Space Weather Effects Observed in the Northern Hemisphere during November 2021 Geomagnetic Storm: The Impacts on Plasmasphere, Ionosphere and Thermosphere Systems
Abstract
1. Introduction
- (1)
- Investigating the main SW/IMF-ICME-related characteristics and the corresponding geomagnetic activity at high latitude to study different phases of the polar cap electrodynamic and related Joule heating effects;
- (2)
- Investigating the level of geo-effectiveness of the storm, its impact on the plasmasphere and ionosphere dynamics, and their possible coupling through the joint use of ionosonde, GNSS receivers, and magnetometers;
- (3)
- Retrieving neutral composition ([O], [N], [O]), exospheric temperature , and vertical plasma drift mainly related to thermospheric winds for the periods of interest using ground-based ionosonde observations, and to compare the retrieved parameters with modern empirical thermospheric models of neutral composition predicted for the period under study;
- (4)
- Discussing the role of thermospheric parameters in the formation mechanism of the storm for the analyzed disturbed periods.
2. Data and Methods
2.1. Solar Wind Parameters and Geomagnetic Field Measurements
2.2. Plasma Mass Density Sounding
2.3. Ionosonde Measurements
2.4. Total Electron Content Measurements
2.5. Method to Retrieve Thermospheric Parameters
3. Experimental Results
3.1. The SW, IMF Conditions, and Geomagnetic Activity from High to Low Latitudes during 2–5 November 2021
3.2. Dynamics of the Magnetospheric Plasma
3.3. Morphology of the Ionospheric Storm
3.4. Thermospheric Retrieved Parameters
4. Discussion
5. Conclusions
- (1)
- The possible interplay between plasmasphere and ionosphere during the storm has been highlighted. This has been done by integrating the plasmaspheric information provided through EMMA, the bottom-side ionosphere information provided through ionosondes and the integrated ionospheric information through GNSS receivers. Specifically, we identified the possible presence of a SED in the sub-auroral ionosphere spanned by the Moscow/MDVJ ionosonde–GNSS receiver couple between 08:00 and 11:30 UT on 4 November.
- (2)
- Again, for the cross-talk between ionosphere and plasmasphere, during the recovery phase of the storm, in the range 18:00–24:00 UT on 5 November, we identified a vTEC depletion ascribed to phenomena occurring above the F2-layer peak in correspondence with a plasmaspheric density decrease, probably due to boundary crossing of the flux tubes monitored by EMMA moving into a region dominated by the convection electric field.
- (3)
- In the European longitudinal sector, we found on 4 November an increase of and a decrease of [O]/[N] at 300 km in the higher latitude stations (Juliusruh and Moscow) with upsurge of the equatorward wind related to the increase of auroral heating.
- (4)
- Negative foF2 disturbances at Moscow and Juliusruh also take place during daytime hours (Figure 5 and Figure 6), and this may be attributed to a low [O]/[N] ratio. In Rome, the [O]/[N] decrease is not as strong as at the other two stations, and also and [O] are close to quiet time values, although there is a thermospheric equatorward wind that probably determines the positive F2-layer storm phase in foF2.
- (5)
- At MH, the occurrence of a TAD is observed, which could be related to enhanced Joule heating occurring during the SSC around 19:40 UT, which determines NmF2 and hmF2 variations followed by a decrease of electron concentration at the F2-layer heights on 4 November 2021 and the [O] decrease with respect to the pre-storm quiet time level. A comparison with the MSISE00 model predictions shows that the model does not describe properly the [O]/[N] relative variations during the period under consideration. MSISE00 predicts, at MH, a [O]/[N] ratio decrease on 4 November, 1.8 times lower with respect to the reference day, while the [O]/[N] calculated from retrieved parameters is six times lower with respect to the reference day.
- (6)
- The stronger effect of the geomagnetic storm on the American sector with respect to the European one is due to the stronger poleward meridional thermospheric wind in Europe that blocks the disturbed neutral composition at higher latitude and also because MH is a “near-to-pole” station.
