Assessing Urban Human Settlement Quality via Ecological Niche-Fitness: A Case Study of Wuhan Metropolitan Area
Abstract
1. Introduction
1.1. Theoretical Foundations and Research Progress in Human Settlement Studies
1.2. Methodological Evolution and the Application of Niche-Fitness Theory in Human Settlement Research
2. Materials and Methods
2.1. Research Framework and Process
2.2. Site Selection and Data Sources
2.2.1. Site Selection
2.2.2. Data Sources
2.3. Construction of an Evaluation Index System for Urban Human Settlement Quality
2.3.1. Selection of Evaluation Indicators
2.3.2. Data Standardization
2.3.3. Determination of Weights
2.4. Evaluation Model for Urban Human Settlement Quality
2.4.1. Confirmation of Optimum Niche-Values
2.4.2. Calculating Niche-Fitness Values for Human Settlement Quality Subsystems
2.4.3. Evaluating Human Settlement Quality Through Comprehensive Niche-Fitness Values
3. Results
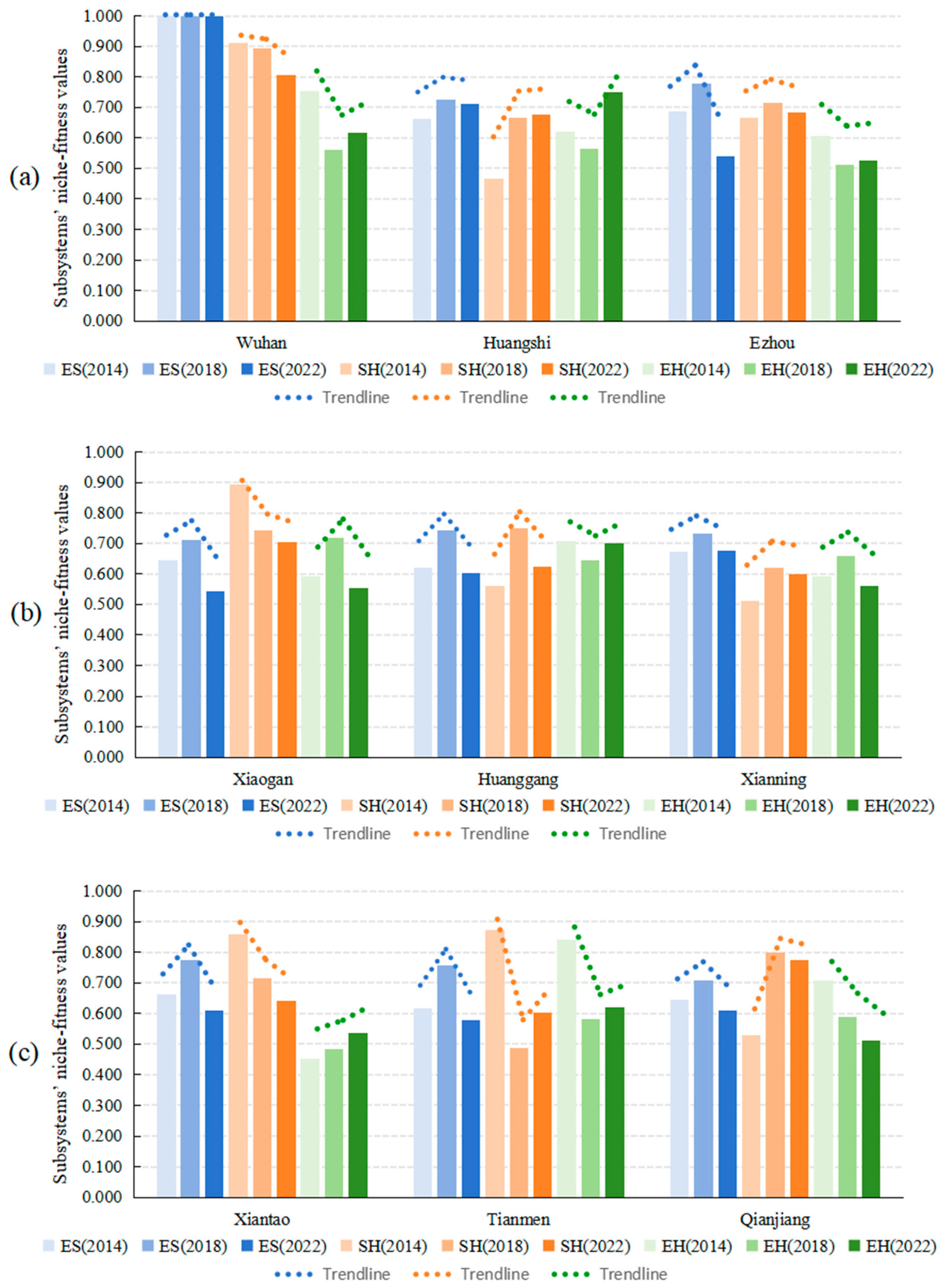
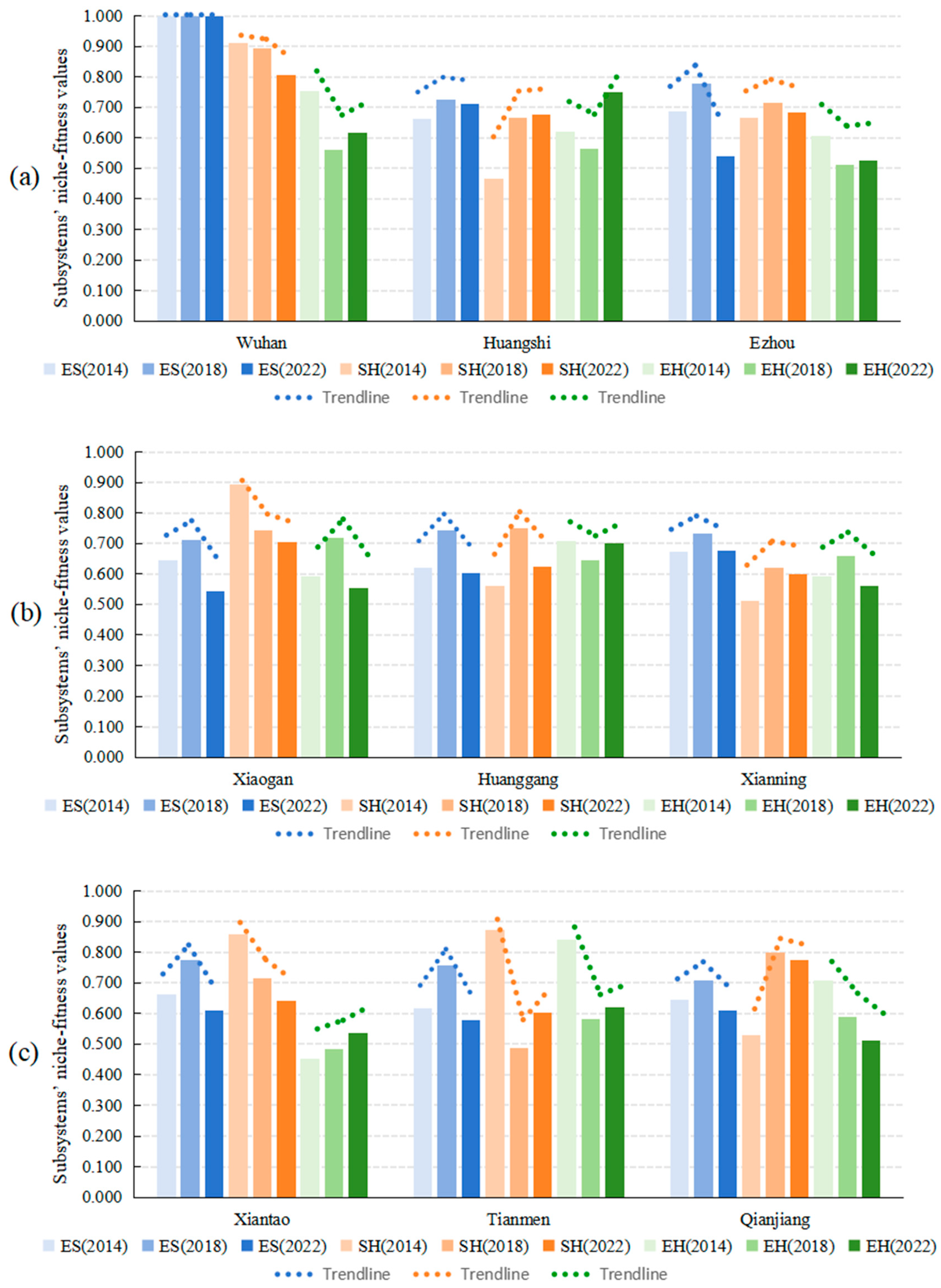
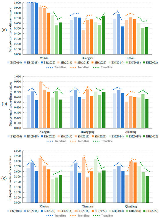
3.1. Niche-Fitness Values and Evolutionary Trajectories of Cities Across Subsystems
3.2. Comprehensive Human Settlement Quality of Cities
4. Discussion
4.1. Integrated Analysis of Subsystem Dynamics and Comprehensive Settlement Quality
4.2. Spatiotemporal Patterns of Human Settlement Quality in the WMA Using GIS
4.3. Policy Implication
4.4. Limitations and Research Prospects
5. Conclusions
Author Contributions
Funding
Data Availability Statement
Acknowledgments
Conflicts of Interest
References
- Limmatola, A.; Botte, M. An Overview of Tools and Methods for the Research Field of Urban Sustainable Development. In International Symposium: New Metropolitan Perspectives; Springer Nature: Cham, Switzerland, 2024; pp. 29–37. [Google Scholar]
- Luo, X.; Luan, W.; Yang, J.; Shi, Z.; Lin, Q.; Liu, Z.; Cao, G. Spatial heterogeneity of human settlements suitability from multidimensional perspectives in 31 provincial capital cities of China. Humanit. Soc. Sci. Commun. 2024, 11, 1562. [Google Scholar] [CrossRef]
- Gao, X.X.; Zhang, X.T.; He, Z. The evolution and practice of urban and human settlements issues: The background and implementation progress of SDG11. Chin. J. Popul. Resour. Environ. 2021, 31, 144–154. (In Chinese) [Google Scholar]
- Jia, P. Transformation of urban park green space management and operation from the perspective of public goods and fiscal sustainability. Landsc. Archit. 2025, 32, 14. (In Chinese) [Google Scholar] [CrossRef]
- Tian, S.; Zhang, Y.; Li, X.; Yang, J.; Li, H.; Cong, X.; Sun, H. Theory and practice, integration and development of human settlements geography. Dili Xuebao/Acta Geogr. Sin. 2024, 79, 2115–2140. [Google Scholar]
