Global Runoff Signatures Changes and Their Response to Atmospheric Environment, GRACE Water Storage, and Dams
Abstract
:1. Introduction
2. Materials
2.1. Runoff Signatures Data
- The runoff data with more than 10 consecutive data are regarded as missing data [27].
- For each station, the data in the year with missing observations more than 10% is discarded [28].
- The station is deleted if the streamflow valid recording length is less than 10 years (not necessarily continuous) at a station during 1975–2017 (the period chosen for the research).
2.2. GRACE Satellite Data
2.3. Atmospheric Circulation Data
2.4. Dams Data
3. Methods
3.1. Trend Detection
3.2. Field Significance Resampling Methods
- Select a time series as the reference period for resampling, such as {1975, 1976, 1977, 1978, 1979, ..., 2009, 2010}, then randomly resample based on this reference to make the length of the new sequence unchanged and the order change. For example, {1980, 1996, 2003, 1975, 1986, ..., 2009, 1978}.
- The time series obtained through resampling in step (1) corresponds to the observation value of RS in the corresponding year one by one for all stations to get a new resampled dataset [37].
- Conduct the Mann–Kendall test for the time series obtained in step (2) at each station at the 0.05 significance level. Additionally, the percentages of stations with significant increase and decrease trends are calculated, respectively.
- Repeat steps (1) through (3) 2000 times to obtain a dataset that can reflect the percentage distribution of stations with significant trends.
- Calculate the 95th percentile in the dataset obtained in step (4), which represents the ratio of stations with significant trends. Additionally, the ratio of stations with significant trends in the reference observations is also calculated.
- Compare the 95th percentile with the observed percentage value, if the latter is larger, it indicates that the observed percentage value is not generated randomly but is significant. That is, the no-change null hypothesis is rejected while the observed ratio value is outside the 90% confidence interval of the resampling distribution.
4. Results
4.1. Spatial Patterns of Trends in Runoff Signatures
4.2. The Response of Runoff Signatures to Atmospheric Circulation
4.3. The Response of Runoff Signatures to TWSA of GRACE Satellite
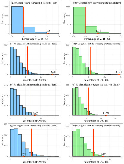
4.4. The Influences of Dams on Runoff Signatures
5. Discussion
6. Conclusions
Author Contributions
Funding
Institutional Review Board Statement
Informed Consent Statement
Data Availability Statement
Acknowledgments
Conflicts of Interest
References
- Westerberg, I.K.; McMillan, H.K. Uncertainty in hydrological signatures. Hydrol. Earth Syst. Sci. 2015, 19, 3951–3968. [Google Scholar] [CrossRef] [Green Version]
- Gudmundsson, L.; Boulange, J.; Do, H.X.; Gosling, S.N.; Grillakis, M.G.; Koutroulis, A.G.; Leonard, M.; Liu, J.G.; Schmied, H.M.; Papadimitriou, L.; et al. Globally observed trends in mean and extreme river flow attributed to climate change. Science 2021, 371, 1159–1162. [Google Scholar] [CrossRef]
- Zhang, Y.Q.; Chiew, F.H.S.; Li, M.; Post, D. Predicting Runoff Signatures Using Regression and Hydrological Modeling Approaches. Water Resour. Res. 2018, 54, 7859–7878. [Google Scholar] [CrossRef]
- Liu, J.Y.; Zhang, Q.; Singh, V.P.; Shi, P.J. Contribution of multiple climatic variables and human activities to streamflow changes across China. J. Hydrol. 2017, 545, 145–162. [Google Scholar] [CrossRef] [Green Version]
- Ahn, K.H.; Merwade, V. Quantifying the relative impact of climate and human activities on streamflow. J. Hydrol. 2014, 515, 257–266. [Google Scholar] [CrossRef]
- Gudmundsson, L.; Seneviratne, S.I.; Zhang, X.B. Anthropogenic climate change detected in European renewable freshwater resources. Nat. Clim. Chang. 2017, 7, 813–826. [Google Scholar] [CrossRef]
