Probabilistic Cloud Masking for the Generation of CM SAF Cloud Climate Data Records from AVHRR and SEVIRI Sensors
Abstract
1. Introduction
2. Data and Methods
2.1. Satellite Data
2.2. Basic Theory—The Naïve Bayesian Classifier
2.3. Constrained Training over Different Earth Surfaces
2.4. Finding the Thinnest Clouds with Acceptable Detectability
2.5. Constraining the Training of a Statistical Classifier Using the CDS Parameter
2.6. Specification of Different Earth Surface Categories
- The 1 km land cover characterization from the United States Geological Survey (USGS, [19]) was used to separate land and ocean surfaces.
- The Global 30 arc seconds topography database GTOPO30 (https://www.usgs.gov/centers/eros/science/usgs-eros-archive-digital-elevation-global-30-arc-second-elevation-gtopo30?qtscience_center_objects=0#qt-science_center_objects) was used to separate homogeneous and rough (mountainous) terrain.
- The products OSI-450 and OSI-430b from the Ocean and Sea Ice Satellite Application Facility (OSISAF) project [20] provided sea ice concentrations.
- The ERA5 reanalysis dataset [21] provided snow occurrence and land surface temperature.
- The separation between dry and vegetated land surfaces was made based on surface emissivity information provided by the Moderate Resolution Imaging Spectroradiometer (MODIS) MYD11C3 product (https://lpdaac.usgs.gov/products/myd11c3v006/). Results were aggregated into climatologies with a monthly temporal resolution before being used during training.
- The coastal zone was defined using the fraction of land calculated from the USGS 1 km land cover information in an 11 × 11 USGS pixel neighborhood. Results were remapped to the closest AVHRR or SEVIRI pixel and pixels with fraction of land larger than 25% but less than 90% were regarded as coastal. Notice also that areas in the vicinity to rivers or small lakes may be classified as coastal.
2.7. Selected Image Features in AVHRR and SEVIRI Imagery
2.8. Solving Problems with AVHRR Data Representativity in the Available CALIPSO Matchup Dataset
- CALIOP matchups with AVHRR and SEVIRI observations are only possible during nadir overpasses (from the CALIPSO perspective);
- CALIPSO is orbiting in an afternoon orbit (with equator crossing time in the ascending mode near 13:30 Local Time).