- Xu, Z.; Luo, J. Sustainable Urbanization: Unpacking the Link Between Urban Clusters and Environmental Protection. Sustainability 2025, 17, 873. [Google Scholar] [CrossRef]
- Zhao, X. Grasping the practical path of promoting coordinated regional development in the new era. Zhongzhou Acad. J. 2024, 08, 22–30. (In Chinese) [Google Scholar]
- Wang, Y.T.; Wang, X.R.; Dou, Z. Application exploration of urban living environment quality evaluation index system: A practice based on urban physical examination pilot. J. West. China Habitat Stud. 2021, 36, 50–56. (In Chinese) [Google Scholar]
- Doxiadis, C.A. Action for human settlements. Ekistics 1975, 40, 405–448. [Google Scholar]
- Wu, L.Y. Introduction to the Science of Human Settlements; China Architecture & Building Press: Beijing, China, 2001. (In Chinese) [Google Scholar]
- Qu, S.; Jiang, Y.; Gao, J.; Wang, L.; Chen, Q.; Zhang, Y.; Huang, F. Revealing the Coupling Coordination of Social–Ecological System Resilience: Insights From the Southwest Karst Rural Area, China. Land Degrad. Dev. 2025, 36, 1255–1268. [Google Scholar] [CrossRef]
- Chen, J. Temporal-spatial assessment of the vulnerability of human settlements in urban agglomerations in China. Environ. Sci. Pollut. Res. 2023, 30, 3726–3742. [Google Scholar] [CrossRef]
- Lei, Y.; Xiao, Y.; Wang, F.; Wang, R.; Huang, H. Investigation on the complex relationship between urbanization and eco-efficiency in urban agglomeration of China: The case study of Chengdu-Chongqing urban agglomeration. Ecol. Indic. 2024, 159, 111704. [Google Scholar] [CrossRef]
- Cong, X.; Li, X.; Li, S.; Gong, Y. Research on Sustainable Development Ability and Spatial-Temporal Differentiation of Urban Human Settlements in China and Japan Based on SDGs, Taking Dalian and Kobe as Examples. Complexity 2021, 2021, 8876021. [Google Scholar] [CrossRef]
- Zhang, T.; Hu, Q.; Zhou, D.; Gao, W.; Fukuda, H. Ecological carrying capacity evaluation for villages’ spatial planning in rural revitalization strategy in gully regions of the Loess Plateau (China). J. Asian Archit. Build. Eng. 2023, 22, 1746–1762. [Google Scholar] [CrossRef]
- Jin, S.; Zhao, D.; Bao, B. Dynamic evaluation and obstacle factor diagnosis of rural human settlements quality in the Dabie mountains old revolutionary Base area under the background of rural revitalization. Habitat Int. 2025, 156, 103256. [Google Scholar] [CrossRef]
- Li, Y.; Mao, Z.Y.; Ke, W.L. Comprehensive evaluation of the living environment quality in Fuzhou City. J. Huazhong Norm. Univ. (Nat. Sci. Ed.) 2024, 58, 433–442. (In Chinese) [Google Scholar]
