Evaluation of Remote Sensing-Based Evapotranspiration Datasets for Improving Hydrological Model Simulation in Humid Region of East China
Abstract
:1. Introduction
2. Study Area and Data
2.1. Study Area
2.2. Data Sources
2.2.1. In Situ Observations
2.2.2. PML
2.2.3. FLUXCOM
2.2.4. GLEAM
3. Methodology
3.1. Model Setup
3.2. Model Calibration
3.3. Evaluation Indices
3.4. Experimental Design
4. Results and Discussion
4.1. Evaluation of Remote Sensing-Based ET Datasets
4.2. Calibration with Only Runoff (Scheme I)
4.3. Multi-Variable Calibration (Scheme II)
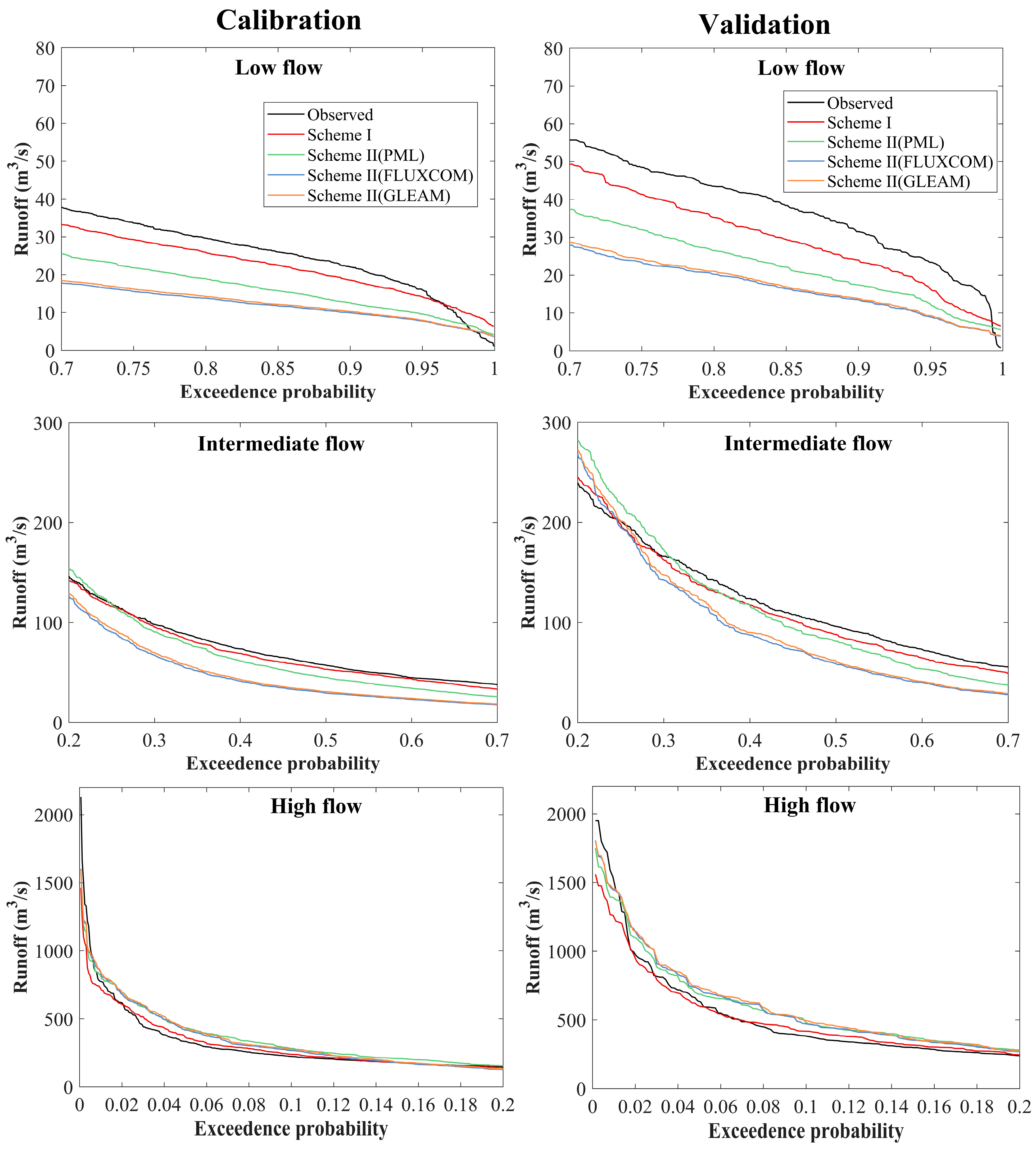
4.3.1. Performance Analysis at Different Temporal Resolutions
4.3.2. Hydrological Signature Analysis
5. Conclusions
- (1)
- All three ET datasets have good performance compared with pan evaporation at the Jinhua River Basin. Among them, FLUXCOM and GLEAM have higher accuracy than PML.
