The Capability of Integrating Optical and Microwave Data for Detecting Soil Moisture in an Oasis Region
Abstract
1. Introduction
2. Materials and Methods
2.1. Overview of the Study Region
2.2. Observation Data
2.2.1. Soil Moisture, Texture, and Bulk
- The soil sample of each site was uniformly mixed and placed into an aluminum box, which was weighed and recorded, then transported back to the laboratory for drying until the soil was completely dehydrated, cooled to room temperature, and weighed in a cool place. The soil moisture was calculated. The range of measured soil moisture value was 0.00 to 47.59%, and the average was 24.17%.
- The collected soil samples were transported to the laboratory, the plant and gravel impurities were removed after air drying, the soil was ground and sieved with a 0.5 mm aperture sieve; physical and chemical analyses were then conducted to measure soil texture and soil bulk density.
2.2.2. Soil Roughness
- Using a camera, the soil roughness was captured, ensuring that the samples board was perpendicular to the ground and that the camera was parallel to the soil surface.
- The discrete height value of each point was extracted by every 1 cm of the vectorized data, and data were saved in Excel for the next step.
- The data of the discrete height value were analyzed according to the equations of root mean square height and related length; therefore, the correlation length and the root mean square height was obtained. The range of the correlation length value was 13.73 cm to 42.16 cm, and the average was 24.09 cm. The range of the root mean square height value was 0.32 cm to 3.69 cm, and the average was 1.68 cm.
2.3. Satellite Data
2.3.1. Sentinel-1 Data
- Filtering and denoising processing (refined-Lee filtering, 3 pixels by 3 pixels window) was performed to eliminate speckle noise.
- Geocoding was performed, using digital elevation maps for geometric fine correction.
- Radiation calibration was conducted to obtain the backscattering coefficient in the multipolarization mode of the target region.
