Physical Parameterization of Hyperspectral Reflectance in the Oxygen A-Band for Single-Layer Water Clouds
Abstract
1. Introduction
2. Methodology
2.1. Phase-Function-Dependent Reflectance
2.2. Phase-Function-Independent Reflectance
- The global transmittance t defines the first penetration. Besides, a correction Δt is proposed for optically relatively thin clouds [30].
- The diffuse reflection of is quantified as a spherical albedo and approximately equals to exp(-y) [38].
- When the diffused light penetrates L from the bottom up, the attenuation is similar to the radiative transfer in the optically deep region, which is approximated by exp(−x) [37].
2.3. Coefficient Fitting
2.4. Hyperspectral Simulation
3. Results
3.1. Contribution of Forward-Scattering
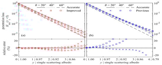
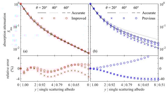
3.2. Improvements for Nonlinear Absorption
3.3. Errors in Parameterization
3.4. Accuracy Analysis Outside the Oxygen A-Band
3.5. Accuracy Analysis Inside the Oxygen A-Band
4. Discussion and Conclusions
Author Contributions
Funding
Acknowledgments
Conflicts of Interest
References
- Yamamoto, G.; Wark, D. Discussion of the letter by RA Hanel,“Determination of cloud altitude from a satellite”. J. Geophys. Res. 1961, 66, 3596. [Google Scholar] [CrossRef]
- Wu, M.L.C. Remote-Sensing of Cloud-Top Pressure Using Reflected Solar-Radiation in the Oxygen a-Band. J. Clim. Appl. Meteorol. 1985, 24, 539–546. [Google Scholar] [CrossRef]
- Koelemeijer, R.B.A.; Stammes, P.; Hovenier, J.W.; de Haan, J.F. A fast method for retrieval of cloud parameters using oxygen A band measurements from the Global Ozone Monitoring Experiment. J. Geophys. Res.-Atmos. 2001, 106, 3475–3490. [Google Scholar] [CrossRef]
- Rozanov, V.V.; Kokhanovsky, A.A. Semianalytical cloud retrieval algorithm as applied to the cloud top altitude and the cloud geometrical thickness determination from top-of-atmosphere reflectance measurements in the oxygen A band. J. Geophys. Res.-Atmos. 2004, 109, D05202. [Google Scholar] [CrossRef]
- Rodriguez, D.G.L.; Thomas, W.; Livschitz, Y.; Ruppert, T.; Albert, P.; Hollmann, R. Cloud properties derived from GOME/ERS-2 backscatter data for trace gas retrieval. IEEE Trans. Geosci. Remote Sens. 2007, 45, 2747–2758. [Google Scholar] [CrossRef]
- Loyola, D.G.; Gimeno García, S.; Lutz, R.; Argyrouli, A.; Romahn, F.; Spurr, R.J.D.; Pedergnana, M.; Doicu, A.; Molina García, V.; Schüssler, O. The operational cloud retrieval algorithms from TROPOMI on board Sentinel-5 Precursor. Atmos. Meas. Tech. 2018, 11, 409–427. [Google Scholar] [CrossRef]
- Burrows, J.P.; Weber, M.; Buchwitz, M.; Rozanov, V.; Ladstätter-Weißenmayer, A.; Richter, A.; DeBeek, R.; Hoogen, R.; Bramstedt, K.; Eichmann, K.-U.; et al. The Global Ozone Monitoring Experiment (GOME): Mission Concept and First Scientific Results. J. Atmos. Sci. 1999, 56, 151–175. [Google Scholar] [CrossRef]
