MIMO Radar Waveform Design for Multipath Exploitation Using Deep Learning
Abstract
1. Introduction
- A MIMO radar signal model was constructed for multipath scenarios;
- The MIMO radar waveform design problem for multipath exploitation was modeled as a maximizing SINR problem with the constant modulus constraint on the transmit waveform;
- Our proposed MIMO radar waveform design algorithm employed deep learning that utilized the non-linear fitting ability of neural networks to directly solve the non-convex waveform optimization problem.
2. Signal Model
2.1. Direct Returns Model
2.2. Multipath Returns Model
2.3. Clutter
2.4. Noise
3. Methods
3.1. Problem Formulation
3.2. The Proposed Design Method
3.2.1. Input and Output
3.2.2. Forward Propagation Module
3.2.3. Loss Function
3.2.4. Adam Optimizer
| Algorithm 1: Proposed algorithm. |
Input: Random normalized phase sequence , learning rate of Adam , number of iterations E. Output: Desired waveform phase sequence . Set , Adam learning rate set to ; 1: Construct forward propagation module according to Figure 2; 2: Input to the forward propagation module to obtain output ; 5: Optimizing loss function with Adam optimizer; 6: If , stop and output the result. Otherwise, update e, i.e., , and back to the step 2. |
3.2.5. Complexity Analysis
4. Results and Discussion
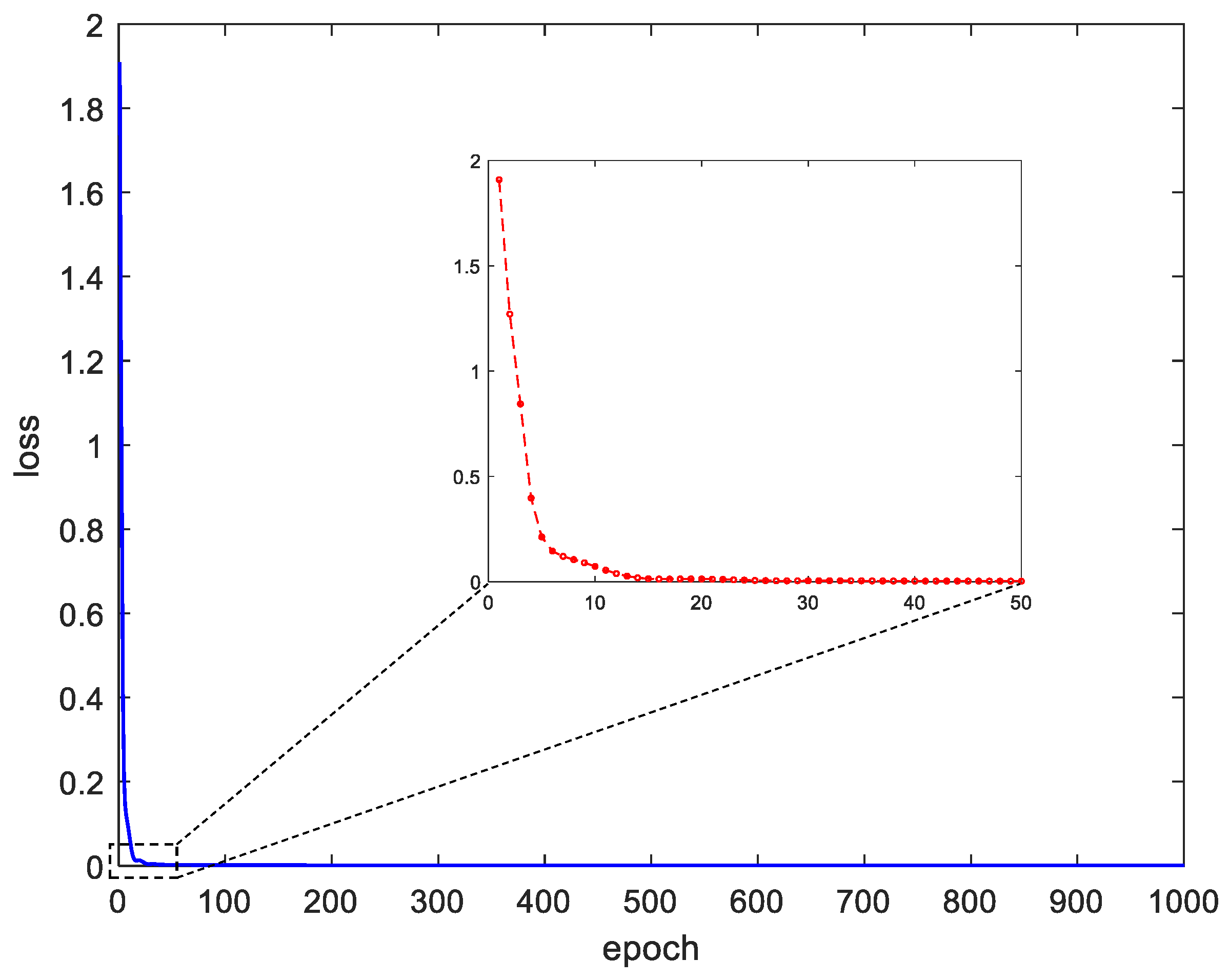
4.1. Convergence
4.2. SINR Performance
4.3. Transmit Beampattern
4.4. Detection Probability
4.5. Effect of Initial Input
4.6. Effect of Number of Transmitting Antennas
4.7. The Phase of the Waveform
5. Conclusions
Author Contributions
Funding
Data Availability Statement
Conflicts of Interest
References
- Barton, D.K. Low-angle radar tracking. Proc. IEEE 1974, 62, 687–704. [Google Scholar] [CrossRef]
- White, W.D. Low-Angle Radar Tracking in the Presence of Multipath. IEEE Trans. Aerosp. Electron. Syst. 1974, 10, 835–852. [Google Scholar] [CrossRef]
- Bar-Shalom, Y.; Kumar, A.; Blair, W.D.; Groves, G.W. Tracking low elevation targets in the presence of multipath propagation. IEEE Trans. Aerosp. Electron. Syst. 1994, 30, 973–979. [Google Scholar] [CrossRef]
- Hickman, G.; Krolik, J.L. MIMO GMTI radar with multipath clutter suppression. In Proceedings of the 2010 IEEE Sensor Array and Multichannel Signal Processing Workshop, Jerusalem, Israel, 4 October 2010; pp. 65–68. [Google Scholar]
- Xin, J.; Sane, A. Linear prediction approach to direction estimation of cyclostationary signals in multipath environment. IEEE Trans. Signal Process. 2001, 49, 710–720. [Google Scholar] [CrossRef]