- Training of cloud screening methods utilizing data from the 1.6 µm channel (i.e., channel 3a) can only be done at very high latitudes since AVHRR sensors with this channel mainly operates in morning orbits.
- Since near-nadir viewing angles dominate the global AVHRR-CALIOP matchups, training data are mostly missing for medium to high viewing angles.
- Training of sunglint signatures is severely restricted since global CALIPSO matchups require small satellite viewing angles for the AVHRR sensor at a local observation time several hours apart from noon (thus excluding the occurrence of specular reflection of the sun in the field of view of collocated data).
2.8.1. Training with 1.6 µm Channel Data
2.8.2. Representing Measurements at High Viewing Angles
- Surfaces or clouds may reflect differently (anisotropically) at high angles;
- The cloud-free atmosphere and thin clouds look more opaque at high angles.
2.8.3. Treatment of Sunglints
2.9. Final Training Dataset and Selection of Independent Validation Data
2.9.1. AVHRR Training and Validation
2.9.2. SEVIRI Training and Validation
3. Results
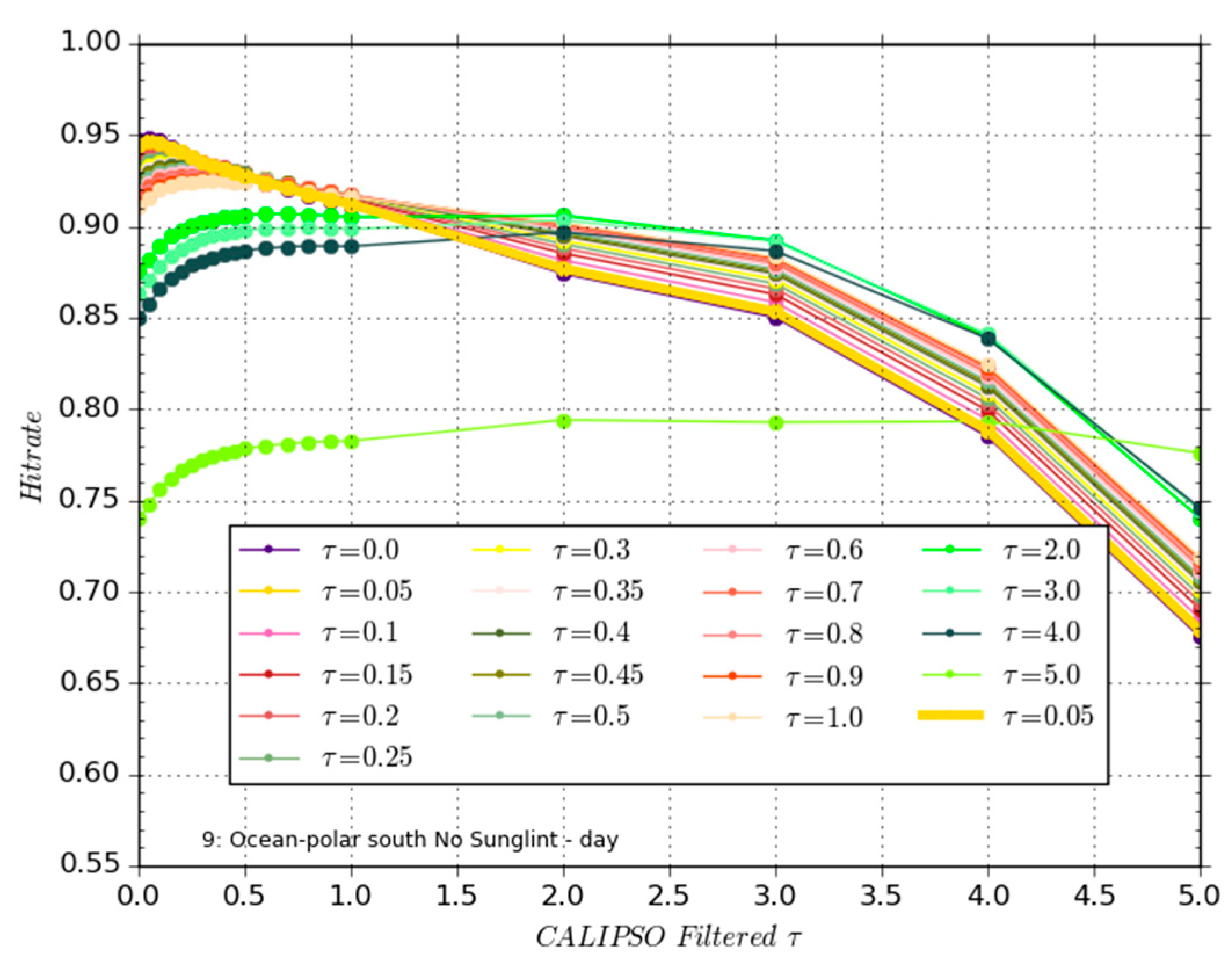
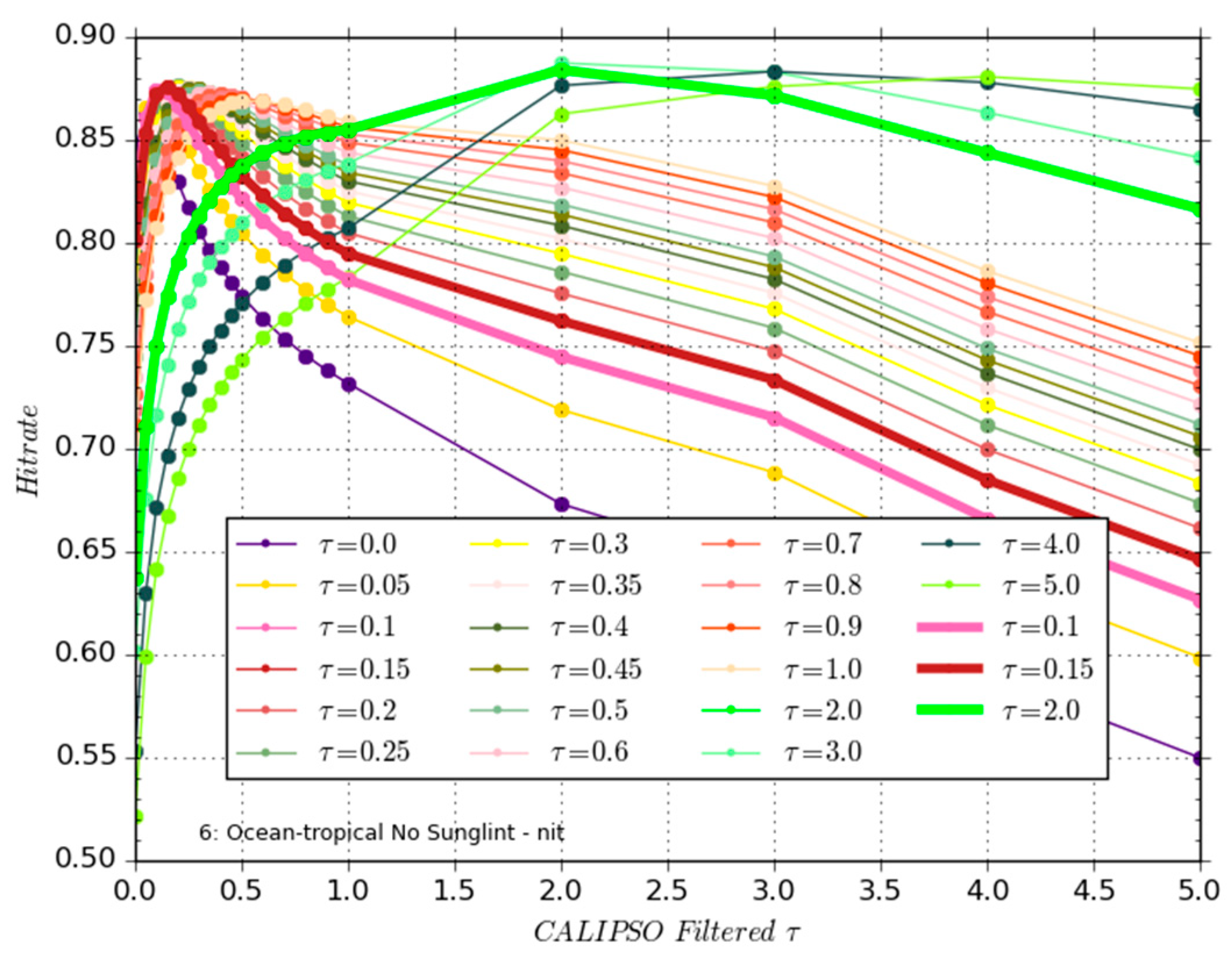
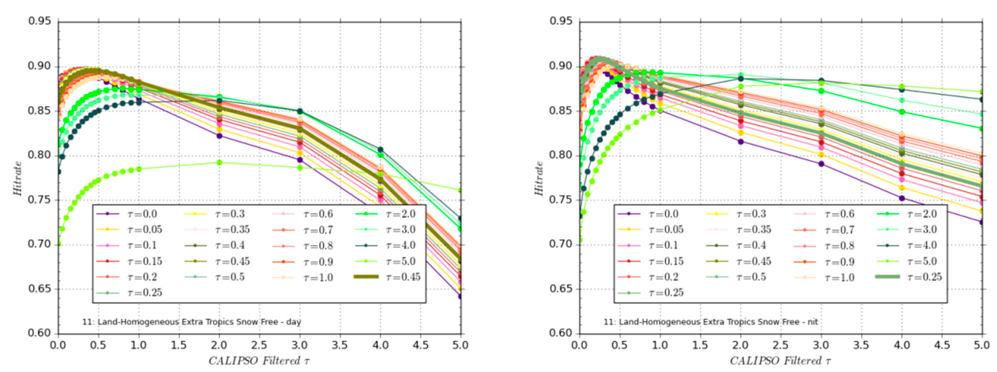
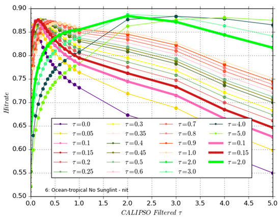
3.1. Determination of Cloud Detection Sensitivities over Different Earth Surfaces
3.2. Demonstration of Achieved Cloud Masking Products
3.3. Validation Results from Independent Data
4. Discussion
4.1. Flexibility of the Cloud Screening Method
4.2. Improved Quantification of Cloud Screening Results
4.3. The Impact of Spatial and Temporal Variations
4.4. The Problem of Overfitting
4.5. The Importance of Limited Temporal and Spatial Sampling of CALIOP Observations
4.6. Limitations of the Naïve Bayesian Method
5. Conclusions
Author Contributions
Funding
Acknowledgments
Conflicts of Interest
References
- Dybbroe, A.; Thoss, A.; Karlsson, K.-G. NWCSAF AVHRR cloud detection and analysis using dynamic thresholds and radiative transfer modelling—Part I: Algorithm description. J. Appl. Meteorol. 2005, 44, 39–54. [Google Scholar] [CrossRef]
- Karlsson, K.-G.; Riihelä, A.; Müller, R.; Meirink, J.F.; Sedlar, J.; Stengel, M.; Lockhoff, M.; Trentmann, J.; Kaspar, F.; Hollmann, R.; et al. CLARA-A1: A cloud, albedo, and radiation dataset from 28 yr of global AVHRR data. Atmos. Chem. Phys. 2013, 13, 5351–5367. [Google Scholar] [CrossRef]
