Next Article in Journal
Trends in Swiss Passenger Vehicles Based on Machine Learning Segmentation
Next Article in Special Issue
Geospatial and Correlation Analysis of Heavy Metal Distribution on the Territory of Integrated Steel and Mining Company Qarmet JSC
Previous Article in Journal
Rainwater Harvesting for Well Recharge and Agricultural Irrigation: An Adaptation Strategy to Climate Change in Central Chile
Previous Article in Special Issue
Influence of Phosphogypsum Waste on Rainwater Chemistry in a Highly Polluted Area with High Mortality Rates in Huelva Metropolitan Area, Spain
 
 
Font Type:
Arial Georgia Verdana
Font Size:
Aa Aa Aa
Line Spacing:
Column Width:
Background:
Article

Distribution, Potential Sources, and Risks of Heavy Metal Contamination in the Huaihe River: Insights from Water and Sediment Analysis

1
Anhui Provincial Key Laboratory of Earth Surface Processes and Regional Response in the Yangtze-Huaihe River Basin, School of Geography and Tourism, Anhui Normal University, Wuhu 241002, China
2
Anhui Province Key Laboratory of Environmental Hormone and Reproduction, Fuyang 236037, China
3
Department of Geography, Fuyang Normal University, Fuyang 236037, China
4
Nanjing Ark Environmental Development Co., Ltd., Nanjing 210046, China
*
Authors to whom correspondence should be addressed.
Sustainability 2025, 17(8), 3548; https://doi.org/10.3390/su17083548
Submission received: 12 February 2025 / Revised: 3 April 2025 / Accepted: 10 April 2025 / Published: 15 April 2025

Abstract

Riverine heavy metal (HM) pollution, a critical global environmental issue, severely affects water quality, ecosystem health, and human well-being. The Huaihe River, once among China’s most polluted, has seen water quality improvements due to strict pollution controls, yet the extent of HM pollution reduction remains uncertain. Here, we investigated the distribution, sources, and potential ecological and health risks of nine typical HMs (Cr, Mn, Ni, Cu, Zn, As, Cd, Pb, and Hg) in surface water and sediment in the Anhui section of the river. Seasonal variations in HM concentrations were observed, with most values below drinking water safety limits, except for Mn and Cd at specific sites and seasons. Indices including the HPI, HEI, HQ, and HI showed low contamination and health risks, yet children are more vulnerable to non-carcinogenic hazards, notably from Cd and As. Sediment HMs trends decreased as Mn > Zn > Cr > Pb > Ni > Cu > As > Cd > Hg, with moderate pollution from Cd, Mn, and Pb based on CF, EF, and Igeo assessments. PLI and NPI suggested moderate ecological risks in midstream areas due to HM accumulation. The correlation analysis and PCA revealed that HMs in uncontaminated sediments were mainly of geogenic origin, while contaminated sediments were largely influenced by anthropogenic activities, including agricultural runoff, industrial waste, and domestic sewage discharge. Overall, our findings highlight that control of anthropogenic activities within the Huaihe River basin is essential for reducing HM pollution in the river.

1. Introduction

Rivers are widely recognized as one of the most productive environments, providing water resources, energy, transportation, and ecological services to humanity [1]. However, enormous hazardous chemicals, particularly heavy metals (HMs), have been discharged into rivers globally as a result of rapid population expansion, intensified domestic activities, and expanding agricultural and industrial production [2,3,4]. Therefore, HMs in rivers have garnered growing concern and have become a focus of global research over the past few decades. This is because of their toxicity, persistence, and propensity for bioaccumulation, which may impact ecosystem functions and human and wildlife health [5,6].
HMs, which have been discharged into rivers, can appear in water and be accumulated in sediments [7]. In the aquatic environment, excessive HMs cannot be degraded through natural decomposition processes. They are typically associated with tiny particles, which persist in the water column for extended periods. Although plants and microorganisms can absorb some of these metals, a significant portion ultimately settles and accumulates in the sediments [8,9]. Commonly, low concentration of HMs in water did not cause a potential threat to ecosystems, as trace amounts of HMs are necessary for vital enzymatic and biochemical processes within benthic organisms and microorganisms [10,11]. However, sediments serve as major reservoirs and secondary sources of HMs, which can release dissolved metals again into overlying water column through the process of resuspension, desorption, and remobilization [12,13], and eventually pose a potential ecological threat to aquatic organisms and humans [14]. Thus, clarifying the HM contamination in rivers by analyzing sediments offers valuable information, and understanding the distribution, potential sources, and ecological risks associated with HMs in sediments is crucial for the improved protection and management of aquatic ecosystems [4,5].
Numerous studies have been conducted in recent years to investigate the distribution, origins, and risks associated with HMs in rivers, due to their widespread occurrence, persistence, bioaccumulation, and inherent toxicity [2,6,15,16]. However, previous studies have predominantly centered on HM contamination within the surface sediments [4,13,17,18] and sediment cores [19], and limited efforts have been made to address HMs dissolved in the surface water of rivers. The restricted knowledge of river water quality implies that the use of heavy metal-contaminated water for potable and agricultural purposes could lead to potential health hazards. It is particularly noteworthy that investigations combining HMs in water and sediments for pollution assessments are much less common. This could result in the generation of partial or inadequate assessments regarding HM pollution in riverine environments. Therefore, a comprehensive investigation into the spatiotemporal variations in HM contamination status and the ecological and health risk evaluation in the water and sediments for rivers is necessary.
The total concentration of HMs is frequently employed to evaluate contamination levels and the associated potential for ecological risks and health risks [14,17,20]. A prevalent approach in assessing sedimentary HM pollution and ecological risks involves the computation of the contamination factor (CF) and pollution load index (PLI) for individual elements, alongside the determination of their enrichment factor (EF) and geo-accumulation index (Igeo) [7,13,15]. Given the potential for additive or synergistic effects among HMs in environmental media, traditional single-element-based indices may not provide a comprehensive assessment of pollution and risk [21]. The Nemerow pollution index (NPI) is designed to reflect the cumulative impact of multiple HMs [22]. Furthermore, the potential ecological risk index (RI) offers a quantitative measure of these combined ecological risks [23]. As for water, indices such as the heavy metal pollution index (HPI) and heavy metal evaluation index (HEI) are used for reflecting the combined effect of individual HMs and the cumulative impact of multiple HMs, respectively [3]. Similarly, the human health risks, including those to adults and children, can be quantitatively illustrated by the hazard quotient (HQ) and hazard index (HI) [24].
The Huaihe River, as one of major rivers in China, is crucial for urban drinking water supply, agricultural irrigation, and industrial water usage. However, the water quality of the Huaihe River has significantly deteriorated due to extensive mining, domestic sewage effluents, agricultural drainage, and the ongoing growth of industrial activities in recent decades. HM pollution in the Huaihe River, closely linked to regional industrialization and economic growth, has garnered escalating concern in recent years. However, existing investigations were either focused on HM distribution in a portion of the river [25] or on HMs levels in individual environmental media (water or sediment) [26], which cannot reflect the overall status of HM pollution in the Huaihe River. Therefore, the present study aimed to (1) investigate the spatiotemporal variation of eight toxic HMs (chromium (Cr), manganese (Mn), nickel (Ni), copper (Cu), zinc (Zn), arsenic (As), cadmium (Cd), and lead (Pb)) in surface water and the spatial distribution of these HMs and mercury (Hg) in sediments; (2) assess the contamination status of the selected HMs in the surface water and sediments of the Huaihe River; (3) evaluate the ecological and human health risks linked to the selected HMs in the Huaihe River; and (4) identify the possible sources of HMs in the sediments of the Huaihe River employing multivariate statistical analysis.

