Decoding China’s Transport Decarbonization Pathways: An Interpretable Spatio-Temporal Neural Network Approach with Scenario-Driven Policy Implications
Abstract
1. Introduction
2. Methods
2.1. Carbon Emission Accounting Methods
2.2. LASSO Model
2.3. EWOA-CNN-BiLSTM Model
2.3.1. EWOA
- (1)
- Surrounding prey behavior
- (2)
- Bubble net attack
- (3)
- Stochastic Search
- (1)
- Population initialization
- (2)
- Nonlinear time-varying inertia weights
2.3.2. CNN Model
2.3.3. BiLSTM Model
2.3.4. EWOA-CNN-BiLSTM Model Construction
2.3.5. Evaluation Criteria
2.4. Research Flow
3. Results
3.1. Carbon Emissions Accounting Results
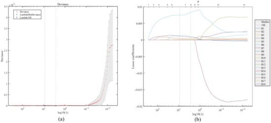
3.2. LASSO Regression Characterization Variable Screening Results
3.3. EWOA-CNN-BiLSTM Neural Network Prediction Models
3.3.1. Data Preprocessing
3.3.2. Projected Results
3.4. Scenario Forecasting
3.4.1. Scenario Setting
- (1)
- TBS: The baseline scenario establishes a reference framework based on the current development trajectory and existing policies. In this scenario, the transportation sector will continue its existing growth trend and be strictly implemented in accordance with the existing planning and policies. Driven by the stable growth of the domestic economy and the steady progress of urbanization, the data of various indicators will develop steadily under normal circumstances.
- (2)
- TGS: Based on the baseline scenario, the implementation of existing development policies is accompanied by increased efforts to implement energy efficiency policies, including the optimization of the transportation environment, the advancement of alternative-energy-powered automobiles and the enhancement of traffic control systems. The green scenario, which emphasizes the qualitative aspects of economic progression and the sustenance of economic expansion, will be slower than in the baseline scenario; however, the energy structure is significantly improved.
- (3)
- LCS: Under the existing plan, carry out low carbonization construction, adjust the structure of the transport industry, vigorously develop new energy vehicles, build highways and public transport systems, and implement transport-demand management policies to significantly reduce carbon emissions. Compared with the green scenario, the low-carbon scenario places greater emphasis on the qualitative dimensions of economic growth while safeguarding economic growth. By optimizing freight transport modes and improving transport efficiency, as well as transforming the energy structure, key indicators such as freight transport volume, freight transport turnover, and gasoline consumption of the transport industry are expected to show a more positive trend of carbon emission reductions, reflecting a more aggressive attitude of the scenario in advancing sustainable development and environmental improvement.
- (4)
- HCS: In light of the severe impact of the COVID-19 pandemic on economic development, the prevailing scenario prioritizes economic growth as its main objective, with a concomitant lack of emphasis on low-carbon environmental protection issues. This scenario is characterized by minimal consideration of the structure and modalities of the transportation sector. Furthermore, growth-oriented approaches are prone to increase the demand for transportation, which in turn will significantly increase carbon emissions, posing a considerable challenge to the pursuit of sustainable development.
- (1)
- GDP of the tertiary sector: Currently, the economic trajectory of China has shifted from a phase of rapid economic growth to a stage characterized by high quality advancement, with the rate of economic growth gradually slowing. The outline highlights that China’s economy has entered a new era of development of the 14th Five-Year Plan, defined by a persistent shift and enhancement in the industrial framework, and a steady increase in the share of the tertiary industry within the economic landscape. According to the State Information Center’s forecast of China’s industrial structure, the proportion of tertiary industry is experiencing a steady ascension, with projections indicating that it will reach approximately 58% by the year 2025, 65% by 2030, and 72% by 2035.
- (2)
- Population: With the aging of the population and changes in fertility concepts, the growth rate of the population in China is expected to maintain a downward trend. The National Population Development Plan (2016–2030) forecasts waning momentum in China’s population growth, with the total population reaching its peak around 2030 and then persistently decreasing.
