Monitoring Trace Gases over the Antarctic Using Atmospheric Infrared Ultraspectral Sounder Onboard GaoFen-5: Algorithm Description and First Retrieval Results of O3, H2O, and HCl
Abstract
1. Introduction
2. AIUS Instrument and Measurements
2.1. Instrument
2.2. Measurement Spectra
3. Retrieval Methodology of AIUS
3.1. Spectral Microwindows of O3, H2O, and HCl
3.2. Inversion Model
3.3. Integrated Atmospheric Profiles
4. Results
4.1. Assessment of the Retrieval Algorithm
4.2. Retrieval from AIUS and Discussion
4.2.1. O3 Retrieval Results and Comparisons
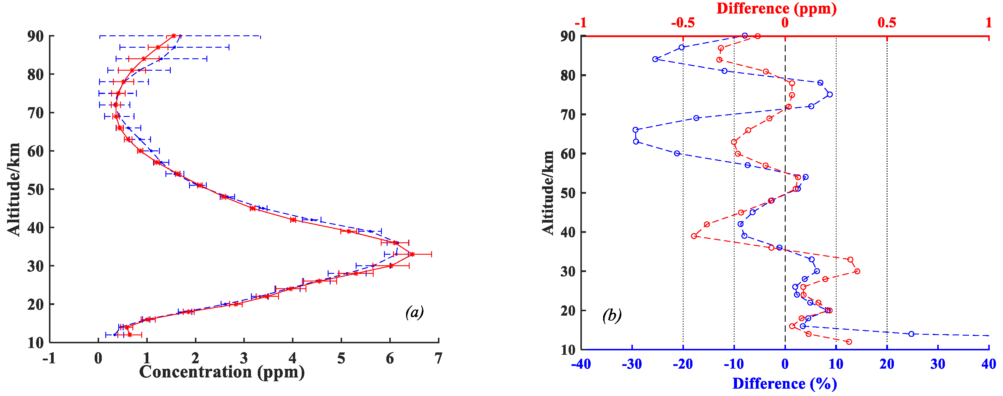
4.2.2. H2O Retrieval Results and Comparisons
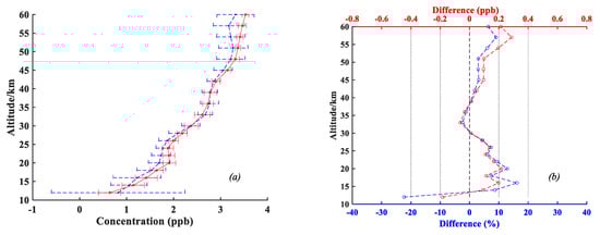
4.2.3. HCl Retrieval Results and Comparisons
5. Discussion
6. Conclusions
Author Contributions
Funding
Acknowledgments
Conflicts of Interest
References
- Manney, G.L.; Santee, M.L.; Livesey, N.J.; Froidevaux, L.; Read, W.G.; Pumphrey, H.C.; Waters, J.W.; Pawson, S. EOS Microwave Limb Sounder observation of the Antarctic polar vortex breakup in 2004. Geophys. Res. Lett. 2005, 32, 1–5. [Google Scholar] [CrossRef]
- Santee, M.L.; Manney, G.L.; Livesey, N.J.; Froidevaux, L.; MacKenzie, I.A.; Pumphrey, H.C.; Read, W.G.; Schwartz, M.J.; Waters, J.W.; Harwood, R.S. Polar processing and development of the 2004 Antarctic ozone hole: First results from MLS on Aura. Geophys. Res. Lett. 2005, 32, 1–4. [Google Scholar] [CrossRef]
- Gattinger, R.L.; McDade, I.C.; Alfaro Suzan, A.L.; Boone, C.D.; Walker, K.A.; Bernath, P.F.; Evans, W.F.J.; Degenstein, D.A.; Yee, J.H.; Sheese, P.; et al. NO2 air afterglow and O and NO densities from Odin-OSIRIS night and ACE-FTS sunset observations in the Antarctic MLT region. J. Geophys. Res. 2010, 115, 1256–1268. [Google Scholar] [CrossRef]
- Bernath, P.F.; McElroy, C.T.; Abrams, M.C.; Boone, C.D.; Butler, M.; Camy-Peyret, C.; Carleer, M.; Clerbaux, C.; Coheur, P.-F.; Colin, R.; et al. Atmospheric Chemistry Experiment (ACE): Mission overview. Geophys. Res. Lett. 2005, 32. [Google Scholar] [CrossRef]
- Fischer, H.; Birk, M.; Blom, C.; Carli, B.; Carlotti, M.; von Clarmann, T.; Delbouille, L.; Dudhia, A.; Ehhalt, D.; Endemann, M.; et al. MIPAS: An instrument for atmospheric and climate research. Atmos. Chem. Phys. 2008, 8, 2151–2188. [Google Scholar] [CrossRef]
- Russell, J.M.; Gordley, L.L.; Park, J.H.; Drayson, S.R.; Hesketh, W.D.; Cicerone, R.J.; Tuck, A.F.; Frederick, J.E.; Harries, J.E.; Crutzen, P.J. The Halogen Occultation Experiment. J. Geophys. Res. Atmos. 1993, 98, 10777–10797. [Google Scholar] [CrossRef]
- Gunson, M.R.; Abbas, M.M.; Abrams, M.C.; Allen, M.; Brown, L.R.; Brown, T.L.; Chang, A.Y.; Goldman, A.; Irion, F.W.; Lowes, L.L.; et al. The Atmospheric Trace Molecule Spectroscopy (ATMOS) experiment: Deployment on the ATLAS Space Shuttle missions. Geophys. Res. Lett. 1996, 23, 2333–2336. [Google Scholar] [CrossRef]