- (7)
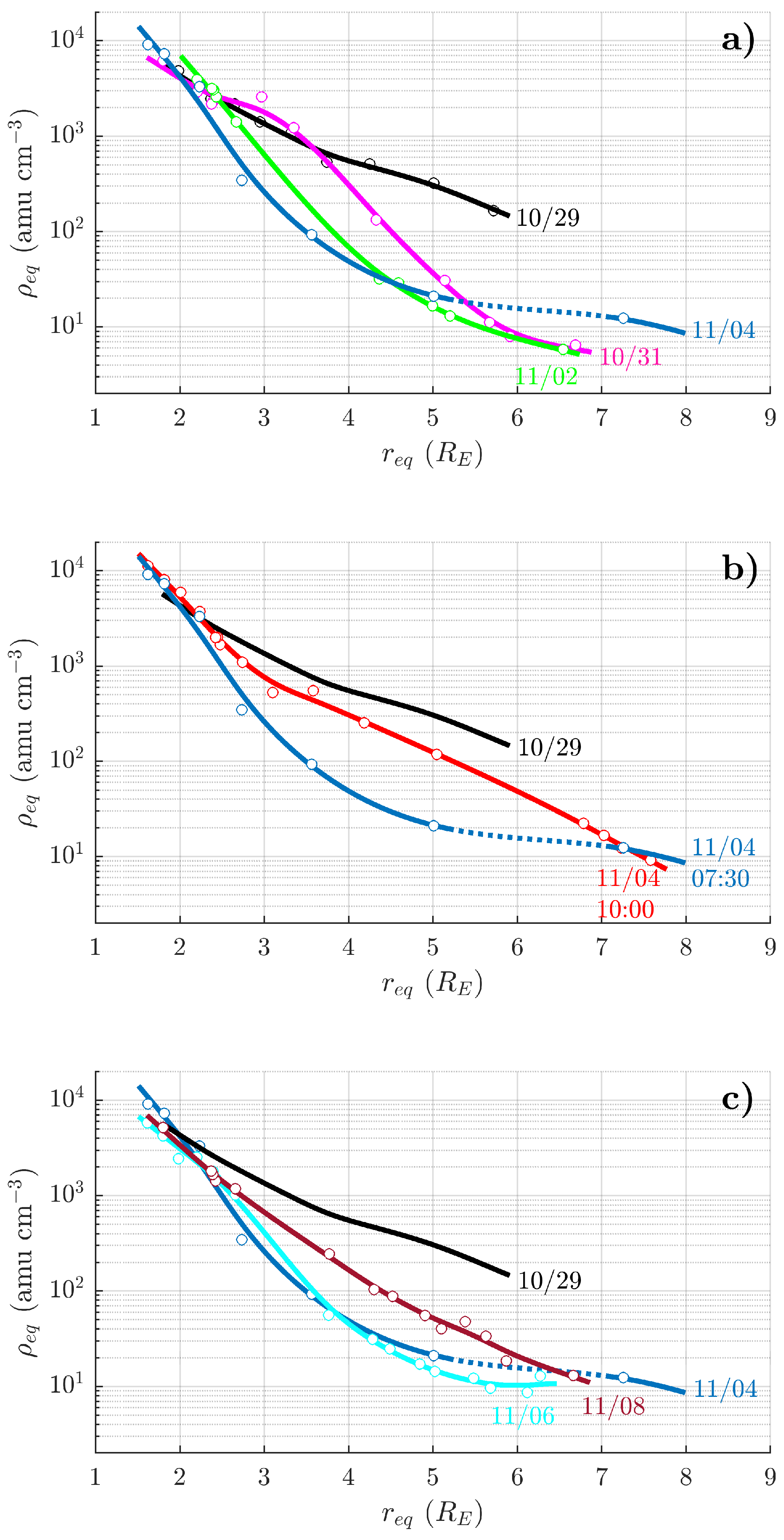
- On the storm onset, the plasmasphere was already partially eroded due to the moderate geomagnetic activity in previous days. During the main phase, the enhanced convection electric field contributed to the formation of a drainage plume detected by EMMA. In the aftermath, the plasmasphere remains far from the saturated conditions, although a partial recovery is visible between 2.5 and 6. The procedure used to infer the plasma mass density provided some estimates also during nighttime, showing in some cases a trend compatible with the daytime profiles. These results could confirm that the fixed-end mode of toroidal standing Alfvèn waves can occur also during nighttime. Further and more accurate analysis, also using a finite ionospheric conductivity as boundary conditions for solving the MHD governing equation, could clarify the reliability of those points.