- Bovensmann, H.; Burrows, J.P.; Buchwitz, M.; Frerick, J.; Noel, S.; Rozanov, V.V.; Chance, K.V.; Goede, A.P.H. SCIAMACHY: Mission objectives and measurement modes. J. Atmos. Sci. 1999, 56, 127–150. [Google Scholar] [CrossRef]
- Kokhanovsky, A.A.; Rozanov, V.V.; von Hoyningen-Huene, W.; Bovensmann, H.; Burrows, J.P.; Baltink, H.K. The Determination of Cloud Altitudes Using SCIAMACHY Onboard ENVISAT. IEEE Geosci. Remote Sens. Lett. 2004, 1, 211–214. [Google Scholar] [CrossRef]
- Kokhanovsky, A.; Vountas, M.; Burrows, J.P. Global Distribution of Cloud Top Height as Retrieved from SCIAMACHY Onboard ENVISAT Spaceborne Observations. Remote Sens. 2011, 3, 836–844. [Google Scholar] [CrossRef]
- Munro, R.; Lang, R.; Klaes, D.; Poli, G.; Eisinger, M. The GOME-2 instrument on the Metop series of satellites: Instrument design, calibration, and level 1 data processing–An overview. Atmos. Meas. Tech. 2015, 9, 1279–1301. [Google Scholar] [CrossRef]
- Lelli, L.; Kokhanovsky, A.A.; Rozanov, V.V.; Vountas, M.; Sayer, A.M.; Burrows, J.P. Seven years of global retrieval of cloud properties using space-borne data of GOME. Atmos. Meas. Tech. 2012, 5, 1551–1570. [Google Scholar] [CrossRef]
- Wang, P.; Stammes, P. Evaluation of SCIAMACHY Oxygen A band cloud heights using Cloudnet measurements. Atmos. Meas. Tech. 2014, 7, 1331–1350. [Google Scholar] [CrossRef]
- Lelli, L.; Kokhanovsky, A.A.; Rozanov, V.V.; Vountas, M.; Burrows, J.P. Linear trends in cloud top height from passive observations in the oxygen A-band. Atmos. Chem. Phys. 2014, 14, 5679–5692. [Google Scholar] [CrossRef]
- Lelli, L.; Weber, M.; Burrows, J.P. Evaluation of SCIAMACHY ESA/DLR Cloud Parameters Version 5.02 by Comparisons to Ground-Based and Other Satellite Data. Front. Environ. Sci. 2016, 4, 43. [Google Scholar] [CrossRef]
- Rozanov, V.V.; Kokhanovsky, A.A.; Burrows, J.P. The determination of cloud altitudes using GOME reflectance spectra: Multilayered cloud systems. IEEE Trans. Geosci. Remote Sens. 2004, 42, 1009–1017. [Google Scholar] [CrossRef]
- Koelemeijer, R.B.A.; Stammes, P.; Hovenier, J.W.; de Haan, J.F. Global distributions of effective cloud fraction and cloud top pressure derived from oxygen A band spectra measured by the Global Ozone Monitoring Experiment: Comparison to ISCCP data. J. Geophys. Res.-Atmos. 2002, 107, AAC 5-1–AAC 5-9. [Google Scholar] [CrossRef]
- Vanbauce, C.; Cadet, B.; Marchand, R.T. Comparison of POLDER apparent and corrected oxygen pressure to ARM/MMCR cloud boundary pressures. Geophys. Res. Lett. 2003, 30, 1212–1215. [Google Scholar] [CrossRef]
- Schuessler, O.; Rodriguez, D.G.L.; Doicu, A.; Spurr, R. Information Content in the Oxygen A-Band for the Retrieval of Macrophysical Cloud Parameters. IEEE Trans. Geosci. Remote Sens. 2014, 52, 3246–3255. [Google Scholar] [CrossRef]
- Rozanov, V.V.; Kokhanovsky, A.A. Determination of Cloud Geometrical Thickness Using Backscattered Solar Light in a Gaseous Absorption Band. IEEE Geosci. Remote Sens. Lett. 2006, 3, 250–253. [Google Scholar] [CrossRef]