2. Materials and Methods

2.1. Study Sites

The Huaihe River, one of the seven major rivers in China, travels over approximately 1000 km from Tongbai Mountain in Henan Province to the Yangtze River and Yellow Sea through several natural and/or artificial waterways in Jiangsu Province. The Huaihe River (Anhui section) is located in the middle reaches of the river and drains a catchment area of about 66,900 km2. The region is characterized by a warm temperate semi-humid climate and a subtropical humid climate, which is divided by the Huaihe River. The annual mean precipitation and air temperature (30 yr: 1989–2018) ranged from 763 to 1396 mm and 14.6 to 16.3 °C, respectively. The Huaihe River watershed (Anhui section) is a substantial grain production base in China due to its flat terrain and huge cultivated land [27], and an important energy base in East China due to the abundant coal and coal-fired power plants [28]. The high-intensity anthropogenic activities such as agricultural reclamation, coal exploitation, and coal-fired power generation have resulted in the release of heavy metals, posing a threat to the Huaihe River.

2.2. Sample Collection and Preparation

Thirteen sampling sites were selected in the mainstream along the Huaihe River (Anhui section) (Figure 1). In this study, surface sediment samples were collected in April 2023, while surface water samples were collected in April, August, and October 2023, and January 2024, which represent spring, summer, autumn, and winter, respectively. At each station, surface sediment samples (0–20 cm) were collected in triplicate using a Peterson stainless-steel grab sampler. Then, surface sediment samples were evenly mixed on site and stored in zip-lock bags in cool conditions before being transported to the laboratory for further analysis. The surface water samples not exceeding 20 cm depth in each site were collected in triplicate using a 5 L plexiglass water sampler. All water samples were stored in acid-washed brown polyethylene bottles in cool conditions before being transported to the laboratory for further analysis. In the laboratory, sediment samples were homogenized, coarse-debris-removed and divided into two parts. One part was air dried and ground for the analysis of sediment organic carbon (SOC), the other part was freeze-dried, ground with agate mortar and passed through a 100-mesh nylon sieve for HM content analysis. Surface water samples were filtered by 0.45 μm cellulose acetate membrane filter and acidified to pH < 2 by concentrated HNO3 for HM analysis.

2.3. Chemical Analysis

The processing of total heavy metal extraction from sediment samples followed Xie et al. [6]. In brief, 0.20 g sediment was digested with a mixture of concentrated HNO3, HF, and HCl using microwave digestion in a closed system to prevent volatile loss. To avoid the Hg loss during the determination stage, 0.05% gold chloride (AuCl3) was added to digestates to stabilize Hg2+ and minimize adsorption losses. The total concentrations of heavy metals such as Cr, Mn, Ni, Cu, Zn, As, Cd, Hg, and Pb in digestion solution and water samples were measured by inductively coupled plasma-mass spectrometry (ICP-MS, Agilent 7900, Agilent Technologies, Santa Clara, CA, USA). SOC was analyzed by elemental analyzer (Vario Macro cube, Elementar, Langenselbold, Germany).
Quality assurance and quality control procedures were adopted in the present study. The vessels for HMs analysis were immersed by 0.1 N HNO3 over 24 h and washed using distilled water at least three times prior to use. The standard sediment reference materials (GBW07301a (GSD-1a), National Research Center for Geo Analysis of China) were used to assess the accuracy and precision of the analysis. Six standard solutions with known metal concentrations were analyzed and used to construct a standard curve with a coefficient of determination exceeding 0.99. The reagent blanks and standard solution with known metal concentration were reanalyzed throughout the analysis. The recovery of the total HM content ranged from 83% to 104%. In addition, all experimental reagents used for chemical analysis were at least analytical grade.

2.4. Assessment of Water and Sediment Contamination

Contamination factor (CF), pollution load index (PLI), enrichment factor (EF), geo-accumulation index (Igeo), and Nemerow pollution index (NPI) are common indicators which have been widely used to assess HM contamination in sediment. CF and PLI reflect the enrichment of each HM and toxicity state of the site for HMs considered, respectively [15]. EF is used to assess anthropogenic and geo-genic activities on river sediment quality [13]. Igeo and NPI reflect the contamination levels of HMs and comprehensive environmental impact of several HMs in river sediment, respectively [13,22].
The pollution indices such as the heavy metal evaluation index (HEI) and heavy metal pollution index (HPI) are used to assess the pollution status of HMs in the surface water. HEI reflects the general condition of surface water quality in relation to the presence of HMs [3]. HPI quantifies the aggregate impact of individual HMs on the quality of surface water [29].
Pollution indicators analyzed in this study are summarized in Table S1.

2.5. Assessment of Ecological Risk and Health Risk

The potential ecological risk index (RI) was applied to assess the integrated contamination levels of HMs in the Huaihe River sediments and quantify the ecological risks associated with their toxicity. It was calculated using the following formula [14]:
R I = E r i
E r i = T r i   C F i
where E r i is the ecological risk index of HM i, T r i is the toxicity effect coefficient of HM i, and C F i is the above-mentioned contamination factor of HM i. The T r i for Cr, Mn, Ni, Cu, Zn, As, Cd, Hg, and Pb were taken as 2, 1, 5, 5, 1, 10, 30, 40, and 5, respectively. The potential ecological risk level for all factors may be classified according to the RI value as follows: low (RI < 100), moderate (100 ≤ RI < 200), considerable (200 ≤ RI < 400), and very high (RI ≥ 400) [30].
The health risks to humans from exposure to HMs in the surface water of the Huaihe River were assessed, focusing on the chronic effects of HMs, by calculating the average daily intake and utilizing established toxicity levels for HMs. According to the health risk assessment guidelines proposed by the USEPA [31], the effects of HMs on health risks to children and adults in this region were evaluated under two exposure pathways, namely direct ingestion and dermal exposure [24,26]. The average daily intake of HMs under direct ingestion ( A D I i n g ) and dermal exposure ( A D I d e r ) pathways were calculated by the following formula [31]:
A D I i n g = C w × I n g R × E f × E d B W × A T
A D I d e r = C w × S a × K p × E t × E f × E d × 10 3 B W × A T
where A D I i n g and A D I d e r is the average daily dose via ingestion and dermal contact with water (μg kg−1 d−1); C w is the average concentration of HMs in water (μg L−1); I n g R is the ingestion rate (L d−1), 0.64 for children and 2.0 for adults [32]; E f is the exposure frequency (days yr−1), 365 in this study; E d is the exposure duration (yr), 6 for children and 70 for adults [31]; S a is the exposed skin area (cm2), 6600 for children and 18,000 for adults [32]; K p is the dermal permeability coefficient in water (cm h−1), which can be found in Table S2 [33,34]; E t is the exposure time (h d−1), 1.0 for children and 0.58 for adults [32]; B W is the average body weight for the population (kg), 20 for children and 65 for adults [32] and A T is the average time of exposure for non-carcinogens (days), 2190 for children and 25,550 for adults [32].
The non-carcinogenic and carcinogenic risk index, represented by the hazard quotient (HQ) and the hazard index (HI), were calculated by the following formula:
H Q i = A D I i n g i R f D i n g i + A D I d e r i R f D d e r i
R f D d e r = R f D i n g × A B S g
H I = H Q i
where H Q i represent the non-carcinogenic health risk indices for a single HM i under all exposure pathways. R f D i n g i and R f D d e r i are the reference doses for HM i via ingestion and dermal contact for a single HM i, respectively. The values of R f D i n g i and R f D d e r i of individual HM are listed in Table S2. A B S g is the gastrointestinal absorption factor (dimensionless). If HQ or HI > 1, there is a risk of non-carcinogenic health effects due to HMs in surface water. In contrast, HQ or HI < 1 is deemed to be within an acceptable level of risk.

2.6. Statistic Analyses

Prior to statistical analysis, the raw data were tested for normality by using the Shapiro–Wilk test. The parameters exhibiting non-normal distributions were subjected to logarithmic transformation. The p-value from the single-factor analysis of variance (ANOVA) was determined to assess the statistical significance of variations in water HM concentration among seasons. Pearson’s correlation analysis was employed to quantitatively assess the relationships between sediment and water HMs and physicochemical parameters. Principal component analysis (PCA) was used to distinguish the potential sources contributing to the observed distribution patterns of the HMs in the sediment [35]. All statistical analyses were carried out using SPSS 19.0 software (IBM SPSS Inc., Armonk, NY, USA) at a significance level of 0.05.