Author Contributions
Funding
Data Availability Statement
Acknowledgments
Conflicts of Interest
Abbreviations
| CME | Coronal Mass Ejection |
| EMIC | Electromagnetic Ion Cyclotron waves |
| EMMA | European quasi-Meridional Magnetometer Array |
| FAC | Field Aligned Currents |
| FLR | Field Line Resonances |
| GNSS | Global Navigation Satellite Systems |
| IAGA | International Association of Geomagnetism and Aeronomy |
| ICAO | International Civil Aviation Organization |
| IMF | Interplanetary Magnetic Field |
| LT | Local Time |
| MHD | Magnetohydrodynamic |
| MSISE | Mass-Spectrometer-Incoherent-Scatter model |
| NOA | National Oceanic and Atmospheric Administration |
| PBL | plasmasphere boundary layer |
| RINEX | Receiver INdependent EXchange format |
| SSC | Sudden Storm Commencement |
| SED | Storm Enhanced Density |
| SW | Solar Wind |
| TAD | Traveling Atmospheric Disturbances |
| TEC | Total Electron Content |
| TID | Traveling Ionospheric Disturbances |
| ULF | Ultra Low Frequency |
| UT | Universal Time |
References
- Kauristie, K.; Andries, J.; Beck, P.; Berdermann, J.; Berghmans, D.; Cesaroni, C.; De Donder, E.; de Patoul, J.; Dierckxsens, M.; Doornbos, E.; et al. Space Weather Services for Civil Aviation—Challenges and Solutions. Remote Sens. 2021, 13, 3685. [Google Scholar] [CrossRef]
- Fiori, R.A.D.; Kumar, V.V.; Boteler, D.H.; Terkildsen, M.B. Occurrence rate and duration of space weather impacts on high-frequency radio communication used by aviation. J. Space Weather Space Clim. 2022, 12, 21. [Google Scholar] [CrossRef]
- Song, H.Q.; Zhang, J.; Cheng, X.; Li, G.; Hu, Q.; Li, L.P.; Chen, S.J.; Zheng, R.S.; Chen, Y. Do All Interplanetary Coronal Mass Ejections Have a Magnetic Flux Rope Structure Near 1 au? Astrophys. J. Lett. 2020, 901, L21. [Google Scholar] [CrossRef]
- Yashiro, S.; Gopalswamy, N.; Michalek, G.; St. Cyr, O.C.; Plunkett, S.P.; Rich, N.B.; Howard, R.A. A catalog of white light coronal mass ejections observed by the SOHO spacecraft. J. Geophys. Res. 2004, 109, A07105. [Google Scholar] [CrossRef]
- Bothmer, V. The Solar Atmosphere and Space Weather. In Solar System Update; Blondel, P., Mason, J.W., Eds.; Springer: Berlin/Heidelberg, Germany, 2006; p. 1. [Google Scholar] [CrossRef]
- Gopalswamy, N.; Lara, A.; Yashiro, S.; Nunes, S.; Howard, R.A. Coronal mass ejection activity during solar cycle 23. In Solar Variability as an Input to the Earth’s Environment; Wilson, A., Ed.; ESA Special Publication: Tatranskà Lomnica, Slovakia, 2003; Volume 535, pp. 403–414. [Google Scholar]
- Sheeley, N.R.; Howard, R.A.; Koomen, M.J.; Michels, D.J.; Schwenn, R.; Mühlhäuser, K.H.; Rosenbauer, H. Coronal mass ejections and interplanetary shocks. J. Geophys. Res. Space Phys. 1985, 90, 163–175. [Google Scholar] [CrossRef]
- Bothmer, V.; Schwenn, R. Signatures of fast CMEs in interplanetary space. Adv. Space Res. 1996, 17, 319–322. [Google Scholar] [CrossRef]
- Akasofu, S.I. A Review of Studies of Geomagnetic Storms and Auroral/Magnetospheric Substorms Based on the Electric Current Approach. Front. Astron. Space Sci. 2021, 7, 604750. [Google Scholar] [CrossRef]
- Zakharenkova, I.; Astafyeva, E.; Cherniak, I. GPS and in situ Swarm observations of the equatorial plasma density irregularities in the topside ionosphere. Earth Planets Space 2016, 68, 1–11. [Google Scholar] [CrossRef]