- Berghuijs, W.R.; Larsen, J.R.; van Emmerik, T.H.M.; Woods, R.A. A Global Assessment of Runoff Sensitivity to Changes in Precipitation, Potential Evaporation, and Other Factors. Water Resour. Res. 2017, 53, 8475–8486. [Google Scholar] [CrossRef] [Green Version]
- Berghuijs, W.R.; Woods, R.A. A simple framework to quantitatively describe monthly precipitation and temperature climatology. Int. J. Climatol. 2016, 36, 3161–3174. [Google Scholar] [CrossRef] [Green Version]
- Liu, J.Y.; Zhang, Q.; Feng, S.Y.; Gu, X.H.; Singh, V.P.; Sun, P. Global Attribution of Runoff Variance Across Multiple Timescales. J. Geophys. Res.-Atmos. 2019, 124, 13962–13974. [Google Scholar] [CrossRef]
- Marvel, K.; Cook, B.I.; Bonfils, C.J.W.; Durack, P.J.; Smerdon, J.E.; Williams, A.P. Twentieth-century hydroclimate changes consistent with human influence. Nature 2019, 569, 59–65. [Google Scholar] [CrossRef] [PubMed]
- Douville, H.; Ribes, A.; Decharme, B.; Alkama, R.; Sheffield, J. Anthropogenic influence on multidecadal changes in reconstructed global evapotranspiration. Nat. Clim. Chang. 2013, 3, 59–62. [Google Scholar] [CrossRef]
- Greve, P.; Gudmundsson, L.; Seneviratne, S.I. Regional scaling of annual mean precipitation and water availability with global temperature change. Earth Syst. Dynam. 2018, 9, 227–240. [Google Scholar] [CrossRef] [Green Version]
- Haddeland, I.; Heinke, J.; Biemans, H.; Eisner, S.; Florke, M.; Hanasaki, N.; Konzmann, M.; Ludwig, F.; Masaki, Y.; Schewe, J.; et al. Global water resources affected by human interventions and climate change. Proc. Natl. Acad. Sci. USA 2014, 111, 3251–3256. [Google Scholar] [CrossRef] [Green Version]
- Sharma, A.; Wasko, C.; Lettenmaier, D.P. If Precipitation Extremes Are Increasing, Why Aren’t Floods? Water Resour. Res. 2018, 54, 8545–8551. [Google Scholar] [CrossRef]
- Kusche, J.; Eicker, A.; Forootan, E.; Springer, A.; Longuevergne, L. Mapping probabilities of extreme continental water storage changes from space gravimetry. Geophys. Res. Lett. 2016, 43, 8026–8034. [Google Scholar] [CrossRef] [Green Version]
- Reager, J.T.; Thomas, B.F.; Famiglietti, J.S. River basin flood potential inferred using GRACE gravity observations at several months lead time. Nat. Geosci. 2014, 7, 589–593. [Google Scholar] [CrossRef]
- Liu, J.Y.; Zhang, Y.Q.; Yang, Y.T.; Gu, X.H.; Xiao, M.Z. Investigating Relationships Between Australian Flooding and Large-Scale Climate Indices and Possible Mechanism. J. Geophys. Res.-Atmos. 2018, 123, 8708–8723. [Google Scholar] [CrossRef]
- Liu, J.Y.; Zhang, Y.Q. Multi-temporal clustering of continental floods and associated atmospheric circulations. J. Hydrol. 2017, 555, 744–759. [Google Scholar] [CrossRef]
- Merz, B.; Aerts, J.; Arnbjerg-Nielsen, K.; Baldi, M.; Becker, A.; Bichet, A.; Bloschl, G.; Bouwer, L.M.; Brauer, A.; Cioffi, F.; et al. Floods and climate: Emerging perspectives for flood risk assessment and management. Nat. Hazards Earth Syst. Sci. 2014, 14, 1921–1942. [Google Scholar] [CrossRef] [Green Version]
- Jain, S.; Lall, U. Floods in a changing climate: Does the past represent the future? Water Resour. Res. 2001, 37, 3193–3205. [Google Scholar] [CrossRef]
- Ward, P.J.; Beets, W.; Bouwer, L.M.; Aerts, J.; Renssen, H. Sensitivity of river discharge to ENSO. Geophys. Res. Lett. 2010, 37, 6. [Google Scholar] [CrossRef] [Green Version]
- Yun, X.B.; Tang, Q.H.; Wang, J.; Liu, X.C.; Zhang, Y.Q.; Lu, H.; Wang, Y.L.; Zhang, L.; Chen, D.L. Impacts of climate change and reservoir operation on streamflow and flood characteristics in the Lancang-Mekong River Basin. J. Hydrol. 2020, 590, 11. [Google Scholar] [CrossRef]
- Zhang, Y.; Viney, N.; Frost, A.; Oke, A.; Brooks, M.; Chen, Y.; Campbell, N. Collation of Australian Modeller’s Streamflow Dataset for 780 Unregulated Australian Catchments; CSIRO: Canberra, Australia, 2013.