- Guo, Y.; Chen, P.; Zhu, Y.; Zhang, H. Study on comprehensive evaluation of human settlements quality in Qinghai Province, China. Ecol. Indic. 2023, 154, 110603. [Google Scholar] [CrossRef]
- Fan, Y.M.; Luo, T.Y.; Li, K.M. Evaluation of rural living environment quality and its spatiotemporal differentiation characteristics in Guangxi counties. Chin. J. Agric. Resour. Reg. Plan. 2023, 44, 167–178. (In Chinese) [Google Scholar]
- Bao, J.; Zhang, Y.; Li, X.; Guo, Q. From survival to self-actualization: Evaluation of urban human settlement quality from the perspective of Maslow’s hierarchy of needs—A case study of Anhui Province. Urban Dev. Stud. 2020, 27, 88–95+140. (In Chinese) [Google Scholar]
- Liang, C.; Li, J.P.; Li, J.J. Evaluation and optimization of the coordination degree between rural living environment quality and economic development in China based on the “three lives” functions. Chin. J. Agric. Resour. Reg. Plan. 2021, 42, 19–30. (In Chinese) [Google Scholar]
- Zhong, Y.; Zha, H.Y.; Wu, Z.P. Evaluation of living environment quality and its spatial differentiation in the Chang-Zhu-Tan city cluster. Res. Soil Water Conserv. 2024, 31, 365–375. (In Chinese) [Google Scholar]
- Bielecka, K. Assessment of quality of living environment based on interdisciplinary research methods—Selected examples. In IOP Conference Series: Materials Science and Engineering; IOP Publishing Ltd.: Bristol, UK, 2019; Volume 471, p. 072035. [Google Scholar]
- Li, X.; Gao, M.; Li, H.; Hou, X.; Tian, S.; Yang, J.; Zhang, X. Spatio-temporal evolution and obstacle diagnosis of human settlements based on the “production-living-ecological” functions. Sci. Rep. 2024, 14, 31022. [Google Scholar] [CrossRef]
- Feng, W.; Lu, H.; Xiang, M. Evaluation of the natural suitability of human settlements in the Western Sichuan Plateau region of China. Sci. Rep. 2025, 15, 1552. [Google Scholar] [CrossRef]
- Xue, Q.-R.; Yang, X.-H. Evaluation of the suitability of human settlement environment in Shanghai city based on fuzzy cluster analysis. Therm. Sci. 2020, 24, 2297–2314. [Google Scholar] [CrossRef]
- Liu, H.; Yang, Q.; Chen, B.; Zhou, L.; Wang, W. Spatial and temporal evolution and influencing factors of human settlement environment quality in Xinjiang, China. Sci. Rep. 2025, 15, 16543. [Google Scholar] [CrossRef]
- Zou, Y.; Rao, Y.; Luo, F.; Yi, C.; Du, P.; Liu, H.; Zhou, Y. Evolution of rural settlements and its influencing mechanism in the farming-pastoral ecotone of Inner Mongolia from a production-living-ecology perspective. Habitat Int. 2024, 151, 103137. [Google Scholar] [CrossRef]
- Sun, Y.; Zhan, H.; Gao, C.; Li, H.; Guo, X. Spatial Syntactic Analysis and Revitalization Strategies for Rural Settlements in Ethnic Minority Areas: A Case Study of Shuanglang Town, China. Buildings 2024, 14, 2531. [Google Scholar] [CrossRef]