- Karlsson, K.-G.; Anttila, K.; Trentmann, J.; Stengel, M.; Meirink, J.F.; Devasthale, A.; Hanschmann, T.; Kothe, S.; Jääskeläinen, E.; Sedlar, J.; et al. CLARA-A2: The second edition of the CM SAF cloud and radiation data record from 34 years of global AVHRR data. Atmos. Chem. Phys. 2017, 17, 5809–5828. [Google Scholar] [CrossRef]
- Derrien, M.; LeGleau, H. MSG SEVIRI cloud mask and type from SAFNWC. Int. J. Remote Sens. 2011, 26, 4707–4732. [Google Scholar] [CrossRef]
- Benas, N.; Finkensieper, S.; Stengel, M.; van Zadelhoff, G.-J.; Hanschmann, T.; Hollmann, R.; Meirink, J.F. The MSG-SEVIRI-based cloud property data record CLAAS-2. Earth Syst. Sci. Data 2017, 9, 415–434. [Google Scholar] [CrossRef]
- Heidinger, A.K.; Evan, A.T.; Foster, M.J.; Walther, A. A Naïve Bayesian cloud-detection scheme derived from CALIPSO and applied within PATMOS-x. J. Appl. Meteor. Climatol. 2012, 51, 1129–1144. [Google Scholar] [CrossRef]
- Heidinger, A.K.; Foster, M.J.; Walther, A.; Zhao, Z. The Pathfinder Atmospheres Extended (PATMOS-x) AVHRR climate data set. Bull. Am. Meteorol. Soc. 2014, 95, 909–922. [Google Scholar] [CrossRef]
- Heidinger, A.; Botambekov, D.; Walther, A. A Naïve Bayesian Cloud Mask delivered to NOAA Enterprise, Algorithm Theoretical Basis Document, NOAA NESDIS Center for Satellite Applications and Research, Version 1.2. 2016. Available online: https://cimss.ssec.wisc.edu/patmosx/documents/Cloud_Mask_Enterprise_ATBD_v1.2_2016.pdf (accessed on 20 February 2020).
- Frey, R.A.; Ackerman, S.A.; Liu, Y.; Strabala, K.I.; Zhang, H.; Key, J.R.; Wang, X. Cloud Detection with MODIS. Part I: Improvements in the MODIS Cloud Mask for Collection 5. J. Atmos. Ocean. Technol. 2008, 25, 1057–1072. [Google Scholar] [CrossRef]
- Stengel, M.; Stapelberg, S.; Sus, O.; Finkensieper, S.; Würzler, B.; Philipp, D.; Hollmann, R.; Poulsen, C.; Christensen, M.; McGarragh, G. Cloud_cci Advanced Very High Resolution Radiometer post meridiem (AVHRR-PM) dataset version 3: 35 year climatology of global cloud and radiation properties. Earth Syst. Sci. Data 2020, 12, 41–60. [Google Scholar] [CrossRef]
- Barale, V.; Gower, J.F.R.; Alberotanza, L. (Eds.) Oceanography from Space; Springer Science & Business Media B.V.: Berlin/Heidelberg, Germany, 2010; pp. 213–216. ISBN 978-90-481-8680-8. [Google Scholar] [CrossRef]
