Risk Prediction of Coastal Hazards Induced by Typhoon: A Case Study in the Coastal Region of Shenzhen, China
Abstract
1. Introduction
2. Methods
2.1. Typhoon Simulation
2.1.1. Simplified Tracking Model
2.1.2. Decay Model
2.1.3. Typhoon Wind Filed Model
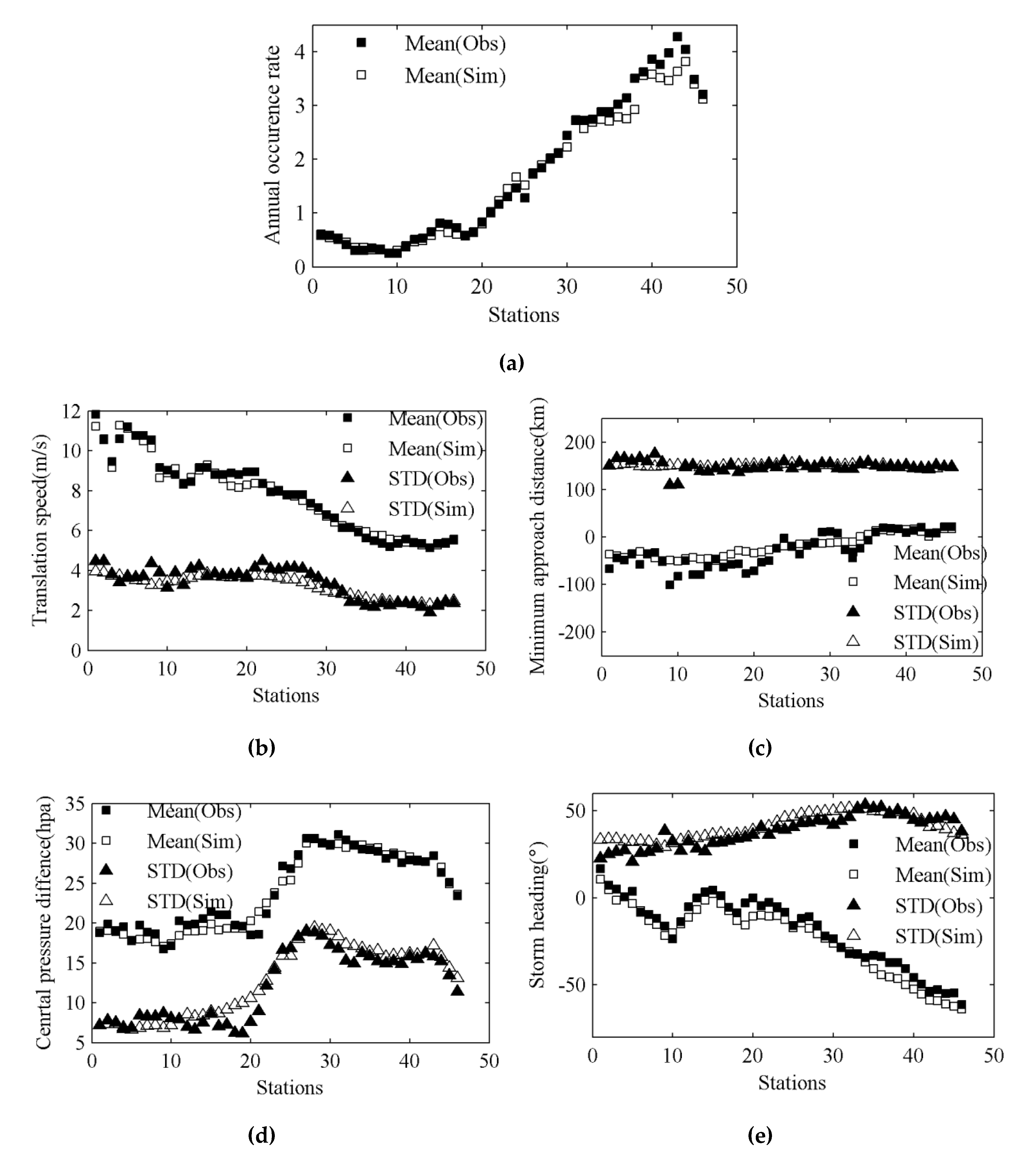
2.1.4. Model Validation
2.2. SWAN+ADCIRC Model and Simulations
2.2.1. SWAN+ADCIRC Model
2.2.2. Model Validation
3. Results
4. Discussion
4.1. Discussion of Typhoon Characteristics
4.2. Individual Risk
4.2.1. Extreme Value Distribution
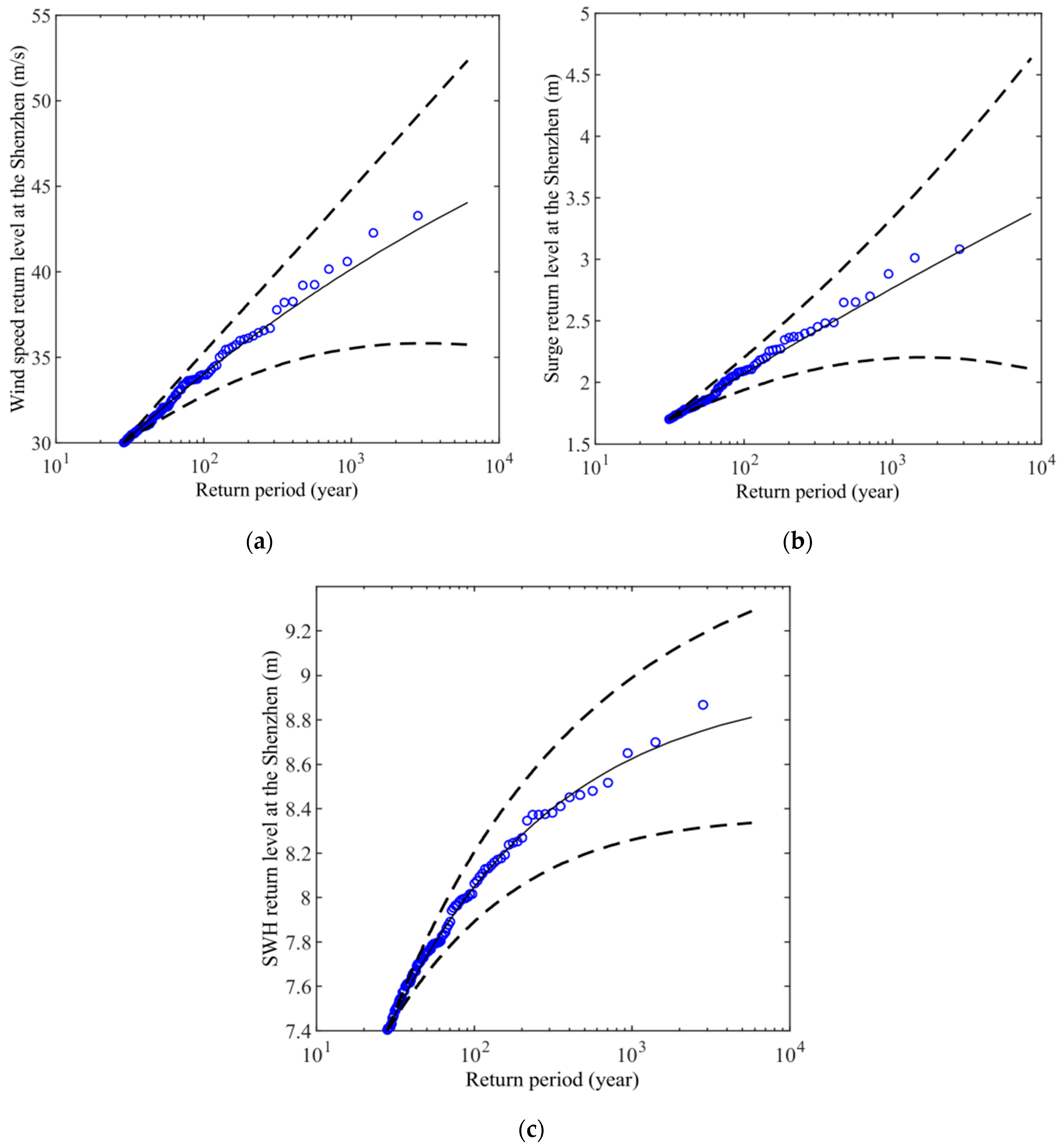
4.2.2. Return Periods
4.3. Joint Hazard Maps
5. Conclusions
Author Contributions
Funding
Acknowledgments
Conflicts of Interest
References
- Lian, J.F. A preliminary analysis of the characteristics of typhoon Sally. J. Grad. Sun YAT-SEN Univ. (Nat. Sci.) 1997, 18, 25–29. (In Chinese) [Google Scholar]
- Zhang, D.; Cai, A.A.; Lin, X.L. Characteristics and causes of heavy rainstorm caused by severe tropical storm “Bilis”. Guangdong Meteorol. 2007, 29, 22–24. (In Chinese) [Google Scholar]