3. Results and Discussion

3.1. Concentrations and Distribution of HMs in the Huaihe River Water and Sediments

3.1.1. HMs in Water

The concentrations of studied HMs in surface waters of the Huaihe River during the four seasons were shown in Table S3. The concentrations of Cr, Mn, Ni, Cu, Zn, As, Cd, and Pb in the surface water ranged from not detected (ND) to 27.73 μg L−1, ND to 88.92 μg L−1, ND to 4.14 μg L−1, ND to 10.62 μg L−1, ND to 188.12 μg L−1, 1.10 to 6.68 μg L−1, ND to 6.74 μg L−1, and ND to 9.32 μg L−1, respectively, which ranked following the order of Zn (35.0 μg L−1) > Mn (25.64 μg L−1) > Cr (3.48 μg L−1) > As (2.78 μg L−1) > Pb (2.49 μg L−1) > Cu (2.13 μg L−1) > Ni (1.24 μg L−1) > Cd (0.39 μg L−1). The average content of these HMs are within the permissible limits set by the World Health Organization (WHO) for drinking water [36]. However, it is noteworthy that Mn and Cd concentrations exceeded the WHO 2022 drinking water quality standard limit in some sampling sites during autumn and/or winter. In contrast to other rivers in the world (Table S4), the average contents of most studied HMs in the Huaihe River were much lower those found in the Korotoa River in Bangladesh [2], the Mississippi River in USA [37], the Winongo River in Indonesia [38], and Changjiang River and Han River in China [39,40], but much higher those found in the Indian River in USA [41], the Yellow River in China [6], and the Dipsiz River in Turkey [42].
The seasonal changes in Cr, Mn, Ni, Cu, Zn, As, Cd, and Pb are shown in Figure 2. According to the ANOVA analysis, the concentrations of studied HMs except Mn, Cu, and Cd in the Huaihe River presented significant differences between four seasons (p < 0.05). Generally, the concentrations of Cr in winter were significantly higher than that in other seasons (p < 0.01, Figure 2a). By contrast, the concentrations of Zn in autumn were lower than that in the other three seasons (p < 0.01, Figure 2e). The contents of Mn, Cu, and As gradually increased from spring to summer, and then decreased from summer to winter (Figure 2b,d,f). While the contents of Ni, Cd, and Pb firstly decreased from spring to summer, then reached their peak in autumn and subsequently decreased from autumn to winter (Figure 2c,g,h). As shown in Figure 2, the studied HMs with consistent seasonal patterns indicated a constant source. For example, Cu and As concentrations peaked during the summer, likely due to the intensive agricultural activities in the study region [39,43].
The HM concentrations in surface water exhibited spatial fluctuations along the mainstreams of the Huaihe River (Figure 3). The maximum seasonal-average concentrations of Cr, Ni, As, and Cd were detected in the downstream of the Huaihe River, whereas Mn and Pb were predominantly observed in the upstream. The similar distribution was observed notably between Cu and Zn, characterized by insignificant decreasing trends in upstream, marked increasing trends in midstream, and significant decreasing trends in downstream. A strong positive correlation (r = 0.94) was identified between Cu and Zn in the mainstream, indicating a similar geochemical behavior for these two elements.

3.1.2. HMs in Sediment

Total HMs concentrations in the surface sediments of the Huaihe River exhibit substantial variability, with the following ranges observed: 33.7–85.39 μg g−1 for Cr, 680.98–1549.58 μg g−1 for Mn, 13.33 to 37.69 μg g−1 for Ni, 8.41 to 29.36 μg g−1 for Cu, 3.86 to 115.09 μg g−1 for Zn, 5.65 to 14.46 μg g−1 for As, 0.11 to 0.27 μg g−1 for Cd, 0.005 to 0.17 μg g−1 for Hg, and 25.29 to 38.45 μg g−1 for Pb, respectively. The average concentrations of HMs were ranked as Mn > Zn > Cr > Pb > Ni > Cu > As > Cd > Hg. Although the average concentrations of most measured HMs were much lower than the respective background values [44,45] (Table S4), the maximum HM concentrations in some specific sampling sites exceeded these baseline values. This discrepancy suggests the possibility of contamination at those particular sites. Compared with other rivers in the world (Table S4), the average concentrations of most studied HMs in the Huaihe River were much lower than those in the Changjiang River [46], Korotoa River in Bangladesh [2], Odiel River in Spain [47], and Tigris River in Turkey [5]. The average Cr, Mn, Ni, Zn, and As concentrations were much higher those found in the Indian River in USA [41] and Dipsiz stream in Turkey [42].
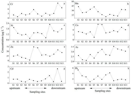
As illustrated in Figure 4, the concentration of all HMs fluctuated from upstream to downstream. Specifically, the concentrations of Cr, Ni, Cu, Zn, As, and Cd increased volatility from upstream to downstream, whereas Pb showed a decreasing trend. The concentration of Mn and Hg peaked in the midstream. Interestingly, the highest concentrations of Hg (0.17 μg g−1), Cd (0.27 μg g−1), and As (14.46 μg g−1) were all recorded at site S9 in the midstream, which was located at Huainan, an industrial city known for coal mining and coal power production. Considering the geographical background and the level of economic development in the regions traversed by the Huaihe River, anthropogenic disturbances from the agricultural and urban areas may account for the spatial distribution of HM concentrations in the sediment along the mainstream.

3.2. Assessment of HM Contamination

3.2.1. Pollution Assessment of HMs in Water

The heavy metal pollution index (HPI) values computed from the eight HMs for all sampling sites during the four seasons were shown in Figure 5a. The highest HPI values were observed at site S1 (29.98) during spring, site S10 (23.91) during summer, site S12 (77.66) during autumn, and site S2 (11.75) during winter, all below the critical threshold index of 100. This indicates that water from the Huaihe River was likely of low risk concerning potential adverse health effects. As depicted in Figure 5b, the majority of stations exhibited heavy metal evaluation index (HEI) values ranging from over one to under 20 during the four seasons, except for site S9 during summer, which showed moderate pollution. Seasonally, the average HEI values in summer and autumn were much higher than those in spring and winter (Figure 5b). This is likely due to the intensive agricultural activities and high precipitation in the study area during summer and autumn, which significantly increases HM input from the basin.