- Yang, Y.; Zhao, C.; Sun, L.; Wei, J. Improved Aerosol Retrievals Over Complex Regions Using NPP Visible Infrared Imaging Radiometer Suite Observations. Earth Space Sci. 2019, 6, 629–645. [Google Scholar] [CrossRef]
- Tzallas, V.; Hatzianastassiou, N.; Benas, N.; Meirink, J.F.; Matsoukas, C.; Stackhouse, P.; Vardavas, I. Evaluation of CLARA-A2 and ISCCP-H Cloud Cover Climate Data Records over Europe with ECA&D Ground-Based Measurements. Remote Sens. 2019, 11, 212. [Google Scholar] [CrossRef]
- Wang, Y.; Zhao, C. Can MODIS cloud fraction fully represent the diurnal and seasonal variations at DOE ARM SGP and Manus sites? J. Geoph. Res. Atmos. 2016, 122, 329–343. [Google Scholar] [CrossRef]
- Karlsson, K.-G.; Johansson, E.; Devasthale, A. Advancing the uncertainty characterization of cloud masking in passive satellite imagery: Probabilistic formulations for NOAA AVHRR data. Remote Sens. Environ. 2015, 158, 126–139. [Google Scholar] [CrossRef]
- Karlsson, K.-G.; Johansson, E. On the optimal method for evaluating cloud products from passive satellite imagery using CALIPSO-CALIOP data: Example investigating the CM SAF CLARA-A1 dataset. Atmos. Meas. Tech. 2013, 6, 1271–1286. [Google Scholar] [CrossRef]
- Karlsson, K.-G.; Håkansson, N. Characterization of AVHRR global cloud detection sensitivity based on CALIPSO-CALIOP cloud optical thickness information: Demonstration of results based on the CM SAF CLARA-A2 climate data record. Atmos. Meas. Tech. 2018, 11, 633–649. [Google Scholar] [CrossRef]
- Winker, D.M.; Vaughan, M.A.; Omar, A.; Hu, Y.; Powell, K.A. Overview of the CALIPSO mission and CALIOP data processing algorithms. J. Atmos. Ocean. Technol. 2009, 26, 2310–2323. [Google Scholar] [CrossRef]
- Eidenshink, J.; Faundeen, J. The 1 km AVHRR global land data set-first stages in implementation. Int. J. Remote Sens. 1994, 15, 3443–3462. [Google Scholar] [CrossRef]
- Lavergne, T.; Sørensen, A.M.; Kern, S.; Tonboe, R.; Notz, D.; Aaboe, S.; Bell, L.; Dybkjær, G.; Eastwood, S.; Gabarro, C.; et al. Version 2 of the EUMETSAT OSI SAF and ESA CCI sea-ice concentration climate data records. Cryosphere 2019, 13, 49–78. [Google Scholar] [CrossRef]
- Copernicus Climate Change Service (C3S). ERA5: Fifth Generation of ECMWF Atmospheric Reanalyses of the Global Climate. Copernicus Climate Change Service Climate Data Store (CDS). 2017. Available online: https://cds.climate.copernicus.eu/cdsapp#!/home (accessed on 20 February 2020).