- (2)
- Runoff simulation based on Scheme I shows good performance, with a KGE value of 0.87 in the calibration period and a KGE value of 0.89 in the validation period. The PBIAS values in the calibration and validation period are 3.45% and 4.28%, respectively. However, similar good performance cannot be found in ET simulation.
- (3)
- Scheme II is able to enhance ET simulation and maintain good runoff simulation. Among the three ET datasets, PML performs the best in simulating runoff, with a KGE of 0.87 and a PBIAS of 1.46% in the calibration period and a KEG of 0.91 and a PBIAS of 3.38% in the validation period, and ET simulation is improved with a great reduction in PBIAS (95.85%) and ME (96.72%) in the calibration period. FLUXCOM and GLEAM also show comparable performance in the calibration period.
- (4)
- The DHSVM model calibrated with Scheme II is able to generate reasonable low flow, intermediate flow, and high flow. Compared to Scheme I, Scheme II enhances the performance of extreme flow simulations (including extremely low flow and extremely high flow). PML can be applied to multi-variable calibration in drought forecasting based on the better improvement in extremely low flow simulation. FLUXCOM and GLEAM are good choices for multi-variable calibration in flood forecasting on the basis of the better improvement in extremely high flow simulation.
Author Contributions
Funding
Data Availability Statement
Acknowledgments
Conflicts of Interest
References
- Xie, K.; Liu, P.; Zhang, J.; Wang, G.; Zhang, X.; Zhou, L. Identification of spatially distributed parameters of hydrological models using the dimension-adaptive key grid calibration strategy. J. Hydrol. 2021, 598, 125772. [Google Scholar] [CrossRef]
- Dembélé, M.; Ceperley, N.; Zwart, S.J.; Salvadore, E.; Mariethoz, G.; Schaefli, B. Potential of remote sensing and reanalysis evaporation datasets for hydrological modelling under various model calibration strategies. Adv. Water Resour. 2020, 143, 103667. [Google Scholar] [CrossRef]
- Manfreda, S.; Mita, L.; Dal Sasso, S.F.; Samela, C.; Mancusi, L. Exploiting the use of physical information for the calibration of a lumped hydrological model. Hydrol. Processes 2018, 32, 1420–1433. [Google Scholar] [CrossRef]
- Chlumsky, R.; Mai, J.; Craig, J.R.; Tolson, B.A. Simultaneous calibration of hydrologic model structure and parameters using a blended model. Water Resour. Res. 2021, 57, e2020WR029229. [Google Scholar] [CrossRef]
- Ruiz-Pérez, G.; Koch, J.; Manfreda, S.; Caylor, K.; Francés, F. Calibration of a parsimonious distributed ecohydrological daily model in a data-scarce basin by exclusively using the spatio-temporal variation of NDVI. Hydrol. Earth Syst. Sci. 2017, 21, 6235–6251. [Google Scholar] [CrossRef]
- Gomis-Cebolla, J.; Garcia-Arias, A.; Perpinyà-Vallès, M.; Francés, F. Evaluation of Sentinel-1, SMAP and SMOS surface soil moisture products for distributed eco-hydrological modelling in Mediterranean forest basins. J. Hydrol. 2022, 608, 127569. [Google Scholar] [CrossRef]
- Herman, M.R.; Nejadhashemi, A.P.; Abouali, M.; Hernandez-Suarez, J.S.; Daneshvar, F.; Zhang, Z.; Sharifi, A. Evaluating the role of evapotranspiration remote sensing data in improving hydrological modeling predictability. J. Hydrol. 2018, 556, 39–49. [Google Scholar] [CrossRef]
