Kernel Entropy Component Analysis-Based Robust Hyperspectral Image Supervised Classification
Abstract
1. Introduction
- KECA is first introduced into HSI supervised classification to cleanse the original training set with noisy labels. Noisy labels often have very high local entropies, which is the basic motivation behind this paper.
- Five commonly used kernel functions are analyzed in the proposed detection framework, where the RBF kernel function is found to be a robust kernel trick for detecting noisy labels.
- The effectiveness of proposed method is proved by adopting several real hyperspectral datasets and multiple classifiers, i.e., spectral classifiers and spectral-spatial classifiers. The experimental results show that the proposed KECA is more efficient than other noisy label detection methods in terms of improving performance of the supervised classification in HSI.
2. Review of Related Methods
2.1. Kernel Tricks
- Radial basis function:where refers to the weight of the Gaussian function.
- Linear kernel function:where c refers to the constant term.
- Polynomial kernel function:where refers to the free parameter, and q is power term that controls the polynomial.
- Wavlet kernel function:where and are the mother wavelet function and the translation coefficients, respectively.
- Laplacian kernel function:
2.2. Renyi entropy
3. Proposed KECA Method for HSI Classification with Noisy Labels
| Algorithm 1. KECA. |
| Inputs: The noisy training set , . Outputs: The improved training set . |
| 1: For training sample do. |
| 2: Calculate based on the kernel trick. |
| 3: Obtain eigenvalues and eigenvectors for . |
| 4: Compute the Renyi entropy estimation of each eigenvalue by . |
| 5: Redefine the anomaly probabilities for each training sample . |
| 6: Cleanse the original training set by the threshold and build the improved training set . |
| 7: end for |
| 8: Perform classification by SVM trained with the improved training set . |
3.1. Construct the Kernel Matrix
3.2. Acquire the Entropy Distribution
3.3. Cleanse the Training Set with Noisy Labels
4. Experimental Results
4.1. Datasets and Experiments Description
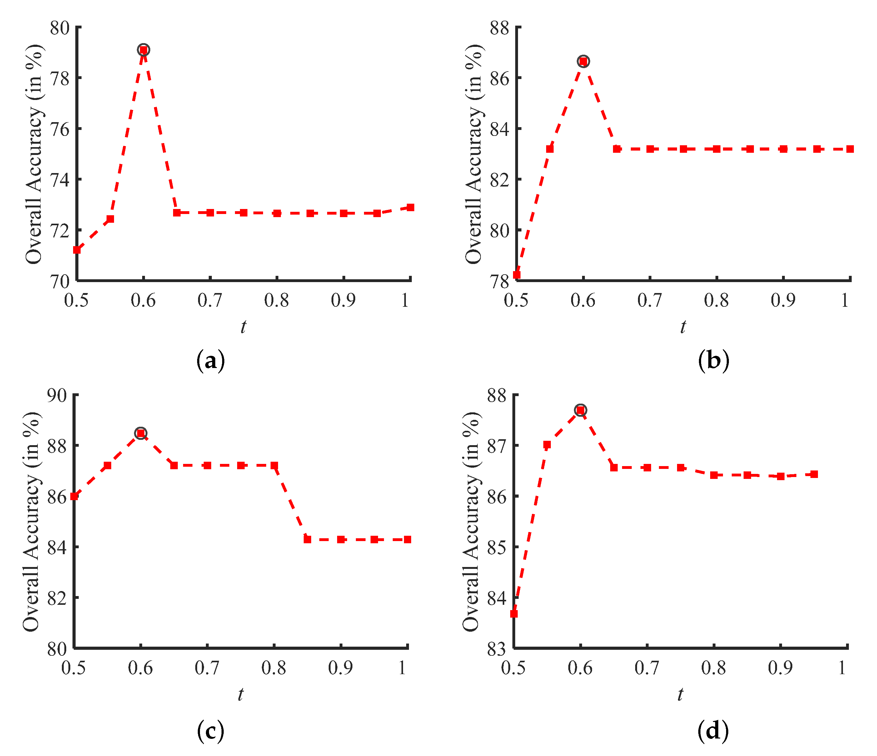
4.2. Parameter Tuning
4.3. Component Analysis
4.4. Detection Performance Analysis
4.5. Performance Evaluation Using the SVM
4.6. Performance Evaluation Using Other Classifiers
5. Discussion on Feature Extraction
6. Conclusions and Future Lines
Author Contributions
Funding
Acknowledgments
Conflicts of Interest
References
- Ellis, R.J.; Scott, P.W. Evaluation of hyperspectral remote sensing as a means of environmental monitoring in the St. Austell China clay (kaolin) region, Cornwall, UK. Remote Sens. Environ. 2004, 93, 118–130. [Google Scholar] [CrossRef]
- Pullanagari, R.R.; Kereszturi, G.; Yule, I. Integrating airborne hyperspectral, topographic, and soil data for estimating pasture quality using recursive feature elimination with random forest regression. Remote Sens. 2018, 10, 1117. [Google Scholar] [CrossRef]
- Erives, H.; Fitzgerald, G.J. Automated registration of hyperspectral images for precision agriculture. Comput. Electron. Agric. 2005, 47, 103–119. [Google Scholar] [CrossRef]
- Herrmann, I.; Vosberg, S.K.; Ravindran, P.; Singh, A.; Chang, H.X.; Chilvers, M.I.; Conley, S.P.; Townsend, P.A. Leaf and canopy level detection of fusarium virguliforme (sudden death syndrome) in soybean. Remote Sens. 2018, 10, 426. [Google Scholar] [CrossRef]
- Bishop, C.A.; Liu, J.G.; Mason, P.J. Hyperspectral remote sensing for mineral exploration in Pulang, Yunnan Province, China. Int. J. Remote Sens. 2011, 32, 2409–2426. [Google Scholar] [CrossRef]
- Jackisch, R.; Lorenz, S.; Zimmermann, R.; Möckel, R.; Gloaguen, R. Drone-borne hyperspectral monitoring of acid mine drainage: an example from the sokolov lignite district. Remote Sens. 2018, 10, 385. [Google Scholar] [CrossRef]
- Tu, B.; Yang, X.; Li, N.; Zhou, C.; He, D. Hyperspectral anomaly detection via density peak clustering. Pattern Recognit. Lett. 2020, 129, 144–149. [Google Scholar] [CrossRef]
- Melgani, F.; Bruzzone, L. Classification of hyperspectral remote sensing images with support vector machines. IEEE Trans. Geosci. Remote Sens. 2004, 42, 1778–1790. [Google Scholar] [CrossRef]
- Wang, Y.; Duan, H. Classification of hyperspectral images by SVM using a composite kernel by employing spectral, spatial and hierarchical structure information. Remote Sens. 2018, 10, 441. [Google Scholar] [CrossRef]