- Song, F.; Yang, X.; Wu, F. Suitable pattern of the natural environment of human settlements in the lower reaches of the Yangtze river. Atmosphere 2019, 10, 200. [Google Scholar] [CrossRef]
- Wu, P.; Li, Y.; Guan, C.; Xiao, C. Measurement and spatio-temporal differentiation of human settlement quality in the Chengdu–Chongqing urban agglomeration based on ESDA-GIS. China Soft Sci. 2018, 10, 93–108. (In Chinese) [Google Scholar]
- Li, J.; Gong, J.; Guldmann, J.-M.; Yang, J. Assessment of urban ecological quality and spatial heterogeneity based on remote sensing: A case study of the rapid urbanization of Wuhan City. Remote Sens. 2021, 13, 4440. [Google Scholar] [CrossRef]
- Shen, S.; Ma, Y.; Hu, T. Evaluation of urban human settlement quality based on multi-source data. J. Hum. Settl. West China 2022, 37, 48. (In Chinese) [Google Scholar]
- Zhou, H.; Na, X.; Li, L.; Ning, X.; Bai, Y.; Wu, X.; Zang, S. Suitability evaluation of the rural settlements in a farming-pastoral ecotone area based on machine learning maximum entropy. Ecol. Indic. 2023, 154, 110794. [Google Scholar] [CrossRef]
- Takola, E.; Schielzeth, H. Hutchinson’s ecological niche for individuals. Biol. Philos. 2022, 37, 25. [Google Scholar] [CrossRef]
- Carroll, I.T.; Cardinale, B.J.; Nisbet, R.M. Niche and fitness differences relate the maintenance of diversity to ecosystem function. Ecology 2011, 92, 1157–1165. [Google Scholar] [CrossRef]
- Liu, C.Y.; Zhang, J.F. Land suitability evaluation using niche model for rural settlements in typical county in the upper reaches of Minjiang River. Trans. Chin. Soc. Agric. Eng 2021, 37, 266–273. [Google Scholar]
- Hou, L.; Cui, M. A new insight to investigate the developmental resilience of Chengdu-Chongqing twin-city economic circle based on ecological niche theory. J. Asian Archit. Build. Eng. 2024, 24, 4213–4225. [Google Scholar]
- Xie, X.; Liu, X.; Blanco, C. Evaluating and forecasting the niche fitness of regional innovation ecosystems: A comparative evaluation of different optimized grey models. Technol. Forecast. Soc. Chang. 2023, 191, 122473. [Google Scholar] [CrossRef]
- Ma, Y.; Fang, Y.; Liu, J. Research on the Impact of Digital Innovation Ecosystem Niche Suitability for High-Quality Economic Development. Systems 2025, 13, 352. [Google Scholar] [CrossRef]
- Shi, P.; Lu, Z.; Zhou, M.; Wang, N.; Wu, Y. Niche Suitability Evaluation and Path Selection for the High-Quality Development of Cities in the Yellow River Basin. Int. J. Environ. Res. Public Health 2023, 20, 3727. [Google Scholar] [CrossRef] [PubMed]
- Wang, L.L. Comparative analysis of urban ecological niche suitability—Taking 13 cities in Jiangsu Province as an example. Mod. Urban Res. 2007, 22, 73–80. (In Chinese) [Google Scholar]