- Obrien, D.M.; Mitchell, R.M. Error-Estimates for Retrieval of Cloud-Top Pressure Using Absorption in the a-Band of Oxygen. J. Appl. Meteorol. 1992, 31, 1179–1192. [Google Scholar] [CrossRef]
- Heidinger, A.K.; Stephens, G.L. Molecular line absorption in a scattering atmosphere. Part II: Application to remote sensing in the O2 A band. J. Atmos. Sci. 2000, 57, 1615–1634. [Google Scholar] [CrossRef]
- Hamazaki, T.; Kaneko, Y.; Kuze, A.; Kondo, K. Fourier transform spectrometer for Greenhouse gases Observing Satellite (GOSAT). In Enabling Sensor and Platform Technologies for Spaceborne Remote Sensing; Komar, G.J., Wang, J., Kimura, T., Eds.; Spie-Int Soc Optical Engineering: Bellingham, WA, USA, 2005; Volume 5659, pp. 73–80. [Google Scholar]
- Frankenberg, C.; Pollock, R.; Lee, R.A.M.; Rosenberg, R.; Blavier, J.F.; Crisp, D.; O‘Dell, C.W.; Osterman, G.B.; Roehl, C.; Wennberg, P.O.; et al. The Orbiting Carbon Observatory (OCO-2): Spectrometer performance evaluation using pre-launch direct sun measurements. Atmos. Meas. Tech. 2015, 8, 301–313. [Google Scholar] [CrossRef]
- Richardson, M.; Stephens, G.L. Information content of OCO-2 oxygen A-band channels for retrieving marine liquid cloud properties. Atmos. Meas. Tech. 2018, 11, 1515–1528. [Google Scholar] [CrossRef]
- Richardson, M.; Leinonen, J.; Cronk, H.Q.; McDuffie, J.; Lebsock, M.D.; Stephens, G.L. Marine liquid cloud geometric thickness retrieved from OCO-2‘s oxygen A-band spectrometer. Atmos. Meas. Tech. 2019, 12, 1717–1737. [Google Scholar] [CrossRef]
- Reuter, M.; Buchwitz, M.; Schneising, O.; Noël, S.; Rozanov, V.; Bovensmann, H.; Burrows, J. A Fast Atmospheric Trace Gas Retrieval for Hyperspectral Instruments Approximating Multiple Scattering—Part 1: Radiative Transfer and a Potential OCO-2 XCO2 Retrieval Setup. Remote Sens. 2017, 9, 1159. [Google Scholar] [CrossRef]
- Del Águila, A.; Efremenko, D.S.; Molina García, V.; Kataev, M.Y. Cluster Low-Streams Regression Method for Hyperspectral Radiative Transfer Computations: Cases of O2 A- and CO2 Bands. Remote Sens. 2020, 12, 1250. [Google Scholar] [CrossRef]
- Kokhanovsky, A.A.; Rozanov, V.V.; Burrows, J.P.; Eichmann, K.U.; Lotz, W.; Vountas, M. The SCIAMACHY cloud products: Algorithms and examples from ENVISAT. In Atmospheric Remote Sensing: Earth‘s Surface, Troposphere, Stratosphere and Mesosphere-I; Burrows, J.P., Eichmann, K.U., Eds.; Elsevier Science Ltd.: Oxford, UK, 2005; Volume 36, pp. 789–799. [Google Scholar]
- Kokhanovsky, A.A.; Rozanov, V.V. The reflection function of optically thick weakly absorbing turbid layers: A simple approximation. J. Quant. Spectrosc. Radiat. 2003, 77, 165–175. [Google Scholar] [CrossRef]
- Nauss, T.; Kokhanovsky, A.A. Retrieval of warm cloud optical properties using simple approximations. Remote Sens. Environ. 2011, 115, 1317–1325. [Google Scholar] [CrossRef]
- Kokhanovsky, A.A.; Rozanov, V.V. The physical parameterization of the top-of-atmosphere reflection function for a cloudy atmosphere—Underlying surface system: The oxygen A-band case study. J. Quant. Spectrosc. Radiat. 2004, 85, 35–55. [Google Scholar] [CrossRef]