- Alvarez-Garreton, C.; Mendoza, P.A.; Boisier, J.P.; Addor, N.; Galleguillos, M.; Zambrano-Bigiarini, M.; Lara, A.; Puelma, C.; Cortes, G.; Garreaud, R.; et al. The CAMELS-CL dataset: Catchment attributes and meteorology for large sample studies-Chile dataset. Hydrol. Earth Syst. Sci. 2018, 22, 5817–5846. [Google Scholar] [CrossRef] [Green Version]
- Falcone, J.A.; Carlisle, D.M.; Meador, W. GAGES (Geospatial Attributes of Gages for Evaluating Streamflow): A stream gage database for evaluating natural and altered flow conditions in the conterminous United States. Ecology 2010, 91, 621. [Google Scholar] [CrossRef]
- Gudmundsson, L.; Greve, P.; Seneviratne, S.I. The sensitivity of water availability to changes in the aridity index and other factors-A probabilistic analysis in the Budyko space. Geophys. Res. Lett. 2016, 43, 6985–6994. [Google Scholar] [CrossRef] [Green Version]
- Gudmundsson, L.; Leonard, M.; Do, H.X.; Westra, S.; Seneviratne, S.I. Observed Trends in Global Indicators of Mean and Extreme Streamflow. Geophys. Res. Lett. 2019, 46, 756–766. [Google Scholar] [CrossRef] [Green Version]
- Do, H.X.; Westra, S.; Leonard, M. A global-scale investigation of trends in annual maximum streamflow. J. Hydrol. 2017, 552, 28–43. [Google Scholar] [CrossRef]
- Slater, L.J.; Villarini, G. Recent trends in US flood risk. Geophys. Res. Lett. 2016, 43, 12428–12436. [Google Scholar] [CrossRef] [Green Version]
- Li, F.P.; Kusche, J.; Chao, N.F.; Wang, Z.T.; Locher, A. Long-Term (1979–Present) Total Water Storage Anomalies Over the Global Land Derived by Reconstructing GRACE Data. Geophys. Res. Lett. 2021, 48, e2021GL093492. [Google Scholar] [CrossRef]
- Kobayashi, S.; Ota, Y.; Harada, Y.; Ebita, A.; Moriya, M.; Onoda, H.; Onogi, K.; Kamahori, H.; Kobayashi, C.; Endo, H.; et al. The JRA-55 Reanalysis: General Specifications and Basic Characteristics. J. Meteorol. Soc. Jpn. 2015, 93, 5–48. [Google Scholar] [CrossRef] [Green Version]
- Mann, H.B. Nonparametric test against trend. Econometrica 1945, 13, 245–259. [Google Scholar] [CrossRef]
- Kendall, M.G. Rank Correlation Measures, 4th ed.; Charles Griffin: London, UK, 1975; p. 272. [Google Scholar]
- Wilks, D.S. Statistical Methods in the Atmospheric Sciences; Academic Press: Cambridge, MA, USA, 2011; Volume 100. [Google Scholar]
- Ishak, E.H.; Rahman, A.; Westra, S.; Sharma, A.; Kuczera, G. Evaluating the non-stationarity of Australian annual maximum flood. J. Hydrol. 2013, 494, 134–145. [Google Scholar] [CrossRef]
- Westra, S.; Alexander, L.V.; Zwiers, F.W. Global Increasing Trends in Annual Maximum Daily Precipitation. J. Clim. 2013, 26, 3904–3918. [Google Scholar] [CrossRef] [Green Version]
- Patton, A.; Politis, D.N.; White, H. Correction to “Automatic Block-Length Selection for the Dependent Bootstrap” by D. Politis and H. White. Econom. Rev. 2009, 28, 372–375. [Google Scholar] [CrossRef]
