogenic warming on the frequency of intense Atlantic hurricanes. Science 2010, 327, 454–458. [Google Scholar] [CrossRef]
- Gresham, F.M. Conceptualizing behavior disorders in terms of resistance to intervention. Sch. Psychol. Rev. 1991, 20, 23–36. [Google Scholar] [CrossRef]
- Provencher, L.; Litt, A.R.; Gordon, D.R.; LeRoy Rodgers, H.; Herring, B.J.; Galley, K.E.M.; McAdoo, J.P.; McAdoo, S.J.; Gobris, N.M.; Hardesty, J.L. Restoration fire and hurricanes in longleaf pine sandhills. Ecol. Restor. 2001, 19, 92–98. [Google Scholar] [CrossRef]
- McIntyre, R.K.; Jack, S.B.; Mitchell, R.J.; Hiers, J.K.; Neel, W.L. Multiple Value Management: The Stoddard-Neel Approach to Ecological Forestry in Longleaf Pine Grasslands; Joseph, W., Ed.; Jones Ecological Research Center at Ichauway: Newton, GA, USA, 2008; p. 31. [Google Scholar]
- Blackman, R.; Yuan, F. Detecting Long-Term Urban Forest Cover Change and Impacts of Natural Disasters Using High-Resolution Aerial Images and LiDAR Data. Remote Sens. 2020, 12, 1820. [Google Scholar] [CrossRef]
- Silva, C.A.; Saatchi, S.; Alonso, M.G.; Labriere, N.; Klauberg, C.; Ferraz, A.; Meyer, V.; Jeffery, K.J.; Abernethy, K.; White, L.; et al. Comparison of Small- and Large-Footprint Lidar Characterization of Tropical Forest Aboveground Structure and Biomass: A Case Study From Central Gabon. IEEE J. Sel. Top. Appl. Earth Obs. Remote Sens. 2018, 11, 3512–3526. [Google Scholar] [CrossRef]
- Chambers, J.Q.; Fisher, J.I.; Zeng, H.; Chapman, E.L.; Baker, D.B.; Hurtt, G.C. Hurricane Katrina’s carbon footprint on US Gulf Coast forests. Science 2007, 318, 1107. [Google Scholar] [CrossRef] [PubMed]
- Russell, M.; Eitel, J.U.H.; Link, T.E.; Silva, C.A. Important Airborne Lidar Metrics of Canopy Structure for Estimating Snow Interception. Remote Sens. 2021, 1, 4188. [Google Scholar] [CrossRef]
- Klauberg, C.; Hudak, A.T.; Silva, C.A.; Lewis, S.A.; Robichaud, P.R.; Jain, T.B. Characterizing fire effects on conifers at tree level from airborne laser scanning and high-resolution, multispectral satellite data. Ecol. Model. 2019, 412, 108820. [Google Scholar] [CrossRef]
- Silva, V.S.; Silva, C.A.; Mohan, M.; Cardil, A.; Rex, F.E.; Loureiro, G.H.; Almeida, D.R.A.; Broadbent, E.N.; Gorgens, E.B.; Dalla Corte, A.P.; et al. Combined Impact of Sample Size and Modeling Approaches for Predicting Stem Volume in Eucalyptus spp. Forest Plantations Using Field and LiDAR Data. Remote Sens. 2020, 12, 1438. [Google Scholar] [CrossRef]
- Cunha Neto, E.M.; Veras, H.F.P.; Moraes, A.; Klauberg, C.; Mohan, M.; Cardil, A.; Broadbent, E.N. Measuring Individual Tree Diameter and Height Using GatorEye High-Density UAV-Lidar in an Integrated Crop-Livestock-Forest System. Remote Sens. 2020, 12, 863. [Google Scholar] [CrossRef]
- Silva, C.A.; Duncansona, L.; Hancockb, S.; Neuenshwanderc, A.; Thomasd, N.; Hofton, M.; Simardd, M.; Armston, J.; Feng, T.; Montesano, P.; et al. Mapping Tropical Forest Aboveground Biomass Density from Synergism of GEDI, ICESat-2, and NISAR data. Remote Sens. Environ. 2022. in review. [Google Scholar]
- Silva, C.A.; Klauberg, C.; Hudak, A.T.; Vierling, L.A.; Liesenberg, V.; Bernett, L.G.; Scheraiber, C.; Schoeninger, E. Estimating Stand Height and Tree Density in Pinus taeda plantations using in-situ data, airborne LiDAR and k-Nearest Neighbor Imputation. An. Acad. Bras. Ciências 2018, 90, 295–309. Available online: https://www.scielo.br/j/aabc/a/JjVJzFxjcyMWyQxRrbyCbjR/?lang=en (accessed on 10 December 2022). [CrossRef]
- Jaafar, W.S.W.M.; Woodhouse, I.H.; Silva, C.A.; Omar, H.; Maulud, K.N.A.; Hudak, A.T.; Klauberg, C.; Cardil, A.; Mohan, M. Improving Individual Tree Crown Delineation and Attributes Estimation of Tropical Forests Using Airborne LiDAR Data. Forests 2018, 9, 759. [Google Scholar] [CrossRef]