- Priyadarshi, S.; Zhang, Q.; Thomas, E.; Spogli, L.; Cesaroni, C. Polar traveling ionospheric disturbances inferred with the B-spline method and associated scintillations in the Southern Hemisphere. Adv. Space Res. 2018, 62, 3249–3266. [Google Scholar] [CrossRef]
- Di Mauro, D.; Regi, M.; Lepidi, S.; Del Corpo, A.; Dominici, G.; Bagiacchi, P.; Benedetti, G.; Cafarella, L. Geomagnetic Activity at Lampedusa Island: Characterization and Comparison with the Other Italian Observatories, Also in Response to Space Weather Events. Remote Sens. 2021, 13, 3111. [Google Scholar] [CrossRef]
- National Research Council. Severe Space Weather Events–Understanding Societal and Economic Impacts; National Academies Press: Washington, DC, USA, 2008. [CrossRef]
- MacAlester, M.H.; Murtagh, W. Extreme Space Weather Impact: An Emergency Management Perspective. Space Weather 2014, 12, 530–537. [Google Scholar] [CrossRef]
- Vermicelli, P.; Mainella, S.; Alfonsi, L.; Belehaki, A.; Buresova, D.; Hynonen, R.; Romano, V.; Witvliet, B. The Socioeconomic Impacts of the Upper Atmosphere Effects on LEO Satellites, Communication and Navigation Systems 2022. Available online: https://zenodo.org/record/6671425#.Y2544NLMJt9 (accessed on 31 March 2022). [CrossRef]
- Denton, R.E.; Jordanova, V.K.; Fraser, B.J. Effect of spatial density variation and O+ concentration on the growth and evolution of electromagnetic ion cyclotron waves. J. Geophys. Res. Space Phys. 2014, 119, 8372–8395. [Google Scholar] [CrossRef]
- Carpenter, D.; Lemaire, J. Erosion and recovery of the plasmasphere in the plasmapause region. Space Sci. Rev. 1997, 80, 153–179. [Google Scholar] [CrossRef]
- Fraser, B.J.; Horwitz, J.L.; Slavin, J.A.; Dent, Z.C.; Mann, I.R. Heavy ion mass loading of the geomagnetic field near the plasmapause and ULF wave implications. Geophys. Res. Lett. 2005, 32, L04102. [Google Scholar] [CrossRef]
- Chappell, C.R. The Role of the Ionosphere in Providing Plasma to the Terrestrial Magnetosphere—An Historical Overview; Springer: New York, NY, USA, 2015; Volume 192, pp. 5–25. [Google Scholar] [CrossRef]
- Sandel, B.; Goldstein, J.; Gallagher, D.; Spasojevic, M. Extreme Ultraviolet Imager Observations of the Structure and Dynamics of the Plasmasphere. Space Sci. Rev. 2003, 109, 25–46. [Google Scholar] [CrossRef]
- Wang, C.; Zhang, Q.; Chi, P.J.; Li, C. Simultaneous observations of plasmaspheric and ionospheric variations during magnetic storms in 2011: First result from Chinese Meridian Project. J. Geophys. Res. Space Phys. 2013, 118, 99–104. [Google Scholar] [CrossRef]
- Rishbeth, H. F-Region Storms and Thermospheric Dynamics. J. Geomagn. Geoelectr. 1991, 43, 513–524. [Google Scholar] [CrossRef]
- Prölss, G.W. Ionospheric F-region storms. In Handbook of Atmospheric Electrodynamics, 1st ed.; Volland, H., Ed.; CRC Press: Boca Raton, FL, USA, 1995; Chapter 8; pp. 195–248. [Google Scholar] [CrossRef]
- Appleton, E.; Piggott, W. The morphology of storms in the F2 layer of the ionosphere I. Some statistical relationships. J. Atmos. Terr. Phys. 1952, 2, 236–252. [Google Scholar] [CrossRef]
- Jones, K. Storm time variation of F2-layer electron concentration. J. Atmos. Terr. Phys. 1971, 33, 379–389. [Google Scholar] [CrossRef]