3.2.2. Pollution Assessment of HMs in Sediments

The calculated contamination factor (CF) and pollution load index (PLI) values of HMs in all sediments are presented in Table S5. The mean CF values for HMs followed a descending sequence: Cd (1.49) > Mn (1.47) > Pb (1.44) > Ni (1.16) > Cr (1.09) > As (1.03) > Zn (1.01) > Cu (0.93) > Hg (0.91). HMs such as Cd, Mn, Pb, Ni, Cr, As, and Zn exhibited a moderate degree of contamination (CF ≥ 1) in contrast to Cu and Hg, which showed low contamination levels (CF < 1). Generally, except for Pb, the CF values of most HMs in the downstream sediments were much higher than that from the upstream stations, suggesting that heavier pollution of these HMs occurred in the downstream of the Huaihe River. According to the CF values illustrated in Table S5, Cd, Mn, Ni, and Pb at most sites were classified as being of “moderate contamination” level along the Huaihe River, since the CF values were all above 1. This result indicated that Cd, Mn, Ni, and Pb are the major contributors to the sediment pollution. As shown in Table S5, despite that Hg was categorized as “low contamination” level (CF < 1) based on its average concentrations, an anomalously high CF value was observed at site S9 (CF = 5.12), indicating that significant point source Hg contamination occurred near the city of Huainan.
The PLI can not only enable residents to understand environmental quality, but also provide valuable information for policy makers on the pollution situation in the region [2]. The calculated PLI values, ranging from 0.67 to 1.60 with an average of 1.09 for HMs, indicate a significant level of contamination in the sediments of the Huaihe River (PLI > 1). A highly polluted condition (PLI > 1) was observed at 46% of the sites. Higher PLI values were observed in the sampling sites S6 to S11, which might be due to the effects of urban activities and coal mining. No significant pollution (PLI < 1) was observed in the upstream stations, which was consistent with the results from the individual HM assessments.
Table S5 presents the geo-accumulation factor (Igeo) values of the studied HMs in the Huaihe River sediments; the Igeo values of Cr and Cu at all sites, Hg at all sites except site S9, Zn at all site except site S11, As at all sites except sites S9 and S11, Ni at all sites except sites S10 and S11, Mn at site S1–S6, S9, and S12, Cd at sites S1–S5, S10, S12, and S13, and Pb at sites S1, S3, S4, and S9–S13 were less than zero, suggesting that these sites were not polluted by these HMs. The Igeo class of Hg were “moderately polluted” at site S9. The Igeo values for Cr, Mn, Ni, Zn, As, Cd, and Pb at the remaining sites were below 1, indicating a sediment pollution class of “unpolluted to moderately polluted”. As a whole, the average Igeo values of studied HMs followed the order of Cd > Pb = Mn > Ni > Cr > As > Zn > Cu > Hg.
In the present study, the average EF values of the HMs in sediments followed the order of Cd > Pb > Mn > Ni > Cr > As > Zn > Cu > Hg. Generally, the average EF value for Hg in river sediments was below 1, suggesting that Hg predominantly originated from crustal materials or natural origin. In contrast, the average EF values for the remaining studied HMs were in the range of 1 to 2, indicating a minor enrichment. However, at specific sites, their EF values exceed 2, such as Mn at sites S7 and S8, Cd at S7–S9, and Pb at S1 and S2, indicating a moderate level of enrichment (Figure 6). Interestingly, the EF value for Hg at site S9 is more than 5, which meets the standard of significant enrichment, indicating that Hg pollution was extremely serious at that site. In conclusion, HMs in the Huaihe River may be predominantly derived from anthropogenic activities, with minimal contributions from natural sources.
To evaluate the combined effects of multiple HMs and to interpret HM pollution at specific locations, Nemerow pollution index (NPI) was applied in the present study. Figure 7 presents the results of the NPI calculations at the sampling sites along the Huaihe River. All the calculated NPI values were more than 1, suggesting that a certain degree of HM contamination occurred in surface sediment of the Huaihe River mainstream. The calculated NPI values for most sampling sites were in the range of 1 to 2.5, indicating slight pollution in these sites. The maximum NPI value was detected at site S9 (NPI = 4.05), which was attributed to higher concentrations of As, Cd, and Hg.
After integrating the pollution assessment results from the aforementioned methods, it is concluded that the Huaihe River generally exhibits HM pollution levels ranging from slight to moderate. According to CF, Igeo, and EF data, the studied HMs such as Cd, Mn, Pb, and Ni significantly contributed to the heavy metal pollution in the sediment. Furthermore, PLI and NPI results indicated that the accumulation of HMs in the sediment led to a higher degree of pollution in the midstream area compared to other regions of the Huaihe River. Notably, at site S9, elevated concentrations of Hg, Cd, and As resulted in more severe pollution. These findings suggest that more attention should be paid to the point-source pollution of individual HMs.

3.3. Ecological Risk Assessment of HMs

Figure 8 illustrates the contamination degrees of HMs, and the corresponding ecological risks assessed for the Huaihe River. The average Er values for Cr, Mn, Ni, Cu, Zn, As, and Pb were found to be lower than the minimum threshold values outlined in the environmental guidelines, categorizing these metals as ‘low risk’ across the main stream. This indicates that the ecological threats and contamination from these HMs are unlikely to pose significant concerns for future management strategies and pollution mitigation efforts in the Huaihe River. However, the average Er values for Cd and Hg were recorded at 44.78 and 36.54, respectively, suggesting a substantial threat to the ecological system. The elevated risks attributed to Cd and Hg in the Huaihe River sediments followed a descending order from the midstream to the downstream and then upstream areas. The elevated risk levels linked to Cd and Hg have similarly been identified in the Zijiang River and Lijiang River in China [4,48]. Similarly to Xiao et al. [4] found in the Lijiang River, the higher sediment Mn concentration did not correspond to a significant escalation in ecological risks.
As illustrated in Figure 8, the RI values ranged from 59.99 to 308.45 (mean: 113.94) in the sediments of the Huaihe River. The average RI value exceeded 100, indicating a moderate ecological risk attributed to the HMs detected in the Huaihe River. Based on the classification of RI values, approximately 54% of the locations were categorized as posing a low ecological risk, while 38% were considered to be at a moderate risk level, suggesting potential risks to human health in those regions due to the presence of certain toxic HMs. An additional 8% of the sites were identified as being at the level of considerable risk, with the highest RI of 308.45 recorded at site S9, where Cd and Hg were notably concentrated, indicating a substantial ecological risk. Overall, the ecological risk assessment underscores the necessity for ongoing monitoring of Cd and Hg, along with other low risk HMs, given that fluctuations in hydrological conditions and human activities may lead to increased concentrations of HMs. Moreover, it is recommended that targeted pollution mitigation strategies be employed in regions where Cd and Hg contamination is prevalent.

3.4. Human Health Risk Assessment

The potential health risks posed by surface water to humans were quantified by determining the HM concentrations in the water and evaluating the exposure pathways through which humans may be exposed to these HMs [29,32,39]. Some highly toxic HMs, such as Cr, As, Cd, and Pb, are prioritized in public health assessments, since there is a risk of organ damage even when exposed at the lowest levels [49]. The potential non-carcinogenic health hazards (HQing, HQder and HI) for children and adults during the four seasons are summarized in Table S6. The HQing values of the elements in adults and children varied from 9.34 × 10−4 to 4.97 × 10−1 and 9.78 × 10−4 to 5.17 × 10−1, respectively, indicating that the ingestion exposure levels did not induce any adverse health effects and were not associated with potential non-carcinogenic risks. The HQder values ranged from 9.94 × 10−5 to 6.14 × 10−3 for adults and 9.29 × 10−5 to 4.30 × 10−2 for children, suggesting that the studied HMs posed minimal risks via dermal exposure pathways. In addition, both adults and children have higher HQ and HI values for most studied HMs in summer than in other seasons (Table S6). Overall, the HQing, HQder, and HI values were <1 for both adults and children, indicating that the water of the Huaihe River presented no apparent health risk. However, the non-carcinogenic HQ and HI values for children were higher than those for adults, suggesting that children are more vulnerable to non-carcinogenic health hazards. It is noteworthy that, irrespective of adults and children, As has the highest HQ and HI values among all HMs. This result indicated that the potential health risks of As deserved more attention along the Huaihe River.

3.5. Potential Sources of HMs in the River

3.5.1. Correlation Between HMs

The correlation among HMs can offer valuable insights for determining their common sources [13,50]. Pearson correlation analysis between HMs in the surface water of the Huaihe River was conducted and the results revealed that most of the studied HMs have no significant correlation with each other except for Cu vs. Ni and As (Figure 9a), which revealed that most of the HMs in water originated from multiple sources. Figure 9b illustrates the Pearson correlation coefficients among OC and HMs in the sediments of the Huaihe River. Notably, significant correlations were identified between Cu, Hg, Cd, As, Zn, Ni, and OC, suggesting that the complexation and chelation processes with these HMs could be facilitated by the presence of OC. Concentrations of Cr, Mn, Cu, Ni, Zn, and Cd exhibited significant correlations among each other, suggesting similar origins for these six HMs [51]. As and Hg were strongly and positively correlated with Cr, Ni, Cu, and Zn. Furthermore, positive correlations were observed between Hg and As, as well as Cd. These results imply that there may be a shared origin for these HMs [15]. Conversely, Pb showed no significant correlations with the other HMs, indicating that its pollution source may be distinct from those contributing to the pollution of the other HMs.