- Sirisena, T.J.G.; Maskey, S.; Ranasinghe, R. Hydrological model calibration with streamflow and remote sensing based evapotranspiration data in a data poor basin. Remote Sens. 2020, 12, 3768. [Google Scholar] [CrossRef]
- Her, Y.; Seong, C. Responses of hydrological model equifinality, uncertainty, and performance to multi-variable parameter calibration. J. Hydroinform. 2018, 20, 864–885. [Google Scholar] [CrossRef]
- Li, Y.; Grimaldi, S.; Pauwels, V.R.; Walker, J.P. Hydrologic model calibration using remotely sensed soil moisture and discharge measurements: The impact on predictions at gauged and ungauged locations. J. Hydrol. 2018, 557, 897–909. [Google Scholar] [CrossRef]
- Shah, S.; Duan, Z.; Song, X.; Li, R.; Mao, H.; Liu, J.; Wang, M. Evaluating the added value of multi-variable calibration of SWAT with remotely sensed evapotranspiration data for improving hydrological modeling. J. Hydrol. 2021, 603, 127046. [Google Scholar] [CrossRef]
- Ma, D.; Wang, T.; Gao, C.; Pan, S.; Sun, Z.; Xu, Y.P. Potential evapotranspiration changes in Lancang River Basin and Yarlung Zangbo River Basin, southwest China. Hydrol. Sci. J. 2018, 63, 1653–1668. [Google Scholar] [CrossRef]
- Yang, Y.; Chen, R.; Han, C.; Liu, Z. Evaluation of 18 models for calculating potential evapotranspiration in different climatic zones of China. Agric. Water Manag. 2021, 244, 106545. [Google Scholar] [CrossRef]
- Nassar, A.; Torres-Rua, A.; Hipps, L.; Kustas, W.; McKee, M.; Stevens, D.; Coopmans, C. Using remote sensing to estimate scales of spatial heterogeneity to analyze evapotranspiration modeling in a natural ecosystem. Remote Sens. 2022, 14, 372. [Google Scholar] [CrossRef]
- Ruiz-Pérez, G.; González-Sanchis, M.; Del Campo, A.D.; Francés, F. Can a parsimonious model implemented with satellite data be used for modelling the vegetation dynamics and water cycle in water-controlled environments? Ecol. Model. 2016, 324, 45–53. [Google Scholar] [CrossRef]
- Yang, Y.; Anderson, M.; Gao, F.; Xue, J.; Knipper, K.; Hain, C. Improved daily evapotranspiration estimation using remotely sensed data in a data fusion system. Remote Sens. 2022, 14, 1772. [Google Scholar] [CrossRef]
- Melo, D.C.D.; Anache, J.A.A.; Borges, V.P.; Miralles, D.G.; Martens, B.; Fisher, J.B.; Wendland, E. Are remote sensing evapotranspiration models reliable across South American ecoregions? Water Resour. Res. 2021, 57, e2020WR028752. [Google Scholar] [CrossRef]
- Wu, J.; Lakshmi, V.; Wang, D.; Lin, P.; Pan, M.; Cai, X.; Zeng, Z. The reliability of global remote sensing evapotranspiration datasets over Amazon. Remote Sens. 2020, 12, 2211. [Google Scholar] [CrossRef]
- Paca, V.H.D.M.; Espinoza-Dávalos, G.E.; Hessels, T.M.; Moreira, D.M.; Comair, G.F.; Bastiaanssen, W.G. The spatial variability of actual evapotranspiration across the Amazon River Basin based on remote sensing datasets validated with flux towers. Ecol. Processes 2019, 8, 6. [Google Scholar] [CrossRef]