- Prölss, G.W. On explaining the local time variation of ionospheric storm effects. Ann. Geophys. 1993, 11, 1–9. [Google Scholar]
- Prölss, G.W.; von Zahn, U. Seasonal variations in the latitudinal structure of atmospheric disturbances. J. Geophys. Res. 1977, 82, 5629–5632. [Google Scholar] [CrossRef]
- Mikhailov, A.; Perrone, L.; Smirnova, N. Two types of positive disturbances in the daytime mid-latitude F2-layer: Morphology and formation mechanisms. J. Atmos.-Sol.-Terr. Phys. 2012, 81–82, 59–75. [Google Scholar] [CrossRef]
- Weimer, D.R. Improved ionospheric electrodynamic models and application to calculating Joule heating rates. J. Geophys. Res. 2005, 110, A05305. [Google Scholar] [CrossRef]
- Weimer, D.R. Predicting surface geomagnetic variations using ionospheric electrodynamic models. J. Geophys. Res. 2005, 110, A12307. [Google Scholar] [CrossRef]
- Spogli, L.; Sabbagh, D.; Regi, M.; Cesaroni, C.; Perrone, L.; Alfonsi, L.; Di Mauro, D.; Lepidi, S.; Campuzano, S.A.; Marchetti, D.; et al. Ionospheric Response Over Brazil to the August 2018 Geomagnetic Storm as Probed by CSES-01 and Swarm Satellites and by Local Ground-Based Observations. J. Geophys. Res. Space Phys. 2021, 126, e2020JA028368. [Google Scholar] [CrossRef]
- Lichtenberger, J.; Clilverd, M.A.; Heilig, B.; Vellante, M.; Manninen, J.; Rodger, C.J.; Collier, A.B.; Jørgensen, A.M.; Reda, J.; Holzworth, R.H.; et al. The plasmasphere during a space weather event: First results from the PLASMON project. J. Space Weather. Space Clim. 2013, 3, A23. [Google Scholar] [CrossRef]
- Del Corpo, A.; Vellante, M.; Heilig, B.; Pietropaolo, E.; Reda, J.; Lichtenberger, J. Observing the cold plasma in the Earth’s magnetosphere with the EMMA network. Ann. Geophys. 2019, 62, GM447. [Google Scholar] [CrossRef]
- Del Corpo, A.; Vellante, M.; Heilig, B.; Pietropaolo, E.; Reda, J.; Lichtenberger, J. An Empirical Model for the Dayside Magnetospheric Plasma Mass Density Derived From EMMA Magnetometer Network Observations. J. Geophys. Res. Space Phys. 2020, 125, e2019JA027381. [Google Scholar] [CrossRef]
- Baransky, L.; Borovkov, J.; Gokhberg, M.; Krylov, S.; Troitskaya, V. High resolution method of direct measurement of the magnetic field lines’ eigen frequencies. Planet. Space Sci. 1985, 33, 1369–1374. [Google Scholar] [CrossRef]
- Waters, C.L.; Menk, F.W.; Fraser, B.J. The resonance structure of low latitude Pc3 geomagnetic pulsations. Geophys. Res. Lett. 1991, 18, 2293–2296. [Google Scholar] [CrossRef]
- Singer, H.J.; Southwood, D.J.; Walker, R.J.; Kivelson, M.G. Alfven wave resonances in a realistic magnetospheric magnetic field geometry. J. Geophys. Res. Space Phys. 1981, 86, 4589–4596. [Google Scholar] [CrossRef]
- Tsyganenko, N.A.; Sitnov, M.I. Modeling the dynamics of the inner magnetosphere during strong geomagnetic storms. J. Geophys. Res. Space Phys. 2005, 110, A03208. [Google Scholar] [CrossRef]
- Allan, W.; Knox, F. A dipole field model for axisymmetric alfvén waves with finite ionosphere conductivities. Planet. Space Sci. 1979, 27, 79–85. [Google Scholar] [CrossRef]
- Takahashi, K.; Vellante, M.; Del Corpo, A.; Claudepierre, S.G.; Kletzing, C.; Wygant, J.; Koga, K. Multiharmonic Toroidal Standing Alfvén Waves in the Midnight Sector Observed During a Geomagnetically Quiet Period. J. Geophys. Res. Space Phys. 2020, 125, e2019JA027370. [Google Scholar] [CrossRef]