- Phong, B.T. Illumination for computer generated pictures. Commun. ACM 1975, 18, 311–317. [Google Scholar] [CrossRef]
- Derrien, M.; LeGleau, H. Improvement of cloud detection near sunrise and sunset by temporal-differencing and region-growing techniques with real-time SEVIRI. Int. J. Remote Sens. 2010, 31, 1765–1780. [Google Scholar] [CrossRef]
- Musial, J.P.; Hüsler, F.; Sütterlin, M.; Neuhaus, C.; Wunderle, S. Probabilistic approach to cloud and snow detection on Advanced Very High Resolution Radiometer (AVHRR) imagery. Atmos. Meas. Technol. 2014, 7, 799–822. [Google Scholar] [CrossRef]
- NWC SAF 1. Algorithm Theoretical Basis Document for Cloud Mask Probability of the NWC/PPS, NWC/CDOP3/PPS/SMHI/SCI/ATBD/CloudProbability, v 1.0. 2018. Available online: http://www.nwcsaf.org/web/guest/scientificdocumentation#NWCSAF/PPS%20Basic%20Documents (accessed on 20 February 2020).
- NWC SAF 2. Science and Validation Report for the Cloud Product Processors of the NWC/PPS, NWC/CDOP3/PPS/SMHI/SCI/VR/Cloud, v 2.0. 2018. Available online: http://www.nwcsaf.org/web/guest/scientificdocumentation#NWCSAF/PPS%20Basic%20Documents (accessed on 20 February 2020).
- Clark, R.N. Chapter 1: Spectroscopy of Rocks and Minerals, and Principles of Spectroscopy, in Manual of Remote Sensing. In Remote Sensing for the Earth Sciences; Rencz, A.N., Ed.; John Wiley and Sons: New York, NY, USA, 1999; Volume 3, pp. 3–58. [Google Scholar]
- Winker, D. CALIPSO LID L2 5km Standard HDF File—Version 4.10 [Data set]; NASA Langley Research Center Atmospheric Science Data Center DAAC: Hampton, VA, USA, 2016. [Google Scholar] [CrossRef]
- NWC SAF. Algorithm Theoretical Basis Document for the Cloud Mask of the NWC/PPS, NWC/CDOP3/PPS/SCI/ATBD/CloudMask; EUMETSAT, Version 2.1; NWC SAF: Canberra, Australia, 2018. [Google Scholar]
- Merchant, C.J.; Paul, F.; Popp, T.; Ablain, M.; Bontemps, S.; Defourny, P.; Hollmann, R.; Lavergne, T.; Laeng, A.; de Leeuw, G.; et al. Uncertainty information in climate data records from Earth observation. Earth Syst. Sci. Data 2017, 9, 511–527. [Google Scholar] [CrossRef]
- Merchant, C.J.; Holl, G.; Mittaz, J.; Woolliams, E. Radiance Uncertainty Characterisation to Facilitate Climate Data Record Creation. Remote Sens. 2019, 11, 474. [Google Scholar] [CrossRef]
- Bodas-Salcedo, A.; Webb, M.J.; Bony, S.; Chepfer, H.; Dufresne, J.-L.; Klein, S.A.; Zhang, Y.; Marchand, R.; Haynes, J.M.; Pincus, R.; et al. COSP: Satellite simulation software for model assessment. Bull. Am. Met. Soc. 2011, 92, 1023–1043. [Google Scholar] [CrossRef]
- Pincus, R.; Platnick, S.; Ackerman, S.A.; Hemler, R.S.; Hofmann, R.J.P. Reconciling Simulated and Observed Views of Clouds: MODIS, ISCCP, and the Limits of Instrument Simulators. J. Clim. 2012, 25, 4699–4720. [Google Scholar] [CrossRef]
- Swales, D.J.; Pincus, R.; Bodas-Salcedo, A. The Cloud Feedback Model Intercomparison Project Observational Simulator Package: Version 2. Geosci. Model Dev. 2018, 11, 77–81. [Google Scholar] [CrossRef]
- Eliasson, S.; Karlsson, K.-G.; Willén, U. A simulator for the CLARA-A2 cloud climate data record and its application to assess EC-Earth polar cloudiness. Geosci. Model. Dev. 2019, 13, 297–314. [Google Scholar] [CrossRef]
- Musial, J.; Karlsson, K.-G. VEOR probabilistic cloud mask—A prototype for the generation of the CM SAF climate data records. In Proceedings of the 5th User Workshop Satellite Application Facility on Climate Monitoring, Mainz, Germany, 3–5 June 2019. [Google Scholar]