3.5.2. PCA

It is recognized that Principal Component Analysis (PCA) can be extensively applied for identifying whether the HMs in sediments originate from anthropogenic or natural sources [4,35]. In the present study, PCA was conducted to identify the contributing factors and potential sources of HMs in the sediments. The Kaiser–Meyer–Olkin (KMO) measure for the sediment was 0.73 and Bartlett’s test of sphericity yielded a significance level (p-value) less than 0.05, suggesting that the data were appropriate for PCA. As shown in Table S7, the PCA outcomes revealed two principal components (PCs) with eigenvalues greater than 1, which together explained about 81.89% of the total variance of the dataset.
Specifically, PC1 accounted for 66.70% of the total variance, with strong positive loadings for Cu (0.974), Zn (0.971), Ni (0.944), Cr (0.938) and As (0.866), which was in agreement with the significant relationship among these HMs discussed previously. It confirmed again that these five HMs probably had similar origin. Previous studies had shown that a slight Cu, Zn, Ni, Cr, and As contamination was present in the sediments of the Huaihe River [25,52]. As shown in Table S4, the average concentrations of Cu, Zn, Ni, Cr, and As in the sediments of this study were not significantly different from the background values of Anhui Province as well as the threshold values in the river system of China. Furthermore, the spatial distribution of CF values in the sediments suggested that these five HMs were not generally contributing to pollution, with the exception of sites S7–S11, which were located in the urban areas of Huainan and Bengbu. Therefore, it could be concluded that these five HM contaminations of several sites in the Huaihe River were generated by industrial production activities and domestic waste. Moreover, the unpolluted status of these HMs at multiple sites likely originated from geogenic sources. In addition, the loading values of Cd, Hg, and Mn on PC1 are 0.768, 0.743, and 0.668, respectively. The average and most single-site concentrations of Cd and Mn in the Huaihe River were much higher than the background values of Anhui Province and the threshold values in the river system of China. Hence, it could be concluded that these two HMs originated from anthropogenic sources, including agricultural activities, industrial production activities and domestic waste. However, the concentrations and Igeo values of Hg at each sampling site indicated that the Hg in sites deemed uncontaminated was of geogenic origin. In contrast, the Hg in the contaminated site S9 was attributed to anthropogenic sources. We found that the power plants were located near the contaminated sampling site S9, indicating that the high Hg loadings originated from coal combustion emitted by these power plants, as flue gases could have been deposited into the contaminated site through atmospheric deposition [53].
Moreover, PC2 comprised 15.20% of the total variance and revealed higher contributions of Pb. A growing body of studies have documented that Pb was derived from lithogenic sources [5,15,35] and anthropogenic sources [4,22,26,54]. However, the concentrations and CF values of Pb in the sediments of the Huaihe River suggested that Pb enrichment results from anthropogenic activities. Similar results were reported previously by Wang et al. [26], who found that anthropogenic Pb contribution for sediment Pb enrichment in the Huaihe River has increased from 1996 to 2014. In the present study, the sampling sites in the Huaihe River were surrounded by agricultural and urban landscapes in the agricultural areas; therefore, the anthropogenic Pb from pesticides and fertilizers application would accumulate in the sediment via runoff. While the anthropogenic source of Pb into the sediment came from automobile exhausts and fly ash from coal-fired power plants in the urban areas.

4. Conclusions and Implications

The present study comprehensively investigated the contamination levels of Cr, Mn, Ni, Cu, Zn, As, Cd, Hg, and Pb in the water column and sediments of the Huaihe River in Anhui Province, eastern China. The analyses tools used included the contamination factor (CF), enrichment factor (EF), pollution load index (PLI), geo-accumulation index (Igeo), and Nemerow pollution index (NPI), potential ecological risk index (RI), hazard quotient (HQ), and the hazard index (HI). The field study showed that the average concentrations of the studied HMs in the water column were below the threshold values according to WHO 2022. However, it is noteworthy that Mn and Cd concentrations exceeded the WHO 2022 drinking water quality standard limits at specific sites and during certain seasons; although the health risks based on concentration levels indicated no non-carcinogenic risks for adults and children concerning the studied HMs. However, the children were more vulnerable to non-carcinogenic health hazards, especially from Cd and As. The spatial distribution as well as seasonal variations in these HMs in water demonstrated that the point source pollution could not be ignored in the Huaihe River basin.
The average contents of the measured HMs in the sediment followed the descending order of Mn > Zn > Cr > Pb > Ni > Cu > As > Cd > Hg; the levels of most HMs were lower than their corresponding background values, among which Mn and Pb exceeded the standards, at 1.47 and 1.44 times the background values, respectively. Moreover, Cd, Mn, and Pb exhibited a comparatively higher pollution index compared to other elements according to CF, EF, and Igeo assessments. The PLI and NPI results revealed that HMs accumulated in the sediment caused a certain degree of pollution, especially in the midstream area. This was similar to the results of the Er and RI values, which indicated a risk ranging from low to moderate, with the moderate risk specifically localized in the midstream area. The Pearson’s correlation matrix and PCA results indicated that HMs in the uncontaminated sediments mainly originated from geogenic sources, whereas those in the contaminated sediments were mostly contributed by anthropogenic activities, including agricultural runoff, industrial waste, and domestic sewage discharge. Given that the midstream of the Huaihe River passes through the downtown areas of Huainan and Bengbu, it can be inferred that the intensive urban activities have led to the higher accumulation of HMs in the region. These findings emphasized the significance of stringent pollutant discharge regulations in mitigating HM contamination within the sediments of the Huaihe River.

Supplementary Materials

The following supporting information can be downloaded at: https://www.mdpi.com/article/10.3390/su17083548/s1, Table S1: Summary of pollution indices for water and sediment in the Huaihe River; Table S2: Parameters of the examined elements used for heavy metal pollution and health risk assessment. R f D i n g i and R f D d e r m i are reference doses of metal i through direct ingestion and dermal contact, respectively. KPi is the dermal permeability coefficient of metal i. ABSi is the gastrointestinal absorption factor; Table S3: Concentrations of HMs in surface water of the Huaihe River during different seasons (μg L−1); Table S4: Concentrations of HMs in surface water (μg L−1) and sediments (μg g−1) of the global rivers; Table S5: Heavy metal contamination factor (CF), geo-accumulation factor (Igeo), and pollution load indices (PLIs) for sediments of all sites studied in the Huaihe River; Table S6: Human health risk evaluation from non-carcinogenic health hazard for HMs of the Huaihe River; Table S7: Loading values of studied HMs from principal component analysis.

Author Contributions

Conceptualization, Y.M., X.S., and J.G.; methodology, J.G., Y.L., and X.S.; software, J.G.; investigation, Y.M., J.G., Z.G., J.L., F.S., C.W., X.L., W.H., and H.W.; data curation, Y.M., Z.G., Z.C., S.Z., Q.H., and X.S.; writing—original draft preparation, Y.M. and J.G.; writing—review and editing, Z.G., C.W., J.L., X.L., Y.L., H.W., Z.C., S.Z., and Q.H.; funding acquisition, Y.M., C.W., and H.W. All authors have read and agreed to the published version of the manuscript.

Funding

This research was funded by the Natural Science Foundation of Universities of Anhui Province for Distinguished Young Project (grant no. 2022AH020081), the National Natural Science Foundation of China (grant no. 41601083), the Anhui Provincial Natural Science Foundation (grant no. 2108085MD126), the Opening Foundation of Anhui Province key Laboratory of Environmental Hormone and Reproduction (Fuyang Normal University) (grant no. FSKFKT012), and the Undergraduate Excellent Graduation Thesis Cultivation Program Project (Anhui Normal University) (grant no. pyjh2022094).

