Improving the Regional Applicability of Satellite Precipitation Products by Ensemble Algorithm
Abstract
:1. Introduction
2. Materials and Methods
2.1. Study Area
2.2. Datasets
2.2.1. Rain Gauges
2.2.2. Satellite Based Estimates
Integrated Multi-Satellite Retrievals for Global Precipitation Measurement (IMERG)
Tropical Rainfall Measuring Mission (TRMM)
2.3. Evaluation of Precipitation Products
2.4. Proposed Algorithm for Regional Satellite Precipitation Estimate Quantification
- To apply the RP algorithm in selected five (5) diverse regions, Let for a specific gauge in any of selected region, (whereas j = 1, 2, 3,…, n) be the any available satellite product to be considered, (mm) be the satellite precipitation observations time series of jth satellite product (here IR, IT, and TR) and (mm) be the corresponding gauge-based observed time series of size N. Using gauged observation and corresponding time series of selected satellite products (TR, IT, IR), individual mean square error (Equation (6)) associated with each jth satellite product has been computed.
- Using estimated of all donor gauged stations of a specific region (i.e., G1, or G2 or, …, G5), the regional associated with each satellite product of that climatic region was estimated by simply averaging the of all donor stations.
- The product that does not provide the significant agreement with observed data can tend to produce high inaccuracy (high MSE). Hence, preliminary, instead of blindly combining the products, the with comparatively highest was eliminated through MSE filter from the further process. The intention behind the elimination was to minimize the future quantification overhead while enhancing accuracy. More specifically, the subset k (whereas k = 1, 2, 3, …, m) of satellite products with least value has been retained by eliminating j-k (here one) products having the highest for further quantification.
- Further, based on performance ( value), the weights were assigned to individual retained kth satellite product using Equation (7).where .
- After calculation of the respective regional weights of the best subset satellite products (k) (Figure 2), the satellite precipitation observations time series of k satellite products have been ensemble using Equation (8) to quantify the regional precipitation estimates (RP) for the assumed ungauged station.
