An Efficient Maritime Target Joint Detection and Imaging Method with Airborne ISAR System
Abstract
:1. Introduction
- i
- It circumvents maritime target detection and clutter suppression performances degradation in the ISAR system, which is achieved by eliminating the RW and target extending issues based on the sub-band STAP;
- ii
- The coarse estimation of target R-D location obtained in the sub-band STAP output is subsequently utilized as a priori knowledge, which gives facilities to the fast full-band STAP applied in the localized R-D zone for the simultaneous clutter suppression and high-resolution ISAR imaging.
2. Signal Model
3. ISAR Imaging Based on the Multi-Resolution STAP
3.1. Robust Clutter Suppression with Sub-Band STAP
3.2. Efficient ISAR Imaging with the Full-Band STAP
4. Simulation Results
4.1. SCNR-Enhanced Sub-Band STAP
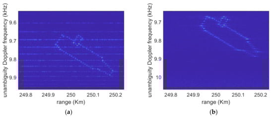
4.2. Efficient ISAR Imaging with Full-Band STAP
5. Conclusions
Author Contributions
Funding
Conflicts of Interest
References
- Lv, X.; Xing, M.; Wan, C.; Zhang, S. ISAR imaging of maneuvering targets based on the range centroid Doppler technique. IEEE Trans. Image Process. 2010, 19, 141–153. [Google Scholar] [PubMed]
- Huang, P.; Liao, G.; Xia, X.-G.; Yang, Z.; Ma, J. A novel algorithm for ISAR imaging based on parameter estimation of cubic phase signal. In Proceedings of the 2016 CIE International Conference on Radar, Guangzhou, China, 10–13 October 2016; pp. 1220–1224. [Google Scholar]
- Chen, V.; Martorella, M. Inverse Synthetic Aperture Radar Imaging: Principles, Algorithms and Applications; Institution of Engineering and Technology: Stevenage, UK, 2014. [Google Scholar]
- Melvin, W.L. A stap overview. IEEE Aerosp. Electron. Syst. Mag. 2004, 19, 19–35. [Google Scholar] [CrossRef]
- Guerci, J.R. Space-Time Adaptive Processing for Radar; Artech House: Norwood, MA, USA, 2003. [Google Scholar]
- Ward, J. Space-Time Adaptive Processing for Airborne Radar; Lincoln Lab, MIT: Lexington, MA, USA, 1994. [Google Scholar]
- Hu, J.; Tung, W.-W.; Gao, J. A New Way to Model Nonstationary Sea Clutter. IEEE Signal Process. Lett. 2009, 16, 129–132. [Google Scholar] [CrossRef] [Green Version]
- Chen, X.; Huang, Y.; Liu, N.; Guan, J.; He, Y. Radon-fractional ambiguity function-based detection method of low-observable maneuvering target. IEEE Trans. Aerosp. Electron. Syst. 2015, 51, 815–833. [Google Scholar] [CrossRef]
- Wu, W.; Wang, G.H.; Sun, J.P. Polynomial Radon-Polynomial Fourier transform for near space hypersonic maneuvering target detection. IEEE Trans. Aerosp. Electron. Syst. 2018, 54, 1306–1322. [Google Scholar] [CrossRef]
- Xu, J.; Yu, J.; Peng, Y.; Xia, X.-G. Radon-Fourier transform for radar target detection, (I): Generalized Doppler filter bank. IEEE Trans. Aerosp. Electron. Syst. 2011, 47, 1186–1202. [Google Scholar] [CrossRef]
- Xu, J.; Zhou, X.; Qian, L.; Xia, X.; Long, T. Hybrid integration for highly maneuvering radar target detection based on generalized radon-fourier transform. IEEE Trans. Aerosp. Electron. Syst. 2016, 52, 2554–2561. [Google Scholar] [CrossRef]
- Li, H.; Liao, G.; Xu, J. An efficient ISAR imaging method based on sliding window STAP. In Proceedings of the IEEE 11th Sensor Array and Multichannel Signal Processing Workshop, Hangzhou, China, 8–11 June 2020. [Google Scholar]
- Berizzi, F.; Dalle Mese, E.; Diani, M.; Martorella, M. High-Resolution ISAR Imaging of Maneuvering Targets by Means of the Range Instantaneous Doppler Technique: Modeling and Performance Analysis. IEEE Trans. Image Process. 2001, 10, 1880–1890. [Google Scholar] [CrossRef] [PubMed]
- Alessio, B.; Macro, M.; Douglas, A.G.; Fabrizio, B. Space-Doppler adaptive processing for radar imaging of moving targets masked by ground clutter. IET Radar Sonar Navig. 2014, 9, 712–726. [Google Scholar]
- Wang, H.; Cai, L. On adaptive spatial-temporal processing for airborne surveillance radar systems. IEEE Trans. Aerosp. Electron. Syst. 1994, 30, 660–670. [Google Scholar] [CrossRef]