Institutional Review Board Statement

Not applicable.

Informed Consent Statement

Not applicable.

Data Availability Statement

Data available on request due to restrictions.

Conflicts of Interest

Author Xiaocao Sha was employed by the company Nanjing Ark Environmental Development Co., Ltd. The remaining authors declare that the research was conducted in the absence of any commercial or financial relationships that could be construed as a potential conflict of interest.

Abbreviations

The following abbreviations are used in this manuscript:
CFContamination factor
EFEnrichment factor
HEIHeavy metal evaluation index
HPIHeavy metal pollution index
IgeoGeo-accumulation index
NPINemerow pollution index
RIPotential ecological risk index

References

  1. Kaval, P. Integrated Catchment Management and Ecosystem Services: A Twenty-Five Year Overview. Ecosyst. Serv. 2019, 37, 100912. [Google Scholar] [CrossRef]
  2. Islam, M.S.; Ahmed, M.K.; Raknuzzaman, M.; Habibullah-Al-Mamun, M.; Islam, M.K. Heavy Metal Pollution in Surface Water and Sediment: A Preliminary Assessment of an Urban River in a Developing Country. Ecol. Indic. 2015, 48, 282–291. [Google Scholar] [CrossRef]
  3. Kumar, V.; Parihar, R.D.; Sharma, A.; Bakshi, P.; Singh Sidhu, G.P.; Bali, A.S.; Karaouzas, I.; Bhardwaj, R.; Thukral, A.K.; Gyasi-Agyei, Y.; et al. Global Evaluation of Heavy Metal Content in Surface Water Bodies: A Meta-Analysis Using Heavy Metal Pollution Indices and Multivariate Statistical Analyses. Chemosphere 2019, 236, 124364. [Google Scholar] [CrossRef] [PubMed]
  4. Xiao, H.; Shahab, A.; Xi, B.; Chang, Q.; You, S.; Li, J.; Sun, X.; Huang, H.; Li, X. Heavy Metal Pollution, Ecological Risk, Spatial Distribution, and Source Identification in Sediments of the Lijiang River, China. Environ. Pollut. 2021, 269, 116189. [Google Scholar] [CrossRef] [PubMed]
  5. Varol, M. Assessment of Heavy Metal Contamination in Sediments of the Tigris River (Turkey) Using Pollution Indices and Multivariate Statistical Techniques. J. Hazard. Mater. 2011, 195, 355–364. [Google Scholar] [CrossRef]
  6. Xie, F.; Yu, M.; Yuan, Q.; Meng, Y.; Qie, Y.; Shang, Z.; Luan, F.; Zhang, D. Spatial Distribution, Pollution Assessment, and Source Identification of Heavy Metals in the Yellow River. J. Hazard. Mater. 2022, 436, 129309. [Google Scholar] [CrossRef]
  7. Li, H.-S.; Gu, Y.-G.; Liang, R.-Z.; Wang, Y.-S.; Jordan, R.W.; Wang, L.-G.; Jiang, S.-J. Heavy Metals in Riverine/Estuarine Sediments from an Aquaculture Wetland in Metropolitan Areas, China: Characterization, Bioavailability and Probabilistic Ecological Risk. Environ. Pollut. 2023, 324, 121370. [Google Scholar] [CrossRef]
  8. Miranda, L.S.; Wijesiri, B.; Ayoko, G.A.; Egodawatta, P.; Goonetilleke, A. Water-Sediment Interactions and Mobility of Heavy Metals in Aquatic Environments. Water Res. 2021, 202, 117386. [Google Scholar] [CrossRef]
  9. Rezania, S.; Taib, S.M.; Md Din, M.F.; Dahalan, F.A.; Kamyab, H. Comprehensive Review on Phytotechnology: Heavy Metals Removal by Diverse Aquatic Plants Species from Wastewater. J. Hazard. Mater. 2016, 318, 587–599. [Google Scholar] [CrossRef]
  10. Jeong, H.; Byeon, E.; Kim, D.-H.; Maszczyk, P.; Lee, J.-S. Heavy Metals and Metalloid in Aquatic Invertebrates: A Review of Single/Mixed Forms, Combination with Other Pollutants, and Environmental Factors. Mar. Pollut. Bull. 2023, 191, 114959. [Google Scholar] [CrossRef]
  11. Nagajyoti, P.C.; Lee, K.D.; Sreekanth, T.V.M. Heavy Metals, Occurrence and Toxicity for Plants: A Review. Environ. Chem. Lett. 2010, 8, 199–216. [Google Scholar] [CrossRef]
  12. Jahan, S.; Strezov, V. Comparison of Pollution Indices for the Assessment of Heavy Metals in the Sediments of Seaports of NSW, Australia. Mar. Pollut. Bull. 2018, 128, 295–306. [Google Scholar] [CrossRef] [PubMed]
  13. Zhuang, Q.; Li, G.; Liu, Z. Distribution, Source and Pollution Level of Heavy Metals in River Sediments from South China. CATENA 2018, 170, 386–396. [Google Scholar] [CrossRef]
  14. Tian, K.; Wu, Q.; Liu, P.; Hu, W.; Huang, B.; Shi, B.; Zhou, Y.; Kwon, B.-O.; Choi, K.; Ryu, J.; et al. Ecological Risk Assessment of Heavy Metals in Sediments and Water from the Coastal Areas of the Bohai Sea and the Yellow Sea. Environ. Int. 2020, 136, 105512. [Google Scholar] [CrossRef]
  15. Omwene, P.I.; Öncel, M.S.; Çelen, M.; Kobya, M. Heavy Metal Pollution and Spatial Distribution in Surface Sediments of Mustafakemalpaşa Stream Located in the World’s Largest Borate Basin (Turkey). Chemosphere 2018, 208, 782–792. [Google Scholar] [CrossRef]
  16. Zheng, N.; Wang, Q.; Liang, Z.; Zheng, D. Characterization of Heavy Metal Concentrations in the Sediments of Three Freshwater Rivers in Huludao City, Northeast China. Environ. Pollut. 2008, 154, 135–142. [Google Scholar] [CrossRef]
  17. Duodu, G.O.; Goonetilleke, A.; Ayoko, G.A. Comparison of Pollution Indices for the Assessment of Heavy Metal in Brisbane River Sediment. Environ. Pollut. 2016, 219, 1077–1091. [Google Scholar] [CrossRef]
  18. Murray, K.S.; Cauvet, D.; Lybeer, M.; Thomas, J.C. Particle Size and Chemical Control of Heavy Metals in Bed Sediment from the Rouge River, Southeast Michigan. Environ. Sci. Technol. 1999, 33, 987–992. [Google Scholar] [CrossRef]
  19. Wang, J.; Liu, G.; Liu, H.; Lam, P.K.S. Tracking Historical Mobility Behavior and Sources of Lead in the 59-Year Sediment Core from the Huaihe River Using Lead Isotopic Compositions. Chemosphere 2017, 184, 584–593. [Google Scholar] [CrossRef]
  20. Cui, L.; Wang, X.; Li, J.; Gao, X.; Zhang, J.; Liu, Z. Ecological and Health Risk Assessments and Water Quality Criteria of Heavy Metals in the Haihe River. Environ. Pollut. 2021, 290, 117971. [Google Scholar] [CrossRef]
  21. Saravanan, P.; Saravanan, V.; Rajeshkannan, R.; Arnica, G.; Rajasimman, M.; Baskar, G.; Pugazhendhi, A. Comprehensive Review on Toxic Heavy Metals in the Aquatic System: Sources, Identification, Treatment Strategies, and Health Risk Assessment. Environ. Res. 2024, 258, 119440. [Google Scholar] [CrossRef] [PubMed]
  22. Vu, C.T.; Lin, C.; Shern, C.-C.; Yeh, G.; Le, V.G.; Tran, H.T. Contamination, Ecological Risk and Source Apportionment of Heavy Metals in Sediments and Water of a Contaminated River in Taiwan. Ecol. Indic. 2017, 82, 32–42. [Google Scholar] [CrossRef]
  23. Liu, P.; Hu, W.; Tian, K.; Huang, B.; Zhao, Y.; Wang, X.; Zhou, Y.; Shi, B.; Kwon, B.-O.; Choi, K.; et al. Accumulation and Ecological Risk of Heavy Metals in Soils along the Coastal Areas of the Bohai Sea and the Yellow Sea: A Comparative Study of China and South Korea. Environ. Int. 2020, 137, 105519. [Google Scholar] [CrossRef]
  24. Gao, B.; Gao, L.; Gao, J.; Xu, D.; Wang, Q.; Sun, K. Simultaneous Evaluations of Occurrence and Probabilistic Human Health Risk Associated with Trace Elements in Typical Drinking Water Sources from Major River Basins in China. Sci. Total Environ. 2019, 666, 139–146. [Google Scholar] [CrossRef]
  25. Yang, Y.; Jin, Q.; Fang, J.; Liu, F.; Li, A.; Tandon, P.; Shan, A. Spatial Distribution, Ecological Risk Assessment, and Potential Sources of Heavy Metal(Loid)s in Surface Sediments from the Huai River within the Bengbu Section, China. Environ. Sci. Pollut. Res. 2017, 24, 11360–11370. [Google Scholar] [CrossRef] [PubMed]
  26. Wang, J.; Liu, G.; Liu, H.; Lam, P.K.S. Multivariate Statistical Evaluation of Dissolved Trace Elements and a Water Quality Assessment in the Middle Reaches of Huaihe River, Anhui, China. Sci. Total Environ. 2017, 583, 421–431. [Google Scholar] [CrossRef]
  27. Wei, C.; Dong, X.; Yu, D.; Liu, J.; Reta, G.; Zhao, W.; Kuriqi, A.; Su, B. An Alternative to the Grain for Green Program for Soil and Water Conservation in the Upper Huaihe River Basin, China. J. Hydrol. Reg. Stud. 2022, 43, 101180. [Google Scholar] [CrossRef]
  28. Tang, Q.; Liu, G.; Zhou, C.; Sun, R. Distribution of Trace Elements in Feed Coal and Combustion Residues from Two Coal-Fired Power Plants at Huainan, Anhui, China. Fuel 2013, 107, 315–322. [Google Scholar] [CrossRef]
  29. Le, T.V.; Nguyen, B.T. Heavy Metal Pollution in Surface Water Bodies in Provincial Khanh Hoa, Vietnam: Pollution and Human Health Risk Assessment, Source Quantification, and Implications for Sustainable Management and Development. Environ. Pollut. 2024, 343, 123216. [Google Scholar] [CrossRef]
  30. Hakanson, L. An Ecological Risk Index for Aquatic Pollution Control.a Sedimentological Approach. Water Res. 1980, 14, 975–1001. [Google Scholar] [CrossRef]
  31. USEPA. Risk Assessment Guidance for Superfund Volume I: Human Health Evaluation Manual (Part E, Supplemental Guidance for Dermal Risk Assessment) Final; Office of Superfund Remediation and Technology Innovation U.S. Environmental Protection Agency: Washington, DC, USA, 2004.
  32. Xiao, J.; Wang, L.; Deng, L.; Jin, Z. Characteristics, Sources, Water Quality and Health Risk Assessment of Trace Elements in River Water and Well Water in the Chinese Loess Plateau. Sci. Total Environ. 2019, 650, 2004–2012. [Google Scholar] [CrossRef] [PubMed]