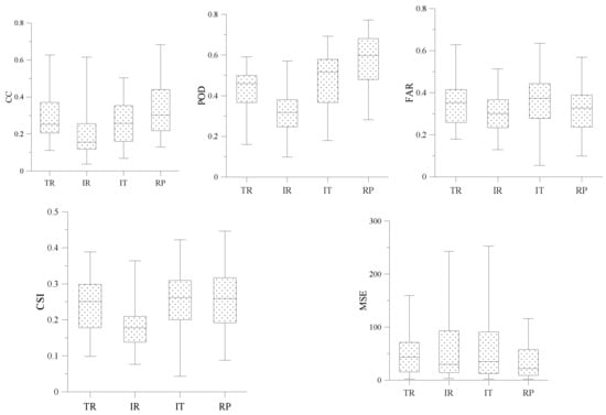
- Lastly, the developed time series for a specific assumed ungauged station was evaluated by corresponding observations using Equations (1)–(6) to validate the efficacy and projected improvement compared to individual selected j satellite products.
3. Results
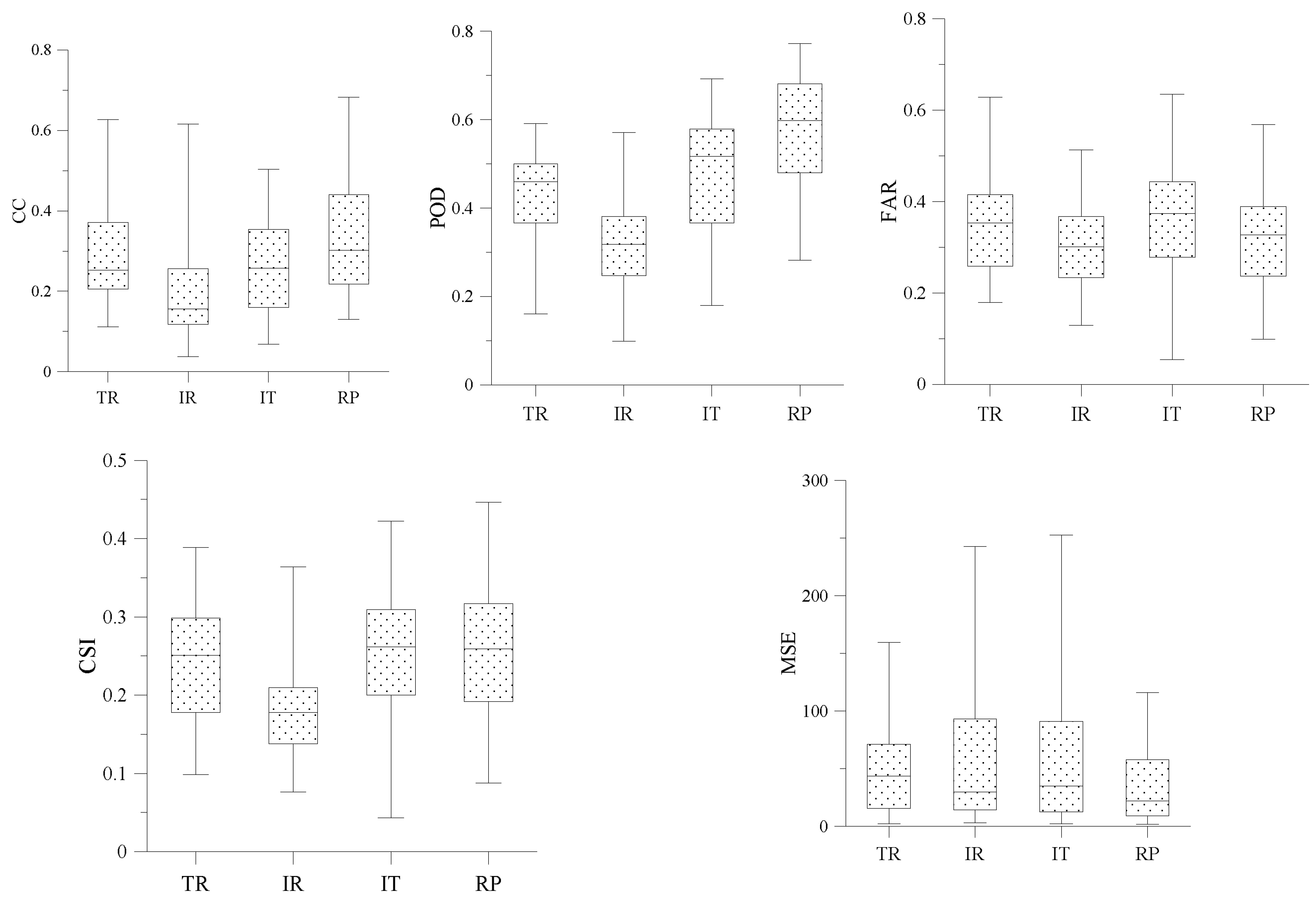
3.1. Spatial Variability of Product Performance at Grid-Scale
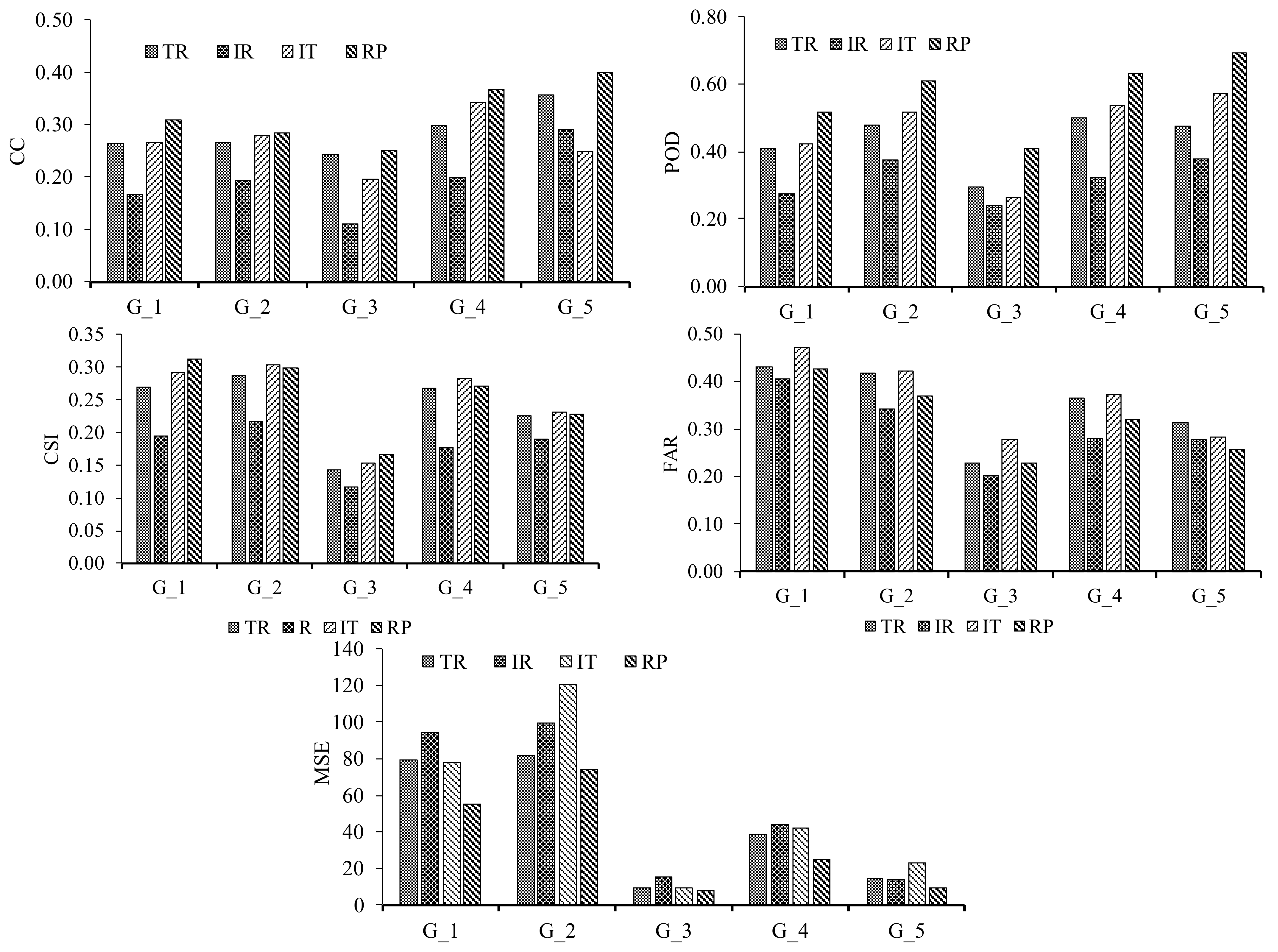
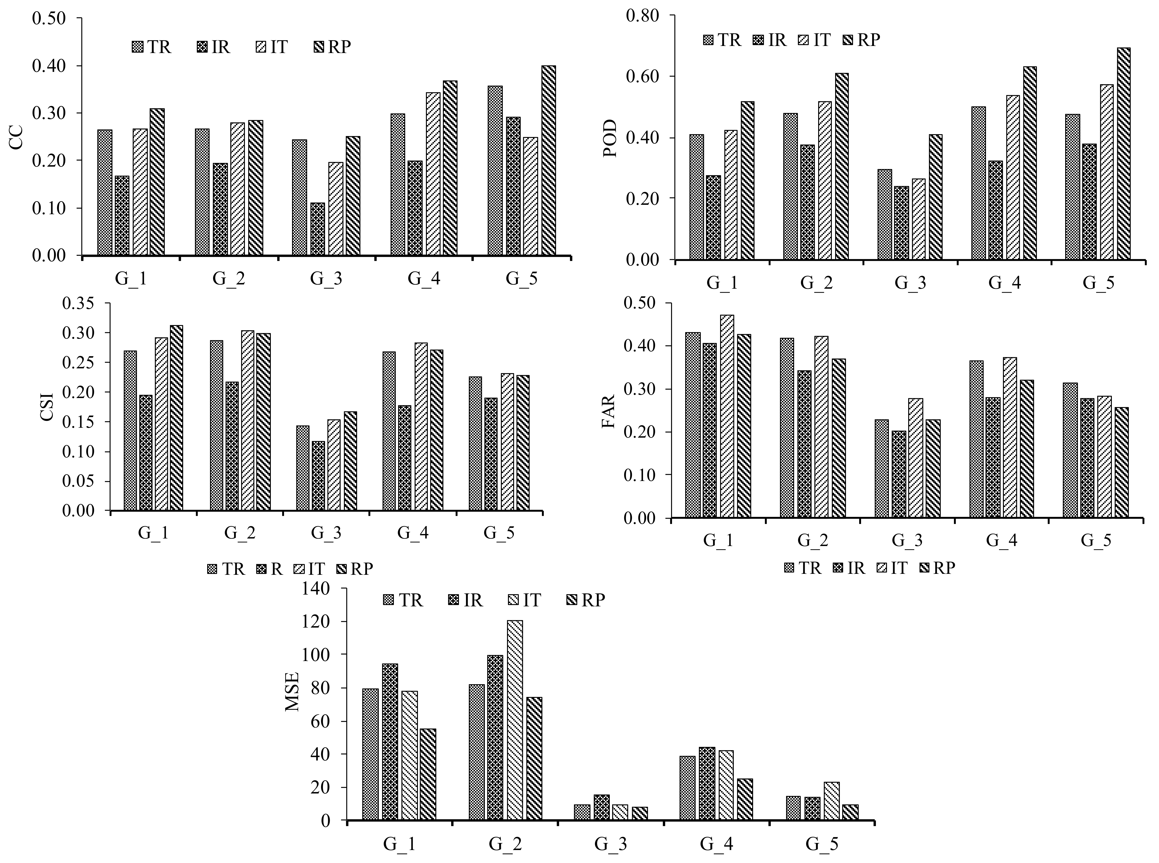
3.2. Spatial Distribution of Product Performance at Regional Scale
4. Discussion
5. Conclusions
- (i)
- Despite the inconsistency in different climatic regions, the TR, IR, and IT have shown significant potential to capture the gauge observations. Among these products, the IT outperformed the others at the majority of the stations; however, in G3 and G5, a slightly low performance was observed
- (ii)
- Although these products have performed well, still they contain considerable errors and there is a room for further improvement in their ability to provide better agreement throughout different regions
- (iii)
- The comparison ensured that the proposed RP framework provided significant agreement with the gauged observations throughout the study area and better outcomes. In addition, the proposed method has an advantage of selecting more suitable products based on performance and considering it as the final observation, therefore it can be considered a step forward in the improvement of the efficacy of the satellite-based observations
- (iv)
- As the projected framework is totally dependent on the performance of the candidate products, hence this total reliability could be a factor to be considered as its major drawback.
Acknowledgments
Author Contributions
Conflicts of Interest
References
- Joyce, R.J.; Xie, P. Kalman filter–based CMORPH. J. Hydrometeor. 2011, 12, 1547–1563. [Google Scholar] [CrossRef]
- Heinemann, T.; Kerényi, J. The EUMETSAT Multi Sensor Precipitation Estimate (MPE): Concept and Validation. In Proceedings of the 2nd International Precipitation Working Group (IPWG) Workshop, Monterey, CA, USA, 25–28 October 2004. [Google Scholar]