- (3)
- Passenger turnover: According to the “14th Five-Year Development Plan for Comprehensive Transportation Services”, passenger travel demand is expected to grow steadily. It is projected that from 2021 to 2025, the average annual growth rate of passenger travel will be approximately 4.3%, with increasing shares of high-speed rail, civil aviation, and private car travel. Therefore, it can be inferred that with the continuous economic growth and the rising popularity of private cars, passenger turnover is expected to continue to rise.
- (4)
- Freight: Freight transportations is the foundation that supports social and economic development. The “14th Five-Year Development Plan for Comprehensive Transportation Services” indicates that freight demand is stable with a slight increase. It is projected that from 2021 to 2025, the mean annual growth rate for the total freight volume in society will reach 2.3%, indicating a steady but moderate increase in the transportation of goods during that time frame.
- (5)
- Freight turnover: The outline suggests expediting the evolution of a contemporary, unified transportation network, along with the implementation of supportive policies aimed at enhancing transport efficiency and optimizing the overall transportation infrastructure.
| Year | Scenario | X3 | X6 | X8 | X9 | X11 | X17 |
|---|---|---|---|---|---|---|---|
| 2020–2025 | TBS | 6 | 0.2 | 2 | 3 | 4 | 2 |
| TGS | 5 | 0.15 | 1.5 | 2.5 | 3.5 | 1 | |
| LCS | 4 | 0.1 | 1 | 2 | 3 | −1 | |
| HCS | 7.5 | 0.3 | 3 | 4 | 5 | 3 | |
| 2026–2030 | TBS | 4 | 0.1 | 2.5 | 4.5 | 3.5 | −1 |
| TGS | 3 | 0.05 | 2 | 4 | 3 | −1.2 | |
| LCS | 2 | 0.1 | 1.5 | 3 | 2.5 | −1.5 | |
| HCS | 5.5 | 0.2 | 3.5 | 5 | 4 | 1 | |
| 2031–2035 | TBS | 2 | −0.1 | 3 | 5 | 3 | −3 |
| TGS | 1.8 | −0.15 | 2.5 | 4.5 | 2.5 | −3.2 | |
| LCS | 1.5 | −0.2 | 2 | 4 | 2.2 | −3.5 | |
| HCS | 3.5 | 0.1 | 4 | 6 | 3.5 | −1 | |
| 2036–2040 | TBS | 1.8 | −0.2 | 3.5 | 5.5 | 2.5 | −3.5 |
| TGS | 1.5 | −0.22 | 3 | 5 | 2.2 | −3.8 | |
| LCS | 1.2 | −0.24 | 2.5 | 4.5 | 2 | −4 | |
| HCS | 2.5 | −0.1 | 4.5 | 6.5 | 3 | −2 | |
| 2041–2045 | TBS | 1.5 | −0.22 | 4 | 5.8 | 2.2 | −4 |
| TGS | 1.2 | −0.24 | 3.5 | 5.5 | 1.8 | −4.5 | |
| LCS | 1 | −0.26 | 3 | 5 | 1.6 | −4.8 | |
| HCS | 2 | −0.2 | 5 | 7 | 2.5 | −3 | |
| 2046–2050 | TBS | 1.2 | −0.24 | 4.5 | 6 | 1.8 | −5 |
| TGS | 1 | −0.26 | 4 | 5.8 | 1.6 | −5.5 | |
| LCS | 0.8 | −0.28 | 3.5 | 5.5 | 1.4 | −5.8 | |
| HCS | 1.5 | −0.22 | 5.5 | 7.5 | 2 | −4 |
3.4.2. Situational Analysis
4. Discussion
5. Conclusions and Policy Implications
5.1. Conclusions
- (1)
- TCE grows rapidly between 1990–2019. In the time dimension, TCE is fluctuating and rising, with emissions surging from 104 million tons to 916 million tons. In terms of spatial distribution, China’s carbon emissions show a pattern of high in the east and low in the west, high in the south and low in the north, and the gap is widening year by year.
- (2)
- This study utilizes the improved LASSO regression technique to screen and analyze the critical factors influencing TCE. The findings indicate that the six most significant factors, in descending order, are GDP of the tertiary sector, population, passenger turnover, freight, freight turnover, and transportation gasoline consumption.