- Béland, M.; Widlowski, J.-L.; Fournier, R.A.; Côté, J.-F.; Verstraete, M.M. Estimating leaf area distribution in savanna trees from terrestrial LiDAR measurements. Agric. For. Meteorol. 2011, 151, 1252–1266. [Google Scholar] [CrossRef]
- Calders, K.; Newnham, G.; Burt, A.; Murphy, S.; Raumonen, P.; Herold, M.; Culvenor, D.S.; Avitabile, V.; Disney, M.; Armston, J.; et al. Nondestructive estimates of above-ground biomass using terrestrial laser scanning. Methods Ecol. Evol. 2014, 6, 198–208. [Google Scholar] [CrossRef]
- Dobre, A.C.; Pascu, I.-S.; Leca, Ș.; Garcia-Duro, J.; Dobrota, C.-E.; Tudoran, G.M.; Badea, O. Applications of TLS and ALS in Evaluating Forest Ecosystem Services: A Southern Carpathians Case Study. Forests 2021, 12, 1269. [Google Scholar] [CrossRef]
- Leite, R.V.; Silva, C.A.; Mohan, M.; Cardil, A.; Almeida, D.R.A.; Carvalho, S.P.C.; Jaafar, W.S.W.M.; Guerra-Hernández, J.; Weiskittel, A.; Hudak, A.T.; et al. Individual Tree Attribute Estimation and Uniformity Assessment in Fast-Growing Eucalyptus spp. Forest Plantations Using Lidar and Linear Mixed-Effects Models. Remote Sens. 2020, 12, 3599. [Google Scholar] [CrossRef]
- Ma, L.; Liu, Y.; Zhang, X.; Ye, Y.; Yin, G.; Johnson, B.A. Deep learning in remote sensing applications: A meta-analysis and review. ISPRS J. Photogramm. Remote Sens. 2019, 152, 166–177. [Google Scholar]
- Liu, H.; Shen, X.; Cao, L.; Yun, T.; Zhang, Z.; Fu, X.; Chen, X.; Liu, F. Deep Learning in Forest Structural Parameter Estimation Using Airborne LiDAR Data. IEEE J. Sel. Top. Appl. Earth Obs. Remote Sens. 2021, 14, 1603–1618. [Google Scholar] [CrossRef]
- Abdi, O.; Uusitalo, J.; Kivinen, V.-P. Logging Trail Segmentation via a Novel U-Net Convolutional Neural Network and High-Density Laser Scanning Data. Remote Sens. 2022, 14, 349. [Google Scholar] [CrossRef]
- Dalagnol, R.; Wagner, F.H.; Emilio, T.; Streher, A.S.; Galvão, L.S.; Ometto, J.P.H.B.; Aragão, L.E.O.C. Canopy palm cover across the Brazilian Amazon forests mapped with airborne LiDAR data and deep learning. Remote Sens. Ecol. Conserv. 2022, 8, 579–760. Available online: https://zslpublications.onlinelibrary.wiley.co (accessed on 10 December 2022). [CrossRef]
- Ferreira, M.P.; de Almeida, D.R.A.; Papa, D.A.; Minervino, J.B.S.; Veras, H.F.P.; Formighieri, A.; Santos, C.A.N.; Ferreira, M.A.D.; Figueiredo, E.O.; Ferreira, E.J.L. Individual tree detection and species classification of Amazonian palms using UAV images and deep learning. For. Ecol. Manag. 2020, 475, 118397. [Google Scholar] [CrossRef]
- Nezami, N.S.; Khoramshahi, E.; Nevalainen, O.; Pölönen, I.; Honkavaara, E. Tree Species Classification of Drone Hyperspectral and RGB Imagery with Deep Learning Convolutional Neural Networks. Remote Sens. 2020, 12, 1070. [Google Scholar] [CrossRef]
- Goyal, A.; Law, H.; Liu, B.; Newell, A.; Deng, J. Revisiting point cloud shape classification with a simple and effective baseline. Int. Conf. Mach. Learn. 2021, 139, 3809–3820. [Google Scholar] [CrossRef]
- Xi, Z.; Hopkinson, C.; Rood, S.B.; Peddle, D.R. See the forest and the trees: Effective machine and deep learning algorithms for wood filtering and tree species classification from terrestrial laser scanning. ISPRS J. Photogramm. Remote Sens. 2020, 168, 1–16. [Google Scholar] [CrossRef]
- Allen, M.J.; Grieve, S.W.D.; Owen, H.J.F.; Lines, E.R. Tree species classification from complex laser scanning data in Mediterranean forests using deep learning. Methods Ecol. Evol. 2022, 1–11. [Google Scholar] [CrossRef]
- Klauberg, C.; Vogel, J.; Dalagnol, R.; Ferreira, M.; Broadbent, E.N.; Hamamura, C.; Souza, D.R.F.; Nogueira, L.G.A.; Silva, C.A. rTLsDeep: An R Package for Post-Hurricane Damage Severity Classification at the Individual Tree Level Using Terrestrial Laser Scanning and Deep Learning. Version 0.0.1. Available online: https://github.com/carlos-alberto-silva/rTLsDeep (accessed on 30 December 2022).