- Zhu, X.; Li, N.; Pan, Y. Optimization performance comparison of three different group intelligence algorithms on a SVM for hyperspectral imagery classification. Remote Sens. 2019, 11, 734. [Google Scholar] [CrossRef]
- Xia, J.; Chanussot, J.; Du, P.; He, X. Rotation-based support vector machine ensemble in classification of hyperspectral data with limited training samples. IEEE Trans. Geosci. Remote Sens. 2015, 54, 1519–1531. [Google Scholar] [CrossRef]
- Pal, M.; Foody, G.M. Feature selection for classification of hyperspectral data by SVM. IEEE Trans. Geosci. Remote Sens. 2010, 48, 2297–2307. [Google Scholar] [CrossRef]
- Yi, C.; Nasrabadi, N.M.; Tran, T.D. Hyperspectral image classification using dictionary-based sparse representation. IEEE Trans. Geosci. Remote Sens. 2011, 49, 3973–3985. [Google Scholar]
- Yuan, Y.; Lin, J.; Wang, Q. Hyperspectral image classification via multitask joint sparse representation and stepwise MRF optimization. IEEE Trans. Cybern. 2016, 46, 2966–2977. [Google Scholar] [CrossRef]
- Zhang, E.; Zhang, X.; Jiao, L.; Lin, L.; Hou, B. Spectral-spatial hyperspectral image ensemble classification via joint sparse representation. Pattern Recognit. 2016, 59, 42–54. [Google Scholar] [CrossRef]
- Fei, T.; Tong, H.; Jiang, J.; Yun, Z. Multiscale union regions adaptive sparse representation for hyperspectral image classification. Remote Sens. 2017, 9, 872. [Google Scholar]
- Fang, L.; Zhuo, H.; Li, S. Super-resolution of hyperspectral image via superpixel-based sparse representation. Neurocomputing 2018, 273, 171–177. [Google Scholar] [CrossRef]
- Tu, B.; Huang, S.; Fang, L.; Zhang, G.; Wang, J.; Zheng, B. Hyperspectral image classification via weighted joint nearest neighbor and sparse representation. IEEE J. Sel. Top. Appl. Earth Obs. Remote Sens. 2018, 11, 4063–4075. [Google Scholar] [CrossRef]
- Liu, L.; Chen, L.; Chen, C.L.P.; Tang, Y.Y.; Pun, C.M. Weighted joint sparse representation for removing mixed noise in image. IEEE Trans. Cybern. 2017, 47, 600–611. [Google Scholar] [CrossRef]
- Liu, Y.F.; Guo, J.M.; Lee, J.D. Halftone image classification using LMS algorithm and naive bayes. IEEE Trans. Image Process. 2011, 20, 2837–2847. [Google Scholar]
- Wang, X.Z.; He, Y.L.; Wang, D.D. Non-naive bayesian classifiers for classification problems with continuous attributes. IEEE Trans. Cybern. 2013, 44, 21–39. [Google Scholar] [CrossRef] [PubMed]
- Xu, L.; Li, J. Bayesian classification of hyperspectral imagery based on probabilistic sparse representation and markov random field. IEEE Trans.Geosci. Remote Sens. 2014, 11, 823–827. [Google Scholar]
- Safavian, S.R.; Landgrebe, D. A survey of decision tree classifier methodology. IEEE Trans. Syst. Man Cybern. 2002, 21, 660–674. [Google Scholar] [CrossRef]
- Yang, C.C.; Prasher, S.O.; Enright, P.; Madramootoo, C.; Burgess, M.; Goel, P.K.; Callum, I. Application of decision tree technology for image classification using remote sensing data. Agric. Syst. 2003, 76, 1101–1117. [Google Scholar] [CrossRef]
- Moustakidis, S.P.; Mallinis, G.; Koutsias, N.; Theocharis, J.B.; Petridis, V. SVM-based fuzzy decision trees for classification of high spatial resolution remote sensing images. IEEE Trans. Geosci. Remote Sens. 2011, 50, 149–169. [Google Scholar] [CrossRef]
- Li, S.; Hao, Q.; Gao, G.; Kang, X. The effect of ground truth on performance evaluation of hyperspectral image classification. IEEE Trans. Geosci. Remote Sens. 2018, 56, 7195–7206. [Google Scholar] [CrossRef]
- Garcia-Vilchez, F.; Munoz-Mari, J.; Zortea, M.; Blanes, I.; Gonzalez-Ruiz, V.; Camps-Valls, G.; Plaza, A.; Serra-Sagrista, J. On the impact of lossy compression on hyperspectral image classification and unmixing. IEEE Geosci. Remote Sens. Lett. 2011, 8, 253–257. [Google Scholar] [CrossRef]
- Carlotto, M.J. Effect of errors in ground truth on classification accuracy. Int. J. Remote Sens. 2009, 30, 4831–4849. [Google Scholar] [CrossRef]
- Tu, B.; Yang, X.; Li, N.; Ou, X.; He, W. Hyperspectral image classification via superpixel correlation coefficient representation. IEEE J. Sel. Top. Appl. Earth Obs. Remote Sens. 2018, 11, 4113–4127. [Google Scholar] [CrossRef]
- Xiao, T.; Xia, T.; Yang, Y.; Huang, C.; Wang, X. Learning from massive noisy labeled data for image classification. In Proceedings of the IEEE Conf. Comput. Vis. Pattern Recognit (CVPR), Boston, MA, USA, 7–12 June 2015; pp. 2691–2699. [Google Scholar]
- Lu, Z.; Fu, Z.; Xiang, T.; Han, P.; Wang, L.; Gao, X. Learning from weak and noisy labels for semantic segmentation. IEEE Trans. Pattern Anal. Mach. Intell. 2017, 39, 486–500. [Google Scholar] [CrossRef]