- Xin, J.; Sane, A. Direction estimation of coherent narrowband signals using spatial signature. In Proceedings of the 2002 IEEE Sensor Array and Multichannel Signal Processing Workshop, Rosslyn, VA, USA, 6 August 2002; pp. 523–527. [Google Scholar]
- Yu, J.; Krolik, J. MIMO adaptive beamforming for nonseparable multipath clutter mitigation. IEEE Trans. Aerosp. Electron. Syst. 2014, 50, 2604–2618. [Google Scholar] [CrossRef]
- Aubry, A.; De Maio, A.; Foglia, G.; Orlando, D. Diffuse Multipath Exploitation for Adaptive Radar Detection. IEEE Trans. Signal Process. 2015, 63, 1268–1281. [Google Scholar] [CrossRef]
- Hayvaci, H.T.; De Maio, A.; Erricolo, D. Improved detection probability of a radar target in the presence of multipath with prior knowledge of the environment. IET Radar Sonar Navig. 2013, 7, 36–46. [Google Scholar] [CrossRef]
- Rong, Y.; Aubry, A.; De Maio, A.; Tang, M. Automatically tunable AMF for radar detection in diffuse multipath. In Proceedings of the 2020 IEEE Sensor Array and Multichannel Signal Processing Workshop, Hangzhou, China, 8 June 2020; pp. 1–5. [Google Scholar]
- Yilmaz, S.H.G.; Hayvaci, H.T. Multipath exploitation radar with adaptive detection in partially homogeneous environments. IET Radar Sonar Navig. 2020, 14, 1475–1482. [Google Scholar] [CrossRef]
- Li, J.; Stoica, P. MIMO Radar with Colocated Antennas. IEEE Signal Process. Mag. 2007, 24, 106–114. [Google Scholar] [CrossRef]
- Fishler, E.; Haimovich, A.; Blum, R.; Chizhik, D.; Cimini, L.; Valenzuela, R. MIMO radar: An idea whose time has come. In Proceedings of the 2004 IEEE Radar Conference, Philadelphia, PA, USA, 29 April 2004; pp. 71–78. [Google Scholar]
- Sun, H.; Brigui, F.; Lesturgie, M. Analysis and comparison of MIMO radar waveforms. In Proceedings of the 2014 International Radar Conference, Lille, France, 13 October 2014; pp. 1–6. [Google Scholar]
- Stoica, P.; Li, J.; Xie, Y. On Probing Signal Design For MIMO Radar. IEEE Trans. Signal Process. 2007, 55, 4151–4161. [Google Scholar] [CrossRef]
- Stoica, P.; Li, J.; Xu, L.; Roberts, W. On Parameter Identifiability of MIMO Radar. IEEE Signal Process. Lett. 2007, 14, 968–971. [Google Scholar]
- Yu, X.; Qiu, H.; Yang, J.; Wei, W.; Cui, G.; Kong, L. Multi-spectrally constrained MIMO radar beampattern design via sequential convex approximation. IEEE Trans. Aerosp. Electron. Syst. 2022, 58, 2935–2949. [Google Scholar] [CrossRef]
- Raei, E.; Alaee-Kerahroodi, M.; Shankar, M.B. Spatial-and range-ISLR trade-off in MIMO radar via waveform correlation optimization. IEEE Trans. Signal Process. 2021, 69, 3283–3298. [Google Scholar] [CrossRef]