- Poméon, T.; Diekkrüger, B.; Kumar, R. Computationally efficient multivariate calibration and validation of a grid-based hydrologic model in sparsely gauged West African river basins. Water 2018, 10, 1418. [Google Scholar] [CrossRef] [Green Version]
- Rajib, A.; Evenson, G.R.; Golden, H.E.; Lane, C.R. Hydrologic model predictability improves with spatially explicit calibration using remotely sensed evapotranspiration and biophysical parameters. J. Hydrol. 2018, 567, 668–683. [Google Scholar] [CrossRef] [PubMed]
- Jung, M.; Koirala, S.; Weber, U.; Ichii, K.; Gans, F.; Camps-Valls, G.; Reichstein, M. The FLUXCOM ensemble of global land-atmosphere energy fluxes. Sci. Data 2019, 6, 74. [Google Scholar] [CrossRef] [PubMed]
- Martens, B.; Miralles, D.G.; Lievens, H.; Van Der Schalie, R.; De Jeu, R.A.; Fernández-Prieto, D.; Verhoest, N.E. GLEAM v3: Remote sensing-based land evaporation and root-zone soil moisture. Geosci. Model Dev. 2017, 10, 1903–1925. [Google Scholar] [CrossRef]
- Zhang, Y.; Chiew, F.H.; Liu, C.; Tang, Q.; Xia, J.; Tian, J.; Li, C. Can remotely sensed actual evapotranspiration facilitate hydrological prediction in ungauged regions without runoff calibration? Water Resour. Res. 2020, 56, e2019WR026236. [Google Scholar] [CrossRef]
- Tramontana, G.; Jung, M.; Schwalm, C.R.; Ichii, K.; Camps-Valls, G.; Ráduly, B.; Papale, D. Predicting carbon dioxide and energy fluxes across global FLUXNET sites with regression algorithms. Biogeosciences 2016, 13, 4291–4313. [Google Scholar] [CrossRef]
- Yang, X.; Yong, B.; Ren, L.; Zhang, Y.; Long, D. Multi-scale validation of GLEAM evapotranspiration datasets over China via ChinaFLUX ET measurements. Int. J. Remote Sens. 2017, 38, 5688–5709. [Google Scholar] [CrossRef]
- Zhang, Y.; Peña-Arancibia, J.L.; McVicar, T.R.; Chiew, F.H.S.; Vaze, J.; Liu, C.; Lu, X.; Zheng, H.; Wang, Y.; Liu, Y.Y.; et al. Multi-decadal trends in global terrestrial evapotranspiration and its components. Sci. Rep. 2016, 6, 19124. [Google Scholar] [CrossRef]
- Zhang, Y.; Kong, D.; Gan, R.; Chiew, F.H.S.; McVicar, T.R.; Zhang, Q.; Yang, Y. Coupled estimation of 500m and 8-day resolution global evapotranspiration and gross primary datasetion in 2002-2017. Remote Sens. Environ. 2019, 222, 165–182. [Google Scholar] [CrossRef]
- Zhang, Y. PML_V2 Global Evapotranspiration and Gross Primary Datasetion (2002.07–2019.08); National Tibetan Plateau Data Center: Beijing, China, 2020. [Google Scholar]
- Pan, S.; Fu, G.; Chiang, Y.M.; Ran, Q.; Xu, Y.P. A two-step sensitivity analysis for hydrological signatures in Jinhua River Basin, East China. Hydrol. Sci. J. 2017, 62, 2511–2530. [Google Scholar] [CrossRef]
- Xu, Y.P.; Gao, X.; Zhu, Q.; Zhang, Y.; Kang, L. Coupling a regional climate model and a distributed hydrological model to assess future water resources in Jinhua River Basin, East China. J. Hydrol. Eng. 2015, 20, 04014054. [Google Scholar] [CrossRef]
- FLUXCOM. FLUXCOM Global Energy and Carbon Fluxes; Max Planck Institute for Biogeochemistry: Jena, Germany, 2017. [Google Scholar]
- Jung, M.; Reichstein, M.; Schwalm, C.R.; Huntingford, C.; Sitch, S.; Ahlström, A.; Zeng, N. Compensatory water effects link yearly global land CO2 sink changes to temperature. Nature 2017, 541, 516–520. [Google Scholar] [CrossRef] [PubMed]