- Yao, Y.; Wang, L.; Zhang, L.; Yang, Y.; Li, P.; Zimmermann, R.; Shao, L. Learning latent stable patterns for image understanding with weak and noisy labels. IEEE Trans. Cybern. 2019, 49, 4243–4252. [Google Scholar] [CrossRef] [PubMed]
- Kang, X.; Duan, P.; Xiang, X.; Li, S.; Benediktsson, J.A. Detection and correction of mislabeled training samples for hyperspectral image classification. IEEE Trans. Geosci. Remote Sens. 2018, 56, 5673–5686. [Google Scholar] [CrossRef]
- Jiang, J.; Ma, J.; Wang, Z.; Chen, C.; Liu, X. Hyperspectral image classification in the presence of noisy labels. IEEE Trans. Geosci. Remote Sens. 2019, 57, 851–865. [Google Scholar] [CrossRef]
- Tu, B.; Zhou, C.; Kuang, W.; Guo, L.; Ou, X. Hyperspectral imagery noisy label detection by spectral angle local outlier factor. IEEE Geosci. Remote Sens. Lett. 2018, 15, 1417–1421. [Google Scholar] [CrossRef]
- Tu, B.; Zhang, X.; Kang, X.; Zhang, G.; Li, S. Density peak-based noisy label detection for hyperspectral image classification. IEEE Trans. Geosci. Remote Sens. 2019, 57, 1573–1584. [Google Scholar] [CrossRef]
- Tu, B.; Zhang, X.; Kang, X.; Wang, J.; Benediktsson, J.A. Spatial density peak clustering for hyperspectral image classification with noisy labels. IEEE Trans. Geosci. Remote Sens. 2019, 57, 5085–5097. [Google Scholar] [CrossRef]
- Jie, L.; Yuan, Q.; Shen, H.; Zhang, L. Noise removal from hyperspectral image with joint spectral–spatial distributed sparse representation. IEEE Trans. Geosci. Remote Sens. 2016, 54, 5425–5439. [Google Scholar]
- He, L.; Pan, Q.; Di, W.; Li, Y. Anomaly detection in hyperspectral imagery based on maximum entropy and nonparametric estimation. Pattern Recognit. Lett. 2008, 29, 1392–1403. [Google Scholar] [CrossRef]
- Cheng, C.; Hao, X.; Liu, S. Image segmentation based on 2D Renyi gray entropy and fuzzy clustering. In Proceedings of the IEEE Int. Conf. Signal Process, Hangzhou, China, 19–23 October 2014; pp. 19–23. [Google Scholar]
- Jie, F.; Jiao, L.; Tao, S.; Liu, H.; Zhang, X. Multiple kernel learning based on discriminative kernel clustering for hyperspectral band selection. IEEE Trans. Geosci. Remote Sens. 2016, 54, 6516–6530. [Google Scholar]
- Toksz, M.A.; Ulusoy, I. Hyperspectral image classification via kernel basic thresholding classifier. IEEE Trans. Geosci. Remote Sens. 2017, 55, 715–728. [Google Scholar] [CrossRef]
- Li, J.; Marpu, P.R.; Plaza, A.; Bioucas-Dias, J.M.; Benediktsson, J.A. Generalized composite kernel framework for hyperspectral image classification. IEEE Trans. Geosci. Remote Sens. 2013, 51, 4816–4829. [Google Scholar] [CrossRef]
- Fang, L.; Li, S.; Duan, W.; Ren, J.; Benediktsson, J.A. Classification of hyperspectral images by exploiting spectral–spatial information of superpixel via multiple kernels. IEEE Trans. Geosci. Remote Sens. 2015, 53, 6663–6674. [Google Scholar] [CrossRef]
- Chang, C.C.; Lin, C.J. LIBSVM: A library for support vector machines. ACM Trans. Intell. Syst. Technol. 2011, 2, 27:1–27:27. [Google Scholar] [CrossRef]
- Ding, X.; Zhang, S.; Li, H.; Wu, P.; Dale, P.; Liu, L.; Cheng, S. A restrictive polymorphic ant colony algorithm for the optimal band selection of hyperspectral remote sensing images. Int. J. Remote Sens. 2020, 41, 1093–1117. [Google Scholar] [CrossRef]
- Toksz, M.A.; Ulusoy, I. Hyperspectral image classification via basic thresholding classifier. IEEE Trans. Geosci. Remote Sens. 2016, 54, 4039–4051. [Google Scholar] [CrossRef]
- Wright, J.; Yang, A.Y.; Ganesh, A.; Sastry, S.S.; Ma, Y. Robust face recognition via sparse representation. IEEE Trans. Pattern Anal. Mach. Intell. 2009, 31, 210–227. [Google Scholar] [CrossRef]
- Huang, G.-B.; Zhou, H.; Ding, X.; Zhang, R. Extreme learning machine for regression and multiclass classification. IEEE Trans. Syst. Man Cybern. 2012, 42, 513–529. [Google Scholar] [CrossRef]
- Benediktsson, J.A.; Pesaresi, M.; Amason, K. Classification and feature extraction for remote sensing images from urban areas based on morphological transformations. IEEE Trans. Geosci. Remote Sens. 2003, 41, 1940–1949. [Google Scholar] [CrossRef]
- Li, J.; Bioucas-Dias, J.M.; Plaza, A. Hyperspectral image segmentation using a new Bayesian approach with active learning. IEEE Trans. Geosci. Remote Sens. 2011, 49, 3947–3960. [Google Scholar] [CrossRef]
- Kang, X.; Li, S.; Benediktsson, J.A. Spectral-spatial hyperspectral image classification with edge-preserving filtering. IEEE Trans. Geosci. Remote Sens. 2014, 52, 2666–2677. [Google Scholar] [CrossRef]