- Georgia Forestry Commission. TIMBER IMPACT ASSESSMENT Hurricane Michael. 10-11 October 2018. Available online: https://gatrees.org/wp-content/uploads/2020/01/Hurricane-MichaelTimber-Impact-Assessment-Georgia-October-10-11-2018-2.pdf (accessed on 3 October 2022).
- RiSCAN Pro® Version 2.9.0. RIEGL RIEGL VZ-400 VZ-400. RIEGL Laser Measurement Systems GmbH. 2019. Available online: http://www.riegl.com/products/software-packages/riscan-pro/ (accessed on 1 November 2022).
- CloudCompare®. CloudCompare (Version 2.12). Available online: http://www.cloudcompare.org/ (accessed on 1 July 2022).
- Huang, G.; Liu, Z.; Maaten, L.V.D.; Weinberger, K.Q. Densely Connected Convolutional Networks. arXiv 2017, arXiv:1608.06993. [Google Scholar]
- Kattenborn, T.; Leitloff, J.; Schiefer, F.; Hinz, S. Review on Convolutional Neural Networks (CNN) in vegetation remote sensing. ISPRS J. Photogramm. Remote Sens. 2021, 173, 24–49. [Google Scholar] [CrossRef]
- Tan, M.; Le, Q.V. EfficientNet: Rethinking Model Scaling for Convolutional Neural Networks. In Proceedings of the 36th International Conference on Machine Learning, Long Beach, CA, USA, 9–15 June 2019; pp. 6105–6114. Available online: https://proceedings.mlr.press/v97/tan19a.html (accessed on 10 December 2022).
- Szegedy, C.; Liu, W.; Jia, Y.; Sermanet, P.; Reed, S.; Anguelov, D.; Erhan, D.; Vanhoucke, V.; Rabinovich, A. Going deeper with convolutions. In Proceedings of the IEEE Conference on Computer Vision and Pattern Recognition, Boston, MA, USA, 7–12 June 2015; pp. 1–9. [Google Scholar]
- Szegedy, C.; Vanhoucke, V.; Ioffe, S.; Shlens, J.; Wojna, Z. Rethinking the inception architecture for computer vision. In Proceedings of the IEEE Conference on Computer Vision and Pattern Recognition, Las Vegas, NV, USA, 27–30 June 2016; pp. 2818–2826. [Google Scholar]
- Krizhevsky, A.; Sutskever, I.; Hinton, G.E. Imagenet classification with deep convolutional neural networks. Commun. ACM 2017, 60, 84–90. [Google Scholar] [CrossRef]
- He, K.; Zhang, X.; Ren, S.; Sun, J. Identity mappings in deep residual networks. In European Conference on Computer Vision; Springer: Berlin/Heidelberg, Germany, 2016; pp. 630–645. [Google Scholar]
- Shimodaira, H. Improving predictive inference under covariate shift by weighting the log-likelihood function. J. Stat. Plan. Inference 2000, 90, 227–244. [Google Scholar] [CrossRef]
- Simonyan, K.; Zisserman, A. Very deep convolutional networks for large-scale image recognition. arXiv 2014, arXiv:1409.1556. [Google Scholar]
- He, K.; Zhang, X.; Ren, S.; Sun, J. Deep residual learning for image recognition. In Proceedings of the IEEE Conference on Computer Vision and Pattern Recognition (CVPR), Las Vegas, NV, USA, 27–30 June 2016; pp. 770–778. [Google Scholar] [CrossRef]
- Deng, J.; Dong, W.; Socher, R.; Li, L.J.; Li, K.; Li, F.-F. Imagenet: A large-scale hierarchical image database. In Proceedings of the 2009 IEEE Conference on Computer Vision and Pattern Recognition, Miami, FL, USA, 20–25 June 2009; pp. 248–255. [Google Scholar]
- Kingma, D.P.; Ba, J. Adam: A method for stochastic optimization. arXiv 2014, arXiv:1412.6980. [Google Scholar]
- Cohen, J. A Coefficient of Agreement for Nominal Scales. Educ. Psychol. Meas. 1960, 20, 37–46. [Google Scholar] [CrossRef]