- Song, F.F.; Ou, J.P. Investigation and analysis of structures damage caused by typhoon “Hagubit”. J. Nat. Disaster 2010, 19, 8–16. (In Chinese) [Google Scholar] [CrossRef]
- Chen, L.S.; Meng, Z.Y. An overview on tropieal cyelone researeh progress in China during the past ten years. Chin. J. Atmos. Sci. 2001, 25, 420–432. (In Chinese) [Google Scholar] [CrossRef]
- Vickery, P.J.; Skerlj, P.F.; Twisdale, L.A. Simulation of hurricane risk in the U.S. using empirical track model. J. Struct. Eng. 2000, 126, 1222–1237. [Google Scholar] [CrossRef]
- Vickery, P.J.; Wadhera, D.; Twisdale, L.A.; Lavelle, F.M.U.S. Hurricane wind speed risk and uncertainty. J. Struct. Eng. 2009, 135, 301–320. [Google Scholar] [CrossRef]
- Emanuel, K.; Ravela, S.; Vivant, E.; Risi, C. A statistical deterministic approach to hurricane risk assessment. Bull. Am. Meteorol. Soc. 2006, 87, 299–314. [Google Scholar] [CrossRef]
- Toro, G.R.; Resio, D.T.; Divoky, D.; Niedoroda, A.W.; Reed, C. Efficient joint-probability methods for hurricane surge frequency analysis. Ocean Eng. 2010, 37, 125–134. [Google Scholar] [CrossRef]
- Resio, D.T.; Irish, J.; Ciaone, M. A surge response function approach to coastal hazard assessment, Part 1. Basic concepts. Nat. Hazards 2009, 51, 163–182. [Google Scholar] [CrossRef]
- Scheffner, N.W.; Borgman, L.E.; Mark, D.J. Empirical simulation technique based storm surge frequency analyses. J. Waterw. Port Coast. Ocean Eng. 1996, 122, 93–101. [Google Scholar] [CrossRef]
- Scheffner, N.W.; Clausner, J.F.; Militello, A. Use and Application of the Empirical Simulation Technique: User’s Guide; US Army Corps of Engineers Engineer Research and Development Center: Washington, DC, USA, 1999. [Google Scholar]
- Lin, N.; Emanuel, K.A.; Smith, J.A.; Vanmarcke, E. Risk assessment of hurricane storm surge for New York City. J. Geophys. Res.-Atmos. 2010, 115, D18121. [Google Scholar] [CrossRef]
- Jelesnianski, C.P.; Chen, J.; Shaffer, W.A. SLOSH: Sea, Lake, and Overland Surges from Hurricanes; NOAA Tech. Rep.; NWS: Miami, FL, USA, 1992.