- Kokhanovsky, A.A. Reflection of light from nonasbsorbing semi-infinite cloudy media: A simple approximation. J. Quant. Spectrosc. Radiat. 2004, 85, 25–33. [Google Scholar] [CrossRef]
- Kokhanovsky, A.A. Simple approximate formula for the reflection function of a homogeneous, semi-infinite turbid medium. J. Opt. Soc. Am. A Opt. Image Sci. Vis. 2002, 19, 957–960. [Google Scholar] [CrossRef] [PubMed]
- Kokhanovsky, A.A. The accuracy of selected approximations for the reflection function of a semi-infinite turbid medium. J. Phys. D Appl. Phys. 2002, 35, 1057–1062. [Google Scholar] [CrossRef]
- Kokhanovsky, A.A. Optical properties of semiinfinite turbid media: Some simple analytical approximations. Opt. Eng. 2003, 42, 2040–2046. [Google Scholar] [CrossRef]
- Kokhanovsky, A.A.; Rozanov, V.V.; Zege, E.P.; Bovensmann, H.; Burrows, J.P. A semianalytical cloud retrieval algorithm using backscattered radiation in 0.4–2.4 μm spectral region. J. Geophys. Res.-Atmos. 2003, 108, AAC 4-1–AAC 4-19. [Google Scholar] [CrossRef]
- Kokhanovsky, A.A.; Nakajima, T.; Zege, E.P. Physically based parameterizations of the short-wave radiative characteristics of weakly absorbing optically thick media: Application to liquid-water clouds. Appl. Opt. 1998, 37, 4750–4757. [Google Scholar] [CrossRef]
- Hahn, C.J.; Rossow, W.B.; Warren, S.G. ISCCP Cloud Properties Associated with Standard Cloud Types Identified in Individual Surface Observations. J. Clim. 2001, 14, 11–28. [Google Scholar] [CrossRef]
- Stamnes, K.; Tsay, S.C.; Wiscombe, W.; Jayaweera, K. Numerically stable algorithm for discrete-ordinate-method radiative transfer in multiple scattering and emitting layered media. Appl. Opt. 1988, 27, 2502–2509. [Google Scholar] [CrossRef]
- Boesch, H.; Brown, L.; Castano, R.; Christi, M.; Crisp, D.; Eldering, A.; Fisher, B.; Frankenberg, C.; Gunson, M.; Granat, R. Orbiting Carbon Observatory (OCO)-2 Level 2 Full Physics Algorithm Theoretical Basis Document. Available online: https://docserver.gesdisc.eosdis.nasa.gov/public/project/OCO/OCO2_L2_ATBD.V8.pdf (accessed on 12 June 2020).
- Lee, R.A.M.; O‘Dell, C.W.; Wunch, D.; Roehl, C.M.; Osterman, G.B.; Blavier, J.F.; Rosenberg, R.; Chapsky, L.; Frankenberg, C.; Hunyadi-Lay, S.L.; et al. Preflight Spectral Calibration of the Orbiting Carbon Observatory 2. IEEE Trans. Geosci. Remote Sens. 2017, 55, 2499–2508. [Google Scholar] [CrossRef]
- Coddington, O.; Lean, J.L.; Pilewskie, P.; Snow, M.; Lindholm, D. A Solar Irradiance Climate Data Record. Bull. Am. Meteorol. Soc. 2016, 97, 1265–1282. [Google Scholar] [CrossRef]
- Clough, S.A.; Shephard, M.W.; Mlawer, E.J.; Delamere, J.S.; Iacono, M.J.; Cady-Pereira, K.; Boukabara, S.; Brown, P.D. Atmospheric radiative transfer modeling: A summary of the AER codes. J. Quant. Spectrosc Radiat. 2005, 91, 233–244. [Google Scholar] [CrossRef]
- Rosenberg, R.; Maxwell, S.; Johnson, B.C.; Chapsky, L.; Lee, R.A.M.; Pollock, R. Preflight Radiometric Calibration of Orbiting Carbon Observatory 2. IEEE Trans. Geosci. Remote Sens. 2017, 55, 1994–2006. [Google Scholar] [CrossRef]
