Comparisons of Diurnal Variations of Land Surface Temperatures from Numerical Weather Prediction Analyses, Infrared Satellite Estimates and In Situ Measurements
Abstract
1. Introduction
2. The LST Datasets
2.1. The ERA Reanalyses from NWP
2.2. The Infrared ISCCP Satellite Product
2.3. The Infrared SEVIRI Satellite Product
2.4. The In Situ Measurements
2.5. Data Preparation for Comparisons
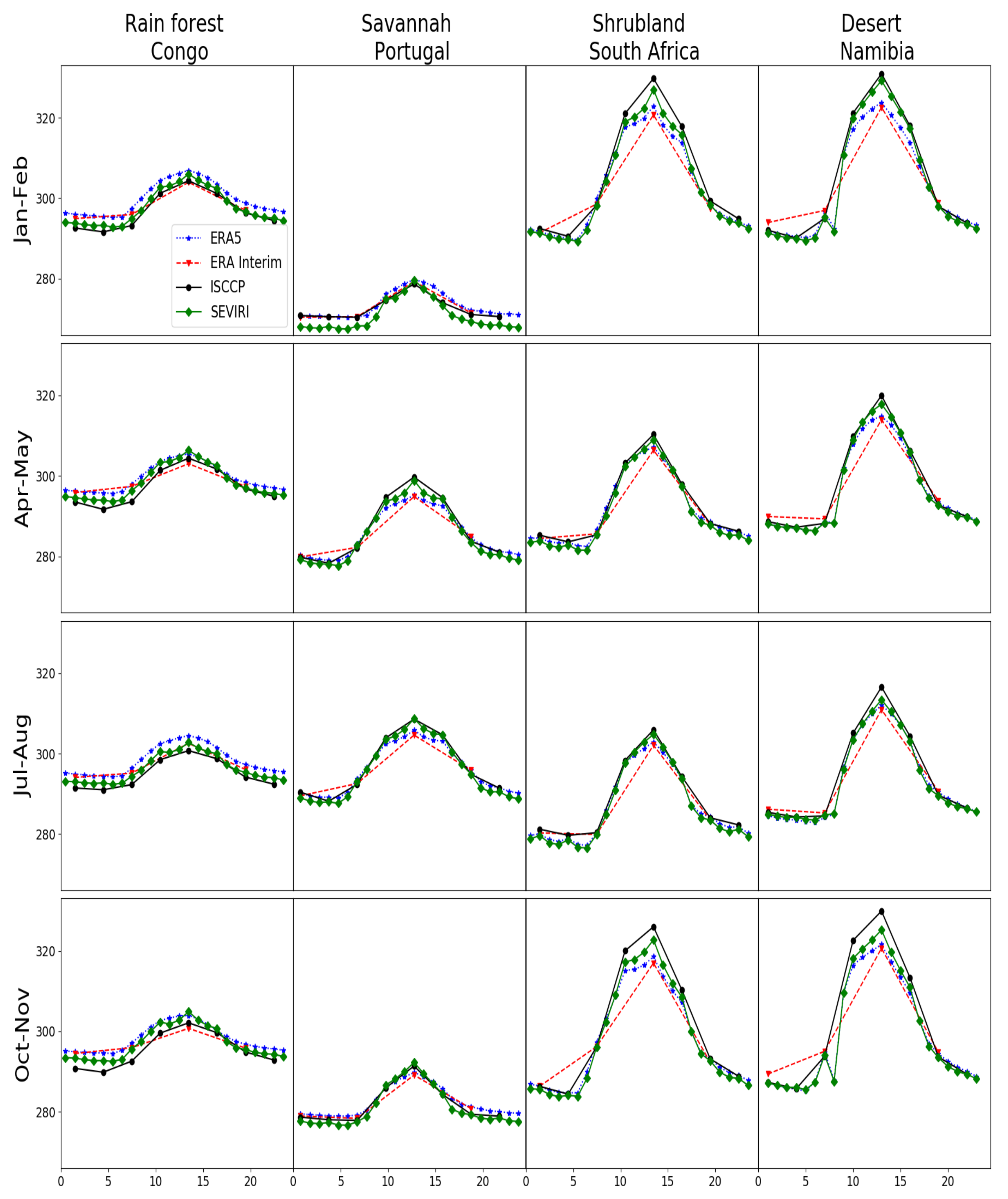
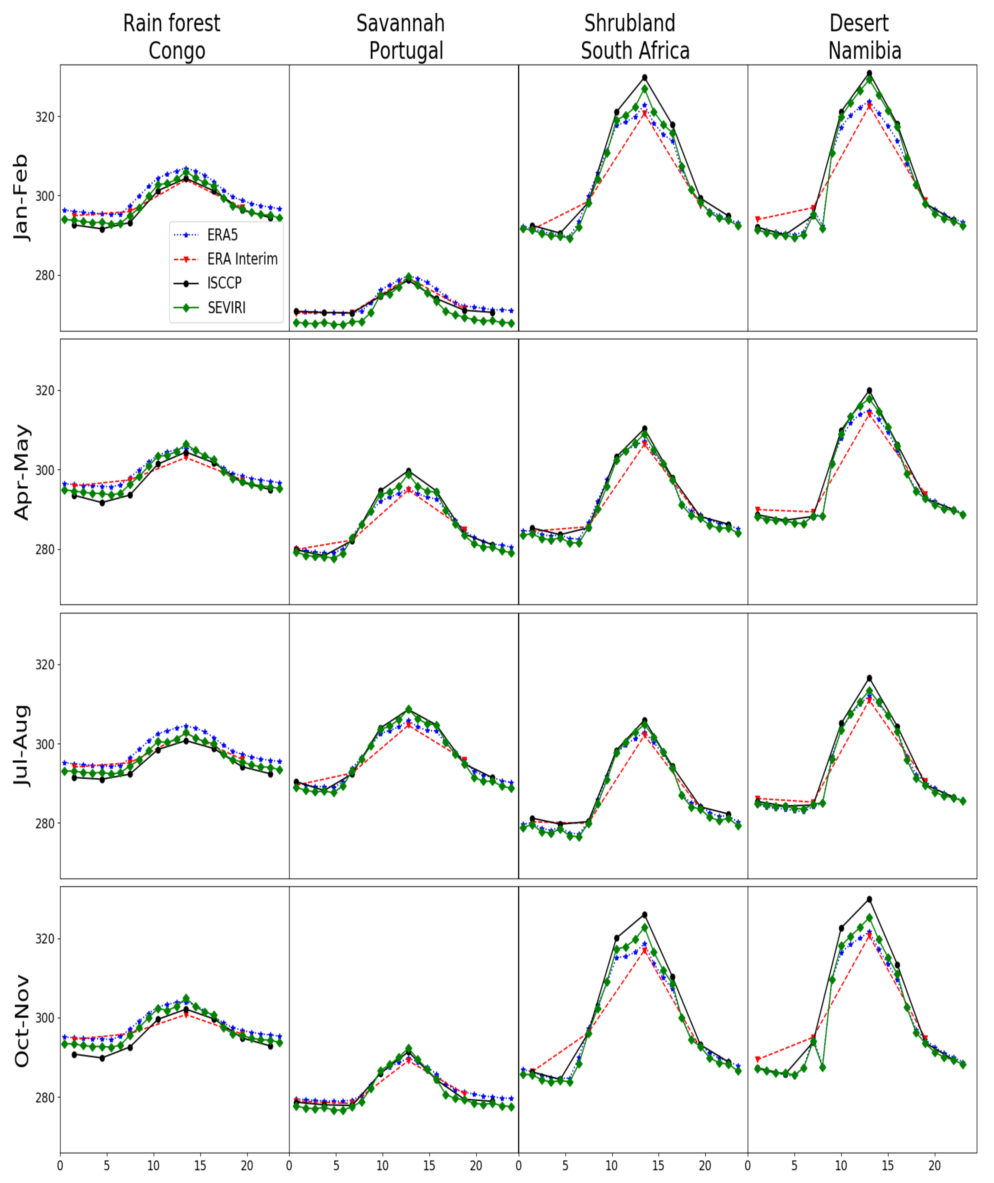
3. Large-Scale LST Comparisons
4. Comparisons with In Situ Observations
- GBB: Arid station in Namibia
- KAL: shrubland station in Namibia
- EVO: Mediterranean woody savanna
- GCM: subtropical station in the US
5. Conclusions
Author Contributions
Acknowledgments
Conflicts of Interest
References
- Pongracz, R.; Bartholy, J.; Dezso, Z. Remotely sensed thermal information applied to urban climate analysis. Adv. Space Res. 2006, 37. [Google Scholar] [CrossRef]
- Hung, T.; Uchihama, D.; Ochi, S.; Yasuoka, Y. Assessment with satellite data of the urban heat island effects in Asian mega cities. Int. J. Appl. Earth Obs. Geoinf. 2006, 8, 34–48. [Google Scholar]
- Sobrino, J.A.; Raissouni, N. Toward remote sensing methods for land cover dynamic monitoring: Application to Morocco. Int. J. Remote Sens. 2000, 21, 353–366. [Google Scholar] [CrossRef]