- Pei, B.; Pang, W.; Testik, F.Y.; Ravichandran, N.; Liu, F. Mapping joint hurricane wind and surge hazards for Charleston, South Carolina. Nat. Hazards 2014, 74, 375–403. [Google Scholar] [CrossRef]
- Li, S.H.; Hong, H.P. Typhoon wind hazard estimation for China using an empirical track model. Nat. Hazards 2016, 82, 1–21. [Google Scholar] [CrossRef]
- Luettich, R.A.; Westerink, J.J.; Scheffner, N.W. ADCIRC: An Advanced Three-Dimensional Circulation Model for Shelves, Coasts, and Estuaries. Report 1: Theory and Methodology of ADCIRC-2DDI and ADCIRC-3DL; Coastal Engineering Research Center: Vicksburg, MS, USA, 1992. [Google Scholar]
- Westerink, J.J.; Luettich, R.A.; Blain, C.A.; Scheffner, N.W. ADCIRC: An Advanced Three-Dimensional Circulation Model for Shelves, Coasts, and Estuaries. Report 2: User’s Manual for ADCIRC-2DDI; Coastal Engineering Research Center: Vicksburg, MS, USA, 1992. [Google Scholar]
- Dietrich, J.C.; Zijlema, M.; Westerink, J.J.; Dietrich, J.C.; Zijlema, M.; Westerink, J.J.; Holthuijsen, L.H.; Dawson, C.; Luettich, R.A., Jr.; Jensen, R.E.; et al. Modeling hurricane waves and storm surge using integrally-coupled, scalable computations. Coast. Eng. 2011, 58, 45–65. [Google Scholar] [CrossRef]
- Wei, W. Typhoon Wind Hazard Analysis of Shenzhen Based on Wind-Field Model Numerical Simulation; Harbin Institute of Technology: Harbin, Heilongjiang, China, 2009. (In Chinese) [Google Scholar]
- Li, S.H.; Hong, H.P. Observations on a hurricane wind hazard model used to map extreme hurricane wind speed. J. Struct. Eng. 2015, 141, 04014238. [Google Scholar] [CrossRef]
- Vickery, P.J.; Wadhera, D.; Powell, M.D.; Chen, Y. A hurricane boundary layer and wind field model for use in engineering applications. J. Appl. Meteor. 2009, 48, 381–405. [Google Scholar] [CrossRef]
- Huang, Z.; Rosowsky, D.V.; Sparks, P.R. Hurricane simulation techniques for the evaluation of wind speeds and expected insurance losses. J. Wind Eng. Ind. Aerodyn. 2001, 89, 605–617. [Google Scholar] [CrossRef]
- James, M.K.; Mason, L.B. Synthetic tropical cyclone database. J Waterw. Port Coast. Ocean Eng. 2005, 131, 181–192. [Google Scholar] [CrossRef]
- Emanuel, K. Climate and tropical cyclone activity: A new model downscaling approach. J. Clim. 2006, 19, 4797–4802. [Google Scholar] [CrossRef]
- Hall, T.; Jewson, S. Statistical modelling of North Atlantic tropical cyclone tracks. Tellus A Dyn. Meteorol. Oceanogr. 2007, 59, 486–498. [Google Scholar] [CrossRef]
- Fotheringham, A.S.; Brunsdon, C.; Charlton, M. Geographically Weighted Regression: The Analysis of Spatially Varying Relationships; Wiley: New York, NY, USA, 2002. [Google Scholar]
- Powell, M.; Soukup, G.; Cocke, S.; Gulati, S.; Morisseau-Leroy, N.; Hamid, S.; Dorst, N.; Axe, L. State of Florida hurricane loss projection model: Atmospheric science component. J. Wind Eng. Ind. Aerodyn. 2005, 93, 651–674. [Google Scholar] [CrossRef]
- Lee, K.; Rosowsky, D. Synthetic hurricane wind speed records: Development of a database for hazard analyses and risk studies. Nat. Hazards Rev. 2007, 8, 23–34. [Google Scholar] [CrossRef]
- Legg, M.R.; Nozick, L.K.; Davidson, R.A. Optimizing the selection of hazard-consistent probabilistic scenarios for long-term regional hurricane loss estimation. Struct. Saf. 2010, 32, 90–100. [Google Scholar] [CrossRef]
- Apivatanagul, P.; Davidson, R.; Blanton, B.; Nozick, L. Long-term regional hurricane hazard analysis for wind and storm surge. Coast. Eng. 2011, 58, 499–509. [Google Scholar] [CrossRef]
- Structural Engineering Institute. Minimum Design Loads for Buildings and Other Structures; American Society of Civil Engineers: Reston, VA, USA, 2005. [Google Scholar]
- Structural Engineering Institute. Minimum Design Loads for Buildings and Other Structures; American Society of Civil Engineers: Reston, VA, USA, 2010. [Google Scholar]
- Zhang, Y.D. The Study of Typhoon Wind Model Based on the Radiiof Wind Circle; Xiamen University: Xiamen, Fujian, China, 2013. (In Chinese) [Google Scholar]
- NASA Goddard Space Flight Center, Ocean Ecology Laboratory, Ocean Biology Processing Group. MODIS-Terra Ocean Color Data. NASA Goddard Space Flight Center, Ocean Ecology Laboratory, Ocean Biology Processing Group. 2014. Available online: https://modis.gsfc.nasa.gov/data/dataprod/mod28.php (accessed on 28 July 2015).