- Dipietro, R.C. Extended factored space-time processing for airborne radar systems. In Proceedings of the 26th Asilomar Conference on Signals, Systems and Computing, Pacific Grove, CA, USA, 26–28 October 1992; pp. 425–430. [Google Scholar]
- Delphine, C.-M.; Jens, K.; Andreas, R.B. Airborne SAR moving target signatures and imagery based on LVD. IEEE Trans. Geosci. Remote Sens. 2008, 46, 3019–3030. [Google Scholar]
- Li, H.; Liao, G.; Xu, J.; Zeng, C. Multi-Resolution STAP for Enhanced Ultra-Low-Altitude Target Detection. Remote Sens. 2021, 13, 4212. [Google Scholar] [CrossRef]
- Reed, I.S.; Mallett, J.D.; Brennan, L.E. Rapid convergence rate in adaptive arrays. IEEE Trans. Aerosp. Electron. Syst. 1974, 10, 853–863. [Google Scholar] [CrossRef]
- Sarkar, T.K. A deterministic least-squares approach to space-time adaptive processing (STAP). IEEE Trans. Antennas Propag. 2001, 49, 91–103. [Google Scholar] [CrossRef] [Green Version]
- Choi, W.; Sarkar, T.K. Minimum norm property for the sum of the adaptive weights for a direct data domain least squares algorithm. IEEE Trans. Antennas Propag. 2006, 54, 1045–1050. [Google Scholar] [CrossRef]
- Cristallini, D.; Burger, W. A robust direct data domain approach for STAP. IEEE Trans. Signal Process. 2012, 60, 1283–1294. [Google Scholar] [CrossRef]
- Weiss, M. Analysis of some modified cell averaging CFAR processors in multiple-target simulations. IEEE Trans. Aerosp. Electron. Syst. 1982, 18, 102–114. [Google Scholar] [CrossRef]
- Xu, J.; Liao, G.; So, H.C. Space-Time Adaptive Processing with Vertical Frequency Diverse Array for Range-Ambiguous Clutter Suppression. IEEE Trans. Geosci. Remote Sens. 2016, 54, 5352–5364. [Google Scholar] [CrossRef]
- Lan, L.; Liao, G.; Xu, J.; Zhang, Y.; Liao, B. Transceive Beamforming with Accurate Nulling in FDA-MIMO Radar for Imaging. IEEE Trans. Geosci. Remote Sens. 2020, 58, 4145–4159. [Google Scholar] [CrossRef]
- Lan, L.; Xu, J.; Liao, G.; Zhang, Y.; Fioranelli, F.; So, H.C. Suppression of Mainbeam Deceptive Jammer with FDA-MIMO Radar. IEEE Trans. Veh. Technol. 2020, 69, 11584–11598. [Google Scholar] [CrossRef]
- Xiang, T.S.; Wang, L.; Cao, Z.X.; Zhu, D.Y. Doppler-estimation based methods for airborne ISAR imaging of non-cooperative ship targets: Demonstration and analysis. In Proceedings of the IEEE international Radar symposium (IRS), Prague, Czech Republic, 28–30 June 2017; pp. 1–10. [Google Scholar]




| Parameter | Value | Parameter | Value |
|---|---|---|---|
| Carrier frequency | 10 GHz | Platform height | 10 km |
| Full bandwidth | 50 MHz | Platform velocity | 150 m/s |
| CPI | 0.7 s | Array number | 8 |
| PRF | 6 kHz | Pulse width | 10 µs |
| Slant range of target | 250 km | clutter-to-noise ratio | 40 dB |
| SNR | −10 dB | Target velocity | 19.5 m/s |
| Sub-band width | 10 MHz | Target rotation vector | 0.0175 rad/s |
| Methods | Output SCNR |
|---|---|
| Conventional full-band STAP | 1.42 dB |
| Sub-band STAP | 9.63 dB |
Publisher’s Note: MDPI stays neutral with regard to jurisdictional claims in published maps and institutional affiliations. |
© 2022 by the authors. Licensee MDPI, Basel, Switzerland. This article is an open access article distributed under the terms and conditions of the Creative Commons Attribution (CC BY) license (https://creativecommons.org/licenses/by/4.0/).
Share and Cite
Li, H.; Liao, G.; Xu, J.; Lan, L. An Efficient Maritime Target Joint Detection and Imaging Method with Airborne ISAR System. Remote Sens. 2022, 14, 193. https://doi.org/10.3390/rs14010193
Li H, Liao G, Xu J, Lan L. An Efficient Maritime Target Joint Detection and Imaging Method with Airborne ISAR System. Remote Sensing. 2022; 14(1):193. https://doi.org/10.3390/rs14010193
Chicago/Turabian StyleLi, Haodong, Guisheng Liao, Jingwei Xu, and Lan Lan. 2022. "An Efficient Maritime Target Joint Detection and Imaging Method with Airborne ISAR System" Remote Sensing 14, no. 1: 193. https://doi.org/10.3390/rs14010193
APA StyleLi, H., Liao, G., Xu, J., & Lan, L. (2022). An Efficient Maritime Target Joint Detection and Imaging Method with Airborne ISAR System. Remote Sensing, 14(1), 193. https://doi.org/10.3390/rs14010193