- Anderson, M.; Allen, R.G.; Morse, A.; Kustas, W.P. Use of Landsat thermal imagery in monitoring evapotranspiration and managing water resources. Remote Sen. Environ. 2012, 122, 50–65. [Google Scholar] [CrossRef]
- Kustas, W.; Anderson, M. Advances in thermal infrared remote sensing for land surface modeling. Agric. For. Meteorol. 2008, 149, 2071–2081. [Google Scholar] [CrossRef]
- Sun, D.; Pinker, R.T.; Kfatos, M. Diurnal Temperature Range Over the United States: A Satellite View. Geophys. Res. Lett. 2006, 33. [Google Scholar] [CrossRef]
- Zhang, H.; Zhang, F.; Che, T.; Zhang, G. Estimating daily air temperatures over the Tibetan Plateau by dynamically integrating MODIS LST data. J. Geophys. Res. 2016, 121. [Google Scholar] [CrossRef]
- Simon, M.; Plummer, S.; Fierens, F.; Hoelzemann, J.J.; Arino, O. Burnt area detection at global scale using ATSR-2: The GLOBSCAR products and their qualification. J. Geophys. Res. 2004, 109. [Google Scholar] [CrossRef]
- Barbosa, P.M.; Gregoire, J.M.; Pereira, J.M.C. An algorithm for extracting burned areas from time series of AVHRR GAC data applied at a continental scale. Remote Sens. Environ. 1999, 69. [Google Scholar] [CrossRef]