| Class | Name | Train | Test | Added noise labels | |
|---|---|---|---|---|---|
| Exp. 1 | Exp. 2 | ||||
| C1 | Asphalt | 50 | 6581 | 10 | 30 |
| C2 | Meadows | 50 | 18,599 | 10 | 30 |
| C3 | Gravel | 50 | 2049 | 10 | 30 |
| C4 | Trees | 50 | 3014 | 10 | 30 |
| C5 | Metal sheets | 50 | 1295 | 10 | 30 |
| C6 | Bare soil | 50 | 4979 | 10 | 30 |
| C7 | Bitumen | 50 | 1280 | 10 | 30 |
| C8 | Self-Blocking Bricks | 50 | 3632 | 10 | 30 |
| C9 | Shadows | 50 | 897 | 10 | 30 |
| Total | 450 | 42,326 | 90 | 270 | |
| Class | Name | Train | Test | Added Noisy Labels | |
|---|---|---|---|---|---|
| Exp. 1 | Exp. 2 | ||||
| C1 | Weeds 1 | 25 | 1984 | 5 | 15 |
| C2 | Weeds 2 | 25 | 3701 | 5 | 15 |
| C3 | Fallow | 25 | 1951 | 5 | 15 |
| C4 | Fallow plot | 25 | 1369 | 5 | 15 |
| C5 | Fallow smooth | 25 | 2653 | 5 | 15 |
| C6 | Stubble | 25 | 3934 | 5 | 15 |
| C7 | Celery | 25 | 3554 | 5 | 15 |
| C8 | Grapes | 25 | 11,246 | 5 | 15 |
| C9 | Soil | 25 | 6178 | 5 | 15 |
| C10 | Corn | 25 | 3253 | 5 | 15 |
| C11 | Lettuce 4 wk | 25 | 1043 | 5 | 15 |
| C12 | Lettuce 5 wk | 25 | 1902 | 5 | 15 |
| C13 | Lettuce 6 wk | 25 | 891 | 5 | 15 |
| C14 | Lettuce 7 wk | 25 | 1045 | 5 | 15 |
| C15 | Vinyard untrained | 25 | 7243 | 5 | 15 |
| C16 | Vinyard trelis | 25 | 1782 | 5 | 15 |
| Total | 400 | 53,729 | 80 | 240 | |
| Class | Name | Train | Test | Added Noise Labels | |
|---|---|---|---|---|---|
| Exp. 1 | Exp. 2 | ||||
| C1 | Scrub | 25 | 736 | 5 | 15 |
| C2 | Willow swamp | 25 | 218 | 5 | 15 |
| C3 | Cabbage palm hammock | 25 | 231 | 5 | 15 |
| C4 | Cabbage palm/oak | 25 | 227 | 5 | 15 |
| C5 | Slash pine | 25 | 136 | 5 | 15 |
| C6 | Oak/broadleaf hammock | 25 | 204 | 5 | 15 |
| C7 | Hardwood swamp | 25 | 80 | 5 | 15 |
| C8 | Graminoid marsh | 25 | 406 | 5 | 15 |
| C9 | Spartina marsh | 25 | 495 | 5 | 15 |
| C10 | Cattail marsh | 25 | 379 | 5 | 15 |
| C11 | Salt marsh | 25 | 394 | 5 | 15 |
| C12 | Muld flats | 25 | 478 | 5 | 15 |
| C13 | Water | 25 | 902 | 5 | 15 |
| Total | 325 | 4886 | 65 | 195 | |
| Class | Name | Train | Test | Added Noise Labels | |
|---|---|---|---|---|---|
| Exp. 1 | Exp. 2 | ||||
| C1 | Roof | 25 | 3160 | 5 | 15 |
| C2 | Grass | 25 | 1797 | 5 | 15 |
| C3 | Road | 25 | 1403 | 5 | 15 |
| C4 | Trail | 25 | 1262 | 5 | 15 |
| C5 | Tree | 25 | 1190 | 5 | 15 |
| C6 | Shadow | 25 | 1115 | 5 | 15 |
| Total | 150 | 9927 | 30 | 90 | |
| Class | SVM 25 (T) | SVM 25 (T) + 5(M) | The Different Kernel Tricks Based KECA Method | ||||
|---|---|---|---|---|---|---|---|
| LKF | PKF | WKF | LNKF | RBF | |||
| C1 | 94.92(2.47) | 93.53(2.22) | 95.03(1.59) | 94.67(1.74) | 95.86(1.61) | 94.72(1.83) | 95.10(1.45) |
| C2 | 89.05(4.36) | 79.86(5.84) | 84.89(5.68) | 83.97(4.09) | 78.45(11.0) | 84.77(4.60) | 87.20(5.17) |
| C3 | 87.57(6.11) | 91.84(4.62) | 87.71(5.43) | 83.27(6.68) | 82.22(6.27) | 83.69(6.13) | 85.96(3.79) |
| C4 | 67.59(5.56) | 58.72(4.06) | 66.80(5.35) | 63.49(3.08) | 57.27(6.78) | 63.95(5.29) | 64.87(6.15) |
| C5 | 65.38(7.52) | 51.88(9.44) | 63.74(8.07) | 60.46(7.49) | 57.37(9.73) | 61.38(7.85) | 64.95(7.23) |
| C6 | 61.91(8.81) | 51.72(6.18) | 58.73(5.82) | 55.37(8.30) | 54.88(12.0) | 58.18(7.28) | 60.98(7.30) |
| C7 | 71.02(5.58) | 56.83(6.80) | 65.13(6.16) | 67.22(6.52) | 63.81(5.85) | 67.02(6.77) | 67.44(4.60) |
| C8 | 84.20(6.37) | 82.58(8.09) | 83.27(5.33) | 82.91(6.12) | 70.84(12.0) | 82.99(5.00) | 83.43(6.94) |
| C9 | 90.42(2.27) | 89.27(2.87) | 89.03(3.87) | 88.35(2.98) | 83.56(6.38) | 89.32(2.63) | 89.22(2.29) |
| C10 | 93.02(7.52) | 80.85(7.23) | 94.27(5.85) | 93.60(4.39) | 86.01(10.8) | 96.72(3.46) | 93.08(6.84) |
| C11 | 90.08(5.48) | 86.72(5.45) | 90.29(4.46) | 91.46(4.59) | 93.53(7.89) | 90.07(5.16) | 90.09(6.90) |
| C12 | 94.77(3.61) | 83.62(4.44) | 92.74(3.59) | 93.08(5.38) | 86.73(7.43) | 95.49(2.70) | 95.02(3.65) |
| C13 | 100.0(0.00) | 99.18(0.81) | 99.06(1.39) | 98.88(1.22) | 99.54(0.63) | 99.69(0.65) | 99.69(0.46) |
| OA | 88.75(0.96) | 83.57(1.74) | 87.69(1.24) | 86.77(0.96) | 83.14(2.47) | 87.62(1.11) | 88.05(1.24) |
| AA | 83.84(1.23) | 77.43(2.03) | 82.36(1.68) | 81.29(1.01) | 77.70(2.58) | 82.15(1.31) | 82.85(1.47) |
| Kappa | 87.45(1.06) | 81.71(1.93) | 86.27(1.38) | 85.25(1.06) | 81.22(2.74) | 86.20(1.23) | 86.67(1.38) |
| Datasets | Total Noises | Evaluation of Detection Performance of Noise Labels | ||||
|---|---|---|---|---|---|---|
| Correct | Error | Not Detected | Correct Rate (%) | Error Rate (%) | ||