- Musiał, J.; Bojanowski, J. AVHRR LAC satellite cloud climatology over Central Europe derived by the Vectorized Earth Observation Retrieval (VEOR) method and PyLAC software. Geoinf. Issues 2017, 9, 39–51. [Google Scholar]
- Gomis-Cebolla, J.; Jimenez, J.C.; Sobrino, J.A. MODIS probabilistic cloud masking over the Amazonian evergreen tropical forests: A comparison of machine learning-based methods. Int. J. Remote Sens. 2019. [Google Scholar] [CrossRef]












| CALIPSO- CALIOP Observed | Algorithm Predicted | ||
| Scenario | Cloud-Free | Cloudy | |
| Cloud-free (or τ < τthr) | a | b | |
| Cloudy (τ > τthr) | c | d | |
| SURFACE NAME | Surface id | Short Description |
|---|---|---|
| Marginal sea ice high latitudes | G1 | Sea ice concentrations in the range 15–90% |
| Sea ice high latitudes | G2 | Sea ice concentrations above 90% |
| Ocean polar north | G3 | Ice-free ocean in NH with SSTs below 5 °C |
| Ocean high latitude north | G4 | Ice-free ocean in NH with SSTs in the range 5–12 °C |
| Ocean mid latitude north | G5 | Ocean in NH with SSTs in the range 12–22 °C |
| Ocean tropical | G6 | Ocean with SSTs above 22 °C |
| Ocean mid latitude south | G7 | Ocean in SH with SSTs in the range 12–22 °C |
| Ocean high latitude south | G8 | Ice-free ocean in SH with SSTs in the range 5–12 °C |
| Ocean polar south | G9 | Ice-free ocean in SH with SSTs below 5 °C |
| Land dry homogeneous | G10 | Deserts and adjacent dry regions (no rough terrain or snow) |
| Land homogeneous extra tropical | G11 | Homogenous land with vegetation and LSTs below 12 °C |
| Land homogeneous extra tropical seasonal snow | G12 | Homogenous land with vegetation, seasonal snow cover, and LSTs below 12 °C |
| Land homogeneous extra tropical permanent snow | G13 | Homogeneous land with permanent snow cover |
| Land dry rough | G14 | Deserts and adjacent dry regions in rough terrain (no snow) |
| Land rough extra tropical | G15 | Land with vegetation over rough terrain and with LSTs below 12 °C |
| Land rough extra tropical seasonal snow | G16 | Land with vegetation over rough terrain with seasonal snow and LSTs below 12 °C |
| Land rough extra tropical permanent snow | G17 | Extratropical land over rough terrain with permanent snow cover |
| Land homogeneous tropical | G18 | Homogenous land with vegetation and LSTs above 12 °C |
| Land rough tropical | G19 | Land over rough terrain with vegetation and LSTs above 12 °C |
| Ocean polar north sunglint | G20 | Arctic ice-free ocean with no sunglint and SSTs below 5 °C |
| Ocean high latitude north sunglint | G21 | Ice-free ocean in NH with no sunglint and SSTs in the interval 5–12 °C |
| Ocean mid latitude north sunglint | G22 | Ocean in NH with no sunglint and SSTs in the interval 12–22 °C |
| Ocean tropical sunglint | G23 | Tropical ocean with sunglint and SSTs above 22 °C |
| Ocean mid latitude south sunglint | G24 | Ocean in SH with sunglint and SSTs in the interval 12–22 °C |
| Ocean high latitude south sunglint | G25 | Ice-free ocean in SH with sunglint and SSTs in the interval 5–12 °C |
| Ocean polar south sunglint | G26 | Ice-free ocean in SH with no sunglint and SSTs below 5 °C |
| Coast extra tropical | G27 | Coastal areas with LSTs below 12 °C |
| Coast tropical | G28 | Coastal areas with LSTs above 12 °C |
| Image Feature Name | Spectral Channels AVHRR | Spectral Channels SEVIRI | Composition and Importance for Cloud Screening |
|---|---|---|---|
| Rvis | 0.63 µm (land) or 0.86 µm (ocean) | 0.63 µm (land) or 0.81 µm (ocean) | Visible reflectances. Identification of bright clouds over dark Earth surfaces |