  33. De Miguel, E.; Iribarren, I.; Chacón, E.; Ordoñez, A.; Charlesworth, S. Risk-Based Evaluation of the Exposure of Children to Trace Elements in Playgrounds in Madrid (Spain). Chemosphere 2007, 66, 505–513. [Google Scholar] [CrossRef] [PubMed]
  34. Zeng, X.; Liu, Y.; You, S.; Zeng, G.; Tan, X.; Hu, X.; Hu, X.; Huang, L.; Li, F. Spatial Distribution, Health Risk Assessment and Statistical Source Identification of the Trace Elements in Surface Water from the Xiangjiang River, China. Environ. Sci. Pollut. Res. 2015, 22, 9400–9412. [Google Scholar] [CrossRef]
  35. Islam, M.S.; Hossain, M.B.; Matin, A.; Islam Sarker, M.S. Assessment of Heavy Metal Pollution, Distribution and Source Apportionment in the Sediment from Feni River Estuary, Bangladesh. Chemosphere 2018, 202, 25–32. [Google Scholar] [CrossRef] [PubMed]
  36. World Health Organization. Guidelines for Drinking-Water Quality: Incorporating the First and Second Addenda; World Health Organization: Geneva, Switzerland, 2022; ISBN 92-4-004506-6. [Google Scholar]
  37. DeLeon, I.R.; Byrne, C.J.; Peuler, E.A.; Antoine, S.R.; Schaeffer, J.; Murphy, R.C. Trace Organic and Heavy Metal Pollutants in the Mississippi River. Chemosphere 1986, 15, 795–805. [Google Scholar] [CrossRef]
  38. Fadlillah, L.N.; Utami, S.; Rachmawati, A.A.; Jayanto, G.D.; Widyastuti, M. Ecological Risk and Source Identifications of Heavy Metals Contamination in the Water and Surface Sediments from Anthropogenic Impacts of Urban River, Indonesia. Heliyon 2023, 9, e15485. [Google Scholar] [CrossRef]
  39. Li, S.; Zhang, Q. Risk Assessment and Seasonal Variations of Dissolved Trace Elements and Heavy Metals in the Upper Han River, China. J. Hazard. Mater. 2010, 181, 1051–1058. [Google Scholar] [CrossRef]
  40. Wang, L.; Wang, Y.; Xu, C.; An, Z.; Wang, S. Analysis and Evaluation of the Source of Heavy Metals in Water of the River Changjiang. Environ. Monit. Assess. 2011, 173, 301–313. [Google Scholar] [CrossRef]
  41. Trocine, R.P.; Trefry, J.H. Metal Concentrations in Sediment, Water and Clams from the Indian River Lagoon, Florida. Mar. Pollut. Bull. 1996, 32, 754–759. [Google Scholar] [CrossRef]
  42. Demirak, A.; Yilmaz, F.; Levent Tuna, A.; Ozdemir, N. Heavy Metals in Water, Sediment and Tissues of Leuciscus Cephalus from a Stream in Southwestern Turkey. Chemosphere 2006, 63, 1451–1458. [Google Scholar] [CrossRef]
  43. Yu, H.; Lin, M.; Peng, W.; He, C. Seasonal Changes of Heavy Metals and Health Risk Assessment Based on Monte Carlo Simulation in Alternate Water Sources of the Xinbian River in Suzhou City, Huaibei Plain, China. Ecotoxicol. Environ. Saf. 2022, 236, 113445. [Google Scholar] [CrossRef]
  44. Shi, C.Y.; Liang, M.; Feng, B. Average Background Values of 39 Chemical Elements in Stream Sediments of China. Earth Sci. 2016, 41, 234–258. [Google Scholar]
  45. China Environmental Monitoring Station. Background Values of Soil Elements in China; China Environmental Science Press: Beijing, China, 1990. [Google Scholar]
  46. Yang, Z.; Wang, Y.; Shen, Z.; Niu, J.; Tang, Z. Distribution and Speciation of Heavy Metals in Sediments from the Mainstream, Tributaries, and Lakes of the Yangtze River Catchment of Wuhan, China. J. Hazard. Mater. 2009, 166, 1186–1194. [Google Scholar] [CrossRef] [PubMed]
  47. Santos Bermejo, J.C.; Beltrán, R.; Gómez Ariza, J.L. Spatial Variations of Heavy Metals Contamination in Sediments from Odiel River (Southwest Spain). Environ. Int. 2003, 29, 69–77. [Google Scholar] [CrossRef]
  48. Zhang, Z.; Lu, Y.; Li, H.; Tu, Y.; Liu, B.; Yang, Z. Assessment of Heavy Metal Contamination, Distribution and Source Identification in the Sediments from the Zijiang River, China. Sci. Total Environ. 2018, 645, 235–243. [Google Scholar] [CrossRef]
  49. IARC. Personal Habits and Indoor Combustions. IARC Monographs on the Evaluation of Carcinogenic Risks to Humans; International Agency for Research on Cancer: Lyon, France, 2012; Volume 100, pp. 373–501. [Google Scholar]
  50. Aftab, A.; Aziz, R.; Ghaffar, A.; Rafiq, M.T.; Feng, Y.; Saqib, Z.; Rafiq, M.K.; Awan, M.A. Occurrence, Source Identification and Ecological Risk Assessment of Heavy Metals in Water and Sediments of Uchalli Lake—Ramsar Site, Pakistan. Environ. Pollut. 2023, 334, 122117. [Google Scholar] [CrossRef]
  51. El Ouaty, O.; El M’rini, A.; Nachite, D.; Marrocchino, E.; Marin, E.; Rodella, I. Assessment of the Heavy Metal Sources and Concentrations in the Nador Lagoon Sediment, Northeast-Morocco. Ocean Coast. Manag. 2022, 216, 105900. [Google Scholar] [CrossRef]
  52. Wang, J.; Liu, G.; Lu, L.; Liu, H. Metal Distribution and Bioavailability in Surface Sediments from the Huaihe River, Anhui, China. Environ. Monit. Assess. 2015, 188, 3. [Google Scholar] [CrossRef]
  53. Zhang, J.; Liu, G.; Wang, R.; Liu, J. Distribution and Source Apportionment of Polycyclic Aromatic Hydrocarbons in Bank Soils and River Sediments From the Middle Reaches of the Huaihe River, China. CLEAN—Soil Air Water 2015, 43, 1207–1214. [Google Scholar] [CrossRef]
  54. Yi, Y.; Yang, Z.; Zhang, S. Ecological Risk Assessment of Heavy Metals in Sediment and Human Health Risk Assessment of Heavy Metals in Fishes in the Middle and Lower Reaches of the Yangtze River Basin. Environ. Pollut. 2011, 159, 2575–2585. [Google Scholar] [CrossRef]
Figure 1. Location map of sampling sites from the Huaihe River (Anhui section).
Figure 1. Location map of sampling sites from the Huaihe River (Anhui section).
Sustainability 17 03548 g001
Figure 2. The seasonal variations in HMs in the surface water of the Huaihe River. The top and bottom edges of the boxes represent the first and third quartiles. The whiskers, asterisks, and circular dots represent the min–max, median, and average values, respectively. The different capital letters below the boxes within each group mean significant difference at 0.05 level. (ah) are Cr, Mn, Ni, Cu, Zn, As, Cd, and Pb, respectively.
Figure 2. The seasonal variations in HMs in the surface water of the Huaihe River. The top and bottom edges of the boxes represent the first and third quartiles. The whiskers, asterisks, and circular dots represent the min–max, median, and average values, respectively. The different capital letters below the boxes within each group mean significant difference at 0.05 level. (ah) are Cr, Mn, Ni, Cu, Zn, As, Cd, and Pb, respectively.
Sustainability 17 03548 g002
Figure 3. Spatial distribution of HMs in the surface water of the Huaihe River.
Figure 3. Spatial distribution of HMs in the surface water of the Huaihe River.
Sustainability 17 03548 g003
Figure 4. Spatial distribution of HMs in the sediment of the Huaihe River. (ai) are Cr, Mn, Ni, Cu, Zn, As, Cd, Pb, and Hg, respectively.
Figure 4. Spatial distribution of HMs in the sediment of the Huaihe River. (ai) are Cr, Mn, Ni, Cu, Zn, As, Cd, Pb, and Hg, respectively.
Sustainability 17 03548 g004
Figure 5. Seasonal variations in heavy metal pollution index (HPI) (a) and heavy metal evaluation index (HEI) (b) in surface water along the Huaihe River during four seasonal sampling campaigns.
Figure 5. Seasonal variations in heavy metal pollution index (HPI) (a) and heavy metal evaluation index (HEI) (b) in surface water along the Huaihe River during four seasonal sampling campaigns.
Sustainability 17 03548 g005
Figure 6. Enrichment factor (EF) values of studied HMs in surface sediments along the Huaihe River.
Figure 6. Enrichment factor (EF) values of studied HMs in surface sediments along the Huaihe River.
Sustainability 17 03548 g006
Figure 7. Nemerow pollution index (NPI) of the studied HMs in surface sediments along the Huaihe River.
Figure 7. Nemerow pollution index (NPI) of the studied HMs in surface sediments along the Huaihe River.
Sustainability 17 03548 g007
Figure 8. Histogram of the potential ecological risk index (RI) for HMs in the sediments of the Huaihe River.
Figure 8. Histogram of the potential ecological risk index (RI) for HMs in the sediments of the Huaihe River.
Sustainability 17 03548 g008
Figure 9. The correlations between different HMs in water (a) and sediment (b) of the Huaihe River. Note: the dot size reflects the magnitude of the correlation coefficient value, with larger dots indicating higher positive values or lower negative values.
Figure 9. The correlations between different HMs in water (a) and sediment (b) of the Huaihe River. Note: the dot size reflects the magnitude of the correlation coefficient value, with larger dots indicating higher positive values or lower negative values.
Sustainability 17 03548 g009
Disclaimer/Publisher’s Note: The statements, opinions and data contained in all publications are solely those of the individual author(s) and contributor(s) and not of MDPI and/or the editor(s). MDPI and/or the editor(s) disclaim responsibility for any injury to people or property resulting from any ideas, methods, instructions or products referred to in the content.