- Dee, D.P.; Uppala, S.M.; Simmons, A.J.; Berrisford, P.; Poli, P.; Kobayashi, S.; Andrae, U.; Balmaseda, M.A.; Balsamo, G.; Bauer, P.; et al. The ERA-Interim reanalysis: Configuration and performance of the data assimilation system. Q. J. R. Meteorol. Soc. 2011, 137, 553–597. [Google Scholar] [CrossRef]
- Hsu, K.; Gao, X.; Sorooshian, S.; Gupta, H.V. Precipitation Estimation from Remotely Sensed Information Using Artificial Neural Networks. J. Appl. Meteor. 1997, 36, 1176–1190. [Google Scholar] [CrossRef]
- Huffman, G.J.; Bolvin, D.T.; Nelkin, E.J.; Wolff, D.B.; Adler, R.F.; Gu, G.; Hong, Y.; Bowman, K.P.; Stocker, E.F. The TRMM Multisatellite Precipitation Analysis (TMPA): Quasi-global, multiyear, combined-sensor precipitation estimates at fine scales. J. Hydrometeor. 2007, 8, 38–55. [Google Scholar] [CrossRef]
- Huffman, G.J.; Adler, R.F.; Bolvin, D.T.; Nelkin, E.J. The TRMM Multi-Satellite Precipitation Analysis (TMPA): Satellite Rainfall Applications for Surface Hydrology; Gebremichael, M., Hossain, F., Eds.; Springer: Dordrecht, The Netherlands, 2010; pp. 3–22. [Google Scholar]
- Huffman, G.J.; Bolvin, D.T.; Nelkin, E.J. Day 1 IMERG Final Run Release Note; NASA/GSFC: Greenbelt, MD, USA, 2015. [Google Scholar]
- Brown, J.E.M. An analysis of the performance of hybrid infrared and microwave satellite precipitation algorithms over India and adjacent regions. Remote Sens. Environ. 2006, 101, 63–81. [Google Scholar] [CrossRef]
- Derin, Y.; Yilmaz, K.K. Evaluation of multiple satellite based precipitation products over complex topography. J. Hydrometeor. 2014, 15, 1498–1516. [Google Scholar] [CrossRef]
- Gao, Y.C.; Liu, M.F. Evaluation of high-resolution satellite precipitation products using rain gauge observations over the Tibetan Plateau. Hydrol. Earth Syst. Sci. 2013, 17, 837–849. [Google Scholar] [CrossRef]
- Guo, H.; Chen, S.; Bao, A.; Hu, J.; Gebregiorgis, A.S.; Xue, X.; Zhang, X. Inter-comparison of high-resolution satellite precipitation products over central Asia. J. Remote Sens. 2015, 7, 7181–7211. [Google Scholar] [CrossRef]
- Anagnostou, E.N.; Maggioni, V.; Nikolopoulos, E.I.; Meskele, T.; Hossain, F.; Papadopoulos, A. Benchmarking high-resolution global satellite rainfall products to radar and rain gauge rainfall estimates. IEEE Trans. Geosci. Remote Sens. 2010, 48, 1667–1683. [Google Scholar] [CrossRef]