- Seidel, D.; Annighöfer, P.; Thielman, A.; Seifert, Q.E.; Thauer, J.H.; Glatthorn, J.; Ehbrecht, M.; Kneib, T.; Ammer, C. Predicting Tree Species From 3D Laser Scanning Point Clouds Using Deep Learning. Front. Plant Sci. 2021, 12, 635440. [Google Scholar] [CrossRef] [PubMed]
- Cadieu, C.F.; Hong, H.; Yamins, D.L.K.; Pinto, N.; Ardila, D.; Solomon, E.A.; Majaj, N.J.; DiCarlo, J.J. Deep neural networks rival the representation of primate it cortex for core visual object recognition. PLoS Comput. Biol. 2014, 10, e1003963. [Google Scholar] [CrossRef] [PubMed]
- Scherer, D.; Müller, A.; Behnke, S. Evaluation of pooling operations in convolutional architectures for object recognition. In International Conference on Artificial Neural Networks; Diamantaras, K., Duch, W., Iliadis, L.S., Eds.; Springer: Berlin/Heidelberg, Germany, 2010; Volume 6354, pp. 92–101. [Google Scholar] [CrossRef]






| Validation Data | Architecture | Overall Accuracy (OA) | Kappa Statistic | Mean F1-Score |
|---|---|---|---|---|
| Binary color (Black and white) | DenseNet201 | 0.8725 | 0.84631 | 0.87107 |
| EfficientNet_b7 | 0.8435 | 0.85814 | 0.88065 | |
| Inception_v3 | 0.8774 | 0.85228 | 0.87754 | |
| ResNet152v2 | 0.8725 | 0.84631 | 0.87027 | |
| Simple CNN | 0.8823 | 0.85828 | 0.88307 | |
| VGG16 | 0.8922 | 0.86995 | 0.89321 | |
| Multicolored by height | DenseNet201 | 0.8725 | 0.84637 | 0.87253 |
| EfficientNet_b7 | 0.8627 | 0.83403 | 0.84620 | |
| Inception_v3 | 0.9020 | 0.88166 | 0.89777 | |
| ResNet152v2 | 0.9012 | 0.88182 | 0.90512 | |
| Simple CNN | 0.7353 | 0.67936 | 0.70929 | |
| VGG16 | 0.9216 | 0.90556 | 0.92337 |
Disclaimer/Publisher’s Note: The statements, opinions and data contained in all publications are solely those of the individual author(s) and contributor(s) and not of MDPI and/or the editor(s). MDPI and/or the editor(s) disclaim responsibility for any injury to people or property resulting from any ideas, methods, instructions or products referred to in the content. |
© 2023 by the authors. Licensee MDPI, Basel, Switzerland. This article is an open access article distributed under the terms and conditions of the Creative Commons Attribution (CC BY) license (https://creativecommons.org/licenses/by/4.0/).
Share and Cite
Klauberg, C.; Vogel, J.; Dalagnol, R.; Ferreira, M.P.; Hamamura, C.; Broadbent, E.; Silva, C.A. Post-Hurricane Damage Severity Classification at the Individual Tree Level Using Terrestrial Laser Scanning and Deep Learning. Remote Sens. 2023, 15, 1165. https://doi.org/10.3390/rs15041165
Klauberg C, Vogel J, Dalagnol R, Ferreira MP, Hamamura C, Broadbent E, Silva CA. Post-Hurricane Damage Severity Classification at the Individual Tree Level Using Terrestrial Laser Scanning and Deep Learning. Remote Sensing. 2023; 15(4):1165. https://doi.org/10.3390/rs15041165
Chicago/Turabian StyleKlauberg, Carine, Jason Vogel, Ricardo Dalagnol, Matheus Pinheiro Ferreira, Caio Hamamura, Eben Broadbent, and Carlos Alberto Silva. 2023. "Post-Hurricane Damage Severity Classification at the Individual Tree Level Using Terrestrial Laser Scanning and Deep Learning" Remote Sensing 15, no. 4: 1165. https://doi.org/10.3390/rs15041165
APA StyleKlauberg, C., Vogel, J., Dalagnol, R., Ferreira, M. P., Hamamura, C., Broadbent, E., & Silva, C. A. (2023). Post-Hurricane Damage Severity Classification at the Individual Tree Level Using Terrestrial Laser Scanning and Deep Learning. Remote Sensing, 15(4), 1165. https://doi.org/10.3390/rs15041165