- Karnieli, A.; Agam, N.; Pinker, R.T.; Anderson, M. Use of NDVI and Land Surface Temperature for Drought Assessment: Merits and Limitations. J. Clim. 1999, 23. [Google Scholar] [CrossRef]
- Rossow, W.; Schiffer, R. Advances in understanding clouds from ISCCP. Bull. Am. Meteorol. Soc. 1999, 80. [Google Scholar] [CrossRef]
- Young, A.H.; Knapp, K.R.; Inamdar, A.; Hankins, W.; Rossow, W.B. The International Satellite Cloud Climatology Project H-Series climate data record product. Earth Syst. Sci. Data 2018, 10. [Google Scholar] [CrossRef]
- Trigo, I.F.; Boussetta, S.; Viterbo, P.; Balsamo, G.; Beljaars, A.; Sandu, I. The satellite application facility for land surface analysis. Int. Remote Sens 2011, 32. [Google Scholar] [CrossRef]
- Dee, D.P.; Uppala, S.M.; Simmons, A.J.; Berrisford, P.; Poli, P.; Kobayashi, S.; Andrae, U.; Balmaseda, M.A.; Balsamo, G.; Bauer, D.P.; et al. The ERA-Interim reanalysis: Configuration and performance of the data assimilation system. Q. J. Roy. Meteorol. 2011, 137. [Google Scholar] [CrossRef]
- (C3S). ERA5: Fifth Generation of ECMWF Atmospheric Reanalyses of the Global Climate. Copernicus Climate Change Service Climate Data Store (CDS). 2017. Available online: https://cds.climate.copernicus.eu/cdsapp#!/home (accessed on 10 February 2020).