- King, A.D.; Alexander, L.V.; Donat, M.G. Asymmetry in the response of eastern Australia extreme rainfall to low-frequency Pacific variability. Geophys. Res. Lett. 2013, 40, 2271–2277. [Google Scholar] [CrossRef]
- Najibi, N.; Devineni, N.; Lu, M.Q.; Perdigao, R.A.P. Coupled flow accumulation and atmospheric blocking govern flood duration. npj Clim. Atmos. Sci. 2019, 2, 13. [Google Scholar] [CrossRef]
- Johnson, F.; White, C.J.; van Dijk, A.; Ekstrom, M.; Evans, J.P.; Jakob, D.; Kiem, A.S.; Leonard, M.; Rouillard, A.; Westra, S. Natural hazards in Australia: Floods. Clim. Chang. 2016, 139, 21–35. [Google Scholar] [CrossRef] [Green Version]
- Liu, J.Y.; You, Y.Y.; Zhang, Q.; Gu, X.H. Attribution of streamflow changes across the globe based on the Budyko framework. Sci. Total Environ. 2021, 794, 148662. [Google Scholar] [CrossRef] [PubMed]
- Hodgkins, G.A.; Whitfield, P.H.; Burn, D.H.; Hannaford, J.; Renard, B.; Stahl, K.; Fleig, A.K.; Madsen, H.; Mediero, L.; Korhonen, J.; et al. Climate-driven variability in the occurrence of major floods across North America and Europe. J. Hydrol. 2017, 552, 704–717. [Google Scholar] [CrossRef] [Green Version]
- Burn, D.H. Climatic influences on streamflow timing in the headwaters of the Mackenzie River Basin. J. Hydrol. 2008, 352, 225–238. [Google Scholar] [CrossRef]
- Kingston, D.G.; Fleig, A.K.; Tallaksen, L.M.; Hannah, D.M. Ocean-Atmosphere Forcing of Summer Streamflow Drought in Great Britain. J. Hydrometeorol. 2013, 14, 331–344. [Google Scholar] [CrossRef]
- Verdon, D.C.; Wyatt, A.M.; Kiem, A.S.; Franks, S.W. Multidecadal variability of rainfall and streamflow: Eastern Australia. Water Resour. Res. 2004, 40, 8. [Google Scholar] [CrossRef]
- Barnett, T.P.; Pierce, D.W.; Hidalgo, H.G.; Bonfils, C.; Santer, B.D.; Das, T.; Bala, G.; Wood, A.W.; Nozawa, T.; Mirin, A.A.; et al. Human-induced changes in the hydrology of the western United States. Science 2008, 319, 1080–1083. [Google Scholar] [CrossRef] [PubMed] [Green Version]
- Diffenbaugh, N.S.; Swain, D.L.; Touma, D. Anthropogenic warming has increased drought risk in California. Proc. Natl. Acad. Sci. USA 2015, 112, 3931–3936. [Google Scholar] [CrossRef] [PubMed] [Green Version]
- FitzHugh, T.W.; Vogel, R.M. The impact of dams on flood flows in the United States. River Res. Appl. 2011, 27, 1192–1215. [Google Scholar] [CrossRef]
- Jaramillo, F.; Destouni, G. Local flow regulation and irrigation raise global human water consumption and footprint. Science 2015, 350, 1248–1251. [Google Scholar] [CrossRef]








| Group | Signature | Definition | Unit | Median |
|---|---|---|---|---|
| Low flow | ZFR | Zero flow ratio | Unitless | 0.00 |
| Q10 | Daily flow at the 10th percentile | m3/s | 1.32 | |