| Rswir_3a | 0.63 µm and 1.61 µm | 0.63 µm and 1.64 µm | Reflectance quota between the two channels. Identification of clouds with significant reflection in the visible near-infrared infrared region (in particular water clouds and thick multi-layered clouds over snow-covered surfaces) |
| Rvis37 | 3.74 µm | 3.92 µm | Short-wave infrared reflectances. Identification of clouds with significant reflection in the short-wave infrared region (water clouds and thick multi-layered clouds) |
| Rswir_3b | 3.74 µm and 12.0 µm | 3.92 µm and 12.0 µm | Difference between brightness temperatures in the two channels. Identification of thin cirrus clouds. |
| Tirdiff | 10.8 µm | 10.8 µm | Difference between brightness temperatures and surface (skin) temperatures from ERA5. Identification of clouds colder than Earth surfaces |
| Tmirdiff | - | 8.70 µm and 10.8 µm | Difference between brightness temperatures in the two channels. Contributes to the identification of fog due to different behavior of liquid water clouds and Earth surfaces in the two channels. |
| Texture_day | 0.63 µm and 10.8 µm | 0.63 µm and 10.8 µm | Sum of local variances (in 3 × 3 pixel windows) of reflectances and brightness temperatures. Identification of small cloud elements (fractional cumulus or cirrus) exclusively over ocean surfaces (i.e., well away from coasts and islands). |
| Image Feature Name | Spectral Channels AVHRR | Spectral Channels SEVIRI | Composition and Importance for Cloud Screening |
|---|---|---|---|
| Tirdiff | 10.8 µm | 10.8 µm | Difference between brightness temperatures and surface (skin) temperatures from ERA5. Identification of clouds colder than Earth surfaces |
| Twdiff | 3.74 µm and 10.8 µm | 3.92 µm and 10.8 µm | Difference between brightness temperatures in the two channels. Contributes to identification of water clouds. |
| Tcidiff | 10.8 µm and 12.0 µm | 10.8 µm and 12.0 µm | Difference between brightness temperatures in the two channels. Contributes to identification of thin ice clouds. |
| Tmirdiff | - | 8.70 µm and 10.8 µm | Difference between brightness temperatures in the two channels. Contributes to identification of fog due to different behavior of liquid water clouds and Earth surfaces in the two channels. |
| Texture_night | 3.74 µm, 10.8 µm and 12.0 µm | 3.92 µm, 10.8 µm and 12.0 µm | Sum of local variances (in 3 × 3 pixel windows) for the brightness temperature at 10.8 µm and for the difference between 3.74 (or 3.92) µm and 12.0 µm brightness temperatures. Identification of small cloud elements (fractional cumulus or cirrus) exclusively over ocean surfaces. |
| 2D_Tirdiff_Twdiff | 3.74 µm and 12.0 µm | 3.92 µm and 12.0 µm | Two-dimensional combination of the Tirdiff and Twdiff image features. Secures a constrained use of the two features (see text for explanation). |
| SURFACE DESCRIPTION | Surface id | DAY | NIGHT | TWILIGHT |
|---|---|---|---|---|
| Marginal sea ice high latitudes | G1 | 0.05 | 0.05 | 0.05 |
| Sea ice high latitudes | G2 | 0.25 | 0.60 | 0.25/0.60 |
| Ocean polar north | G3 | 0.05 | 0.05 | 0.05 |
| Ocean high latitude north | G4 | 0.05 | 0.05 | 0.05 |
| Ocean mid latitude north | G5 | 0.05 | 0.05 | 0.05 |
| Ocean tropical | G6 | 0.10 | 0.10 | 0.10 |
| Ocean mid latitude south | G7 | 0.05 | 0.05 | 0.05 |
| Ocean high latitude south | G8 | 0.05 | 0.05 | 0.05 |
| Ocean polar south | G9 | 0.05 | 0.05 | 0.05 |
| Land dry homogeneous | G10 | 0.25 | 0.25 | 0.25 |
| Land homogeneous extra tropical | G11 | 0.35 | 0.25 | 0.35/0.25 |