- Miralles, D.G.; De Jeu, R.A.M.; Gash, J.H.; Holmes, T.R.H.; Dolman, A.J. Magnitude and variability of land evaporation and its components at the global scale. Hydrol. Earth Syst. Sci. 2011, 15, 967–981. [Google Scholar] [CrossRef]
- Wigmosta, M.S.; Vail, L.W.; Lettenmaier, D.P. A distributed hydrology-vegetation model for complex terrain. Water Resour. Res. 1994, 30, 1665–1679. [Google Scholar] [CrossRef]
- Wigmosta, M.S.; Burges, S.J. An adaptive modeling and monitoring approach to describe the hydrologic behavior of small catchments. J. Hydrol. 1997, 202, 48–77. [Google Scholar] [CrossRef]
- Wigmosta, M.S.; Nijssen, B.; Storck, P.; Lettenmaier, D.P. The Distributed Hydrology Soil Vegetation Model; Mathematical Models of Small Watershed Hydrology and Applications; US Department of Energy: Oak Ridge, TN, USA, 2002; pp. 7–42. [Google Scholar]
- Cuo, L.; Giambelluca, T.W.; Ziegler, A.D. Lumped parameter sensitivity analysis of a distributed hydrological model within tropical and temperate catchments. Hydrol. Processes 2011, 25, 2405–2421. [Google Scholar] [CrossRef]
- Xu, Y.P.; Pan, S.; Fu, G.; Tian, Y.; Zhang, X. Future potential evapotranspiration changes and contribution analysis in Zhejiang Province, East China. J. Geophys. Res.: Atmos. 2014, 119, 2174–2192. [Google Scholar] [CrossRef]
- Sun, N.; Yearsley, J.; Voisin, N.; Lettenmaier, D.P. A spatially distributed model for the assessment of land use impacts on stream temperature in small urban watersheds. Hydrol. Processes 2015, 29, 2331–2345. [Google Scholar] [CrossRef]
- Pan, S.; Liu, L.; Bai, Z.; Xu, Y.P. Integration of remote sensing evapotranspiration into multi-variable calibration of distributed hydrology–soil–vegetation model (DHSVM) in a humid region of China. Water 2018, 10, 1841. [Google Scholar] [CrossRef]
- Gupta, H.V.; Kling, H.; Yilmaz, K.K.; Martinez, G.F. Decomposition of the mean squared error and NSE performance criteria: Implications for improving hydrological modelling. J. Hydrol. 2009, 377, 80–91. [Google Scholar] [CrossRef]
- Kling, H.; Fuchs, M.; Paulin, M. Runoff conditions in the upper Danube basin under an ensemble of climate change scenarios. J. Hydrol. 2012, 424, 264–277. [Google Scholar] [CrossRef]
- Li, C.; Zhang, Y.; Shen, Y.; Kong, D.; Zhou, X. LUCC-driven changes in gross primary datasetion and actual evapotranspiration in northern China. J. Geophys. Res. Atmos. 2020, 125, e2019JD031705. [Google Scholar]
- Ma, N.; Szilagyi, J.; Jozsa, J. Benchmarking large-scale evapotranspiration estimates: A perspective from a calibration-free complementary relationship approach and FLUXCOM. J. Hydrol. 2020, 590, 125221. [Google Scholar] [CrossRef]
- Althoff, D.; Rodrigues, L.N.; da Silva, D.D.; Bazame, H.C. Improving methods for estimating small reservoir evaporation in the Brazilian Savanna. Agric. Water Manag. 2019, 216, 105–112. [Google Scholar] [CrossRef]
- Safeeq, M.; Fares, A. Hydrologic response of a Hawaiian watershed to future climate change scenarios. Hydrol. Processes 2012, 26, 2745–2764. [Google Scholar] [CrossRef]