- Bovensmann, H.; Burrows, J.P.; Buehwitz, M.; Frerick, J.; Noel, S.; Rozanov, V.V. SCIAMACHY: Mission Objectives and Measurement Modes. J. Atmos. Sci. 1999, 56, 127–150. [Google Scholar] [CrossRef]
- Beer, R.; Glavich, T.A.; Rider, D.M. Tropospheric emission spectrometer for the Earth Observing System’s Aura Satellite. Appl. Opt. 2001, 40, 2356–2367. [Google Scholar] [CrossRef]
- Wang, H.; Li, X.; Xu, J.; Zhang, X.; Ge, S.; Chen, L.; Wang, Y.; Zhu, S.; Miao, J.; Si, Y. Assessment of Retrieved N2O, NO2, and HF Profiles from the Atmospheric Infrared Ultraspectral Sounder Based on Simulated Spectra. Sensors 2018, 18, 2209. [Google Scholar] [CrossRef]
- Dong, X.; Xu, P.M.; Hou, L.Z. Design and Implementation of Atmospheric Infrared Ultra-spectral Sounder. Spacecr. Recovery Remote Sens. 2018, 39, 29–37. [Google Scholar]
- Dutil, Y.; Lantagne, S.; Dubé, S.; Poulin, R. ACE-FTS Level 0 To 1 Data Processing, Earth Observing Systems VII. In Proceedings of the SPIE, Seattle, WA, USA, 24 September 2002; Volume 4814, pp. 102–110. [Google Scholar]
- Worden, H.; Beer, R.; Bowman, K.W.; Fisher, B.; Luo, M.Z.; Rider, D.; Sarkissian, E.; Tremblay, D.; Zong, J. TES level 1 algorithms: Interferogram processing, geolocation, radiometric, and spectral calibration. IEEE Trans. Geosci. Remote Sens. 2006, 44, 1288–1296. [Google Scholar] [CrossRef]
- Zhu, S.Y.; Li, X.Y.; Xu, J.; Cheng, T.H.; Zhang, X.Y.; Wang, H.M.; Wang, Y.P.; Miao, J. Neural network aided fast pointing information determination approach for occultation payloads from in-flight measurements: Algorithm design and assessment. Adv. Space Res. 2019, 63, 2323–2336. [Google Scholar] [CrossRef]
- Kuai, L.; Natraj, V.; Shia, R.L.; Miller, C.; Yung, Y.L. Channel selection using information content analysis: A case study of CO2 retrieval from near infrared measurements. J. Quant. Spectrosc. Radiat. Transf. 2010, 111, 1296–1304. [Google Scholar] [CrossRef]
- Dudhia, A. The Reference Forward Model (RFM). J. Quant. Spectrosc. Radiat. Transf. 2017, 186, 243–253. [Google Scholar] [CrossRef]
- Von Clarmann, T.; Hopfner, M.; Funke, B.; Lopez-Puertas, M.; Dudhia, A.; Jay, V.; Schreier, F.; Ridolfi, M.; Ceccherini, S.; Kerridge, B.J.; et al. Modelling of atmospheric mid-infrared radiative transfer: The AMIL2DA algorithm intercomparison experiment. J. Quant. Spectrosc. Radiat. Transf. 2003, 78, 381–407. [Google Scholar] [CrossRef]
- Rodgers, C.D. Retrieval of atmospheric temperature and composition from remote measurements of thermal radiation. Rev. Geophys. Space Phys. 1976, 14, 609–624. [Google Scholar] [CrossRef]
- Urban, J.; Baron, P.; Lautie, N.; Schneider, N.; Dassas, K.; Ricaud, P.; de la Noë, J. Moliere (v5): A versatile forward- and inversion model for the millimeter and sub-millimeter wavelength range. J. Quant. Spectrosc. Radiat. Transf. 2004, 83, 529–554. [Google Scholar] [CrossRef]