2.3.2. Landsat-8 OLI Data
2.4. Methodology
2.4.1. Dubois Model
2.4.2. Topp Model
2.4.3. Ratio Model
2.4.4. Minimum-Maximum (Min-Max) Normalization Approach
2.4.5. Accuracy Assessment
3. Results
3.1. Removing the Vegetation Effect
3.2. Constructing the Soil Moisture Retrieval Model
3.3. Soil Moisture Retrieval
4. Discussion
5. Conclusions
- Based on the Dubois model, in situ soil roughness, the soil moisture, and radar system configuration parameters were used to simulate the backscattering coefficient of bare soil, which solved the unknown coefficient of the ratio model, on one hand, and verified the feasibility of the ratio model on the other hand.
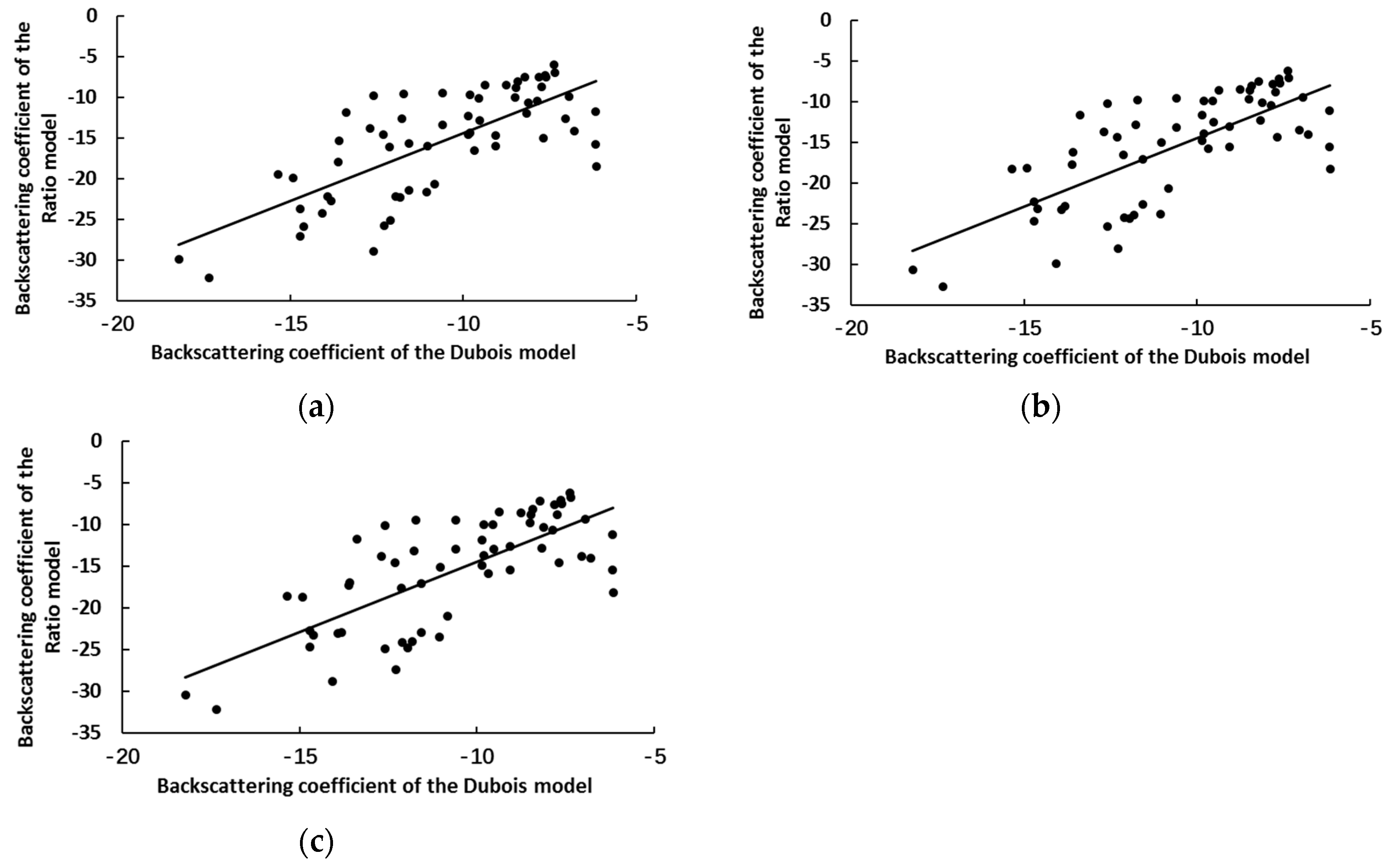
- The VWC, NDVI, and EVI were the three vegetation parameters that were selected to characterize the scattering contribution of vegetation; based on the ratio model, the least squares method was used to calibrate the unknown coefficient. Based on this model, the unknown coefficient was certain; the backscattering coefficient of bare soil was simulated and fitted with the backscattering coefficient, simulated by the Dubois model, which found that the ratio model could effectively simulate the scattering characteristics of bare soil.
- The Dubois model was used to simulate the backscattering coefficient of the soil; an empirical relationship between it and the in situ soil moisture was established. Based on the model we conducted, the spatial soil moisture was successfully derived.
- The in situ soil moisture was used to analyze the accuracy of the soil moisture derived in this oasis under three vegetation indices. The results show that the soil moisture retrieval accuracy was the highest under the VWC vegetation index, and the soil moisture retrieval accuracy was not much different under NDVI and EVI vegetation indices. The results show that the soil moisture model conducted on the Dubois model and ratio model is feasible.