- Augustine, J.A.; Hodges, G.B.; Cornwall, C.R. An update on SURFRAD—The GCOS surface radiation budget network for the continental United States. J. Atmos. Oceanic Technol. 2005, 22. [Google Scholar] [CrossRef]
- Gottsche, F.M.; Olesen, F.S.; Bork-Unkelbach, A. Validation of land surface temperature derived from MSG/SEVIRI with in situ measurements at Gobabeb, Namibia. Int. J. Remote Sens. 2013, 47. [Google Scholar] [CrossRef]
- Trigo, I.F.; Monteiro, I.T.; Olesen, F.; Kabsch, E. An assessment of remotely sensed land surface temperature. J. Geophy. Res 2008, 113. [Google Scholar] [CrossRef]
- Gottsche, F.M.; Olesen, F.S.; Trigo, I.F.; Bork-Unkelbach, A.; Martin, M.A. Long Term Validation of Land Surface Temperature Retrieved from MSG/SEVIRI with Continuous in-Situ Measurements in Africa. Int. J. Remote Sens. 2016, 8, 410. [Google Scholar] [CrossRef]
- Jiménez, C.; Prigent, C.; Ermida, S.; Moncet, J. Inversion of AMSR-E observations for land surface temperature estimation: 1. Methodology and evaluation with station temperature. J. Geophys. Res. 2016, 122. [Google Scholar] [CrossRef]
- Balsamo, G.; Viterbo, P.; Beljaars, A.; Hurk, B.V.D.; Hirschi, M.; Betts, A.K.; Scipal, K. A Revised Hydrology for the ECMWF Model: Verification from Field Site to Terrestrial Water Storage and Impact in the Integrated Forecast System. Am. Meteorol. Soc. 2009, 22. [Google Scholar] [CrossRef]
- Rossow, W.B. Climate Data Record Program (CDRP): Climate Algorithm Theoretical Basis Document (C-ATBD) International Satellite Cloud Climatology Project (ISCCP) H-Series; Technical Report; CDRP- ATBD-0872; CDRP: Asheville, NC, USA, 2017. [Google Scholar]
- Wan, Z.; Dozier, J. A generalized split-window algorithm for retrieving land surface temperature from space. IEEE Trans. Geosci. Remote Sens. 1996, 34. [Google Scholar] [CrossRef]
- Trigo, I.F.; Peres, L.; DaCamara, C.C.; Freitas, S.C. Thermal land surface emissivity retrieved from SEVIRI/Meteosat. IEEE Trans. Geos. Remote Sen. 2008, 46. [Google Scholar] [CrossRef]
- Ermida, S.; Trigo, I.; DaCamara, C.C.; Gottsche, F.; Olesen, F.; Hulley, G. Validation of remotely sensed surface temperature over an oakwood landscape—The problem of viewing and illumination geometries. Remote Sens. Environ 2014, 148. [Google Scholar] [CrossRef]
- Freitas, S.C.; Trigo, I.F.; Bioucas-Dias, J. Quantifying the Uncertainty of Land Surface Temperature Retrievals From SEVIRI/Meteosat. IEEE Trans. Geos. Remote Sen. 2010, 48. [Google Scholar] [CrossRef]
- Berrisford, P.; Dee, D.P.; Poli, P.; Brugge, R.; Fielding, M.; Fuentes, M.; Kallberg, P.W.; Kobayashi, S.; Uppala, S.; Simmons, A. The ERA-Interim Archive Version 2.0; Technical Report; ECMWF: Shinfield Park, Reading, UK, 2011. [Google Scholar]
- Trigo, I.F.; Boussetta, S.; Viterbo, P.; Balsamo, G.; Beljaars, A.; Sandu, I. Comparison of model land skin temperature with remotely sensed estimates and assessment of surface-atmosphere coupling. J. Geophy. Res. 2015, 120. [Google Scholar] [CrossRef]
- Waliser, D.E.; Gautier, C. A satellite-derived climatology of the ITCZ. J. Clim. 1993, 6. [Google Scholar] [CrossRef]
- Nicholson, S.E.; Grist, J.P. The seasonal evolution of the atmospheric circulation over west Africa and Equatorial Africa. J. Clim. 2003, 16. [Google Scholar] [CrossRef]
- Nicholson, S.E. The ITCZ and the seasonal cycle over equatorial Africa. Am. Meteorol. Soc. 2017, 6. [Google Scholar] [CrossRef]