| University of Pavia | 10 × 9 | 54.53(3.16) | 2.60(1.24) | 35.47(3.16) | 60.07(3.81) | 2.89(1.34) |
| 30 × 9 | 107.27(4.04) | 0.00(0.00) | 162.73(4.04) | 39.90(2.20) | 0.00(0.00) | |
| Salinas | 5 × 16 | 54.90(3.38) | 15.50(3.75) | 25.10(3.38) | 70.75(2.96) | 19.38(3.14) |
| 15 × 16 | 142.90(6.81) | 0.10(0.32) | 97.10(6.81) | 61.67(2.28) | 0.01(0.01) | |
| KSC | 5 × 13 | 45.10(2.81) | 11.50(2.68) | 19.90(2.81) | 68.46(3.01) | 17.69(4.98) |
| 15×13 | 150.50(4.55) | 9.10(2.64) | 44.50(4.55) | 76.87(1.72) | 4.93(1.97) | |
| Washington DC | 5 × 6 | 20.50(1.65) | 5.20(2.10) | 9.50(1.65) | 69.67(5.76) | 17.33(4.22) |
| 15 × 6 | 58.50(2.64) | 2.64(0.40) | 31.50(2.64) | 65.78(4.44) | 2.94(0.57) | |
| Class | SVM 50 (T) | The Number of True Samples and Noisy Labels Per Class | |||||||
|---|---|---|---|---|---|---|---|---|---|
| 50 (True) + 10 (Noise) | 50 (True) + 30 (Noise) | ||||||||
| SVM | SALOF | DP | KECA | SVM | SALOF | DP | KECA | ||
| C1 | 94.98 | 90.51(3.74) | 92.13(5.61) | 86.54(6.60) | 93.83(2.93) | 80.15(11.0) | 88.60(5.89) | 88.84(7.29) | 91.10(6.18) |
| C2 | 94.68 | 92.60(1.22) | 93.24(1.24) | 94.05(1.80) | 94.66(1.25) | 91.85(2.24) | 90.49(2.72) | 92.35(2.39) | 92.81(1.51) |
| C3 | 66.61 | 55.22(6.42) | 65.42(4.97) | 58.34(6.34) | 60.75(6.77) | 50.80(6.57) | 53.50(5.85) | 52.75(6.20) | 54.88(5.32) |
| C4 | 80.73 | 69.77(7.40) | 73.01(7.33) | 81.01(9.36) | 73.04(10.2) | 67.06(8.60) | 63.18(9.77) | 57.25(10.4) | 64.06(8.57) |
| C5 | 95.18 | 85.9(11.94) | 81.55(15.6) | 82.64(12.3) | 86.01(11.2) | 76.43(19.6) | 78.63(14.3) | 84.25(9.59) | 85.43(12.9) |
| C6 | 67.05 | 53.49(6.21) | 53.05(5.05) | 65.03(9.61) | 66.78(7.79) | 44.18(6.77) | 42.34(7.26) | 44.72(5.76) | 45.16(6.36) |
| C7 | 61.71 | 49.24(6.74) | 58.61(6.94) | 47.13(5.44) | 51.71(7.17) | 40.42(3.27) | 44.77(4.28) | 42.93(5.38) | 43.65(5.11) |
| C8 | 82.13 | 77.34(5.49) | 81.03(4.23) | 71.67(6.69) | 75.89(5.29) | 70.40(6.29) | 77.58(4.53) | 80.56(3.69) | 76.22(6.58) |
| C9 | 99.92 | 90.61(9.02) | 77.4(13.75) | 83.8(16.93) | 88.34(14.6) | 70.81(19.2) | 73.5(22.48) | 88.16(10.4) | 90.45(12.7) |
| OA | 85.06 | 76.01(2.39) | 78.40(3.21) | 79.36(3.06) | 81.11(2.53) | 66.48(3.76) | 67.87(5.41) | 69.92(3.30) | 71.00(4.07) |
| AA | 82.56 | 73.85(2.07) | 75.05(3.13) | 74.47(2.41) | 76.77(3.18) | 65.79(4.85) | 68.07(4.17) | 70.20(2.95) | 71.53(3.22) |
| Kappa | 80.61 | 69.77(2.67) | 72.59(3.78) | 73.67(3.52) | 75.77(2.96) | 59.36(3.93) | 60.83(5.65) | 63.00(3.62) | 64.28(4.34) |
| Class | SVM 25 (T) | The Number of True Samples and Noisy Labels | |||||||
|---|---|---|---|---|---|---|---|---|---|
| 25 (True) + 5 (Noise) | 25 (True) + 15 (Noise) | ||||||||
| SVM | SALOF | DP | KECA | SVM | SALOF | DP | KECA | ||
| C1 | 98.80 | 98.87(2.27) | 99.41(0.75) | 98.78(1.47) | 94.40(7.19) | 98.90(0.92) | 96.32(4.00) | 98.88(1.03) | 96.63(3.99) |
| C2 | 99.22 | 99.33(0.92) | 99.17(0.55) | 99.33(0.24) | 94.14(3.99) | 94.65(1.24) | 97.59(2.56) | 98.29(1.34) | 98.09(2.38) |
| C3 | 99.66 | 90.24(2.44) | 90.79(2.41) | 88.47(4.08) | 91.86(1.99) | 91.72(3.84) | 88.31(2.91) | 89.35(2.61) | 88.31(3.43) |
| C4 | 97.57 | 97.38(0.96) | 97.20(0.70) | 97.26(0.44) | 93.86(3.87) | 97.03(1.77) | 93.68(7.78) | 95.91(2.10) | 94.46(4.42) |
| C5 | 98.52 | 98.18(1.63) | 98.54(1.02) | 98.75(0.74) | 99.37(1.34) | 94.70(4.20) | 98.15(1.39) | 98.05(2.07) | 98.85(4.45) |
| C6 | 100.0 | 99.44(2.43) | 100.0(0.00) | 100.0(0.00) | 99.95(0.13) | 99.77(2.74) | 100.0(0.00) | 98.17(2.13) | 98.54(2.36) |
| C7 | 98.47 | 98.57(1.53) | 98.58(0.89) | 98.56(1.03) | 96.82(2.82) | 96.96(1.62) | 96.10(5.06) | 97.49(1.61) | 98.25(1.05) |
| C8 | 74.03 | 71.15(3.13) | 72.03(2.39) | 72.67(2.65) | 75.37(3.83) | 59.59(4.24) | 71.02(4.44) | 70.70(3.66) | 73.39(2.70) |
| C9 | 99.22 | 99.27(0.68) | 99.22(0.35) | 99.28(0.29) | 98.66(1.06) | 99.42(0.65) | 98.98(0.74) | 98.51(2.08) | 99.59(3.42) |
| C10 | 80.00 | 77.35(6.60) | 79.84(9.54) | 78.32(5.34) | 82.32(7.69) | 84.80(4.97) | 84.44(5.65) | 81.33(7.25) | 80.73(6.93) |
| C11 | 85.46 | 87.78(3.26) | 85.95(5.98) | 88.42(7.22) | 83.89(7.68) | 83.47(5.86) | 88.73(4.44) | 88.15(4.77) | 85.47(5.14) |
| C12 | 94.81 | 92.28(2.02) | 95.08(1.71) | 95.52(1.45) | 96.46(1.13) | 95.07(2.92) | 94.09(3.22) | 94.66(1.37) | 95.51(3.44) |
| C13 | 93.48 | 92.58(4.54) | 90.42(6.95) | 94.00(1.93) | 94.74(3.78) | 95.19(5.78) | 92.03(6.53) | 91.96(3.35) | 91.02(5.47) |
| C14 | 90.97 | 91.68(6.06) | 85.56(11.2) | 88.18(11.3) | 89.61(5.29) | 53.79(10.3) | 79.27(14.7) | 89.20(9.30) | 90.83(7.61) |