Author Contributions
Funding
Conflicts of Interest
References
- Kornelsen, K.C.; Coulibaly, P. Advances in soil moisture retrieval from synthetic aperture radar and hydrological applications. J. Hydrol. 2013, 476, 460–489. [Google Scholar] [CrossRef]
- Gao, F.; Wang, J.; Sun, C.; Wen, J. Advances in Study on Microwave Remote Sensing of Soil Moisture. Remote Sens. Technol. Appl. 2001, 16, 97–102. [Google Scholar]
- Procházka, P.; Hönig, V.; Maitah, M.; Pljučarská, I.; Kleindienst, J. Evaluation of Water Scarcity in Selected Countries of the Middle East. Water 2018, 10, 1482. [Google Scholar] [CrossRef]
- Zhe, Y.; Lei, T.; Yan, Q.; Chen, Z.; Dong, Y.J.C. A near-infrared reflectance sensor for soil surface moisture measurement. Comput. Electron. Agric. 2013, 99, 101–107. [Google Scholar]
- Lo, M.H.; Famiglietti, J.S. Irrigation in California’s Central Valley strengthens the southwestern US water cycle. Geophys. Res. Lett. 2013, 40, 301–306. [Google Scholar] [CrossRef]
- Hong, Z.; Zhang, W.; Yu, C.; Zhang, D.; Li, L.; Meng, L. SWCTI: Surface Water Content Temperature Index for Assessment of Surface Soil Moisture Status. Sensors 2018, 18, 2875. [Google Scholar] [CrossRef]
- Machiwal, D.; Gupta, A.; Jha, M.K.; Kamble, T. Analysis of trend in temperature and rainfall time series of an Indian arid region: Comparative evaluation of salient techniques. Theor. Appl. Climatol. 2019, 136, 301–320. [Google Scholar] [CrossRef]
- Jin, H.; Zhu, Q.; Zhao, X.; Zhang, Y. Simulation and Prediction of Climate Variability and Assessment of the Response of Water Resources in a Typical Watershed in China. Water 2016, 8, 490. [Google Scholar] [CrossRef]
- Sorooshian, S.; Li, J.; Hsu, K.L.; Gao, X. How significant is the impact of irrigation on the local hydroclimate in California’s Central Valley? Comparison of model results with ground and remote-sensing data. J. Geophys. Res. Atmos. 2011, 116. [Google Scholar] [CrossRef]
- Fisher, J.B.; Melton, F.; Middleton, E.; Hain, C.; Anderson, M.; Allen, R.; Mccabe, M.; Hook, S.; Baldocchi, D.; Townsend, P.A. The Future of Evapotranspiration: Global requirements for ecosystem functioning, carbon and climate feedbacks, agricultural management, and water resources. Water Resour. Res. 2017, 53, 2618–2626. [Google Scholar] [CrossRef]
- Qiaozhen, M.U.; Zhao, M.; Steven, W. Improvements to a MODIS global terrestrial evapotranspiration algorithm. Remote Sens. Environ. 2011, 115, 1781–1800. [Google Scholar]
- Lei, F.; Crow, W.T.; Kustas, W.P.; Dong, J.; Yang, Y.; Knipper, K.R.; Anderson, M.C.; Gao, F.; Notarnicola, C.; Greifeneder, F.; et al. Data assimilation of high-resolution thermal and radar remote sensing retrievals for soil moisture monitoring in a drip-irrigated vineyard. Remote Sens. Environ. 2020, 239, 111622. [Google Scholar] [CrossRef] [PubMed]
- Zhao, J.; Zhong, Y.; Hu, X.; Wei, L.; Zhang, L. A robust spectral-spatial approach to identifying heterogeneous crops using remote sensing imagery with high spectral and spatial resolutions. Remote Sens. Environ. 2020, 239, 111605. [Google Scholar] [CrossRef]