- Gourley, J.J.; Hong, Y.; Flamig, Z.L.; Wang, J.; Vergara, H.; Anagnostou, E.N. Hydrologic evaluation of rainfall estimates from radar, satellite, gauge, and combinations on Ft. Cobb basin, Oklahoma. J. Hydrometeor. 2011, 12, 973–988. [Google Scholar] [CrossRef]
- Habib, E.; ElSaadani, M.; Haile, A.T. Climatology focused evaluation of CMORPH and TMPA satellite rainfall products over the Nile basin. J. Appl. Meteor. Climatol. 2012, 51, 2105–2121. [Google Scholar] [CrossRef]
- Maggioni, V.; Vergara, H.J.; Anagnostou, E.N.; Gourley, J.J.; Hong, Y.; Stampoulis, D. Investigating the applicability of error correction ensembles of satellite rainfall products in river flow simulations. J. Hydrometeor. 2013, 14, 1194–1211. [Google Scholar] [CrossRef]
- Qiao, L.; Hong, Y.; Chen, S.; Zou, C.B.; Gourley, J.J.; Yong, B. Performance assessment of the successive version 6 and version 7 TMPA products over the climate-transitional zone in the southern Great Plains, USA. J. Hydrol. 2014, 513, 446–456. [Google Scholar] [CrossRef]
- Zulkafli, Z.; Buytaert, W.; Onof, C.; Manz, B.; Tarnavsky, E.; Lavado, W.; Guyot, J.L. A comparative performance analysis of TRMM 3B42 (TMPA) versions 6 and 7 for hydrological applications over Andean–Amazon River basins. J. Hydrometeor. 2014, 15, 581–592. [Google Scholar] [CrossRef]
- Salio, P.; Hobouchiand, M.P.; Skabarc, Y.G.; Vilaf, D. Evaluation of high-resolution satellite precipitation estimates over southern South America using a dense rain gauge network. Atmos. Res. 2015, 163, 146–161. [Google Scholar] [CrossRef]
- Falck, A.; Maggioni, V.; Tomasella, J.; Vila, D.A.; Diniz, F.L.R. Propagation of satellite precipitation uncertainties through a distributed hydrologic model: A case study in the Tocantins–Araguaia basin in Brazil. J. Hydrol. 2015, 527, 943–957. [Google Scholar] [CrossRef]
- Mantas, V.M.; Liu, Z.; Caro, C.; Pereira, A.J.S. Validation of TRMM Multi-satellite Precipitation Analysis (TMPA) products in the Peruvian Andes. Atmos. Res. 2015, 163, 132–145. [Google Scholar] [CrossRef]
- Stampoulis, D.; Anagnostou, E.N.; Nikolopoulos, E.I. Assessment of high-resolution satellite-based rainfall estimates over the Mediterranean during heavy precipitation events. J. Hydrometeor. 2013, 14, 1500–1514. [Google Scholar] [CrossRef]