- Xu, D.; Sun, T. Research on comprehensive evaluation on effects of synergistic governance on urban environmental pollution based on the evaluation model of niche suitability. Int. J. Environ. Pollut. 2023, 72, 40–55. [Google Scholar] [CrossRef]
- Xiao, J.; Liao, Y.; Hou, R.; Peng, W.; Dan, H. Evaluation and prediction of regional innovation ecosystem from the perspective of ecological niche: Nine cities in Hubei Province, China as the cases. Sustainability 2024, 16, 4489. [Google Scholar] [CrossRef]
- Luo, Y.; Sun, F.; Yan, X.; Sun, T. Research on comprehensive assessment of effect on environmental pollution collaborative treatment: Taking China’s Yangtze River Delta Urban Agglomeration as an example. Pol. J. Environ. Stud. 2022, 31, 5151–5162. [Google Scholar] [CrossRef]
- Yao, Z. Coordinated development practice of urban architectural design and urban and rural planning based on ecological niche theory. Eng. Prog. 2023, 3, 89–92. [Google Scholar] [CrossRef]
- Feng, Y.; Zhen, J. Comprehensive suitability evaluation and spatial optimization of human settlements environment in Inner Mongolia. J. Geo-Inf. Sci 2022, 24, 1204–1217. [Google Scholar]
- Tan, M.J.; Yan, L.J.; Li, H.B. Quantitative evaluation model of urban human settlement quality based on ecological niche suitability and its application. Bull. Sci. Technol. 2007, 23, 439–445. (In Chinese) [Google Scholar]
- Zhao, H.B.; Gu, T.S.; Sun, D.Q.; Miao, C.H. Dynamic evolution and mechanism of human settlement environment in Yellow River Basin cities from the perspective of “San Sheng” functions. Acta Geogr. Sin. 2023, 78, 2973–2999. (In Chinese) [Google Scholar]
- Zhang, Z.; Wei, Z.Q. Research and application of the urban human settlement evaluation system. Ecol. Environ. 2006, 15, 198–201. (In Chinese) [Google Scholar]
- Li, S.; Wei, H.; Ni, X.; Gu, Y.; Li, C. Evaluation of urban human settlement quality in Ningxia based on AHP and the entropy method. Chin. J. Appl. Ecol. 2014, 25, 2700–2708. [Google Scholar]
- Shannon, C.E. A mathematical theory of communication. Bell Syst. Tech. J. 1948, 27, 379–423. [Google Scholar] [CrossRef]
- Qiao, J.J. Application of improved entropy method in Henan sustainable development evaluation. Resour. Sci. 2004, 26, 113–119. (In Chinese) [Google Scholar]
- Sun, X.; Chu, D.; Li, Q.; Shi, Y.; Lu, L.; Bi, A. Dynamic successive assessment of Rural Human Settlements Environment in China. Ecol. Indic. 2023, 157, 111177. [Google Scholar] [CrossRef]
- Lin, S.; Hou, L. SDGs-oriented evaluation of the sustainability of rural human settlement environment in Zhejiang, China. Heliyon 2023, 9, e13492. [Google Scholar] [CrossRef] [PubMed]