- Ferlay, N.; Thieuleux, F.; Cornet, C.; Davis, A.B.; Dubuisson, P.; Ducos, F.; Parol, F.; Riedi, J.; Vanbauce, C. Toward New Inferences about Cloud Structures from Multidirectional Measurements in the Oxygen A Band: Middle-of-Cloud Pressure and Cloud Geometrical Thickness from POLDER-3/PARASOL. J. Appl. Meteorol. Climatol. 2010, 49, 2492–2507. [Google Scholar] [CrossRef]
- Merlin, G.; Riedi, J.; Labonnote, L.C.; Cornet, C.; Davis, A.B.; Dubuisson, P.; Desmons, M.; Ferlay, N.; Parol, F. Cloud information content analysis of multi-angular measurements in the oxygen A-band: Application to 3MI and MSPI. Atmos. Meas. Tech. 2016, 9, 4977–4995. [Google Scholar] [CrossRef]
- Li, S.; Min, Q. Diagnosis of multilayer clouds using photon path length distributions. J. Geophys. Res. 2010, 115. [Google Scholar] [CrossRef]
- Li, S.; Min, Q. Retrievals of vertical profiles of stratus cloud properties from combined oxygen A-band and radar observations. J. Geophys. Res. Atmos. 2013, 118, 769–778. [Google Scholar] [CrossRef]
- Li, S.; Min, Q. Wavelength registration of high resolution oxygen A-band spectral measurements. J. Quant. Spectrosc Radiat. 2013, 122, 106–113. [Google Scholar] [CrossRef]










| Function | Coefficient | ||
|---|---|---|---|
| = 1.0511 | |||
| = 0.3395 | = 2.3560 | = 1.3758 | |
| Sms | = 1.1530 | = 0.3372 | = −0.1288 |
| = 1.1585 × 10−2 | = −0.1234 | = −6.1174 × 10−4 | |
| = 1.5450 × 10−2 | = 1.8371 × 10−5 | = −6.4980×10−4 | |
| t | = −0.1225 | = 0.4910 | = −5.4428×10−2 |
| K | = 0.4390 | = 0.8451 | = −2.3089×10−2 |
| = −0.2831 | = 0.2662 | ||
| Δt | = 7.0239 | = −21.9991 | = 20.1952 |
| = −0.5214 | |||
© 2020 by the authors. Licensee MDPI, Basel, Switzerland. This article is an open access article distributed under the terms and conditions of the Creative Commons Attribution (CC BY) license (http://creativecommons.org/licenses/by/4.0/).
Share and Cite
Yang, J.; Li, S.; Mao, F.; Min, Q.; Gong, W.; Zhang, L.; Liu, S. Physical Parameterization of Hyperspectral Reflectance in the Oxygen A-Band for Single-Layer Water Clouds. Remote Sens. 2020, 12, 2252. https://doi.org/10.3390/rs12142252
Yang J, Li S, Mao F, Min Q, Gong W, Zhang L, Liu S. Physical Parameterization of Hyperspectral Reflectance in the Oxygen A-Band for Single-Layer Water Clouds. Remote Sensing. 2020; 12(14):2252. https://doi.org/10.3390/rs12142252
Chicago/Turabian StyleYang, Jie, Siwei Li, Feiyue Mao, Qilong Min, Wei Gong, Lei Zhang, and Sheng Liu. 2020. "Physical Parameterization of Hyperspectral Reflectance in the Oxygen A-Band for Single-Layer Water Clouds" Remote Sensing 12, no. 14: 2252. https://doi.org/10.3390/rs12142252
APA StyleYang, J., Li, S., Mao, F., Min, Q., Gong, W., Zhang, L., & Liu, S. (2020). Physical Parameterization of Hyperspectral Reflectance in the Oxygen A-Band for Single-Layer Water Clouds. Remote Sensing, 12(14), 2252. https://doi.org/10.3390/rs12142252