- (3)
- Across diverse scenarios, under different circumstances, the time and magnitude of the peak TCE vary. Under TBS and TGS, the peak is expected in 2030–2040, posterior to the national target for the carbon peak. Under HCS, the peak is projected to occur in 2040, with emissions in this scenario substantially exceeding those in other scenarios, posing significant challenges to China’s “dual-carbon” objectives.
- (4)
- Compared with other scenarios, the TCE in the low-carbon emission scenario is significantly lower. TCE is expected to peak in 2030 at 1045 million tons, and by 2050, there will be a negative growth rate relative to 2021, and hopefully carbon neutrality will be achieved by 2060. This scenario is most conducive to the sustainable development of China’s transportation sector. China should formulate low-carbon policies, strengthen the promotion of clean energy, and optimize its transportation structure to facilitate the early realization of dual-carbon goals in the transport sector.
5.2. Policy Implications
- (1)
- Widespread implementation of clean energy and low-carbon technologies. Support the research and development of new energy vehicles (NEVs) and their promotion [37], enhance subsidies and incentives for the purchase of NEVs, and encourage enterprises and consumers to buy and use low-carbon transportation options [38]. Improve the infrastructure for charging stations and battery swapping stations to facilitate the popularization of NEVs. Optimize the public transportation system to enhance its convenience and attractiveness, guiding the public to choose public transportation for commuting.
- (2)
- Strengthening the green construction and intelligent upgrading of transportation infrastructure. In the construction or renovation of transportation infrastructure, adopt green, low-carbon, and environmentally friendly design concepts, and use sustainable building materials such as green concrete to reduce carbon emissions during the construction and operation phases [39]. Promote the use of renewable energy technologies in transportation infrastructure to provide green energy for road lighting and traffic signal systems. Spread the use of intelligent transportation facilities, such as smart traffic signals and intelligent parking lots, to increase the performance of the transportation system while decreasing energy expenditure.
- (3)
- Enhancing carbon emission regulation and incentive measures. Develop targeted carbon emission control policies and establish a comprehensive system for carbon emission monitoring, reporting, and verification to ensure the authenticity and transparency of corporate carbon emission data. Provide tax incentives and financial subsidies for the research, development, and application of low-carbon technologies [40], encouraging enterprises to reduce carbon emissions and achieve sustainable development in the transportation industry.
Author Contributions
Funding
Institutional Review Board Statement
Informed Consent Statement
Data Availability Statement
Conflicts of Interest
References
- Qin, X.; Xu, X.; Yang, Q. Carbon peak prediction and emission reduction pathways of China’s low-carbon pilot cities: A case study of Wuxi city in Jiangsu province. J. Clean. Prod. 2024, 447, 141385. [Google Scholar] [CrossRef]
- Li, F.; Cai, B.; Ye, Z.; Wang, Z.; Zhang, W.; Zhou, P.; Chen, J. Changing patterns and determinants of transportation carbon emissions in Chinese cities. Energy 2019, 174, 562–575. [Google Scholar] [CrossRef]
- Sun, Y.; Yang, Y.; Liu, S.; Li, Q. Research on transportation carbon emission peak prediction and judgment system in China. Sustainability 2023, 15, 14880. [Google Scholar] [CrossRef]