| Q50 | Daily flow at the 50th percentile | m3/s | 3.91 | |
| High flow | Q99 | Daily flow at the 99th percentile | m3/s | 49.48 |
| Mean flow | Qm | Mean daily flow | m3/s | 7.77 |
| Qw | Mean daily flow during winter (Dec.–Jan.–Feb.) | m3/s | 5.77 | |
| Qs | Mean daily flow during summer (Jun.–Jul.–Aug.) | m3/s | 7.84 | |
| Flow dynamics | Qstd | Standard deviation of daily streamflow | m3/s | 10.48 |
| Number | Source | Website or Reference |
|---|---|---|
| 9180 stations | National Water Information System of the US; GAGES-II database | https://waterdata.usgs.gov/nwis; Falcone et al., 2010 (accessed on 4 August 2021) |
| 4628 stations | Global Runoff Data Centre | http://grdc.bafg.de (accessed on 4 August 2021) |
| 3029 stations | HidroWeb portal of the Brazilian Agência Nacional de Águas | http://www.snirh.gov.br/hidroweb (accessed on 4 August 2021) |
| 2260 stations | EURO-FRIEND-Water | http://ne-friend.bafg.de (accessed on 4 August 2021) |
| 1479 stations | Canada National Water Data Archive | https://www.canada.ca/en/environment-climate-change (accessed on 4 August 2021) |
| 776 stations | Commonwealth Scientific and Industrial Research Organization (CSIRO); Australian Bureau of Meteorology | http://www.bom.gov.au/waterdata;Zhang et al., 2013 (accessed on 4 August 2021) |
| 531 stations | Chilean Center for Climate and Resilience Research; CAMELS-CL | http://www.cr2.cl/recursos-y-publicaciones/bases-de-datos/datos-de-caudales; Alvarez-Garreton et.al., 2018 (accessed on 4 August 2021) |
Publisher’s Note: MDPI stays neutral with regard to jurisdictional claims in published maps and institutional affiliations. |
© 2021 by the authors. Licensee MDPI, Basel, Switzerland. This article is an open access article distributed under the terms and conditions of the Creative Commons Attribution (CC BY) license (https://creativecommons.org/licenses/by/4.0/).
Share and Cite
Yan, S.; Liu, J.; Gu, X.; Kong, D. Global Runoff Signatures Changes and Their Response to Atmospheric Environment, GRACE Water Storage, and Dams. Remote Sens. 2021, 13, 4084. https://doi.org/10.3390/rs13204084
Yan S, Liu J, Gu X, Kong D. Global Runoff Signatures Changes and Their Response to Atmospheric Environment, GRACE Water Storage, and Dams. Remote Sensing. 2021; 13(20):4084. https://doi.org/10.3390/rs13204084
Chicago/Turabian StyleYan, Sheng, Jianyu Liu, Xihui Gu, and Dongdong Kong. 2021. "Global Runoff Signatures Changes and Their Response to Atmospheric Environment, GRACE Water Storage, and Dams" Remote Sensing 13, no. 20: 4084. https://doi.org/10.3390/rs13204084
APA StyleYan, S., Liu, J., Gu, X., & Kong, D. (2021). Global Runoff Signatures Changes and Their Response to Atmospheric Environment, GRACE Water Storage, and Dams. Remote Sensing, 13(20), 4084. https://doi.org/10.3390/rs13204084