- Zuccheretti, E.; Tutone, G.; Sciacca, U.; Bianchi, C.; Baskaradas, J.A. The new AIS-INGV digital ionosonde. Ann. Geophys. 2003, 46, 647–659. [Google Scholar] [CrossRef]
- Istituto Nazionale di Geofisica e Vulcanologia (INGV); Rete Integrata Nazionale GPS (RING). 2016. Available online: http://ring.gm.ingv.it (accessed on 7 November 2022). [CrossRef]
- Upper Atmosphere Physics and Radiopropagation Working Group; Marcocci, C.; Pezzopane, M.; Pica, E.; Romano, V.; Sabbagh, D.; Scotto, C.; Zuccheretti, E. Electronic Space Weather Upper Atmosphere Database (eSWua)—HF Data; Version 1.0. 2020. Available online: http://www.eswua.ingv.it/ewphp/landing.php?doi=hf (accessed on 7 November 2022). [CrossRef]
- Upper Atmosphere Physics and Radiopropagation Working Group; Cesaroni, C.; Marcocci, C.; Pica, E.; Spogli, L. Electronic Space Weather Upper Atmosphere Database (eSWua)—Total Electron Content (TEC) Data; Version 1.0. 2020. Available online: http://www.eswua.ingv.it/ewphp/landing.php?doi=tec (accessed on 7 November 2022). [CrossRef]
- Cesaroni, C.; Spogli, L.; Franceschi, G.D. IONORING: Real-Time Monitoring of the Total Electron Content over Italy. Remote Sens. 2021, 13, 3290. [Google Scholar] [CrossRef]
- Ciraolo, L.; Azpilicueta, F.; Brunini, C.; Meza, A.; Radicella, S.M. Calibration errors on experimental slant total electron content (TEC) determined with GPS. J. Geod. 2007, 81, 111–120. [Google Scholar] [CrossRef]
- Tornatore, V.; Cesaroni, C.; Pezzopane, M.; Alizadeh, M.M.; Schuh, H. Performance Evaluation of VTEC GIMs for Regional Applications during Different Solar Activity Periods, Using RING TEC Values. Remote Sens. 2021, 13, 1470. [Google Scholar] [CrossRef]
- Reinisch, B.W.; Galkin, I.A.; Khmyrov, G.; Kozlov, A.; Kitrosser, D. Automated collection and dissemination of ionospheric data from the digisonde network. Adv. Radio Sci. 2004, 2, 241–247. [Google Scholar] [CrossRef]
- Perrone, L.; Mikhailov, A.V. A New Method to Retrieve Thermospheric Parameters From Daytime Bottom-Side Ne(h) Observations. J. Geophys. Res. Space Phys. 2018, 123, 10200–10212. [Google Scholar] [CrossRef]
- Picone, J.M.; Hedin, A.E.; Drob, D.P.; Aikin, A.C. NRLMSISE-00 empirical model of the atmosphere: Statistical comparisons and scientific issues. J. Geophys. Res. Space Phys. 2002, 107, SIA 15-1–SIA 15-16. [Google Scholar] [CrossRef]
- Paschmann, G.; Daly, P. Analysis Methods for Multi-Spacecraft Data; ISSI Scientific Reports; ISSI: Noordwijk, The Netherlands, 2003; Available online: https://www.issibern.ch/PDF-Files/analysis_methods_1_1a.pdf (accessed on 7 November 2022).
- Alfonsi, L.; Cesaroni, C.; Spogli, L.; Regi, M.; Paul, A.; Ray, S.; Lepidi, S.; Di Mauro, D.; Haralambous, H.; Oikonomou, C.; et al. Ionospheric Disturbances Over the Indian Sector During 8 September 2017 Geomagnetic Storm: Plasma Structuring and Propagation. Space Weather 2021, 19, e2020SW002607. [Google Scholar] [CrossRef]
- Pezzopane, M.; Del Corpo, A.; Piersanti, M.; Cesaroni, C.; Pignalberi, A.; Di Matteo, S.; Spogli, L.; Vellante, M.; Heilig, B. On some features characterizing the plasmasphere–magnetosphere–ionosphere system during the geomagnetic storm of 27 May 2017. Earth Planets Space 2019, 71, 1–21. [Google Scholar] [CrossRef] [PubMed]