- Wang, X.; Zhou, Y.; Bi, Q.; Cao, Z.; Wang, B. Research on the low-carbon development path and policy options of China’s transportation under the background of dual carbon goals. Front. Environ. Sci. 2022, 10, 905037. [Google Scholar] [CrossRef]
- Bai, C.; Chen, Z.; Wang, D. Transportation carbon emission reduction potential and mitigation strategy in China. Sci. Total Environ. 2023, 873, 162074. [Google Scholar] [CrossRef]
- Zhao, Y.; Duan, X.; Yu, M. Calculating carbon emissions and selecting carbon peak scheme for infrastructure construction in Liaoning Province, China. J. Clean. Prod. 2023, 420, 138396. [Google Scholar] [CrossRef]
- Sun, Y.; Zhang, G. Analysis of the measurement of transportation carbon emissions and the emission reduction path in the Yangtze River economic belt under the background of “dual carbon” goals. Energies 2024, 17, 3364. [Google Scholar] [CrossRef]
- Zhang, P.; Li, S. Driving factors and scenario prediction of carbon emission from transport sector in the Yangtze River Basin of China. Front. Ecol. Evol. 2023, 11, 1283605. [Google Scholar] [CrossRef]
- Luo, X.; Liu, C.; Zhao, H. Driving factors and emission reduction scenarios analysis of CO2 emissions in Guangdong-Hong Kong-Macao Greater Bay Area and surrounding cities based on LMDI and system dynamics. Sci. Total Environ. 2023, 870, 161966. [Google Scholar] [CrossRef]
- Zhang, H.; Kong, X.; Ren, C. Influencing factors and forecast of carbon emissions from transportation-Taking Shandong province as an example. IOP Conf. Ser. Earth Environ. Sci. 2019, 300, 032063. [Google Scholar] [CrossRef]
- Lin, B.; Xie, C. Reduction potential of CO2 emissions in China’s transport industry. Renew. Sustain. Energy Rev. 2014, 33, 689–700. [Google Scholar] [CrossRef]
- Guo, Y.; Hou, Z.; Fang, Y.; Wang, Q.; Huang, L.; Luo, J.; Shi, T.; Sun, W. Forecasting and Scenario Analysis of Carbon Emissions in Key Industries: A Case Study in Henan Province, China. Energies 2023, 16, 7103. [Google Scholar] [CrossRef]
- Li, Y.; Dai, J.; Zhang, S.; Cui, H. Dynamic prediction and driving factors of carbon emission in Beijing, China, under carbon neutrality targets. Atmosphere 2023, 14, 798. [Google Scholar] [CrossRef]
- Janhuaton, T.; Ratanavaraha, V.; Jomnonkwao, S. Forecasting Thailand’s Transportation CO2 Emissions: A Comparison among Artificial Intelligent Models. Forecasting 2024, 6, 462–484. [Google Scholar] [CrossRef]
- Liu, Z.; Han, L.; Liu, M. Spatiotemporal characteristics of carbon emissions in Shaanxi, China, during 2012–2019: A machine learning method with multiple variables. Environ. Sci. Pollut. Res. 2023, 30, 87535–87548. [Google Scholar] [CrossRef] [PubMed]
- Liu, B.; Wang, S.; Liang, X.; Han, Z. Carbon emission reduction prediction of new energy vehicles in China based on GRA-BiLSTM model. Atmos. Pollut. Res. 2023, 14, 101865. [Google Scholar] [CrossRef]
- Huang, H.; Wu, X.; Cheng, X. The prediction of carbon emission information in Yangtze river economic zone by deep learning. Land 2021, 10, 1380. [Google Scholar] [CrossRef]
- Ekaterina, G.; Li, J. Analysis of decarbonization path in New York state and forecasting carbon emissions using different machine learning algorithms. Carbon Neutrality 2024, 3, 8. [Google Scholar] [CrossRef]
- Iftikhar, H.; Khan, M.; Żywiołek, J.; Khan, M.; López-Gonzales, J.L. Modeling and forecasting carbon dioxide emission in Pakistan using a hybrid combination of regression and time series models. Heliyon 2024, 10, e33148. [Google Scholar] [CrossRef]
- Cansiz, O.F.; Unsalan, K.; Unes, F. Prediction of CO2 emission in transportation sector by computational intelligence techniques. Int. J. Glob. Warm. 2022, 27, 271–283. [Google Scholar] [CrossRef]