- Qian, J.Y.; Zheng, G.X.; Saleem, A. Channel modeling based on multilayer artificial neural network in metro tunnel environments. ETRI J. 2022, 1–13. [Google Scholar] [CrossRef]
- Jia, M.H.; Zheng, G.X.; Ji, W.L. A new model for predicting the characteristic of RF propagation in rectangular tunnel. In Proceedings of the 2008 IEEE International Conference on Personal Wireless Communications Conference Proceedings, Dalian, China, 10 September 2008; pp. 1–4. [Google Scholar]
- Kermani, M.H.; Kamarei, M. A ray-tracing method for predicting delay spread in tunnel environments. In Proceedings of the 2000 IEEE International Conference on Personal Wireless Communications Conference Proceedings, Hyderabad, India, 17 December 2000; pp. 538–542. [Google Scholar]
- Zhao, X.W.; Du, F.; Geng, S.Y.; Sun, N.Y.; Zhang, Y.; Fu, Z.H.; Wang, G.J. Neural network and GBSM based time-varying and stochastic channel modeling for 5G millimeter wave communications. China Commun. 2019, 16, 80–90. [Google Scholar] [CrossRef]
- Sun, N.; Geng, S.; Li, S.; Zhao, X.; Wang, M.; Sun, S. Channel modeling by RBF neural networks for 5G Mm-wave communication. In Proceedings of the 2018 IEEE/CIC International Conference on Communications in China, Beijing, China, 12 August 2018; pp. 768–772. [Google Scholar]
- Ertel, R.B.; Reed, J.H. Angle and time of arrival statistics for circular and elliptical scattering model. IEEE J. Sel. Areas Commun. 1999, 17, 1829–1840. [Google Scholar] [CrossRef]
- Petrus, P.; Rappaport, T.S. Geometrical-based statistical macrocell channel model for mobile environments. IEEE Trans. Commun. 2002, 50, 495–502. [Google Scholar] [CrossRef]
- Li, J.; Guerci, J.R.; Xu, L. Signal Waveform’s Optimal Under Restriction Design for Active Sensing. In Proceedings of the 2006 IEEE Sensor Array and Multichannel Signal Processing Workshop, Waltham, MA, USA, 12 July 2006; pp. 382–386. [Google Scholar]
- Tang, B.; Li, J.; Liang, J. Alternating direction method of multipliers for radar waveform design in spectrally crowded environments. Signal Process. 2018, 142, 398–402. [Google Scholar] [CrossRef]
- Yu, X.; Cui, G.; Kong, L.; Li, J.; Gui, G. Constrained Waveform Design for Colocated MIMO Radar With Uncertain Steering Matrices. IEEE Trans. Aerosp. Electron. Syst. 2019, 55, 356–370. [Google Scholar] [CrossRef]
- Aubry, A.; De Maio, A.; Piezzo, M.; Farina, A. Radar waveform design in a spectrally crowded environment via nonconvex quadratic optimization. IEEE Trans. Aerosp. Electron. Syst. 2014, 50, 1138–1152. [Google Scholar] [CrossRef]
- Yang, Y.; Blum, R.S. MIMO radar waveform design based on mutual information and minimum mean-square error estimation. IEEE Trans. Aerosp. Electron. Syst. 2007, 43, 330–343. [Google Scholar] [CrossRef]