- Boone, C.D.; Nassar, R.; Walker, K.A.; Rochon, Y.; McLeod, S.D.; Rinsland, C.P.; Bernath, P.F. Retrievals for the atmospheric chemistry experiment Fourier-transform spectrometer. Appl. Opt. 2005, 44, 7218–7231. [Google Scholar] [CrossRef]
- Raspollini, P.; Belotti, C.; Burgess, A.; Carli1, B.; Carlotti, M.; Ceccherini, S.; Dinelli, B.M.; Dudhia, A.; Flaud, J.M.; Funke, B.; et al. MIPAS level 2 operational analysis. Atmos. Chem. Phys. 2006, 6, 5605–5630. [Google Scholar] [CrossRef]
- Livesey, N.J.; Snyder, W.V.; Read, W.G.; Wagner, P.A. Retrieval Algorithms for the EOS Microwave Limb Sounder (MLS). IEEE Trans. Geosci. Remote Sens. 2006, 44, 1144–1155. [Google Scholar] [CrossRef]
- Bowman, K.W.; Rodgers, C.D.; Kulawik, S.S.; Worden, J.; Sarkissian, E.; Osterman, G.; Steck, T.; Lou, M.; Eldering, A.; Shephard, M.; et al. Tropospheric Emission Spectrometer: Retrieval Method and Error Analysis. IEEE Trans. Geosci. Remote Sens. 2006, 44, 1297–1307. [Google Scholar] [CrossRef]
- Takahashi, C.; Ochiai, S.; Suzuki, M. Operational retrieval algorithms for JEM/SMILES level 2 data processing system. J. Quant. Spectrosc. Radiat. Transf. 2010, 111, 160–173. [Google Scholar] [CrossRef]
- Rodgers, C.D. Inverse Methods for Atmospheric Sounding: Theory and Practice, Series on Atmospheric Oceanic and Planetary Physics-Vol. 2; World Scientific Publishing Co. Pte. Ltd.: Farrer Road, Singapore, 2000; pp. 92–93. ISBN 981-02-2740-X. [Google Scholar]
- Eriksson, P. Analysis and comparison of two linear regularization methods for passive atmospheric observations. J. Geophys. Res. 2000, 105, 18157–18167. [Google Scholar] [CrossRef]
- Doicu, A.; Schreier, F.; Hess, M. Iteratively regularized Gauss—Newton method for atmospheric remote sensing. Comput. Phys. Commun. 2002, 148, 214–226. [Google Scholar] [CrossRef]
- Steck, T. Methods for determining regularization for atmospheric retrieval problems. Appl. Opt. 2002, 41, 1788–1797. [Google Scholar] [CrossRef] [PubMed]
- Jiang, D.M.; Dong, C.H. A review of optimal algorithm for physical retrieval of atmospheric profile. Adv. Earth Sci. 2010, 25, 133–139. [Google Scholar]
- Zou, M.M.; Chen, L.F.; Li, S.S.; Fan, M.; Tao, J.H.; Zhang, Y. An improved constraint method in optimal estimation of CO2 from GOSAT SWIR observations. Sci. China Earth Sci. 2016. [Google Scholar] [CrossRef]
- Xu, J.; Schreier, F.; Doicu, A.; Trautmann, T. Assessment of Tikhonov-type regularization methods for solving atmospheric inverse problems. J. Quant. Spectrosc. Radiat. Transf. 2016, 184, 274–286. [Google Scholar] [CrossRef]
- Eriksson, P.; Jimeneza, C.; Buehler, S.A. Qpack, a general tool for instrument simulation and retrieval work. J. Quant. Spectrosc. Radiat. Transf. 2005, 91, 47–64. [Google Scholar] [CrossRef]