- Betts, A.K.; Ball, J.H.; Viterbo, P.; Dai, A.; Marengo, J. Hydrometeorology of the Amazon in ERA-40. J. Hydromet. 2005, 6. [Google Scholar] [CrossRef]
- Jiménez, C.; Prigent, C.; Catherinot, J.; Rossow, W.; Liang, P.; Moncet, J. A comparison of ISCCP land surface temperature with other satellite and in situ observations. J. Geophys. Res. 2012, 117. [Google Scholar] [CrossRef]
- Martin, M.; Gottsche, F.M. Satellite LST Validation Report; Technical Report; ESA GlobTemperature Consortium: KIT, Germany, 2016. [Google Scholar]
- Li, S.; Yu, Y.; Sun, D.; Tarpley, D. Evaluation of 10 year AQUA/MODIS land surface temperature with SURFRAD observations. Int. J. Remote Sens. 2014, 35. [Google Scholar] [CrossRef]
- Guillevic, P.C.; Biard, J.C.; Hulley, G.C.; Privette, J.L.; Hook, S.J.; Olioso, A.; Göttsche, F.M.; Radocinski, R.; Román, M.O.; Yu, Y.; et al. Validation of Land Surface Temperature products derived from the Visible Infrared Imaging Radiometer Suite (VIIRS) using ground-based and heritage satellite measurements. Remote Sens. Environ. 2014, 154. [Google Scholar] [CrossRef]
- Seemann, S.W.; Borbas, E.E.; Knuteson, R.O.; Stephenson, G.R.; Huang, H.L. Development of a Global Infrared Land Surface Emissivity Database for Application to Clear Sky Sounding Retrievals from Multi-spectral Satellite Radiance Measurements. J. Geophy. Res. 2008, 47. [Google Scholar] [CrossRef]
- Wang, K.; Liang, S. Evaluation of ASTER and MODIS land surface temperature and emissivity products using long-term surface long wave radiation observations at SURFRAD sites. Remote Sens. Environ. 2009, 113. [Google Scholar] [CrossRef]
- Albergel, C.; Balsamo, G.; de Rosnay, P.; Munoz-Sabater, J.; Boussetta, S. A bare ground evaporation revision in the ECMWF land-surface scheme: Evaluation of its impact using ground soil moisture and satellite microwave data. Hydrol. Earth Syst. Sci. 2012, 16. [Google Scholar] [CrossRef]
- Johannsen, F.; Ermida, S.; Martins, J.P.A.; Trigo, I.F.; Nogueira, M.; Dutra, E. Cold Bias of ERA5 Summertime Daily Maximum Land Surface Temperature over Iberian Peninsula. Remote Sens. 2019, 11, 2570. [Google Scholar] [CrossRef]
- Catalano, F.; Alessandri, A.; Felice, M.D.; Zhu, Z.; Myneni, R.B. Observationally based analysis of land-atmosphere coupling. Earth Syst. Dyn. 2016, 7. [Google Scholar] [CrossRef]
- Koster, R.D.; Sud, Y.C.; Guo, Z.; Dirmeyer, P.A.; Bonan, G.; Oleson, K.W.; Chan, E.; Verseghy, D.; Cox, P.; Davies, H.; et al. GLACE: The global land–atmosphere coupling experiment. Part I: Overview. J. Hydrometeorol. 2006, 7. [Google Scholar] [CrossRef]
- Mitchell, K.; Lohmann, D.; Houser, P.R.; Wood, E.; Schaake, J.C.; Robock, A.; Cosgrove, B.A.; Sheffield, J.; Duan, Q.; Luo, L.; et al. The Multiple-institution North America Land Assimilation System(NLDAS): Utilising multiple GCIP products and partners in a continental distributed hydrological modelling system. J. Geophys. Res. 2004, 109. [Google Scholar] [CrossRef]
- Zeng, X.; Wang, A. Consistent parameterization of roughness length and displacement height for sparse and dense canopies in land models. J. Hydromet. 2007, 8. [Google Scholar] [CrossRef]
- Zheng, W.; Wei, H.; Wang, Z.; Zeng, X.; Meng, J.; Mitchelle, M.; Derber, J. Improvement of daytime land surface skin temperature over arid regions in the NCEP GFS model and its impact on satellite data assimilation. J. Geophys. Res. 2014, 14. [Google Scholar] [CrossRef]