- Tong, X.-Y.; Xia, G.-S.; Lu, Q.; Shen, H.; Li, S.; You, S.; Zhang, L. Land-cover classification with high-resolution remote sensing images using transferable deep models. Remote Sens. Environ. 2020, 237, 111322. [Google Scholar] [CrossRef]
- Zhang, K.; Chao, L.-J.; Wang, Q.-Q.; Huang, Y.-C.; Liu, R.-H.; Hong, Y.; Tu, Y.; Qu, W.; Ye, J.-Y. Using multi-satellite microwave remote sensing observations for retrieval of daily surface soil moisture across China. Water Sci. Eng. 2019, 12, 85–97. [Google Scholar] [CrossRef]
- Meyer, T.; Weihermüller, L.; Vereecken, H.; Jonard, F. Vegetation Optical Depth and Soil Moisture Retrieved from L-Band Radiometry over the Growth Cycle of a Winter Wheat. Remote Sens. 2018, 10, 1637. [Google Scholar] [CrossRef]
- Bai, X.; He, B.; Li, X.; Zeng, J.; Wang, X.; Wang, Z.; Zeng, Y.; Su, Z. First Assessment of Sentinel-1A Data for Surface Soil Moisture Estimations Using a Coupled Water Cloud Model and Advanced Integral Equation Model over the Tibetan Plateau. Remote Sens. 2017, 9, 714. [Google Scholar] [CrossRef]
- Zhang, L.; Meng, Q.; Yao, S.; Wang, Q.; Zeng, J.; Zhao, S.; Ma, J. Soil Moisture Retrieval from the Chinese GF-3 Satellite and Optical Data over Agricultural Fields. Sensors 2018, 18, 2675. [Google Scholar] [CrossRef]
- Rahman, M.S.; Di, L.; Yu, E.; Lin, L.; Zhang, C.; Tang, J. Rapid Flood Progress Monitoring in Cropland with NASA SMAP. Remote Sens. 2019, 11, 191. [Google Scholar] [CrossRef]
- Gherboudj, I.; Magagi, R.; Berg, A.A.; Toth, B. Soil moisture retrieval over agricultural fields from multi-polarized and multi-angular RADARSAT-2 SAR data. Remote Sens. Environ. 2011, 115, 33–43. [Google Scholar] [CrossRef]
- Chai, X.; Zhang, T.; Shao, Y.; Gong, H.; Liu, L.; Xie, K. Modeling and Mapping Soil Moisture of Plateau Pasture Using RADARSAT-2 Imagery. Remote Sens. 2015, 7, 1279–1299. [Google Scholar] [CrossRef]
- Pratola, C.; Barrett, B.; Gruber, A.; Dwyer, E. Quality Assessment of the CCI ECV Soil Moisture Product Using ENVISAT ASAR Wide Swath Data over Spain, Ireland and Finland. Remote Sens. 2015, 7, 15388–15423. [Google Scholar] [CrossRef]
- Dabrowska-Zielinska, K.; Budzynska, M.; Tomaszewska, M.; Malinska, A.; Gatkowska, M.; Bartold, M.; Malek, I. Assessment of Carbon Flux and Soil Moisture in Wetlands Applying Sentinel-1 Data. Remote Sens. 2016, 8, 756. [Google Scholar] [CrossRef]
- Alexakis, D.D.; Mexis, F.-D.K.; Vozinaki, A.-E.K.; Daliakopoulos, I.N.; Tsanis, I.K. Soil Moisture Content Estimation Based on Sentinel-1 and Auxiliary Earth Observation Products. A Hydrological Approach. Sensors 2017, 17, 1455. [Google Scholar] [CrossRef]
- Gao, Q.; Zribi, M.; Escorihuela, M.J.; Baghdadi, N. Synergetic Use of Sentinel-1 and Sentinel-2 Data for Soil Moisture Mapping at 100 m Resolution. Sensors 2017, 17, 1966. [Google Scholar] [CrossRef]
- Liu, Z.; Li, P.; Yang, J. Soil Moisture Retrieval and Spatiotemporal Pattern Analysis Using Sentinel-1 Data of Dahra, Senegal. Remote Sens. 2017, 9, 1197. [Google Scholar] [CrossRef]
- Huang, S.; Ding, J.; Zou, J.; Liu, B.; Chen, W. Soil Moisture Retrival Based on Sentinel-1 Imagery under Sparse Vegetation Coverage. Sensors 2019, 19, 589. [Google Scholar] [CrossRef]