- Yin, H.; Zhang, Z.; Wan, Y.; Gao, Z.; Guo, Y.; Xiao, R. Sustainable network analysis and coordinated development simulation of urban agglomerations from multiple perspectives. J. Clean. Prod. 2023, 413, 137378. [Google Scholar] [CrossRef]





| Dimensions (Weight) | Indicators | Unit | Indicator Type | Weight | Optimum Niche-Values |
|---|---|---|---|---|---|
| Economic status (ES) (0.341) | ES1. Per capita GDP | yuan | Positive | 0.122 | 137,772.000 |
| ES2. Per capita retail sales of consumer goods | yuan | Positive | 0.102 | 61,762.476 | |
| ES3. Per capita government revenue | yuan | Positive | 0.336 | 26,173.089 | |
| ES4. Per capita education expenditure | yuan | Positive | 0.092 | 2346.140 | |
| ES5. Per capita households deposits | yuan | Positive | 0.145 | 237,628.553 | |
| ES6. Average wages of staff and workers | yuan | Positive | 0.118 | 129,004.000 | |
| ES7. Per capita disposable income of urban residents | yuan | Positive | 0.085 | 58,449.000 | |
| Social health and development (SH) (0.401) | SH 1. Population density | person/sq.km | Negative | 0.106 | 248.360 |
| SH 2. Number of hospital beds per 10,000 population | unit | Positive | 0.146 | 80.964 | |
| SH 3. Number of doctors per 10,000 population | unit | Positive | 0.066 | 98.898 | |
| SH 4. Coverage rate of telephones | unit/100 persons | Positive | 0.171 | 198.740 | |
| SH 5. Number of mobile telephone subscribers | unit/100 persons | Positive | 0.107 | 159.042 | |
| SH 6. Subscribers of broad band internet | unit/100 persons | Positive | 0.160 | 67.280 | |
| SH 7. Number of civil vehicles | unit/10,000 persons | Positive | 0.242 | 3047.859 | |
| Ecological health (EH) (0.257) | EH1. Park green area per capita | sq.m | Positive | 0.190 | 23.810 |
| EH2. Coverage rate of green area in developed area | % | Positive | 0.136 | 45.730 | |
| EH3. Average annual concentration of air SO2 | μg/m3 | Negative | 0.052 | 0.005 | |
| EH4. Average annual concentration of air NO2 | μg/m3 | Negative | 0.106 | 0.016 | |
| EH5. Average annual concentration of PM10 | μg/m3 | Negative | 0.092 | 0.048 | |
| EH6. Average of urban road traffic noise | decibels | Negative | 0.284 | 63.500 | |
| EH7. Average of urban regional environmental noise | decibels | Negative | 0.141 | 49.900 |
| Year | Niche Fitness Values Fi | Wuhan | Huangshi | Ezhou | Xiaogan | Huanggang | Xianning | Xiantao | Tianmen | Qianjiang |
|---|---|---|---|---|---|---|---|---|---|---|
| 2022 | ES | 1.000 | 0.713 | 0.539 | 0.543 | 0.604 | 0.677 | 0.610 | 0.580 | 0.612 |
| Ranking | (1) | (2) | (9) | (8) | (6) | (3) | (5) | (7) | (4) | |
| SH | 0.807 | 0.675 | 0.684 | 0.705 | 0.623 | 0.599 | 0.642 | 0.602 | 0.773 | |