- Darling, R.W.R. Estimating probabilities of hurricane wind speeds using a large-scale empirical model. J. Clim. 1991, 4, 1035–1046. [Google Scholar] [CrossRef]
- Vickery, P.J.; Twisdale, L.A. Prediction of hurricane wind speeds in the United States. J. Struct. Eng. 1995, 121, 1691–1699. [Google Scholar] [CrossRef]
- Meng, Y.; Matsui, M.; Hibi, K. An analytical model for simulation of the wind field in a typhoon boundary layer. J. Wind Eng. Ind. Aerodyn. 1995, 56, 291–310. [Google Scholar] [CrossRef]
- Matsui, M.; Ishihara, T.; Hibi, K. Directional characteristics of probability distribution of extreme wind speeds by typhoon simulation. J. Wind Eng. Ind. Aerodyn. 2002, 90, 1541–1553. [Google Scholar] [CrossRef]
- Zhao, L.; Ge, Y.J.; Xiang, H.F. Stochastic parameter sensitivity analysis of typhoon wind field. J. Tongji Univ. (Nat. Sci.) 2005, 33, 727–731. (In Chinese) [Google Scholar]
- Okazaki, T.; Watabe, H.; Ishihara, T. Development of typhoon simulation model for insurance risk estimation. In Proceedings of the Sixth Asia-Pacific Conference on Wind Engineering, Seoul, Korea, 12–14 September 2005. [Google Scholar]
- Holland, G.J. An analytic model of the wind and pressure profiles in hurricanes. Mon. Weather Rev. 1980, 108, 1212–1218. [Google Scholar] [CrossRef]
- Vickery, P.J.; Wadhera, D. Statistical models of Holland pressure profile parameter and radius to maximum winds of hurricanes from flight-level pressure and H*Wind Data. J. Appl. Meteorol. Clim. 2008, 47, 2497–2517. [Google Scholar] [CrossRef]
- Li, S.H.; Hong, H.P. Use of historical best track data to estimate typhoon wind hazard at selected sites in China. Nat. Hazards 2015, 76, 1395–1414. [Google Scholar] [CrossRef]
- Hong, H.P.; Li, S.H.; Duan, Z.D. Typhoon wind hazard estimation and mapping for coastal region in mainland China. Nat. Hazards Rev. 2016, 17, 4016001. [Google Scholar] [CrossRef]
- Ministry of Housing and Urban-Rural Development of the People’s Republic of China. Load Code for the Design of Building Structures; China Architecture and Building Press: Beijing, China, 2012. (In Chinese) [Google Scholar]
- Blain, C.A.; Westerink, J.J.; Luettich, R.A. Grid convergence studies for the prediction of hurricane storm surge. Int. J. Numer. Methods Fluids 1998, 26, 369–401. [Google Scholar] [CrossRef]
- Shen, J.; Gong, W.; Wang, H. Simulation of Hurricane Isabel Using the Advanced Circulation Model (ADCIRC); College of William and Mary: Gloucester Point, VA, USA, 2005. [Google Scholar]
- Shen, J.; Gong, W.; Wang, H.V. Water level response to 1999 Hurricane Floyd in the Chesapeake Bay. Cont. Shelf Res. 2006, 26, 2484–2502. [Google Scholar] [CrossRef]
- Westerink, J.J.; Feyen, J.C.; Atkinson, J.H.; Roberts, H.J.; Kubatko, E.J.; Luettich, R.A.; Dawson, C.; Powell, M.D.; Dunion, J.P.; Pourtuheri, H. A basin-to channel-scale unstructured grid hurricane storm surge model applied to southern Louisiana. Mon. Weather Rev. 2008, 136, 833–864. [Google Scholar] [CrossRef]