- Lo Conti, F.; Hsu, K.L.; Noto, L.V.; Sorooshian, S. Evaluation and comparison of satellite precipitation estimates with reference to a local area in the Mediterranean Sea. Atmos. Res. 2014, 138, 189–204. [Google Scholar] [CrossRef]
- Mei, Y.; Anagnostou, E.N.; Nikolopoulos, E.I.; Borga, M. Error analysis of satellite precipitation products in mountainous basins. J. Hydrometeor. 2014, 15, 1778–1793. [Google Scholar] [CrossRef]
- Skok, G.; Zagar, N.; Honzak, L.; Zabkar, R.; Rakovec, J.; Ceglar, A. Precipitation intercomparison of a set of satellite- and raingauge-derived datasets, ERA Interim reanalysis, and a single WRF regional climate simulation over Europe and the North Atlantic. Theor. Appl. Climatol. 2016, 123, 217–232. [Google Scholar] [CrossRef]
- Chen, Y.; Ebert, E.E.; Walsh, K.J.E.; Davidson, N.E. Evaluation of TMPA 3B42 daily precipitation estimates of tropical cyclone rainfall over Australia. J. Geophys. Res. Atmos. 2013, 118, 11966–11978. [Google Scholar] [CrossRef]
- Peña-Arancibia, J.L.; van Dijk, A.I.J.; Renault, L.J.; Mulligan, M. Evaluation of precipitation estimation accuracy in reanalyses, satellite products, and an ensemble method for regions in Australia and South and East Asia. J. Hydrometeor. 2013, 14, 1323–1333. [Google Scholar] [CrossRef]
- Pipunic, R.; Ryu, D.; Costelloe, J.; Su, C.H. Evaluation of real-time satellite rainfall products in semi-arid/arid Australia. In Proceedings of the 20th International Congress on Modelling and Simulation, Adelaide, Australia, 1–6 December 2013; pp. 3106–3112. [Google Scholar]
- Pipunic, R.; Ryu, D.; Costelloe, J.; Su, C.H. An evaluation and regional error modeling methodology for near-real-time satellite rainfall data over Australia. J. Geophys. Res. Atmos. 2015, 120, 10767–10783. [Google Scholar] [CrossRef]
- Prakash, S.; Gairola, R.M. Validation of TRMM-3B42 precipitation product over the tropical Indian Ocean using rain gauge data from the RAMA buoy array. Theor. Appl. Climatol. 2014, 115, 451–460. [Google Scholar] [CrossRef]
- Klepp, C. The oceanic shipboard precipitation measurement network for surface validation—Ocean rain. Atmos. Res. 2015, 163, 74–90. [Google Scholar] [CrossRef]