- Koo, J.H.; Walker, K.A.; Jones, A.; Sheese, P.E.; Boone, C.D.; Bernath, P.F.; Manney, G.L. Global climatology based on the ACE-FTS version 3.5 data set: Addition of mesospheric levels and carbon-containing species in the UTLS. J. Quant. Spectrosc. Radiat. Transf. 2017, 12, 52–62. [Google Scholar] [CrossRef]
- Jones, A.; Walker, K.A.; Jin, J.J.; Taylor, J.R.; Boone, C.D.; Bernath, P.F.; Brohede, S.; Manney, G.L.; McLeod, S.; Hughes, R.; et al. Technical Note: A trace gas climatology derived from the Atmospheric Chemistry Experiment Fourier Transform Spectrometer (ACE-FTS) data set. Atmos. Chem. Phys. 2012, 12, 5207–5220. [Google Scholar] [CrossRef]
- Dupuy, E.; Walker, K.A.; Kar, J.; Boone, C.D.; McElroy, C.T.; Bernath, P.F.; Drummond, J.R.; Skelton, R.; McLeod, S.D.; Hughes, R.C.; et al. Validation of ozone measurements from the atmospheric Chemistry Experiment (ACE). Atmos. Chem. Phys. 2009, 9, 287–343. [Google Scholar] [CrossRef]
- Livesey, N.J.; Read, W.G.; Wagner, P.A.; Froidevaux, L.; Lambert, A.; Manney, G.L.; Mill´an Valle, L.F.; Pumphrey, H.C.; Santee, M.L.; Schwartz, M.J.; et al. Version 4.2x Level 2 Data Quality and Description Document. JPL D-33509 Rev. B; 2016. Available online: http://mls.jpl.nasa.gov/ (accessed on 21 February 2017).
- Gordon, I.E.; Rothman, L.S.; Hill, C.; Kochanov, R.V.; Tan, Y.; Bernath, P.F.; Birk, M.; Boudon, V.; Campargue, A.; Chance, K.V.; et al. The HITRAN2016 Molecular Spectroscopic Database. J. Quant. Spectrosc. Radiat. Transf. 2017, 203, 3–69. [Google Scholar] [CrossRef]
- Mlawer, E.J.; Payne, V.H.; Moncet, J.L.; Delamere, J.S.; Alvarado, M.J.; Tobin, D.C. Development and recent evaluation of the MT-CKD model of continuum absorption. Philos. Trans. R. Soc. A Math. Phys. Eng. Sci. 2012, 370, 2520–2556. [Google Scholar] [CrossRef] [PubMed]
- Thibault, F.; Menoux, V.; Le Doucen, R.; Rosenmann, L.; Hartmann, J.M.; Boulet, C. Infrared collision-induced absorption by O2 near 6.4 µm for atmospheric applications: Measurements and empirical modeling. Appl. Opt. 1997, 36, 563–567. [Google Scholar] [CrossRef]
- Lafferty, W.J.; Solodov, A.M.; Weber, A.; Olson, W.B.; Hartmann, J.M. Infrared collision-induced absorption by N2 near 4.3 µm for atmospheric applications: Measurements and empirical modeling. Appl. Opt. 1996, 35, 5911–5917. [Google Scholar] [CrossRef] [PubMed]
- Froidevaux, L.; Jiang, Y.B.; Lambert, A.; Livesey, N.J.; Read, W.G.; Waters, J.W.; Browell, E.V.; Hair, J.W.; Avery, M.A.; McGee, T.J.; et al. Validation of Aura Microwave Limb Sounder stratospheric ozone. measurements. J. Geophys. Res. Atmos. 2008, 113. [Google Scholar] [CrossRef]

















| Parameters | AIUS | ACE-FTS |
|---|---|---|
| Orbit inclination | 98.218° | 74° |
| Orbit altitude | 705 km | 650 km |
| Observation mode | Solar occultation | Solar occultation |
| Spectra range | 750–4100 cm−1 | 750–4400 cm−1 |
| Spectral resolution | 0.02 cm−1 | 0.02 cm−1 |