- Zhang, D.; Velde, R.V.D.; Su, Z.; Booij, M.J.; Hoekstra, A.Y. Assessment of roughness length schemes implemented within the Noah land surface model for high-altitude regions. J. Hydromet. 2014, 14. [Google Scholar] [CrossRef]
- Zhou, Y.; Sun, X.; Ju, W.; Wen, X.; Guan, D. Seasonal, Diurnal and Wind-Direction-Dependent Variations of the Aerodynamic Roughness Length in Two Typical Forest Ecosystems of China. Terr. Atmos. Ocean Sci. 2012, 23. [Google Scholar] [CrossRef]
- Park, S.J.; Park, S.; Ho, C.H. Roughness Length of Water Vapor over Land Surfaces and Its Influence on Latent Heat Flux. Terr. Atmos. Ocean Sci. 2009, 21. [Google Scholar] [CrossRef]
- Pitman, A.J. Assessing the sensitivity of a land-surface scheme to the parameter values using a single column model. J. Clim. 1994, 7. [Google Scholar] [CrossRef]










| ID (Longitude, Latitude) | Location | Climate | Surface Type |
|---|---|---|---|
| GCM (−89.9, 34.2) | Goodwin Creek, Mississippi, USA | Humid subtropical | Forest, grassland |
| PSU(−77.9, 40.7) | Pennsylvania State University, Pennsylvania, USA | Humid continental | Forest, cropland |
| BND (−88.4, 40.0) | Bondville, Illinois, USA | Humid continental | Cropland |
| SFA (−96.6, 43.7) | Sioux Falls, South Dakota, USA | Humid continental | Cropland, grassland |
| FPK (−105.1, 48.3) | Fort Peck, Montana, USA | Semiarid | Cropland, grassland |
| TBL (−105.2, 40.1) | Table Mountain, Boulder, Colorado, USA | Highland | Rocks, sparse grassland |
| DRA (−116.02, 36.62) | Desert Rock, Nevada, USA | Arid | Arid shrubland |
| EVO (−8.00, 38.5) | Evora, Portugal | Mediterranean | Savanna, woody savanna |
| GBB (15.05, −23.55 ) | Gobabeb, Namibia | Arid | Bare ground |
| KAL (18.3, −23.0) | Kalahari, Namibia | Arid | Shrubland |
| Product | Spatial Coverage | Spatial Resolution | Temporal Resolution | References |
|---|---|---|---|---|
| ECMWF ERA5 | global | 0.25 | 1 h | [21] |
| ECMWF ERA Interim | global | 0.25 | 6 h | [27] |
| ISCCP | global | 0.1 | 3 h | [22] |
| SEVIRI | regional | 3 km | 15 min | [28] |
© 2020 by the authors. Licensee MDPI, Basel, Switzerland. This article is an open access article distributed under the terms and conditions of the Creative Commons Attribution (CC BY) license (http://creativecommons.org/licenses/by/4.0/).
Share and Cite
Wang, X.; Prigent, C. Comparisons of Diurnal Variations of Land Surface Temperatures from Numerical Weather Prediction Analyses, Infrared Satellite Estimates and In Situ Measurements. Remote Sens. 2020, 12, 583. https://doi.org/10.3390/rs12030583
Wang X, Prigent C. Comparisons of Diurnal Variations of Land Surface Temperatures from Numerical Weather Prediction Analyses, Infrared Satellite Estimates and In Situ Measurements. Remote Sensing. 2020; 12(3):583. https://doi.org/10.3390/rs12030583
Chicago/Turabian StyleWang, Xiaoni, and Catherine Prigent. 2020. "Comparisons of Diurnal Variations of Land Surface Temperatures from Numerical Weather Prediction Analyses, Infrared Satellite Estimates and In Situ Measurements" Remote Sensing 12, no. 3: 583. https://doi.org/10.3390/rs12030583
APA StyleWang, X., & Prigent, C. (2020). Comparisons of Diurnal Variations of Land Surface Temperatures from Numerical Weather Prediction Analyses, Infrared Satellite Estimates and In Situ Measurements. Remote Sensing, 12(3), 583. https://doi.org/10.3390/rs12030583