- Vellante, M.; Takahashi, K.; Del Corpo, A.; Zhelavskaya, I.S.; Goldstein, J.; Mann, I.R.; Pietropaolo, E.; Reda, J.; Heilig, B. Multi-Instrument Characterization of Magnetospheric Cold Plasma Dynamics in the June 22, 2015 Geomagnetic Storm. J. Geophys. Res. Space Phys. 2021, 126, e2021JA029292. [Google Scholar] [CrossRef] [PubMed]
- Carpenter, D.L.; Anderson, R.R. An ISEE/whistler model of equatorial electron density in the magnetosphere. J. Geophys. Res. 1992, 97, 1097. [Google Scholar] [CrossRef]
- Prölss, G.W. Physics of the Earth’s Space Environment; Springer: Berlin/Heidelberg, Germany, 2004. [Google Scholar] [CrossRef]
- Haralambous, H.; Paul, K.; Oikonomou, C.; Gulyaeva, T.L.; Panchenko, V. Response of the 3rd Nov 2021 storm over Cyprus and Russia. In Proceedings of the 2022 IEEE 3rd URSI Atlantic and Asia Pacific Radio Science Meeting (AT-AP-RASC), Gran Canaria, Spain, 30 May–4 June 2022. [Google Scholar] [CrossRef]
- Su, Y.J.; Thomsen, M.F.; Borovsky, J.E.; Foster, J.C. A linkage between polar patches and plasmaspheric drainage plumes. Geophys. Res. Lett. 2001, 28, 111–113. [Google Scholar] [CrossRef]
- Foster, J.C.; Coster, A.J.; Erickson, P.J.; Goldstein, J.; Rich, F.J. Ionospheric signatures of plasmaspheric tails. Geophys. Res. Lett. 2002, 29, 1-1–1-4. [Google Scholar] [CrossRef]
- Foster, J.C.; Coster, A.J.; Erickson, P.J.; Rich, F.J.; Sandel, B.R. Stormtime observations of the flux of plasmaspheric ions to the dayside cusp/magnetopause. Geophys. Res. Lett. 2004, 31, L08809. [Google Scholar] [CrossRef]
- Mendillo, M. Storms in the ionosphere: Patterns and processes for total electron content. Rev. Geophys. 2006, 44, RG4001. [Google Scholar] [CrossRef]
- Rishbeth, H.; Barron, D. Equilibrium electron distributions in the ionospheric F2-layer. J. Atmos. Terr. Phys. 1960, 18, 234–252. [Google Scholar] [CrossRef]
- Buonsanto, M.J.; Foster, J.C.; Sipler, D.P. Observations From Millstone Hill During the Geomagnetic Disturbances of March and April 1990. J. Geophys. Res. Space Phys. 1992, 97, 1225–1243. [Google Scholar] [CrossRef]
- Rishbeth, H.; Müller-Wodarg, I.C.F. Vertical circulation and thermospheric composition: A modelling study. Ann. Geophys. 1999, 17, 794–805. [Google Scholar] [CrossRef]









| Date | Ap, nT | W, m/s | , K | [O], cm | [N], cm | [O]/[N] |
|---|---|---|---|---|---|---|
| Moscow | ||||||
| 29/10/21 | 1 | −16.8 | 894.5 | 4.43 | 6.74 | 6.57 |
| MSISE00 | 856.1 | 4.68 | 5.00 | 9.36 | ||
| 3/11/21 | 19 | −21.8 | 886.2 | 5.94 | 7.45 | 7.97 |
| MSISE00 | 851.3 | 5.22 | 6.68 | 7.81 | ||
| 4/11/21 | 72 | 0.1 | 931.4 | 4.38 | 11.70 | 3.74 |
| MSISE00 | 952.5 | 6.70 | 13.91 | 4.82 | ||
| 5/11/21 | 11 | −21 | 798.6 | 4.72 | 3.97 | 11.89 |
| MSISE00 | 851.9 | 5.33 | 7.46 | 7.15 | ||
| Juliusruh | ||||||
| 29/10/21 | 1 | −17.1 | 897.3 | 3.93 | 5.76 | 6.83 |
| MSISE00 | 857.7 | 4.71 | 5.00 | 9.42 | ||
| 3/11/21 | 19 | −23.8 | 833.4 | 5.07 | 5.17 | 10.37 |
| MSISE00 | 833.9 | 4.90 | 6.14 | 7.98 | ||
| 4/11/21 | 72 | 6.6 | 1284 | 3.48 | 16.26 | 2.14 |
| MSISE00 | 976.4 | 6.22 | 14.54 | 4.28 | ||
| 5/11/21 | 11 | −21.5 | 814.8 | 4.90 | 4.29 | 11.42 |
| MSISE00 | 841.5 | 4.98 | 6.86 | 7.26 | ||
| Pruhonice | ||||||