- Mujeeb, S.; Javaid, N. Deep learning based carbon emissions forecasting and renewable energy’s impact quantification. IET Renew. Power Gener. 2023, 17, 873–884. [Google Scholar] [CrossRef]
- Lu, X.; Ota, K.; Dong, M.; Yu, C.; Jin, H. Predicting transportation carbon emission with urban big data. IEEE Trans. Sustain. Comput. 2017, 2, 333–344. [Google Scholar] [CrossRef]
- Mao, C.; Luo, J.; Jiao, S.; Zhao, B. Logarithmic Mean Divisia Index Analysis and Dynamic Back Propagation Neural Network Prediction of Transport Carbon Emissions in Henan Province. Energies 2025, 18, 1630. [Google Scholar] [CrossRef]
- Sun, Y.; Liu, S.; Li, L. Grey correlation analysis of transportation carbon emissions under the background of carbon peak and carbon neutrality. Energies 2022, 15, 3064. [Google Scholar] [CrossRef]
- Tang, J.; Gong, R.; Wang, H.; Liu, Y. Scenario analysis of transportation carbon emissions in China based on machine learning and deep neural network models. Environ. Res. Lett. 2023, 18, 064018. [Google Scholar] [CrossRef]
- Xing, Z.; Tan, H.; Zhong, W.; Shi, L. CALMS: Constrained Adaptive Lasso with Multi-directional Signals for latent networks reconstruction. Neurocomputing 2025, 630, 129545. [Google Scholar] [CrossRef]
- Duan, L.; Fung, P.L.; Fu, Q.; Chen, J.; Huo, J.; Huang, K.; Wang, G.; Zaidan, M.A.; Guo, Z.; Hussein, T. A robust black carbon prediction model derived from observational datasets in the Yangtze River Delta region, China. Environ. Pollut. 2025, 377, 126361. [Google Scholar] [CrossRef]
- Hu, X.; Bai, R.; Li, C.; Shi, B.; Wang, H. Correlations between an Urban Three-Dimensional Pedestrian Network and Service Industry Layouts Based on Graph Convolutional Neural Networks: A Case Study of Xinjiekou, Nanjing. Land 2024, 13, 1553. [Google Scholar] [CrossRef]
- Faruque, M.O.; Rabby, M.A.J.; Hossain, M.A.; Islam, M.R.; Rashid, M.M.U.; Muyeen, S. A comparative analysis to forecast carbon dioxide emissions. Energy Rep. 2022, 8, 8046–8060. [Google Scholar] [CrossRef]
- Ren, X.; Zhao, B.; Ren, Z.; Xiong, B. Ionospheric TEC Prediction in China during Storm Periods Based on Deep Learning: Mixed CNN-BiLSTM Method. Remote Sens. 2024, 16, 3160. [Google Scholar] [CrossRef]
- Jiang, T.; Zheng, C.; Wang, H.; You, S.; Zhang, H.; Wang, Y.; Sun, J.; Wu, Z.; Zhao, W.; Zheng, J. Evaporation temperature prediction of the refrigerant-direct convective-radiant cooling system based on LSTM neural network. Appl. Therm. Eng. 2025, 258, 124693. [Google Scholar] [CrossRef]
- Wang, C.; Wang, J.; Ma, L.; Jia, M.; Chen, J.; Shao, Z.; Chen, N. Prediction Modeling and Driving Factor Analysis of Spatial Distribution of CO2 Emissions from Urban Land in the Yangtze River Economic Belt, China. Land 2024, 13, 1433. [Google Scholar] [CrossRef]
- Zhang, H.; Li, J.; Yang, H. Cloud computing load prediction method based on CNN-BiLSTM model under low-carbon background. Sci. Rep. 2024, 14, 18004. [Google Scholar] [CrossRef]
- Dib, A.; Balac, M.; Sciarretta, A. Deep learning approach to predict microscopic pollutant emissions from mesoscopic traffic simulations. Transp. Res. Part D Transp. Environ. 2025, 146, 104791. [Google Scholar] [CrossRef]
- Li, C.; Zhang, Z.; Wang, L. Carbon peak forecast and low carbon policy choice of transportation industry in China: Scenario prediction based on STIRPAT model. Environ. Sci. Pollut. Res. 2023, 30, 63250–63271. [Google Scholar] [CrossRef]
- Chen, T.; Wang, M. Deep learning-based carbon emission forecasting and peak carbon pathways in China’s logistics industry. Sustainability 2024, 16, 1826. [Google Scholar] [CrossRef]
- Liu, J.; Luo, Y.; Zhu, Q.; Li, Y.; Luo, Y. Research on carbon emission characteristics and mitigation pathways in the vehicle fuel cycle: A case study of Guangdong province. Atmosphere 2023, 15, 3. [Google Scholar] [CrossRef]