| Ranking | (1) | (5) | (4) | (3) | (7) | (9) | (6) | (8) | (2) | |
| EH | 0.617 | 0.750 | 0.525 | 0.555 | 0.700 | 0.562 | 0.537 | 0.621 | 0.511 | |
| Ranking | (4) | (1) | (8) | (6) | (2) | (5) | (7) | (3) | (9) | |
| 2018 | ES | 1.000 | 0.726 | 0.779 | 0.712 | 0.742 | 0.733 | 0.773 | 0.757 | 0.708 |
| Ranking | (1) | (7) | (2) | (8) | (5) | (6) | (3) | (4) | (9) | |
| SH | 0.893 | 0.665 | 0.717 | 0.742 | 0.752 | 0.620 | 0.716 | 0.487 | 0.798 | |
| Ranking | (1) | (7) | (5) | (4) | (3) | (8) | (6) | (9) | (2) | |
| EH | 0.561 | 0.564 | 0.512 | 0.719 | 0.644 | 0.659 | 0.485 | 0.583 | 0.588 | |
| Ranking | (7) | (6) | (8) | (1) | (3) | (2) | (9) | (5) | (4) | |
| 2014 | ES | 1.000 | 0.661 | 0.686 | 0.647 | 0.620 | 0.673 | 0.662 | 0.618 | 0.643 |
| Ranking | (1) | (5) | (2) | (6) | (8) | (3) | (4) | (9) | (7) | |
| SH | 0.910 | 0.465 | 0.666 | 0.893 | 0.561 | 0.512 | 0.859 | 0.871 | 0.528 | |
| Ranking | (1) | (9) | (5) | (2) | (6) | (8) | (4) | (3) | (7) | |
| EH | 0.753 | 0.619 | 0.607 | 0.594 | 0.707 | 0.593 | 0.451 | 0.842 | 0.710 | |
| Ranking | (2) | (5) | (6) | (7) | (4) | (8) | (9) | (1) | (3) |
Disclaimer/Publisher’s Note: The statements, opinions and data contained in all publications are solely those of the individual author(s) and contributor(s) and not of MDPI and/or the editor(s). MDPI and/or the editor(s) disclaim responsibility for any injury to people or property resulting from any ideas, methods, instructions or products referred to in the content. |
© 2025 by the authors. Licensee MDPI, Basel, Switzerland. This article is an open access article distributed under the terms and conditions of the Creative Commons Attribution (CC BY) license (https://creativecommons.org/licenses/by/4.0/).
Share and Cite
Peng, W.; Jin, C.; Chen, X.; Wang, X. Assessing Urban Human Settlement Quality via Ecological Niche-Fitness: A Case Study of Wuhan Metropolitan Area. Sustainability 2025, 17, 9578. https://doi.org/10.3390/su17219578
Peng W, Jin C, Chen X, Wang X. Assessing Urban Human Settlement Quality via Ecological Niche-Fitness: A Case Study of Wuhan Metropolitan Area. Sustainability. 2025; 17(21):9578. https://doi.org/10.3390/su17219578
Chicago/Turabian StylePeng, Wenjun, Cancan Jin, Xiaohong Chen, and Xu Wang. 2025. "Assessing Urban Human Settlement Quality via Ecological Niche-Fitness: A Case Study of Wuhan Metropolitan Area" Sustainability 17, no. 21: 9578. https://doi.org/10.3390/su17219578
APA StylePeng, W., Jin, C., Chen, X., & Wang, X. (2025). Assessing Urban Human Settlement Quality via Ecological Niche-Fitness: A Case Study of Wuhan Metropolitan Area. Sustainability, 17(21), 9578. https://doi.org/10.3390/su17219578
