Enhanced Nitrogen and Phosphorus Removal by Woody Plants with Deep-Planting Technique for the Potential Environmental Management of Carcass Burial Sites
Abstract
:1. Introduction
2. Materials and Methods
2.1. Soil and Liquid Manure
2.2. Pot Trial
2.3. Pilot-Scale Column Experiment
2.4. Analysis of Soil and Plant
2.5. Statistical Analysis
3. Results and Discussion
3.1. Pot Trial
3.1.1. Soil
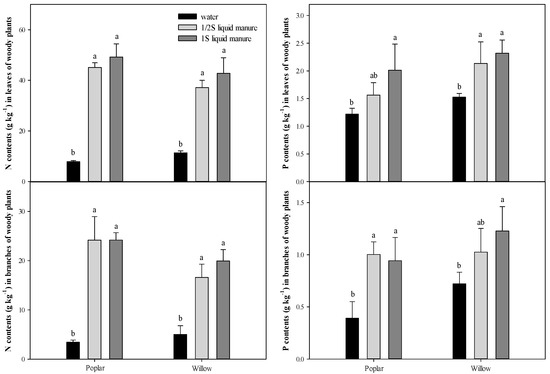
3.1.2. Plant
3.2. Pilot-Scale Column Experiment
3.2.1. Soil
3.2.2. Plant
4. Conclusions
Acknowledgments
Author Contributions
Conflicts of Interest
References
- Choi, J.W.; Kim, J.Y.; Nam, Y.J.; Lee, W.S.; Han, J.S. Comparison of compositional characteristics of amino acids between livestock wastewater and carcass leachate. Environ. Monit. Assess. 2013, 185, 9413–9418. [Google Scholar] [CrossRef] [PubMed]
- Kim, G.H.; Pramanik, S. Biosecurity procedures for the environmental management of carcasses burial sites in Korea. Environ. Geochem. Health 2016, 38, 1229–1240. [Google Scholar] [CrossRef] [PubMed]
- Kim, K.H.; Kim, K.R.; Kim, H.S.; Lee, G.T.; Lee, K.H. Assessment of soil and groundwater contamination at two animal carcass disposal sites. Korean J. Soil Sci. Fertil. 2010, 43, 384–389. (In Korean) [Google Scholar]
- Meagher, R.B. Phytoremediation of toxic elemental and organic pollutants. Curr. Opin. Plant Biol. 2000, 3, 153–162. [Google Scholar] [CrossRef]
- Alkorta, I.; Garbisu, C. Phytoremediation of organic contaminants in soils. Bioresour. Technol. 2001, 79, 273–276. [Google Scholar] [CrossRef]
- Ali, H.; Khan, E.; Sajad, M.A. Phytoremediation of heavy metals-Concepts and applications. Chemosphere 2013, 91, 869–881. [Google Scholar] [CrossRef] [PubMed]
- Pilon-Smits, E. Phytoremediation. Annu. Rev. Plant Biol. 2005, 56, 15–39. [Google Scholar] [CrossRef] [PubMed]
- Licht, L.A.; Isebrands, J.G. Linking phytoremediated pollutant removal to biomass economic opportunities. Biomass Bioenergy 2005, 28, 203–218. [Google Scholar] [CrossRef]
- Pietrini, F.; Iori, V.; Bianconi, D.; Mughini, G.; Massacci, A.; Zacchini, M. Assessment of physiological and biochemical responses, metal tolerance and accumulation in two eucalypt hybrid clones for phytoremediation of cadmium-contaminated waters. J. Environ. Manag. 2015, 162, 221–231. [Google Scholar] [CrossRef] [PubMed]
- Zárubová, P.; Hejcman, M.; Vondráčková, S.; Mrnka, L.; Száková, J.; Tlustoš, P. Distribution of P, K, Ca, Mg, Cd, Cu, Fe, Mn, Pb and Zn in wood and bark age classes of willows and poplars used for phytoextraction on soils contaminated by risk elements. Environ. Sci. Pollut. Res. 2015, 22, 18801–18813. [Google Scholar] [CrossRef] [PubMed]
- Fischerová, Z.; Tlustoš, P.; Száková, J.; Šichorová, K. A comparison of phytoremediation capability of selected plant species for given trace elements. Environ. Pollut. 2006, 144, 93–100. [Google Scholar] [CrossRef] [PubMed]
- Barac, T.; Weyens, N.; Oeyen, L.; Taghavi, S.; van der Lelie, D.; Dubin, D.; Spliet, M.; Vangronsveld, J. Field note: Hydraulic containment of a BTEX plume using poplar trees. Int. J. Phytorem. 2009, 11, 416–424. [Google Scholar] [CrossRef] [PubMed]
- Jensen, J.K.; Holm, P.E.; Nejrup, J.; Larsen, M.B.; Borggaard, O.K. The potential of willow for remediation of heavy metal polluted calcareous urban soils. Environ. Pollut. 2009, 157, 931–937. [Google Scholar] [CrossRef] [PubMed]