- Leuning, R.; Zhang, Y.Q.; Rajaud, A.; Cleugh, H.; Tu, K. A simple surface conductance model to estimate regional evaporation using MODIS leaf area index and the Penman-Monteith equation. Water Resour. Res. 2008, 44, 10. [Google Scholar] [CrossRef]
- Zhang, Y.; Leuning, R.; Hutley, L.B.; Beringer, J.; McHugh, I.; Walker, J.P. Using long-term water balances to parameterize surface conductances and calculate evaporation at 0.05 spatial resolution. Water Resour. Res. 2010, 46, 5. [Google Scholar] [CrossRef]
- Euser, T.; Winsemius, H.C.; Hrachowitz, M.; Fenicia, F.; Uhlenbrook, S.; Savenije, H.H.G. A framework to assess the realism of model structures using hydrological signatures. Hydrol. Earth Syst. Sci. 2013, 17, 1893–1912. [Google Scholar] [CrossRef]
- Addor, N.; Nearing, G.; Prieto, C.; Newman, A.J.; Le Vine, N.; Clark, M.P. A ranking of hydrological signatures based on their predictability in space. Water Resour. Res. 2018, 54, 8792–8812. [Google Scholar] [CrossRef]
- McMillan, H.; Westerberg, I.; Branger, F. Five guidelines for selecting hydrological signatures. Hydrol. Processes 2017, 31, 4757–4761. [Google Scholar] [CrossRef]
- Olden, J.D.; Poff, N.L. Redundancy and the choice of hydrologic indices for characterizing streamflow regimes. River Res. Appl. 2003, 19, 101–121. [Google Scholar] [CrossRef]
- Oudin, L.; Hervieu, F.; Michel, C.; Perrin, C.; Andréassian, V.; Anctil, F.; Loumagne, C. Which potential evapotranspiration input for a lumped rainfall–runoff model?: Part 2—Towards a simple and efficient potential evapotranspiration model for rainfall–runoff modelling. J. Hydrol. 2005, 303, 290–306. [Google Scholar] [CrossRef]
- Becker, R.; Koppa, A.; Schulz, S.; Usman, M.; aus der Beek, T.; Schueth, C. Spatially distributed model calibration of a highly managed hydrological system using remote sensing-derived ET data. J. Hydrol. 2019, 577, 123944. [Google Scholar] [CrossRef]










| Parameter | Meaning | Unit | Abbreviation | Range |
|---|---|---|---|---|
| Rain LAI multiplier | Multiplier for LAI to determine interception capacity for rain | m | Rj | 0.00001–0.001 |
| Lateral conductivity (CL) | Lateral conductivity for clay loam, used to calculate movement of lateral runoff | m/s | K (CL) | 0.00001–0.09 |
| Porosity (CL) | Porosity for clay loam, soil moisture content when soil is saturated | m3/m3 | φ (CL) | 0.35–0.6 |
| Field capacity (CL) | Field capacity for clay loam, used to estimate available water for subsurface layers | m3/m3 | θfc (CL) | 0.16–0.4 |
| Wilting point (CL) | Wilting point for clay loam, used to calculate evapotranspiration | m3/m3 | θwp (CL) | 0.05–0.25 |
| Understory monthly LAI (CrL) | Understory leaf area index for cropland | m2/m2 | ULAI (CrL) | 0.3–3 |
| Understory minimum resistance (CrL) | Understory minimum stomatal resistance for cropland | s/m | URsmin (CrL) | 50–300 |
| Soil moisture threshold (CrL) | Soil moisture threshold above which soil moisture does not restrict transpiration for cropland | m3/m3 | θ* (CrL) | 0.1–0.35 |
| Root zone depth (CrL) | These are in effect the depths of the various soil layers for cropland | m | D (CrL) | 0.1–0.8 |
| Periods | KGE | PBIAS (%) | RMSE | R | ME |
|---|---|---|---|---|---|
| Calibration (2004–2008) | 0.87 | 3.45 | 68.51 | 0.89 | −3.69 |