| C15 | 58.13 | 47.47(3.85) | 54.31(3.85) | 54.72(5.41) | 57.05(5.50) | 37.16(7.63) | 50.18(5.47) | 50.87(4.91) | 53.49(4.08) |
| C16 | 95.79 | 93.52(4.95) | 85.09(13.7) | 91.17(9.27) | 95.22(2.59) | 89.21(6.64) | 82.57(13.9) | 93.80(7.58) | 94.87(5.45) |
| OA | 85.81 | 81.79(1.69) | 83.94(1.12) | 84.38(1.76) | 85.06(1.79) | 78.29(2.23) | 82.07(1.98) | 82.89(1.54) | 83.83(1.50) |
| AA | 90.95 | 89.69(0.83) | 89.45(1.37) | 90.21(0.87) | 90.24(0.70) | 85.71(1.34) | 88.22(1.54) | 89.71(1.01) | 89.89(1.42) |
| Kappa | 84.24 | 79.88(1.82) | 82.18(1.21) | 82.67(1.91) | 83.44(1.97) | 75.91(2.42) | 80.14(2.14) | 81.04(1.66) | 82.08(1.62) |
| Class | SVM 25 (T) | The Number of True Samples and Noisy Labels | |||||||
|---|---|---|---|---|---|---|---|---|---|
| 25 (True) + 5 (Noise) | 25 (True) + 15 (Noise) | ||||||||
| SVM | SALOF | DP | KECA | SVM | SALOF | DP | KECA | ||
| C1 | 94.92 | 93.53(2.22) | 95.90(1.79) | 95.30(1.78) | 93.29(2.70) | 96.11(2.93) | 95.43(2.19) | 95.19(2.10) | 93.38(2.14) |
| C2 | 89.05 | 79.86(5.84) | 83.34(5.33) | 83.77(4.17) | 85.60(4.97) | 77.02(5.08) | 74.58(5.21) | 74.53(6.08) | 79.93(6.27) |
| C3 | 87.57 | 91.84(4.62) | 85.19(5.65) | 84.55(4.21) | 82.76(5.90) | 86.19(6.20) | 84.14(5.72) | 84.34(6.03) | 81.06(7.49) |
| C4 | 67.59 | 58.72(4.06) | 64.28(6.09) | 64.64(4.57) | 62.60(4.92) | 56.02(4.67) | 55.63(7.01) | 57.00(6.80) | 60.02(6.45) |
| C5 | 65.38 | 51.88(9.44) | 62.20(5.91) | 61.92(6.14) | 62.45(5.92) | 57.14(9.85) | 52.38(10.6) | 57.82(9.01) | 56.72(8.96) |
| C6 | 61.91 | 51.72(6.18) | 54.59(5.55) | 57.08(6.92) | 55.13(11.5) | 36.10(8.09) | 50.07(7.70) | 48.74(7.39) | 57.81(7.05) |
| C7 | 71.02 | 56.83(6.80) | 68.49(4.32) | 70.00(5.23) | 66.96(7.38) | 53.19(6.30) | 63.78(4.00) | 65.48(6.97) | 60.36(8.86) |
| C8 | 84.20 | 82.58(8.09) | 79.89(5.36) | 78.09(4.85) | 80.34(5.60) | 52.58(10.4) | 66.88(5.54) | 69.17(5.34) | 80.82(6.67) |
| C9 | 90.42 | 89.27(2.87) | 86.95(6.50) | 84.96(4.45) | 89.07(2.09) | 88.55(5.69) | 85.28(7.84) | 82.63(5.88) | 86.75(3.77) |
| C10 | 93.02 | 80.85(7.23) | 83.85(8.77) | 92.55(3.71) | 94.48(5.11) | 83.21(7.67) | 83.16(10.3) | 87.27(10.4) | 94.13(6.35) |
| C11 | 90.08 | 86.72(5.45) | 86.37(9.38) | 87.33(5.23) | 92.60(5.76) | 97.78(4.37) | 88.79(8.51) | 90.71(8.60) | 90.83(4.72) |
| C12 | 94.77 | 83.62(4.44) | 86.77(6.58) | 90.24(5.32) | 93.48(3.59) | 82.76(5.75) | 86.28(8.69) | 87.10(9.22) | 92.81(5.17) |
| C13 | 100.0 | 99.18(0.81) | 98.08(2.24) | 96.62(2.46) | 99.60(0.43) | 100.0(2.18) | 98.73(2.56) | 98.65(2.20) | 98.07(1.99) |
| OA | 88.75 | 83.57(1.74) | 84.88(1.94) | 85.47(1.64) | 86.67(1.52) | 79.90(1.80) | 81.51(1.76) | 82.60(1.55) | 85.19(1.88) |
| AA | 83.84 | 77.43(2.03) | 79.68(1.82) | 80.54(1.83) | 81.42(1.60) | 74.36(1.83) | 75.78(1.67) | 76.86(1.58) | 79.44(2.06) |
| Kappa | 87.45 | 81.71(1.93) | 83.16(2.16) | 83.81(1.82) | 85.14(1.68) | 77.66(2.00) | 79.42(1.95) | 80.62(1.71) | 83.49(2.08) |
| Class | SVM 25 (T) | The Number of True Samples and Noisy Labels | |||||||
|---|---|---|---|---|---|---|---|---|---|
| 25 (Ture) + 5 (Noise) | 25 (Ture) + 15 (Noise) | ||||||||
| SVM | SALOF | DP | KECA | SVM | SALOF | DP | KECA | ||
| C1 | 90.28 | 86.08(4.05) | 84.12(4.54) | 88.43(3.57) | 89.28(2.57) | 74.98(5.27) | 84.70(4.43) | 87.45(3.65) | 88.89(3.66) |
| C2 | 95.97 | 95.78(1.26) | 95.63(4.89) | 93.15(3.49) | 95.99(1.76) | 80.04(4.63) | 89.74(5.43) | 89.30(5.82) | 94.25(2.19) |
| C3 | 71.22 | 71.67(3.52) | 70.40(7.23) | 68.80(4.72) | 71.90(4.46) | 68.55(6.71) | 67.30(6.41) | 66.07(5.55) | 69.69(7.37) |
| C4 | 81.67 | 77.41(7.91) | 85.52(6.99) | 83.48(6.80) | 81.95(8.05) | 79.43(7.02) | 76.85(6.71) | 76.95(6.75) | 79.17(7.89) |
| C5 | 95.38 | 93.52(5.00) | 93.48(4.97) | 96.65(5.46) | 96.77(6.80) | 85.62(5.00) | 87.80(6.55) | 94.11(6.17) | 92.98(6.68) |
| C6 | 98.94 | 95.67(7.73) | 98.38(1.59) | 98.99(2.90) | 98.19(7.26) | 96.73(1.80) | 93.35(6.11) | 97.26(2.53) | 96.10(3.55) |
| OA | 87.93 | 85.61(1.33) | 86.22(2.12) | 86.80(1.64) | 87.36(2.67) | 79.34(2.03) | 82.11(2.15) | 83.64(1.88) | 85.81(2.84) |
| AA | 88.91 | 86.69(1.37) | 87.92(2.24) | 88.25(1.48) | 89.01(2.68) | 80.89(1.90) | 83.29(2.39) | 85.19(1.75) | 86.85(2.47) |
| Kappa | 85.14 | 82.27(1.62) | 82.93(2.51) | 83.74(1.99) | 84.41(3.16) | 74.44(2.42) | 78.10(2.58) | 79.99(2.16) | 82.60(3.31) |
| Methods | HSI Datasets | |||||||
|---|---|---|---|---|---|---|---|---|
| University of Pavia | Salinas | KSC | Washington DC | |||||
| DT | CT | DT | CT | DT | CT | DT | CT | |
| SVM | − | 45.29 | − | 91.49 | − | 126.22 | − | 17.47 |