| 29/10/21 | 1 | −20.0 | 905.8 | 4.32 | 6.07 | 7.12 |
| MSISE00 | 864.1 | 4.77 | 5.21 | 9.16 | ||
| 3/11/21 | 19 | −23.5 | 898.5 | 6.85 | 7.49 | 9.15 |
| MSISE00 | 866.8 | 5.46 | 6.93 | 7.88 | ||
| 4/11/21 | 72 | 0.2 | 935.8 | 4.73 | 12.00 | 3.94 |
| MSISE00 | 888.5 | 6.39 | 9.42 | 5.02 | ||
| 5/11/21 | 11 | −19.6 | 886.4 | 6.21 | 6.69 | 8.61 |
| MSISE00 | 848.6 | 5.08 | 5.90 | 8.61 | ||
| Rome | ||||||
| 29/10/21 | 1 | −20.0 | 915.6 | 3.87 | 6.46 | 5.98 |
| MSISE00 | 873.7 | 4.86 | 5.60 | 8.68 | ||
| 3/11/21 | 19 | −18.7 | 856.9 | 4.83 | 5.54 | 8.71 |
| MSISE00 | 850.6 | 5.10 | 6.31 | 8.08 | ||
| 4/11/21 | 72 | 4.8 | 939.6 | 5.57 | 10.46 | 5.33 |
| MSISE00 | 947.3 | 6.76 | 12.07 | 5.60 | ||
| 5/11/21 | 11 | −18.7 | 837.4 | 4.67 | 4.83 | 9.68 |
| MSISE00 | 853.2 | 5.27 | 6.81 | 7.74 | ||
| Millstone Hill | ||||||
| 29/10/21 | 1 | −13.4 | 911.6 | 3.90 | 6.38 | 6.12 |
| MSISE00 | 872.5 | 4.84 | 5.55 | 8.72 | ||
| 3/11/21 | 19 | −16.5 | 1053.5 | 9.22 | 16.39 | 5.63 |
| MSISE00 | 910.1 | 5.95 | 16.39 | 7.54 | ||
| 4/11/21 | 72 | 6.9 | 1149.2 | 2.29 | 22.71 | 1.01 |
| MSISE00 | 960.9 | 7.22 | 11.11 | 6.50 | ||
| 5/11/21 | 11 | −35.4 | 922.9 | 6.08 | 7.60 | 7.99 |
| MSISE00 | 882.0 | 5.46 | 6.65 | 8.00 | ||
Publisher’s Note: MDPI stays neutral with regard to jurisdictional claims in published maps and institutional affiliations. |
© 2022 by the authors. Licensee MDPI, Basel, Switzerland. This article is an open access article distributed under the terms and conditions of the Creative Commons Attribution (CC BY) license (https://creativecommons.org/licenses/by/4.0/).
Share and Cite
Regi, M.; Perrone, L.; Del Corpo, A.; Spogli, L.; Sabbagh, D.; Cesaroni, C.; Alfonsi, L.; Bagiacchi, P.; Cafarella, L.; Carnevale, G.; et al. Space Weather Effects Observed in the Northern Hemisphere during November 2021 Geomagnetic Storm: The Impacts on Plasmasphere, Ionosphere and Thermosphere Systems. Remote Sens. 2022, 14, 5765. https://doi.org/10.3390/rs14225765
Regi M, Perrone L, Del Corpo A, Spogli L, Sabbagh D, Cesaroni C, Alfonsi L, Bagiacchi P, Cafarella L, Carnevale G, et al. Space Weather Effects Observed in the Northern Hemisphere during November 2021 Geomagnetic Storm: The Impacts on Plasmasphere, Ionosphere and Thermosphere Systems. Remote Sensing. 2022; 14(22):5765. https://doi.org/10.3390/rs14225765
Chicago/Turabian StyleRegi, Mauro, Loredana Perrone, Alfredo Del Corpo, Luca Spogli, Dario Sabbagh, Claudio Cesaroni, Laura Alfonsi, Paolo Bagiacchi, Lili Cafarella, Giuseppina Carnevale, and et al. 2022. "Space Weather Effects Observed in the Northern Hemisphere during November 2021 Geomagnetic Storm: The Impacts on Plasmasphere, Ionosphere and Thermosphere Systems" Remote Sensing 14, no. 22: 5765. https://doi.org/10.3390/rs14225765
APA StyleRegi, M., Perrone, L., Del Corpo, A., Spogli, L., Sabbagh, D., Cesaroni, C., Alfonsi, L., Bagiacchi, P., Cafarella, L., Carnevale, G., De Lauretis, M., Di Mauro, D., Di Pietro, P., Francia, P., Heilig, B., Lepidi, S., Marcocci, C., Masci, F., Nardi, A., ... Scotto, C. (2022). Space Weather Effects Observed in the Northern Hemisphere during November 2021 Geomagnetic Storm: The Impacts on Plasmasphere, Ionosphere and Thermosphere Systems. Remote Sensing, 14(22), 5765. https://doi.org/10.3390/rs14225765