- Zeng, S.; Ji, M.; Huang, X. An empirical study on the impact of tax incentives on the development of new energy vehicles: Case of China. Energy Policy 2025, 198, 114452. [Google Scholar] [CrossRef]
- Xiang, T.; Bian, J.; Li, Y.; Gu, Y.; Wang, Y.; Zhang, Y.; Wang, J. Seasonal Contributions and Influencing Factors of Urban Carbon Emission Intensity: A Case Study of Tianjin, China. Atmosphere 2024, 15, 947. [Google Scholar] [CrossRef]
- Zhao, D.; Zhao, M.; Sun, X.; Zhang, H.; Liu, H.; Wu, J.; Lei, Z.; Li, J.; Qian, B.; Lu, L.; et al. Research on Green and Low-Carbon Development Path of China’s Automotive Industry. Chin. J. Urban Environ. Stud. 2023, 11, 2350004. [Google Scholar] [CrossRef]








| Dimension | Variable | Symbol |
|---|---|---|
| Economic indicators | GDP of the primary sector | X1 |
| GDP of the secondary sector | X2 | |
| GDP of the tertiary sector | X3 | |
| GDP | X4 | |
| Demographic scale | Gross domestic product per capita | X5 |
| Population | X6 | |
| Transport capacity | Passenger traffic | X7 |
| Passenger turnover | X8 | |
| Freight | X9 | |
| Transport turnover | X10 | |
| Freight turnover | X11 | |
| Societal factors | Urbanization rate | X12 |
| Total industrial output value | X13 | |
| Civil vehicle ownership | X14 | |
| Number of transport practitioners | X15 | |
| Energy composition | Transport power balance sheet | X16 |
| Transportation gasoline consumption | X17 | |
| Electricity consumption in the transport industry | X18 |
| Sample | Indicator | EWOA-CNN-BiLSTM | WOA-CNN-BiLSTM | ARIMA | Transformer |
|---|---|---|---|---|---|
| Training set | 0.9993 | 0.9974 | 0.9843 | 0.9728 | |
| MAE | 6.1968 | 10.5805 | 32.9025 | 20.0945 | |
| MAPE | 0.0229 | 0.0369 | 0.1712 | 0.0852 | |
| RMSE | 7.4417 | 13.8307 | 36.5112 | 26.3581 | |
| Testing set | 0.9989 | 0.9939 | 0.9762 | 0.9771 | |
| MAE | 6.594 | 17.8626 | 35.0783 | 21.1504 | |
| MAPE | 0.0216 | 0.1104 | 0.1196 | 0.0286 | |
| RMSE | 8.4962 | 19.9267 | 39.0625 | 25.1076 |
Disclaimer/Publisher’s Note: The statements, opinions and data contained in all publications are solely those of the individual author(s) and contributor(s) and not of MDPI and/or the editor(s). MDPI and/or the editor(s) disclaim responsibility for any injury to people or property resulting from any ideas, methods, instructions or products referred to in the content. |
© 2025 by the authors. Licensee MDPI, Basel, Switzerland. This article is an open access article distributed under the terms and conditions of the Creative Commons Attribution (CC BY) license (https://creativecommons.org/licenses/by/4.0/).
Share and Cite
Sun, Y.; Liu, K.; Li, Q. Decoding China’s Transport Decarbonization Pathways: An Interpretable Spatio-Temporal Neural Network Approach with Scenario-Driven Policy Implications. Sustainability 2025, 17, 7102. https://doi.org/10.3390/su17157102
Sun Y, Liu K, Li Q. Decoding China’s Transport Decarbonization Pathways: An Interpretable Spatio-Temporal Neural Network Approach with Scenario-Driven Policy Implications. Sustainability. 2025; 17(15):7102. https://doi.org/10.3390/su17157102
Chicago/Turabian StyleSun, Yanming, Kaixin Liu, and Qingli Li. 2025. "Decoding China’s Transport Decarbonization Pathways: An Interpretable Spatio-Temporal Neural Network Approach with Scenario-Driven Policy Implications" Sustainability 17, no. 15: 7102. https://doi.org/10.3390/su17157102
APA StyleSun, Y., Liu, K., & Li, Q. (2025). Decoding China’s Transport Decarbonization Pathways: An Interpretable Spatio-Temporal Neural Network Approach with Scenario-Driven Policy Implications. Sustainability, 17(15), 7102. https://doi.org/10.3390/su17157102