- Naghsh, M.M.; Modarres-Hashemi, M.; Shahbazpanahi, S. Unified Optimization Framework for Multi-Static Radar Code Design Using Information-Theoretic Criteria. IEEE Trans. Signal Process. 2013, 61, 5401–5416. [Google Scholar] [CrossRef]
- Yu, X.; Cui, G.; Zhang, T. Constrained Transmit Beampattern Design for Colocated MIMO Radar. Signal Process. 2017, 144, 145–154. [Google Scholar] [CrossRef]
- Wang, Y.C.; Wang, X.; Liu, H. On the Design of Constant Modulus Probing Signals for MIMO Radar. IEEE Trans. Signal Process. 2012, 60, 4432–4438. [Google Scholar] [CrossRef]
- Stoica, P.; He, H.; Li, J. New Algorithms for Designing Unimodular Sequences with Good Correlation Properties. IEEE Trans. Signal Process. 2009, 57, 1415–1425. [Google Scholar] [CrossRef]
- He, H.; Stoica, P.; Li, J. Designing Unimodular Sequence Sets with Good Correlations—Including an Application to MIMO Radar. IEEE Trans. Signal Process. 2009, 57, 4391–4405. [Google Scholar] [CrossRef]
- Li, Y.; Vorobyov, S.A. Fast Algorithms for Designing Unimodular Waveform(s) with Good Correlation Properties. IEEE Trans. Signal Process. 2018, 66, 1197–1212. [Google Scholar] [CrossRef]
- Sen, S.; Hurtado, M.; Nehorai, A. Adaptive OFDM radar for detecting a moving target in urban scenarios. In Proceedings of the 2009 International Waveform Diversity and Design Conference, Kissimmee, FL, USA, 8 February 2009; pp. 268–272. [Google Scholar]
- Sen, S.; Nehorai, A. OFDM MIMO radar with mutual-information waveform design for low-grazing angle tracking. IEEE Trans. Signal Process. 2010, 58, 3152–3162. [Google Scholar] [CrossRef]
- Sen, S.; Nehorai, A. Adaptive OFDM radar for target detection in multipath scenarios. IEEE Trans. Signal Process. 2011, 59, 78–90. [Google Scholar] [CrossRef]
- Xu, Z.; Fan, C.; Huang, X. MIMO Radar Waveform Design for Multipath Exploitation. IEEE Trans. Signal Process. 2021, 69, 5359–5371. [Google Scholar] [CrossRef]
- Fan, C.; Xie, Z.; Wang, J.; Xu, Z.; Huang, X. Robust MIMO Waveform Design in the Presence of Unknown Mutipath Return. Remote Sens. 2023, 14, 4356. [Google Scholar] [CrossRef]
- Imani, S.; Ghorashi, S.A. Sequential quasi-convex-based algorithm for waveform design in colocated multiple-input multiple-output radars. IET Signal Process. 2023, 10, 309–317. [Google Scholar] [CrossRef]
- Hertz, J.A. Introduction to the Theory of Neural Computation; CRC Press: Boca Raton, FL, USA, 2018. [Google Scholar]
- He, K.; Zhang, X.; Ren, S.; Sun, J. Deep Residual Learning for Image Recognition. In Proceedings of the 2016 IEEE Conference on Computer Vision and Pattern Recognition, Las Vegas, NV, USA, 27 June 2016; pp. 770–778. [Google Scholar]