- Azza, G.; Mehrez, Z.; Nicolas, B.; Bernard, M.; Pascal, F.; Zohra, C.J.R.S. Retrieval of Both Soil Moisture and Texture Using TerraSAR-X Images. Remote Sens. 2015, 7, 10098–10116. [Google Scholar]
- Wang, C.; Zhang, Z.; Paloscia, S.; Zhang, H.; Wu, F.; Wu, Q. Permafrost Soil Moisture Monitoring Using Multi-Temporal TerraSAR-X Data in Beiluhe of Northern Tibet, China. Remote Sens. 2018, 10, 1577. [Google Scholar] [CrossRef]
- Oh, Y.; Sarab, K.; Ulaby, F.T. Semi-Empirical Model of the Ensemble-Averaged Differential Mueller Matrix for Microwave Backscattering from Bare Soil Surfaces. IEEE Trans. Geosci. Remote Sens. 2002, 40, 1348–1355. [Google Scholar] [CrossRef]
- Dubois, P.C.; Van Zyl, J.; Engman, T. Measuring soil moisture with imaging radars. IEEE Trans. Geosci. Remote Sens. 1995, 33, 915–926. [Google Scholar] [CrossRef]
- Fung, A.K.; Li, Z.; Chen, K.S. Backscattering from a randomly rough dielectric surface. IEEE Trans. Geosci. Remote Sens. 1992, 30, 356–369. [Google Scholar] [CrossRef]
- Pettinato, S.; Santi, E.; Paloscia, S.; Pampaloni, P.; Fontanelli, G. The Intercomparison of X-Band SAR Images from COSMO? SkyMed and TerraSAR-X Satellites: Case Studies. Remote Sens. 2013, 5, 2928–2942. [Google Scholar] [CrossRef]
- Choker, M.; Baghdadi, N.; Zribi, M.; El Hajj, M.; Paloscia, S.; Verhoest, N.E.C.; Lievens, H.; Mattia, F. Evaluation of the Oh, Dubois and IEM Backscatter Models Using a Large Dataset of SAR Data and Experimental Soil Measurements. Water 2017, 9, 38. [Google Scholar] [CrossRef]
- Wu, T.D.; Chen, K.S.; Shi, J.; Fung, A.K. A transition model for the reflection coefficient in surface scattering. IEEE Trans. Geosci. Remote Sens. 1998, 39, 2040–2050. [Google Scholar]
- He, L.; Jing, M.C.; Chen, K.S. Simulation and SMAP Observation of Sun-Glint over the Land Surface at the L-Band. IEEE Trans. Geosci. Remote Sens. 2017, 55, 2589–2604. [Google Scholar] [CrossRef]
- Chen, K.S.; Wu, T.D.; Tsang, L.; Li, Q.; Shi, J.; Fung, A.K. Emission of rough surfaces calculated by the integral equation method with comparison to three-dimensional moment method simulations. IEEE Trans. Geosci. Remote Sens. 2003, 41, 90–101. [Google Scholar] [CrossRef]
- Lievens, H.; Verhoest, N.E. On the Retrieval of Soil Moisture in Wheat Fields from L-Band SAR Based on Water Cloud Modeling, the IEM, and Effective Roughness Parameters. IEEE Geosci. Remote Sens. Lett. 2011, 8, 740–744. [Google Scholar] [CrossRef]
- He, B.; Xing, M.; Bai, X. A Synergistic Methodology for Soil Moisture Estimation in an Alpine Prairie Using Radar and Optical Satellite Data. Remote Sens. 2014, 6, 10966–10985. [Google Scholar] [CrossRef]
- Wang, C.; Qi, J. Biophysical estimation in tropical forests using JERS-1 SAR and VNIR imagery. II. Aboveground woody biomass. Int. J. Remote Sens. 2008, 29, 6827–6849. [Google Scholar] [CrossRef]
- Notarnicola, C.; Angiulli, M.; Posa, F. Use of radar and optical remotely sensed data for soil moisture retrieval over vegetated areas. IEEE Trans. Geosci. Remote Sens. 2006, 44, 925–935. [Google Scholar] [CrossRef]