| Land homogenous extra tropical seasonal snow | G12 | 0.20 | 0.35 | 0.20/0.35 |
| Land homogeneous extra tropical permanent snow | G13 | 0.30 | 0.50 | 0.30/0.50 |
| Land dry rough | G14 | 0.30 | 0.40 | 0.30/0.40 |
| Land rough extra tropical | G15 | 0.30 | 0.20 | 0.30/0.20 |
| Land rough extra tropical seasonal snow | G16 | 0.30 | 0.50 | 0.30/0.50 |
| Land rough extra tropical permanent snow | G17 | 0.15 | 0.60 | 0.15/0.60 |
| Land homogeneous tropical | G18 | 0.15 | 0.15 | 0.15 |
| Land rough tropical | G19 | 0.15 | 0.15 | 0.15 |
| Ocean polar north sunglint | G20 | 0.05 | - | 0.05 |
| Ocean high latitude north sunglint | G21 | 0.05 | - | 0.05 |
| Ocean mid latitude north sunglint | G22 | 0.05 | - | 0.05 |
| Ocean tropical sunglint | G23 | 0.40 | - | 0.40 |
| Ocean mid latitude south sunglint | G24 | 0.05 | - | 0.05 |
| Ocean highlatitude south sunglint | G25 | 0.05 | - | 0.05 |
| Ocean polar south sunglint | G26 | 0.10 | - | 0.10 |
| Coast extra tropical | G27 | 0.20 | 0.50 | 0.20/0.50 |
| Coast tropical | G28 | 0.50 | 0.15 | 0.50/0.15 |
| Area/Region | HR | KSS | HR CLARA-A2 | KSS CLARA-A2 |
|---|---|---|---|---|
| Global | 0.82 | 0.69 | 0.80 | 0.65 |
| Tropical | 0.78 | 0.67 | 0.79 | 0.63 |
| Sub-Tropical | 0.85 | 0.72 | 0.84 | 0.70 |
| High-Latitude | 0.85 | 0.71 | 0.83 | 0.68 |
| Polar | 0.69 | 0.50 | 0.67 | 0.47 |
| Area/Region | HR | KSS | HR CLARA-A2 | KSS CLARA-A2 |
|---|---|---|---|---|
| Global | 0.75 | 0.53 | 0.73 | 0.56 |
| Tropical | - | - | - | - |
| Sub-Tropical | - | - | - | - |
| High-Latitude | 0.79 | 0.57 | 0.76 | 0.59 |
| Polar | 0.70 | 0.46 | 0.68 | 0.49 |
| Area/Region | HR | KSS |
|---|---|---|
| Full SEVIRI disk | 0.85 | 0.70 |
| Tropical part of SEVIRI disk | 0.79 | 0.65 |
| Sub-Tropical part of SEVIRI disk | 0.85 | 0.70 |
| High-Latitude part of SEVIRI disk | 0.90 | 0.71 |
| Polar part of SEVIRI disk | - | - |
| τthr (CALIOP Mask) Used at Validation | HR (τthr_training = 0.00) | HR (τthr_training = 0.05) | HR (τthr_training = 0.10) |
|---|---|---|---|
| 0.00 | 0.846 | 0.863 | 0.857 |
| 0.05 | 0.830 | 0.866 | 0.872 |
| 0.10 | 0.815 | 0.861 | 0.874 |
| 0.15 | 0.801 | 0.853 | 0.872 |
| 0.20 | 0.789 | 0.845 | 0.864 |
© 2020 by the authors. Licensee MDPI, Basel, Switzerland. This article is an open access article distributed under the terms and conditions of the Creative Commons Attribution (CC BY) license (http://creativecommons.org/licenses/by/4.0/).
Share and Cite
Karlsson, K.-G.; Johansson, E.; Håkansson, N.; Sedlar, J.; Eliasson, S. Probabilistic Cloud Masking for the Generation of CM SAF Cloud Climate Data Records from AVHRR and SEVIRI Sensors. Remote Sens. 2020, 12, 713. https://doi.org/10.3390/rs12040713
Karlsson K-G, Johansson E, Håkansson N, Sedlar J, Eliasson S. Probabilistic Cloud Masking for the Generation of CM SAF Cloud Climate Data Records from AVHRR and SEVIRI Sensors. Remote Sensing. 2020; 12(4):713. https://doi.org/10.3390/rs12040713
Chicago/Turabian StyleKarlsson, Karl-Göran, Erik Johansson, Nina Håkansson, Joseph Sedlar, and Salomon Eliasson. 2020. "Probabilistic Cloud Masking for the Generation of CM SAF Cloud Climate Data Records from AVHRR and SEVIRI Sensors" Remote Sensing 12, no. 4: 713. https://doi.org/10.3390/rs12040713
APA StyleKarlsson, K.-G., Johansson, E., Håkansson, N., Sedlar, J., & Eliasson, S. (2020). Probabilistic Cloud Masking for the Generation of CM SAF Cloud Climate Data Records from AVHRR and SEVIRI Sensors. Remote Sensing, 12(4), 713. https://doi.org/10.3390/rs12040713