- Richards, M.A. Fundamentals of Radar Signal Processing; McGraw Hill: New York, NY, USA, 2005. [Google Scholar]










| Model | FLOPs | Params |
|---|---|---|
| The proposed model | 786,432.0 | 396,416 |
| Parameters | Value |
|---|---|
| Number of transmitting antennas | 20 |
| Number of receiving antennas | 20 |
| Number of snapshot L | 16 |
| Number of neurons J | 128 |
| CPI P | 16 |
| Carrier frequency | 3 GHz |
| Target azimuth | |
| Multipath azimuth | |
| Clutter azimuth | |
| Target velocity v | 45 |
| Relative delay for multipath returns | 5 |
| Relative delay for clutter | 2 |
| Specular reflection coefficient | 0.8 |
| Signal-to-noise ratio SNR | 20 dB |
| Interference-to-noise ratio INR | 20 dB |
| Methods | Proposed Algorithm | Multipath Exploitation | Multipath Suppression |
|---|---|---|---|
| SINR/dB | 25.64 | 23.18 | 20.64 |
| Methods | Proposed Algorithm | Multipath Exploitation | Multipath Suppression |
|---|---|---|---|
| 0.9408 | 0.8872 | 0.7968 | |
| 0.9765 | 0.9491 | 0.8952 | |
| 0.9928 | 0.9820 | 0.9570 |
Disclaimer/Publisher’s Note: The statements, opinions and data contained in all publications are solely those of the individual author(s) and contributor(s) and not of MDPI and/or the editor(s). MDPI and/or the editor(s) disclaim responsibility for any injury to people or property resulting from any ideas, methods, instructions or products referred to in the content. |
© 2023 by the authors. Licensee MDPI, Basel, Switzerland. This article is an open access article distributed under the terms and conditions of the Creative Commons Attribution (CC BY) license (https://creativecommons.org/licenses/by/4.0/).
Share and Cite
Zheng, Z.; Zhang, Y.; Peng, X.; Xie, H.; Chen, J.; Mo, J.; Sui, Y. MIMO Radar Waveform Design for Multipath Exploitation Using Deep Learning. Remote Sens. 2023, 15, 2747. https://doi.org/10.3390/rs15112747
Zheng Z, Zhang Y, Peng X, Xie H, Chen J, Mo J, Sui Y. MIMO Radar Waveform Design for Multipath Exploitation Using Deep Learning. Remote Sensing. 2023; 15(11):2747. https://doi.org/10.3390/rs15112747
Chicago/Turabian StyleZheng, Zixiang, Yue Zhang, Xiangyu Peng, Hanfeng Xie, Jinfan Chen, Junxian Mo, and Yunfeng Sui. 2023. "MIMO Radar Waveform Design for Multipath Exploitation Using Deep Learning" Remote Sensing 15, no. 11: 2747. https://doi.org/10.3390/rs15112747
APA StyleZheng, Z., Zhang, Y., Peng, X., Xie, H., Chen, J., Mo, J., & Sui, Y. (2023). MIMO Radar Waveform Design for Multipath Exploitation Using Deep Learning. Remote Sensing, 15(11), 2747. https://doi.org/10.3390/rs15112747