- Mattar, C.; Wigneron, J.-P.; Sobrino, J.A.; Novello, N.; Calvet, J.C.; Albergel, C.; Richaume, P.; Mialon, A.; Guyon, D.; Jimenez-Munoz, J.C.; et al. A combined optical–microwave method to retrieve soil moisture over vegetated areas. IEEE Trans. Geosci. Remote Sens. 2012, 50, 1404–1413. [Google Scholar] [CrossRef]
- Xu, C.; Qu, J.J.; Hao, X.; Wu, D. Monitoring Surface Soil Moisture Content over the Vegetated Area by Integrating Optical and SAR Satellite Observations in the Permafrost Region of Tibetan Plateau. Remote Sens. 2020, 12, 183. [Google Scholar] [CrossRef]
- Santi, E.; Paloscia, S.; Pettinato, S.; Notarnicola, C.; Pasolli, L.; Pistocchi, A. Comparison between SAR Soil Moisture Estimates and Hydrological Model Simulations over the Scrivia Test Site. Remote Sens. 2013, 5, 4961–4976. [Google Scholar] [CrossRef]
- Li, J.; Wang, S. Using SAR-Derived Vegetation Descriptors in a Water Cloud Model to Improve Soil Moisture Retrieval. Remote Sens. 2018, 10, 1370. [Google Scholar] [CrossRef]
- Attarzadeh, R.; Amini, J.; Notarnicola, C.; Greifeneder, F. Synergetic Use of Sentinel-1 and Sentinel-2 Data for Soil Moisture Mapping at Plot Scale. Remote Sens. 2018, 10, 1285. [Google Scholar] [CrossRef]
- Bousbih, S.; Zribi, M.; El Hajj, M.; Baghdadi, N.; Lili-Chabaane, Z.; Gao, Q.; Fanise, P. Soil Moisture and Irrigation Mapping in A Semi-Arid Region, Based on the Synergetic Use of Sentinel-1 and Sentinel-2 Data. Remote Sens. 2018, 10, 1953. [Google Scholar] [CrossRef]
- Ulaby, F.T.; Batlivala, P.P.; Dobson, M.C. Microwave Backscatter Dependence on Surface Roughness, Soil Moisture, and Soil Texture: Part I-Bare Soil. IEEE Trans. Geosci. Electron. 1978, 16, 286–295. [Google Scholar] [CrossRef]
- Panciera, R.; Tanase, M.A.; Lowell, K.; Walker, J.P. Evaluation of IEM, Dubois, and Oh radar backscatter models using airborne L-band SAR. IEEE Trans. Geosci. Remote Sens. 2013, 52, 4966–4979. [Google Scholar] [CrossRef]
- Merzouki, A.; McNairn, H.; Pacheco, A. Evaluation of the Dubois, Oh, and IEM radar backscatter models over agricultural fields using C-band RADARSAT-2 SAR image data. Can. J. Remote Sens. 2010, 36, S274–S286. [Google Scholar] [CrossRef]
- Oh, Y.; Sarabandi, K.; Ulaby, F.T. An empirical model and an inversion technique for radar scattering from bare soil surfaces. IEEE Trans. Geosci. Remote Sens. 1992, 30, 370–381. [Google Scholar] [CrossRef]
- Topp, G.C.; Davis, J.; Annan, A.P. Electromagnetic determination of soil water content: Measurements in coaxial transmission lines. Water Resour. Res. 1980, 16, 574–582. [Google Scholar] [CrossRef]
- Joseph, A.T.; van der Velde, R.; O’Neill, P.E.; Lang, R.H.; Gish, T. Soil moisture retrieval during a corn growth cycle using L-band (1.6 GHz) radar observations. IEEE Trans. Geosci. Remote Sens. 2008, 46, 2365–2374. [Google Scholar] [CrossRef]
- Joseph, A.; van der Velde, R.; O’neill, P.; Lang, R.; Gish, T. Effects of corn on C-and L-band radar backscatter: A correction method for soil moisture retrieval. Remote Sens. Environ. 2010, 114, 2417–2430. [Google Scholar] [CrossRef]
- Prakash, R.; Singh, D.; Pathak, N.P. A fusion approach to retrieve soil moisture with SAR and optical data. IEEE J. Sel. Top. Appl. Earth Obs. Remote Sens. 2011, 5, 196–206. [Google Scholar] [CrossRef]