- Maggioni, V.; Meyers, P.C.; Robinson, M.D. A Review of Merged High-Resolution Satellite Precipitation Product Accuracy during the Tropical Rainfall Measuring Mission (TRMM) Era. J. Hydrometeor. 2016, 17, 1101–1117. [Google Scholar] [CrossRef]
- Ringard, J.; Becker, M.; Seyler, F.; Linguet, L. Temporal and Spatial Assessment of Four Satellite Rainfall Estimates over French Guiana and North Brazil. Remote Sens. 2015, 7, 16441–16459. [Google Scholar] [CrossRef]
- Tang, G.; Ma, Y.; Long, D.; Zhong, L.; Hong, Y. Evaluation of GPM Day-1 IMERG and TMPA Version-7 legacy products over Mainland China at multiple spatiotemporal scales. J. Hydrol. 2016, 533, 152–167. [Google Scholar] [CrossRef]
- Yuan, F.; Zhang, L.; Win, K.W.W.; Ren, L.; Zhao, C.; Zhu, Y.; Jiang, S.; Liu, Y. Assessment of GPM and TRMM Multi-Satellite Precipitation Products in Stream flow Simulations in a Data-Sparse Mountainous Watershed in Myanmar. Remote Sens. 2017, 9, 302. [Google Scholar] [CrossRef]
- Beck, H.E.; Vergopolan, N.; Pan, M.; Levizzani, V.; van Dijk, A.I.J.; Weedon, G.P.; Brocca, L.; Pappenberger, F.; Huffman, G.J.; Wood, E.F. Global-scale evaluation of 22 precipitation datasets using gauge observations and hydrological modeling. Hydrol. Earth Syst. Sci. 2017, 21, 6201–6217. [Google Scholar] [CrossRef]
- Gebregiorgis, A.S.; Hossain, F. How well can we estimate error variance of satellite precipitation data around the world? Atmos. Res. 2015, 154, 39–59. [Google Scholar] [CrossRef]
- Khan, S.I.; Hong, Y.; Gourley, J.J.; Khattak, M.U.K.; Yong, B.; Vergara, H.J. Evaluation of three high-resolution satellite precipitation estimates: Potential for monsoon monitoring over Pakistan. Adv. Space Res. 2014, 54, 670–684. [Google Scholar] [CrossRef]
- Iqbal, M.F.; Athar, H. Validation of satellite-based precipitation over diverse topography of Pakistan. Atmos. Res. 2018, 201, 247–260. [Google Scholar] [CrossRef]
- Anjum, M.N.; Ding, Y.; Shangguan, D.; Ijaz, M.W.; Zhang, S. Evaluation of high-resolution satellite-based real-time and post-real-time precipitation estimates during 2010 extreme flood event in Swat River Basin, Hindukush region. Adv. Meteorol. 2016, 2016, 2604980. [Google Scholar] [CrossRef]
- Cheema, M.J.M.; Bastiaanssen, W.G. Local calibration of remotely sensed rainfall from the TRMM satellite for different periods and spatial scales in the Indus Basin. Int. J. Remote Sens. 2012, 33, 2603–2627. [Google Scholar] [CrossRef]