- Migeon, A.; Richaud, P.; Guinet, F.; Chalot, M.; Blaudez, D. Metal accumulation by woody species on contaminated sites in the north of France. Water Air Soil Pollut. 2009, 204, 89–101. [Google Scholar] [CrossRef]
- Hu, Y.; Nan, Z.; Su, J.; Wang, N. Heavy metal accumulation by poplar in calcareous soil with various degrees of multi-metal contamination: Implications for phytoextraction and phytostabilization. Environ. Sci. Pollut. Res. 2013, 20, 7194–7203. [Google Scholar] [CrossRef] [PubMed]
- Salido, A.L.; Hasty, K.L.; Lim, J.M.; Butcher, D.J. Phytoremediation of arsenic and lead in contaminated soil using Chinese brake ferns (Pteris vittata) and Indian mustard (Brassica juncea). Int. J. Phytorem. 2003, 5, 89–103. [Google Scholar] [CrossRef] [PubMed]
- Tangahu, B.V.; Abdullah, S.R.S.; Basri, H.; Idris, M.; Anuar, N.; Mukhlisin, M. A review on heavy metals (As, Pb, and Hg) uptake by plants through phytoremediation. Int. J. Chem. Eng. 2011, 2011, 939161. [Google Scholar] [CrossRef]
- Dreesen, D.R.; Fenchel, G.A. Deep-planting techniques to establish riparian vegetation in arid and semiarid regions. Nativ. Plants J. 2010, 11, 15–22. [Google Scholar] [CrossRef]
- Kuo, O. Phosphorus. In Methods of Soil Analysis. Part 3. Chemical Methods. SSSA Book Series 5; Sparks, D.L., Page, A.L., Helmke, P.A., Loeppert, R.H., Soltanpour, P.N., Tabatabai, M.A., Johnson, C.T., Sumner, M.E., Eds.; SSSA/ASA: Madison, WI, USA, 1993; pp. 869–919. [Google Scholar]
- National Institute of Agricultural Science (NIAS). Method of Soil and Plant Analysis; Rural Development Administration: Suwon, Korea, 2000. (In Korean)
- Corwin, D.L.; Lesch, S.M. Application of soil electrical conductivity to precision agriculture. Agron. J. 2003, 95, 455–471. [Google Scholar] [CrossRef]
- Rytter, R.M. The potential of willow and poplar plantations as carbon sinks in Sweden. Biomass Bioenergy 2012, 36, 86–95. [Google Scholar] [CrossRef]
- Pulford, I.D.; Watson, C. Phytoremediation of heavy metal-contaminated land by trees-a review. Environ. Int. 2003, 29, 529–540. [Google Scholar] [CrossRef]
- Wu, F.; Yang, W.; Zhang, J.; Zhou, L. Cadmium accumulation and growth responses of a poplar (Populus deltoides × Populus nigra) in cadmium contaminated purple soil and alluvial soil. J. Hazard. Mater. 2010, 177, 268–273. [Google Scholar] [CrossRef] [PubMed]
- Dimitriou, I.; Aronsson, P. Landfill leachate treatment with willows and poplars—Efficiency and plant response. Waste Manag. 2010, 30, 2137–2145. [Google Scholar] [CrossRef] [PubMed]
- Zhu, J.K. Plant salt tolerance. Trends Plant Sci. 2001, 6, 66–71. [Google Scholar] [CrossRef]
- Munns, R. Comparative physiology of salt and water stress. Plant Cell Environ. 2002, 25, 239–250. [Google Scholar] [CrossRef] [PubMed]
- Chen, S.; Li, J.; Fritz, E.; Wang, S.; Hüttermann, A. Sodium and chloride distribution in roots and transport in three poplar genotypes under increasing NaCl stress. For. Ecol. Manag. 2002, 168, 217–230. [Google Scholar] [CrossRef]
- Environmental Protection Agency: Introduction to Phytoremediation. Available online: https//www.Nepis.epa.gov/Exe/ZyPURL.cgi?Dockey=30003T7G.TXT (accessed on 1 October 2016).