| SALOF | 0.42 | 33.30 | 0.16 | 61.87 | 0.11 | 94.71 | 0.07 | 14.79 |
| DP | 0.92 | 36.96 | 0.99 | 66.39 | 0.63 | 58.92 | 0.30 | 10.54 |
| KECA | 0.20 | 26.24 | 0.16 | 74.57 | 0.06 | 87.19 | 0.03 | 11.17 |
| Training Condition | Classifier | OA(%) | AA(%) | Kappa | |||||||||
|---|---|---|---|---|---|---|---|---|---|---|---|---|---|
| SVM | SALOF | DP | KECA | SVM | SALOF | DP | KECA | SVM | SALOF | DP | KECA | ||
| 25(true) + 5(noise) | BTC | 76.23 | 77.76 | 78.90 | 80.15 | 76.35 | 80.78 | 82.66 | 83.37 | 72.77 | 75.44 | 76.69 | 78.06 |
| (1.21) | (1.53) | (1.94) | (1.65) | (0.88) | (1.45) | (2.63) | (1.66) | (1.30) | (1.70) | (1.54) | (1.79) | ||
| KBTC | 75.80 | 80.70 | 82.78 | 85.11 | 76.46 | 85.16 | 87.82 | 89.67 | 73.39 | 78.65 | 80.93 | 83.53 | |
| (1.15) | (2.24) | (1.88) | (1.95) | (1.12) | (2.59) | (1.85) | (2.05) | (1.25) | (2.42) | (2.08) | (2.14) | ||
| SRC | 67.82 | 74.66 | 77.48 | 79.47 | 79.11 | 84.49 | 87.42 | 88.02 | 64.84 | 72.00 | 75.16 | 77.32 | |
| (1.23) | (2.37) | (1.15) | (1.58) | (1.08) | (1.49) | (0.63) | (0.77) | (1.32) | (2.54) | (1.23) | (1.69) | ||
| ELM | 69.54 | 76.17 | 79.72 | 80.74 | 68.98 | 78.00 | 83.48 | 83.53 | 66.67 | 73.79 | 77.63 | 78.45 | |
| (0.98) | (2.17) | (1.36) | (1.72) | (1.42) | (2.39) | (1.55) | (2.25) | (1.05) | (2.34) | (1.45) | (1.84) | ||
| 25(true) + 15(noise) | BTC | 49.46 | 51.62 | 49.33 | 58.99 | 48.13 | 50.53 | 47.88 | 57.94 | 45.66 | 47.60 | 45.07 | 55.31 |
| (1.16) | (2.19) | (1.08) | (2.06) | (1.75) | (2.21) | (1.27) | (2.41) | (1.56) | (2.30) | (1.65) | (2.17) | ||
| KBTC | 57.33 | 62.01 | 61.39 | 67.22 | 55.96 | 60.99 | 61.01 | 66.93 | 53.74 | 58.73 | 58.13 | 64.18 | |
| (1.75) | (1.54) | (1.63) | (1.01) | (1.65) | (1.49) | (1.60) | (1.70) | (1.87) | (1.85) | (1.73) | (1.03) | ||
| SRC | 50.55 | 54.09 | 52.85 | 58.89 | 64.06 | 68.45 | 66.39 | 72.38 | 46.62 | 51.21 | 49.02 | 55.44 | |
| (1.25) | (2.14) | (2.19) | (1.42) | (1.71) | (1.84) | (2.48) | (1.39) | (1.36) | (2.28) | (2.38) | (1.51) | ||
| ELM | 54.38 | 58.13 | 57.84 | 60.76 | 52.63 | 56.43 | 56.11 | 59.32 | 50.64 | 54.71 | 54.43 | 57.41 | |
| (1.52) | (1.54) | (1.86) | (1.55) | (1.15) | (1.52) | (1.96) | (1.38) | (1.59) | (1.65) | (1.90) | (1.64) | ||
| 25(true) + 25(noise) | BTC | 38.93 | 40.39 | 39.80 | 43.69 | 38.05 | 39.28 | 37.83 | 42.62 | 34.28 | 35.72 | 35.04 | 39.13 |
| (0.94) | (1.18) | (1.33) | (1.46) | (1.19) | (1.09) | (0.92) | (1.21) | (1.42) | (1.29) | (1.38) | (1.53) | ||
| KBTC | 46.60 | 50.12 | 49.06 | 54.74 | 45.72 | 49.18 | 48.03 | 53.91 | 42.34 | 46.16 | 45.07 | 50.90 | |
| (1.32) | (1.44) | (1.01) | (1.56) | (1.16) | (1.38) | (0.90) | (1.28) | (1.36) | (1.53) | (1.09) | (1.66) | ||
| SRC | 40.59 | 43.17 | 42.73 | 47.73 | 53.66 | 57.97 | 54.68 | 60.82 | 36.21 | 38.96 | 38.49 | 43.71 | |
| (0.97) | (1.23) | (1.36) | (1.35) | (1.43) | (2.04) | (1.19) | (1.52) | (1.01) | (1.37) | (1.43) | (1.43) | ||
| ELM | 45.81 | 46.70 | 46.80 | 49.35 | 44.49 | 45.76 | 45.29 | 48.01 | 31.65 | 42.68 | 42.70 | 45.39 | |
| (1.20) | (0.79) | (1.19) | (0.90) | (1.14) | (0.87) | (0.88) | (0.81) | (1.25) | (0.90) | (1.22) | (0.98) | ||
| Training Condition | Methods | OA(%) | AA(%) | Kappa | |||||||||
|---|---|---|---|---|---|---|---|---|---|---|---|---|---|
| SVM | SALOF | DP | KECA | SVM | SALOF | DP | KECA | SVM | SALOF | DP | KECA | ||
| 25(true) + 5(noise) | EMP | 85.92 | 89.46 | 91.30 | 92.28 | 93.10 | 94.46 | 95.54 | 95.74 | 84.45 | 88.30 | 90.35 | 91.40 |
| (2.70) | (1.53) | (2.89) | (1.02) | (0.99) | (0.57) | (0.77) | (0.36) | (2.97) | (1.69) | (3.07) | (1.11) | ||
| LMLL | 88.45 | 92.11 | 92.03 | 94.84 | 94.94 | 95.67 | 95.72 | 96.95 | 87.23 | 91.24 | 91.12 | 94.27 | |
| (1.86) | (1.82) | (2.07) | (1.78) | (0.76) | (0.64) | (1.01) | (0.87) | (2.05) | (2.02) | (2.31) | (1.97) | ||
| JSRC | 72.64 | 79.09 | 81.31 | 82.61 | 73.85 | 78.04 | 79.53 | 80.44 | 69.98 | 76.97 | 79.33 | 80.73 | |
| (3.07) | (2.92) | (2.43) | (2.92) | (2.55) | (2.11) | (1.73) | (0.95) | (3.28) | (3.16) | (2.67) | (3.11) | ||
| EPF | 84.83 | 88.35 | 89.24 | 91.48 | 94.38 | 91.31 | 95.30 | 95.94 | 84.29 | 87.10 | 88.07 | 90.54 | |
| (3.00) | (4.51) | (2.99) | (3.71) | (0.66) | (1.73) | (0.67) | (1.13) | (3.29) | (4.94) | (3.28) | (4.09) | ||
| 25(true) + 15(noise) | EMP | 83.34 | 86.53 | 87.41 | 88.75 | 92.79 | 92.79 | 94.28 | 94.43 | 81.54 | 85.09 | 86.08 | 87.51 |
| (2.45) | (1.90) | (2.00) | (1.36) | (0.81) | (0.88) | (0.61) | (0.51) | (2.69) | (2.09) | (2.19) | (1.49) | ||