- Hussain, Y.; Satgé, F.; Hussain, M.B.; Martinez-Carvajal, H.; Bonnet, M.-P.; Cárdenas-Soto, M.; Roig, H.L.; Akhter, G. Performance of CMORPH, TMPA, and PERSIANN rainfall datasets over plain, mountainous, and glacial regions of Pakistan. Theor. Appl. Climatol. 2018, 131, 1119–1132. [Google Scholar] [CrossRef]
- Zambrano-Bigiarini, M.; Nauditt, A.; Birkel, C.; Verbist, K.; Ribbe, L. Temporal and spatial evaluation of satellite-based rainfall estimates across the complex topographical and climatic gradients of Chile. Hydrol. Earth Syst. Sci. 2016, 21, 1295–1320. [Google Scholar] [CrossRef]
- Salma, S.; Rehman, S.; Shah, M.A. Rainfall Trends in Different Climate Zones of Pakistan. Pak. J. Met. 2012, 9, 37–47. [Google Scholar]
- Chen, F.; Li, X. Evaluation of IMERG and TRMM 3B43 Monthly Precipitation Products over Mainland China. Remote Sens. 2016, 8, 472. [Google Scholar] [CrossRef]
- Thiemig, V.; Rodrigo, R.; Mauricio, Z.-B.; Vincenzo, L.; Roo, A.D. Validation of satellite-based precipitation products over sparsely gauged African river basins. J. Hydromet. 2012, 13, 1760–1783. [Google Scholar] [CrossRef]








| Evaluation Statistic for the PR Algorithm | |||||||
|---|---|---|---|---|---|---|---|
| Station # | Lat | Long | CC | POD | CSI | FAR | MSE |
| 1 | 24.6 | 68.9 | 0.68 | 0.70 | 0.19 | 0.21 | 21.03 |
| 2 | 29.9 | 73.3 | 0.49 | 0.59 | 0.26 | 0.32 | 30.86 |
| 3 | 29.3 | 71.8 | 0.41 | 0.74 | 0.32 | 0.36 | 24.53 |
| 4 | 29.9 | 69.7 | 0.22 | 0.67 | 0.33 | 0.39 | 36.09 |
| 5 | 31.6 | 71.1 | 0.46 | 0.66 | 0.29 | 0.35 | 44.60 |
| 6 | 25.1 | 61.8 | 0.51 | 0.71 | 0.24 | 0.26 | 4.80 |
| 7 | 32.9 | 72.8 | 0.18 | 0.68 | 0.29 | 0.34 | 72.81 |
| 8 | 35.4 | 74.1 | 0.31 | 0.37 | 0.16 | 0.22 | 13.58 |
| 9 | 35.9 | 71.8 | 0.20 | 0.41 | 0.24 | 0.37 | 21.46 |
| 10 | 30.1 | 70.6 | 0.41 | 0.68 | 0.32 | 0.37 | 26.26 |
| 11 | 31.4 | 73.1 | 0.24 | 0.55 | 0.26 | 0.32 | 51.72 |
| 12 | 35.9 | 74.3 | 0.26 | 0.28 | 0.17 | 0.30 | 9.44 |
| 13 | 25.1 | 62.3 | 0.53 | 0.70 | 0.32 | 0.37 | 2.96 |
| 14 | 25.4 | 68.4 | 0.21 | 0.77 | 0.19 | 0.20 | 22.08 |
| 15 | 31.3 | 72.3 | 0.35 | 0.54 | 0.25 | 0.32 | 57.72 |
| 16 | 29.0 | 66.6 | 0.49 | 0.45 | 0.09 | 0.10 | 1.84 |
| 17 | 27.8 | 66.6 | 0.14 | 0.41 | 0.19 | 0.27 | 8.66 |