- Chen, Q.; Wang, L.; Tawes, R. Hydrodynamic response of northeastern Gulf of Mexico to hurricanes. Estuar. Coast 2008, 31, 1098–1116. [Google Scholar] [CrossRef]
- Bunya, S.; Dietrich, J.C.; Westerink, J.J.; Ebersole, B.A.; Smith, J.M.; Atkinson, J.H.; Jensen, R.; Resio, D.T.; Luettich, R.A.; Dawson, C.; et al. A high resolution coupled riverine flow, tide, wind, wind wave and storm surge model for Southern Louisiana and Mississippi: Part II—Synoptic description and analyses of Hurricanes Katrina and Rita. Mon. Weather Rev. 2010, 138, 378–404. [Google Scholar] [CrossRef]
- Resio, D.T.; Westerink, J.J. Modeling the physics of storm surges. Phys. Today 2008, 61, 33–38. [Google Scholar] [CrossRef]
- Standards Association of Australia. Structural Design Actions, Part 2: Wind Actions; Standards Australia International Ltd.: Sydney, Australia, 2002. [Google Scholar]
- Choi, H.; Kanda, J. Characteristics of the vertical wind profile for wind load estimation. Wind Eng. JAWE 1990, 45, 23–43. [Google Scholar] [CrossRef]
- Weisberg, R.H.; Zheng, L. Hurricane storm surge simulations for Tampa Bay. Estuar. Coast 2006, 29, 899–913. [Google Scholar] [CrossRef]


















| Terrain Category | The Properties of the Underlying Surface | Roughness Length (m) |
|---|---|---|
| I | Sea surface, mudflats, snow-covered plains, unobstructed coastal areas | 0.0005–0.003 |
| II | Flat and open fields, villages and jungles (meteorological standards) | 0.003–0.2 |
| III | Hills and sparsely populated towns and suburbs | 0.2–1.0 |
| IV | Cities with dense buildings | 1.0–2.0 |
| V | Cities with tall and dense buildings | 2.0–4.0 |
© 2020 by the authors. Licensee MDPI, Basel, Switzerland. This article is an open access article distributed under the terms and conditions of the Creative Commons Attribution (CC BY) license (http://creativecommons.org/licenses/by/4.0/).
Share and Cite
Guo, Y.; Hou, Y.; Liu, Z.; Du, M. Risk Prediction of Coastal Hazards Induced by Typhoon: A Case Study in the Coastal Region of Shenzhen, China. Remote Sens. 2020, 12, 1731. https://doi.org/10.3390/rs12111731
Guo Y, Hou Y, Liu Z, Du M. Risk Prediction of Coastal Hazards Induced by Typhoon: A Case Study in the Coastal Region of Shenzhen, China. Remote Sensing. 2020; 12(11):1731. https://doi.org/10.3390/rs12111731
Chicago/Turabian StyleGuo, Yunxia, Yijun Hou, Ze Liu, and Mei Du. 2020. "Risk Prediction of Coastal Hazards Induced by Typhoon: A Case Study in the Coastal Region of Shenzhen, China" Remote Sensing 12, no. 11: 1731. https://doi.org/10.3390/rs12111731
APA StyleGuo, Y., Hou, Y., Liu, Z., & Du, M. (2020). Risk Prediction of Coastal Hazards Induced by Typhoon: A Case Study in the Coastal Region of Shenzhen, China. Remote Sensing, 12(11), 1731. https://doi.org/10.3390/rs12111731