| Field of view (FOV) | 1.25 mrad | 1.25 mrad |
| Signal to noise ratio (SNR) | 1000–2000 cm−1: 200–350 2000–3200 cm−1: >300 other spectral bands: 100–200 | >300 over most of the spectral band |
| Data ID | Latitude [°] | Longitude [°] | Date |
|---|---|---|---|
| 43544 | 63 | 75 | 14 September 2011 |
| 38154 | 63 | −73 | 13 September 2010 |
| 43611 | 70 | −119 | 18 September 2011 |
| Parameters | Retrieval Configuration |
|---|---|
| Spectroscopic database | Hitran 2016 [37] |
| Continua used | O2, H2O, N2 [38,39,40] |
| Retrieval altitude grids/km | Observation grids |
| Altitude grids in the forward model | 0–100 km with 1 km spacing |
| The a priori profile | Integrated atmospheric database |
| The interfering molecules for O3 | N2, O2, CO, CO2, NH3, OCS, O3, SO2, H2O, N2O, CH4, CH3Cl, H2O2, COF2, HNO3, CH3OH, F11, F12, F13, F22, F113, F114, F115 |
| The interfering molecules for H2O | N2, O2, CO, CO2, HNO3, H2O2, COF2, HCl, HOCl, NH3, OCS, O3, SO2, H2O, N2O, NO, C2H2, NO2, CH4, CH3Cl, HCN, CH3OH, F11, F12, F13, F22, F113, F114, F115, N2O5 |
| The interfering molecules for HCl | O3, H2O, CO2, COF2, N2O, NO, CH4, H2CO, HCl, NO2, OCS, CH3Cl, CH3OH |
© 2019 by the authors. Licensee MDPI, Basel, Switzerland. This article is an open access article distributed under the terms and conditions of the Creative Commons Attribution (CC BY) license (http://creativecommons.org/licenses/by/4.0/).
Share and Cite
Li, X.; Xu, J.; Cheng, T.; Shi, H.; Zhang, X.; Ge, S.; Wang, H.; Zhu, S.; Miao, J.; Luo, Q. Monitoring Trace Gases over the Antarctic Using Atmospheric Infrared Ultraspectral Sounder Onboard GaoFen-5: Algorithm Description and First Retrieval Results of O3, H2O, and HCl. Remote Sens. 2019, 11, 1991. https://doi.org/10.3390/rs11171991
Li X, Xu J, Cheng T, Shi H, Zhang X, Ge S, Wang H, Zhu S, Miao J, Luo Q. Monitoring Trace Gases over the Antarctic Using Atmospheric Infrared Ultraspectral Sounder Onboard GaoFen-5: Algorithm Description and First Retrieval Results of O3, H2O, and HCl. Remote Sensing. 2019; 11(17):1991. https://doi.org/10.3390/rs11171991
Chicago/Turabian StyleLi, Xiaoying, Jian Xu, Tianhai Cheng, Hailiang Shi, Xingying Zhang, Shule Ge, Hongmei Wang, Songyan Zhu, Jing Miao, and Qi Luo. 2019. "Monitoring Trace Gases over the Antarctic Using Atmospheric Infrared Ultraspectral Sounder Onboard GaoFen-5: Algorithm Description and First Retrieval Results of O3, H2O, and HCl" Remote Sensing 11, no. 17: 1991. https://doi.org/10.3390/rs11171991
APA StyleLi, X., Xu, J., Cheng, T., Shi, H., Zhang, X., Ge, S., Wang, H., Zhu, S., Miao, J., & Luo, Q. (2019). Monitoring Trace Gases over the Antarctic Using Atmospheric Infrared Ultraspectral Sounder Onboard GaoFen-5: Algorithm Description and First Retrieval Results of O3, H2O, and HCl. Remote Sensing, 11(17), 1991. https://doi.org/10.3390/rs11171991