- Kweon, S.K.; Oh, Y. A Modified Water-Cloud Model with Leaf Angle Parameters for Microwave Backscattering from Agricultural Fields. IEEE Trans. Geosci. Remote Sens. 2015, 53, 2802–2809. [Google Scholar] [CrossRef]














| Class | Sites | Description |
|---|---|---|
| Agriculture | 21 | Planting crops |
| Natural vegetation | 19 | Almost all vegetation is shrubs with a high vegetation coverage |
| Bare land | 10 | No vegetation cover |
| Water | 5 | Rivers, reservoirs |
| Salinized | 14 | No vegetation cover, but there are salt shells on the surface |
| Vegetation Indices | HH Polarization | VV Polarization | ||||
|---|---|---|---|---|---|---|
| a | b | c | a | b | c | |
| VWC | −0.23 | 1.15 | −0.38 | −0.26 | 1.13 | −0.40 |
| NDVI | −0.16 | 1.02 | −0.02 | −0.15 | 1.01 | −0.24 |
| EVI | −0.09 | 0.99 | −0.23 | −0.10 | 0.98 | −0.24 |
| SAR | Vegetation Index | HH Polarization | VV Polarization | ||
|---|---|---|---|---|---|
| R | RMSE | R | RMSE | ||
| Sentinel-1 | VWC | 0.83 | 3.02 | 0.73 | 3.65 |
| NDVI | 0.81 | 3.26 | 0.72 | 3.79 | |
| EVI | 0.81 | 3.30 | 0.72 | 3.84 | |
| d | e | R | RMSE | |
|---|---|---|---|---|
| HH polarization | 0.96 | 30.18 | 0.75 | 4.56 |
| VV polarization | 0.92 | 23.72 | 0.72 | 3.27 |
| VWC | NDVI | EVI | |
|---|---|---|---|
| 0–0.2 | 1,509,041 (24.36%) | 1,577,622 (25.47%) | 1,662,995 (26.85%) |
| 0.2–0.4 | 3,853,753 (62.22%) | 3,749,477 (60.53%) | 3,703,183 (59.79%) |
| 0.4–0.6 | 818,423 (13.21%) | 841,098 (13.58%) | 799,751 (12.91%) |
| 0.6–0.8 | 12,282 (0.20%) | 25,158 (0.41%) | 27,313 (0.44%) |
| 0.8–1 | 151 (0.01%) | 295 (0.01%) | 408 (0.01%) |
| Count | 6,193,650 | 6,193,650 | 6,193,650 |
| Model | Coefficient of Determination (R2) | RMSE (vol. %) | Bias |
|---|---|---|---|
| VWC | 0.76 | 2.04 | 0.86 |
| NDVI | 0.73 | 2.43 | 1.09 |
| EVI | 0.74 | 2.39 | 1.14 |
© 2020 by the authors. Licensee MDPI, Basel, Switzerland. This article is an open access article distributed under the terms and conditions of the Creative Commons Attribution (CC BY) license (http://creativecommons.org/licenses/by/4.0/).
Share and Cite
Huang, S.; Ding, J.; Liu, B.; Ge, X.; Wang, J.; Zou, J.; Zhang, J. The Capability of Integrating Optical and Microwave Data for Detecting Soil Moisture in an Oasis Region. Remote Sens. 2020, 12, 1358. https://doi.org/10.3390/rs12091358
Huang S, Ding J, Liu B, Ge X, Wang J, Zou J, Zhang J. The Capability of Integrating Optical and Microwave Data for Detecting Soil Moisture in an Oasis Region. Remote Sensing. 2020; 12(9):1358. https://doi.org/10.3390/rs12091358
Chicago/Turabian StyleHuang, Shuai, Jianli Ding, Bohua Liu, Xiangyu Ge, Jinjie Wang, Jie Zou, and Junyong Zhang. 2020. "The Capability of Integrating Optical and Microwave Data for Detecting Soil Moisture in an Oasis Region" Remote Sensing 12, no. 9: 1358. https://doi.org/10.3390/rs12091358
APA StyleHuang, S., Ding, J., Liu, B., Ge, X., Wang, J., Zou, J., & Zhang, J. (2020). The Capability of Integrating Optical and Microwave Data for Detecting Soil Moisture in an Oasis Region. Remote Sensing, 12(9), 1358. https://doi.org/10.3390/rs12091358