| Validation (2009–2010) | 0.89 | 4.28 | 99.03 | 0.92 | −7.60 |
| Periods | ET Datasets | KGE | PBIAS (%) | RMSE | R | ME |
|---|---|---|---|---|---|---|
| Calibration (2004–2008) | PML-V2 | 0.68 | 0.48 | 0.79 | 0.72 | −0.01 |
| FLUXCOM | 0.59 | 22.55 | 1.17 | 0.66 | −0.55 | |
| GLEAM | 0.58 | 20.18 | 1.22 | 0.63 | −0.48 | |
| Validation (2009–2010) | PML-V2 | 0.61 | 14.93 | 0.81 | 0.73 | 0.27 |
| FLUXCOM | 0.65 | 14.03 | 1.07 | 0.68 | −0.34 | |
| GLEAM | 0.62 | 11.92 | 1.12 | 0.66 | −0.28 |
| Periods | ET Datasets | KGE | PBIAS (%) | RMSE | R | ME | |||||
|---|---|---|---|---|---|---|---|---|---|---|---|
| ET | Runoff | ET | Runoff | ET | Runoff | ET | Runoff | ET | Runoff | ||
| Calibration (2004–2008) | PML-V2 | 0.77 | 0.87 | 0.84 | 1.46 | 0.60 | 74.72 | 0.85 | 0.89 | 0.02 | 1.56 |
| FLUXCOM | 0.79 | 0.72 | 3.32 | 11.82 | 0.87 | 75.16 | 0.79 | 0.89 | −0.08 | −12.62 | |
| GLEAM | 0.84 | 0.75 | 5.24 | 9.34 | 0.77 | 76.10 | 0.85 | 0.89 | −0.12 | −9.98 | |
| Validation (2009–2010) | PML-V2 | 0.71 | 0.91 | 12.50 | 3.38 | 0.54 | 104.05 | 0.89 | 0.92 | 0.23 | 6.00 |
| FLUXCOM | 0.80 | 0.85 | 3.37 | 2.58 | 0.82 | 108.42 | 0.81 | 0.92 | 0.08 | −4.58 | |
| GLEAM | 0.86 | 0.86 | 0.79 | 0.33 | 0.74 | 110.36 | 0.86 | 0.92 | −0.02 | −0.58 | |
| Periods | Calibration Scheme | Hydrological Signature | |
|---|---|---|---|
| L1 | H1 | ||
| Calibration (2004–2008) | Observed runoff | 0.020 | 13.6 |
| Scheme I | 0.088 | 9.6 | |
| Scheme II (PML) | 0.057 | 10.2 | |
| Scheme II (FLUXCOM) | 0.056 | 12.3 | |
| Scheme II (GLEAM) | 0.056 | 12.0 | |
| Validation (2009–2010) | Observed runoff | 0.034 | 8.2 |
| Scheme I | 0.070 | 6.5 | |
| Scheme II (PML-V2) | 0.049 | 6.8 | |
| Scheme II (FLUXCOM) | 0.039 | 7.6 | |
| Scheme II (GLEAM) | 0.040 | 7.5 | |
Publisher’s Note: MDPI stays neutral with regard to jurisdictional claims in published maps and institutional affiliations. |
© 2022 by the authors. Licensee MDPI, Basel, Switzerland. This article is an open access article distributed under the terms and conditions of the Creative Commons Attribution (CC BY) license (https://creativecommons.org/licenses/by/4.0/).
Share and Cite
Pan, S.; Xu, Y.-P.; Gu, H.; Yu, B.; Xuan, W. Evaluation of Remote Sensing-Based Evapotranspiration Datasets for Improving Hydrological Model Simulation in Humid Region of East China. Remote Sens. 2022, 14, 4546. https://doi.org/10.3390/rs14184546
Pan S, Xu Y-P, Gu H, Yu B, Xuan W. Evaluation of Remote Sensing-Based Evapotranspiration Datasets for Improving Hydrological Model Simulation in Humid Region of East China. Remote Sensing. 2022; 14(18):4546. https://doi.org/10.3390/rs14184546
Chicago/Turabian StylePan, Suli, Yue-Ping Xu, Haiting Gu, Bai Yu, and Weidong Xuan. 2022. "Evaluation of Remote Sensing-Based Evapotranspiration Datasets for Improving Hydrological Model Simulation in Humid Region of East China" Remote Sensing 14, no. 18: 4546. https://doi.org/10.3390/rs14184546
APA StylePan, S., Xu, Y.-P., Gu, H., Yu, B., & Xuan, W. (2022). Evaluation of Remote Sensing-Based Evapotranspiration Datasets for Improving Hydrological Model Simulation in Humid Region of East China. Remote Sensing, 14(18), 4546. https://doi.org/10.3390/rs14184546