- Khan, A.G.; Kuek, C.; Chaudhry, T.M.; Khoo, C.S.; Hayes, W.J. Role of plants, mycorrhizae and phytochelators in heavy metal contaminated land remediation. Chemosphere 2000, 41, 197–207. [Google Scholar] [CrossRef]









| Treatments | Amounts of Applied Liquids | Estimated N | Estimated P | Measured N | Measured P | ∆N | ∆P | |
|---|---|---|---|---|---|---|---|---|
| (L) | (g·kg−1) | (g·kg−1) | (g·kg−1) | (g·kg−1) | ||||
| 2012 | ||||||||
| No plant | water | 15.3 ± 4.0 | 1.0 ± 0.0 | 0.9 ± 0.0 | 0.7 ± 0.1 | 0.8 ± 0.1 | 0.3 | 0.1 |
| 1/2S liquid manure | 13.5 ± 1.6 | 1.3 ± 0.0 | 1.0 ± 0.0 | 0.7 ± 0.2 | 0.7 ± 0.0 | 0.7 | 0.3 | |
| 1S liquid manure | 13.2 ± 2.0 | 1.7 ± 0.1 | 1.1 ± 0.0 | 0.7 ± 0.1 | 0.8 ± 0.0 | 0.9 | 0.3 | |
| Poplar | water | 33.0 ± 2.3 | 1.0 ± 0.0 | 0.9 ± 0.0 | 0.7 ± 0.2 | 0.8 ± 0.1 | 0.3 | 0.1 |
| 1/2S liquid manure | 34.1 ± 2.0 | 1.9 ± 0.0 | 1.1 ± 0.0 | 0.7 ± 0.1 | 0.7 ± 0.0 | 1.1 | 0.4 | |
| 1S liquid manure | 34.6 ± 0.5 | 2.7 ± 0.0 | 1.3 ± 0.0 | 0.8 ± 0.1 | 0.8 ± 0.0 | 2.0 | 0.5 | |
| Willow | water | 38.0 ± 6.5 | 1.0 ± 0.0 | 0.9 ± 0.0 | 0.8 ± 0.1 | 0.8 ± 0.1 | 0.2 | 0.1 |
| 1/2S liquid manure | 34.4 ± 1.1 | 1.9 ± 0.0 | 1.1 ± 0.0 | 0.9 ± 0.0 | 0.8 ± 0.0 | 1.0 | 0.3 | |
| 1S liquid manure | 35.4 ± 3.0 | 2.8 ± 0.2 | 1.3 ± 0.0 | 0.8 ± 0.1 | 0.8 ± 0.1 | 2.0 | 0.5 | |
| 2013 | ||||||||
| No plant | water | 4.0 ± 1.4 | 2.9 ± 0.0 | 0.6 ± 0.0 | 3.0 ± 0.0 | 0.6 ± 0.0 | −0.1 | 0.0 |
| 1/2S liquid manure | 2.8 ± 0.4 | 3.0 ± 0.0 | 0.7 ± 0.1 | 2.9 ± 0.0 | 0.6 ± 0.1 | 0.0 | 0.0 | |
| 1S liquid manure | 3.3 ± 0.4 | 3.1 ± 0.0 | 0.7 ± 0.0 | 3.0 ± 0.0 | 0.7 ± 0.0 | 0.1 | 0.0 | |
| Poplar | water | 77.2 ± 4.6 | 2.9 ± 0.1 | 0.5 ± 0.1 | 3.0 ± 0.0 | 0.6 ± 0.1 | −0.1 | 0.0 |
| 1/2S liquid manure | 46.0 ± 3.1 | 4.0 ± 0.1 | 1.0 ± 0.0 | 3.0 ± 0.0 | 0.9 ± 0.0 | 0.9 | 0.1 | |
| 1S liquid manure | 41.5 ± 4.0 | 4.9 ± 0.2 | 1.3 ± 0.1 | 3.5 ± 0.1 | 0.8 ± 0.1 | 1.4 | 0.5 | |
| Willow | water | 39.0 ± 1.4 | 3.0 ± 0.1 | 0.7 ± 0.1 | 3.0 ± 0.1 | 0.6 ± 0.1 | 0.0 | 0.0 |
| 1/2S liquid manure | 49.4 ± 4.9 | 3.8 ± 0.6 | 0.9 ± 0.2 | 3.0 ± 0.2 | 0.8 ± 0.1 | 0.7 | 0.1 | |
| 1S liquid manure | 73.9 ± 4.4 | 6.4 ± 0.1 | 1.8 ± 0.1 | 3.9 ± 0.1 | 1.1 ± 0.1 | 2.5 | 0.7 | |
© 2017 by the authors; licensee MDPI, Basel, Switzerland. This article is an open access article distributed under the terms and conditions of the Creative Commons Attribution (CC BY) license (http://creativecommons.org/licenses/by/4.0/).
Share and Cite
Seo, B.-H.; Kim, H.S.; Kuppusamy, S.; Kim, K.-H.; Kim, K.-R. Enhanced Nitrogen and Phosphorus Removal by Woody Plants with Deep-Planting Technique for the Potential Environmental Management of Carcass Burial Sites. Sustainability 2017, 9, 155. https://doi.org/10.3390/su9010155
Seo B-H, Kim HS, Kuppusamy S, Kim K-H, Kim K-R. Enhanced Nitrogen and Phosphorus Removal by Woody Plants with Deep-Planting Technique for the Potential Environmental Management of Carcass Burial Sites. Sustainability. 2017; 9(1):155. https://doi.org/10.3390/su9010155
Chicago/Turabian StyleSeo, Byoung-Hwan, Hyuck Soo Kim, Saranya Kuppusamy, Kye-Hoon Kim, and Kwon-Rae Kim. 2017. "Enhanced Nitrogen and Phosphorus Removal by Woody Plants with Deep-Planting Technique for the Potential Environmental Management of Carcass Burial Sites" Sustainability 9, no. 1: 155. https://doi.org/10.3390/su9010155
APA StyleSeo, B.-H., Kim, H. S., Kuppusamy, S., Kim, K.-H., & Kim, K.-R. (2017). Enhanced Nitrogen and Phosphorus Removal by Woody Plants with Deep-Planting Technique for the Potential Environmental Management of Carcass Burial Sites. Sustainability, 9(1), 155. https://doi.org/10.3390/su9010155