| LMLL | 85.89 | 90.22 | 91.82 | 92.66 | 93.48 | 94.20 | 95.45 | 96.07 | 84.33 | 89.13 | 90.91 | 91.84 | |
| (2.48) | (1.66) | (1.95) | (1.86) | (1.11) | (0.90) | (1.22) | (0.72) | (2.75) | (1.82) | (2.17) | (2.06) | ||
| JSRC | 49.96 | 53.36 | 55.19 | 62.43 | 55.87 | 59.51 | 60.77 | 74.82 | 46.01 | 49.70 | 51.14 | 59.17 | |
| (2.11) | (4.12) | (2.56) | (1.72) | (3.30) | (2.99) | (2.99) | (1.58) | (2.28) | (4.25) | (2.69) | (1.77) | ||
| EPF | 82.00 | 86.15 | 87.05 | 89.20 | 93.12 | 94.33 | 94.04 | 95.09 | 80.13 | 84.68 | 85.50 | 88.03 | |
| (3.12) | (4.41) | (3.10) | (3.82) | (0.83) | (1.59) | (1.11) | (1.03) | (3.41) | (4.90) | (3.40) | (4.18) | ||
| 25(true) + 25(noise) | EMP | 79.01 | 84.36 | 86.55 | 87.79 | 91.23 | 92.63 | 93.29 | 93.94 | 76.94 | 82.73 | 85.08 | 86.47 |
| (3.02) | (3.44) | (2.17) | (1.88) | (1.01) | (0.86) | (0.62) | (0.64) | (3.28) | (3.71) | (2.36) | (2.06) | ||
| LMLL | 84.80 | 89.15 | 89.94 | 90.57 | 92.96 | 93.95 | 94.61 | 95.23 | 83.19 | 88.00 | 88.85 | 89.54 | |
| (2.71) | (2.51) | (2.32) | (1.98) | (1.13) | (1.34) | (1.01) | (0.72) | (3.00) | (2.75) | (2.55) | (2.19) | ||
| JSRC | 39.49 | 42.36 | 40.78 | 49.17 | 45.01 | 50.57 | 48.32 | 62.46 | 34.89 | 38.14 | 36.29 | 45.22 | |
| (2.82) | (1.89) | (2.34) | (1.40) | (3.24) | (2.26) | (3.13) | (1.37) | (2.93) | (2.01) | (2.54) | (1.40) | ||
| EPF | 78.38 | 84.64 | 86.38 | 87.35 | 88.31 | 93.23 | 93.93 | 94.43 | 76.34 | 83.01 | 84.92 | 86.01 | |
| (3.45) | (2.97) | (3.52) | (3.45) | (1.81) | (0.52) | (1.38) | (2.16) | (3.72) | (3.22) | (3.79) | (3.73) | ||
| KSC | SVM 25 (T) | 25(Ture) + 5(Noise) | |||||
|---|---|---|---|---|---|---|---|
| SVM | KECA | ||||||
| Original | LDA | PCA | RF | EMPs | |||
| C1 | 94.92(2.47) | 93.53(2.22) | 93.29(2.70) | 94.41(1.79) | 94.50(3.04) | 93.89(1.65) | 94.39(1.69) |
| C2 | 89.05(4.36) | 79.86(5.84) | 85.68(4.97) | 83.33(7.08) | 83.41(6.28) | 78.47(9.72) | 87.23(4.40) |
| C3 | 87.57(6.11) | 91.84(4.62) | 82.76(5.90) | 81.30(7.76) | 84.21(5.50) | 83.49(6.67) | 84.53(4.76) |
| C4 | 67.59(5.56) | 58.72(4.06) | 62.60(4.92) | 64.58(4.95) | 65.14(6.10) | 63.31(9.26) | 66.27(5.16) |
| C5 | 65.38(7.52) | 51.88(9.44) | 62.45(5.92) | 61.10(9.49) | 61.04(8.10) | 63.76(8.78) | 58.95(12.8) |
| C6 | 61.91(8.81) | 51.72(6.18) | 55.13(11.5) | 59.70(7.65) | 56.23(6.34) | 58.77(9.63) | 61.94(5.23) |
| C7 | 71.02(5.58) | 56.83(6.80) | 66.96(7.38) | 64.64(7.58) | 63.55(9.93) | 67.79(4.13) | 62.73(6.30) |
| C8 | 84.20(6.37) | 82.58(8.09) | 80.34(5.60) | 82.17(5.69) | 83.32(4.59) | 83.87(3.20) | 83.23(5.35) |
| C9 | 90.42(2.27) | 89.27(2.87) | 89.07(2.09) | 89.18(3.58) | 89.68(3.74) | 87.68(3.40) | 88.60(3.58) |
| C10 | 93.02(7.52) | 80.85(7.23) | 94.48(5.11) | 93.85(4.51) | 89.00(7.42) | 94.66(7.37) | 94.45(8.00) |
| C11 | 90.08(5.48) | 86.72(5.45) | 92.60(5.76) | 89.02(4.83) | 92.93(6.62) | 88.15(3.01) | 93.41(3.96) |
| C12 | 94.77(3.61) | 83.62(4.44) | 93.48(3.59) | 93.70(3.52) | 93.12(3.11) | 93.73(4.27) | 93.59(4.28) |
| C13 | 100.00(0.0) | 99.18(0.81) | 99.60(0.43) | 98.51(0.78) | 98.99(1.24) | 98.61(2.08) | 99.85(0.36) |
| OA | 88.75(0.96) | 83.57(1.74) | 86.67(1.52) | 86.68(1.88) | 86.79(1.25) | 86.44(3.15) | 87.74(1.15) |
| AA | 83.84(1.23) | 77.43(2.03) | 81.42(1.60) | 81.19(2.32) | 81.16(1.60) | 81.24(3.33) | 82.24(1.28) |
| Kappa | 87.45(1.06) | 81.71(1.93) | 85.14(1.68) | 85.15(2.07) | 85.28(1.36) | 84.89(3.49) | 86.32(1.28) |
© 2019 by the authors. Licensee MDPI, Basel, Switzerland. This article is an open access article distributed under the terms and conditions of the Creative Commons Attribution (CC BY) license (http://creativecommons.org/licenses/by/4.0/).
Share and Cite
Tu, B.; Zhou, C.; Peng, J.; He, W.; Ou, X.; Xu, Z. Kernel Entropy Component Analysis-Based Robust Hyperspectral Image Supervised Classification. Remote Sens. 2019, 11, 2823. https://doi.org/10.3390/rs11232823
Tu B, Zhou C, Peng J, He W, Ou X, Xu Z. Kernel Entropy Component Analysis-Based Robust Hyperspectral Image Supervised Classification. Remote Sensing. 2019; 11(23):2823. https://doi.org/10.3390/rs11232823
Chicago/Turabian StyleTu, Bing, Chengle Zhou, Jin Peng, Wei He, Xianfeng Ou, and Zhi Xu. 2019. "Kernel Entropy Component Analysis-Based Robust Hyperspectral Image Supervised Classification" Remote Sensing 11, no. 23: 2823. https://doi.org/10.3390/rs11232823
APA StyleTu, B., Zhou, C., Peng, J., He, W., Ou, X., & Xu, Z. (2019). Kernel Entropy Component Analysis-Based Robust Hyperspectral Image Supervised Classification. Remote Sensing, 11(23), 2823. https://doi.org/10.3390/rs11232823