Share and Cite

MDPI and ACS Style

Miao, Y.; Gu, J.; Gao, Z.; Lyu, J.; Sun, F.; Wu, C.; Liu, X.; Hong, W.; Lin, Y.; Wang, H.; et al. Distribution, Potential Sources, and Risks of Heavy Metal Contamination in the Huaihe River: Insights from Water and Sediment Analysis. Sustainability 2025, 17, 3548. https://doi.org/10.3390/su17083548

AMA Style

Miao Y, Gu J, Gao Z, Lyu J, Sun F, Wu C, Liu X, Hong W, Lin Y, Wang H, et al. Distribution, Potential Sources, and Risks of Heavy Metal Contamination in the Huaihe River: Insights from Water and Sediment Analysis. Sustainability. 2025; 17(8):3548. https://doi.org/10.3390/su17083548

Chicago/Turabian Style

Miao, Yuqing, Jixiang Gu, Zhijie Gao, Jiejie Lyu, Fanghu Sun, Chuansheng Wu, Xun Liu, Weilin Hong, Yuesheng Lin, Hao Wang, and et al. 2025. "Distribution, Potential Sources, and Risks of Heavy Metal Contamination in the Huaihe River: Insights from Water and Sediment Analysis" Sustainability 17, no. 8: 3548. https://doi.org/10.3390/su17083548

APA Style

Miao, Y., Gu, J., Gao, Z., Lyu, J., Sun, F., Wu, C., Liu, X., Hong, W., Lin, Y., Wang, H., Chen, Z., Zhang, S., Hu, Q., & Sha, X. (2025). Distribution, Potential Sources, and Risks of Heavy Metal Contamination in the Huaihe River: Insights from Water and Sediment Analysis. Sustainability, 17(8), 3548. https://doi.org/10.3390/su17083548

Note that from the first issue of 2016, this journal uses article numbers instead of page numbers. See further details here.

Article Metrics

Back to TopTop