| 18 | 33.5 | 73.9 | 0.44 | 0.65 | 0.41 | 0.52 | 115.85 |
| 19 | 35.3 | 74.9 | 0.29 | 0.52 | 0.32 | 0.45 | 22.07 |
| 20 | 31.6 | 74.3 | 0.23 | 0.59 | 0.34 | 0.44 | 101.32 |
| 21 | 27.5 | 68.2 | 0.16 | 0.52 | 0.21 | 0.27 | 5.34 |
| 22 | 26.2 | 66.2 | 0.37 | 0.77 | 0.22 | 0.23 | 8.35 |
| 23 | 30.2 | 71.4 | 0.53 | 0.66 | 0.30 | 0.35 | 12.38 |
| 24 | 34.4 | 73.5 | 0.38 | 0.67 | 0.45 | 0.57 | 91.16 |
| 25 | 34.2 | 73.6 | 0.32 | 0.68 | 0.44 | 0.55 | 99.88 |
| 26 | 30.8 | 73.4 | 0.28 | 0.61 | 0.27 | 0.33 | 55.90 |
| 27 | 27.0 | 64.1 | 0.34 | 0.68 | 0.22 | 0.25 | 2.31 |
| 28 | 30.7 | 68.4 | 0.14 | 0.48 | 0.24 | 0.32 | 14.78 |
| 29 | 30.2 | 67.0 | 0.24 | 0.32 | 0.15 | 0.22 | 6.74 |
| 30 | 28.4 | 70.3 | 0.19 | 0.57 | 0.17 | 0.20 | 17.65 |
| 31 | 30.6 | 73.2 | 0.13 | 0.64 | 0.29 | 0.35 | 52.95 |
| 32 | 32.0 | 72.7 | 0.33 | 0.56 | 0.30 | 0.39 | 87.47 |
| 33 | 32.5 | 74.5 | 0.53 | 0.72 | 0.39 | 0.46 | 112.38 |
| 34 | 27.7 | 68.9 | 0.24 | 0.48 | 0.18 | 0.23 | 9.10 |
| 35 | 34.7 | 72.3 | 0.29 | 0.55 | 0.32 | 0.43 | 66.39 |
| 36 | 30.1 | 67.0 | 0.24 | 0.38 | 0.17 | 0.24 | 9.54 |
© 2018 by the authors. Licensee MDPI, Basel, Switzerland. This article is an open access article distributed under the terms and conditions of the Creative Commons Attribution (CC BY) license (http://creativecommons.org/licenses/by/4.0/).
Share and Cite
Muhammad, W.; Yang, H.; Lei, H.; Muhammad, A.; Yang, D. Improving the Regional Applicability of Satellite Precipitation Products by Ensemble Algorithm. Remote Sens. 2018, 10, 577. https://doi.org/10.3390/rs10040577
Muhammad W, Yang H, Lei H, Muhammad A, Yang D. Improving the Regional Applicability of Satellite Precipitation Products by Ensemble Algorithm. Remote Sensing. 2018; 10(4):577. https://doi.org/10.3390/rs10040577
Chicago/Turabian StyleMuhammad, Waseem, Hanbo Yang, Huimin Lei, Ajmal Muhammad, and Dawen Yang. 2018. "Improving the Regional Applicability of Satellite Precipitation Products by Ensemble Algorithm" Remote Sensing 10, no. 4: 577. https://doi.org/10.3390/rs10040577
APA StyleMuhammad, W., Yang, H., Lei, H., Muhammad, A., & Yang, D. (2018). Improving the Regional Applicability of Satellite Precipitation Products by Ensemble Algorithm. Remote Sensing, 10(4), 577. https://doi.org/10.3390/rs10040577

