Next Article in Journal
Functional Connectivity in Future Land-Use Change Scenarios as a Tool for Assessing Priority Conservation Areas for Key Bird Species: A Case Study from the Chaco Serrano
Previous Article in Journal
Unseen Threats at Sea: Awareness of Plastic Pellets Pollution Among Maritime Professionals and Students
 
 
Font Type:
Arial Georgia Verdana
Font Size:
Aa Aa Aa
Line Spacing:
Column Width:
Background:
Article

Individual Action or Collaborative Scientific Research Institutions? Agricultural Support from Enterprises from the Perspective of Subsidies

School of Business, Qingdao University, Qingdao 266061, China
*
Author to whom correspondence should be addressed.
Sustainability 2025, 17(15), 6873; https://doi.org/10.3390/su17156873
Submission received: 5 May 2025 / Revised: 8 July 2025 / Accepted: 16 July 2025 / Published: 29 July 2025

Abstract

Under China’s “Rural Revitalisation” strategy, contract farming faces challenges including farmers’ limited access to advanced technologies and high operational risks for agricultural support enterprises. The collaborative involvement of scientific research institutions offers potential solutions but remains underexplored. This study employs Stackelberg game theory to model a contract farming supply chain under two agricultural assistance modes: enterprise-led (EL) and collaborative assistance with scientific research institutions (CI). We further propose two government subsidy mechanisms: subsidies to enterprises and subsidies to scientific research institutions. The models analyze optimal decisions, supply chain performance, and subsidy efficiency, validated through numerical experiments. Key findings reveal the following: (1) The CI mode enhances agricultural output and farmer revenue but may reduce enterprise profits, deterring collaboration. (2) Government subsidies incentivize enterprise–institution collaboration. Subsidizing scientific research institutions typically improves agricultural productivity and economic benefits more effectively than subsidizing enterprises. (3) Synergistic effects exist among the government subsidy coefficient, cost coefficient of technical assistance, consumer preferences for agricultural quality, and profit-sharing ratio. The latter three parameters significantly influence subsidy model selection. This research provides policy insights for enhancing agricultural assistance efficiency and sustainable contract farming development.

1. Introduction

Agriculture is the lifeblood of national development and closely linked to food security, social stability, and rural revitalization [1]. However, traditional agricultural models have limitations such as price volatility in spot markets and frequent natural disasters [2], severely constraining agricultural income increases, farmer welfare enhancement, and sustainable agricultural development. Contract farming has emerged to effectively address the challenges faced in traditional agriculture [3]. In contract farming, farmers commit to producing specific goods according to the quantity and quality standards set by contracting companies, while those companies promise to support farmers’ production and purchase their goods [4]. As a new contractual operating model, contract farming establishes a relatively stable cooperative relationship between farmers and agricultural product enterprises, effectively increasing the output of agricultural products and protecting farmers against market risks [5,6]. Research indicates that after farmers participate in contract farming, their crop production and income increase by 60% and 17%, respectively [7]. Furthermore, contract farming reduces price risks for farmers and provides agricultural companies with a stable long-term supply. For example, Starbucks pays farmers a contract price above the market rate to secure a stable supply of high-quality products, enabling farmers to obtain higher incomes. Furthermore, some forward-thinking companies, such as Wens Foodstuff Group, proactively provide farmers with new seed varieties and livestock breeds based on the original contract farming model, thereby enhancing the quality and yield of agricultural products and providing a more reliable resource base for farmers to achieve their wealth goals [8,9].
However, contract farming faces several complex issues related to economic development. Farmers have limited access to cutting-edge agricultural production technologies, making it difficult for their products to meet the quality standards agricultural support enterprises set. For example, PepsiCo signed contracts with Indian farmers for high-quality potatoes, but owing to outdated farming techniques, they rejected a significant number of substandard potatoes, exacerbating poverty among farmers [10]. Furthermore, agricultural support enterprises require substantial financial investments and face high operational risks, and the average increase in yield from contract farming is often insufficient to offset these high costs [11]. The power imbalance between farmers and companies, coupled with a lack of external regulatory oversight, results in the transfer of ultimate risks from companies to farmers [12]. These issues not only weaken the enthusiasm and initiative of both farmers and agricultural support enterprises to participate in contract farming but also threaten the sustainable development of the contract farming model.
Scientific research institutions and government departments play critical roles in addressing issues such as the lack of technology and funding in contract farming. These institutions provide a wealth of scientific research resources, professional technical personnel, and advanced experimental equipment and facilities [13]. They collaborate with agricultural support enterprises to develop high-quality seeds and offer professional technical guidance to farmers, effectively reducing production costs and improving the yield and quality of agricultural products [14,15]. Farmers, out of their preference for higher-quality production [16], will also be willing to accept assistance from scientific research institutions. Simultaneously, the government can assist farmers by building agricultural production facilities and providing subsidies, thereby offering protection against market risks [10,17]. For example, in 2019, academician Zou Xuexiao from the Chinese Academy of Engineering introduced floating seedling technology and conducted successful factory seedling experiments in the deeply impoverished Huize County of Yunnan, resulting in a production value of 600 million yuan for 160,000 acres of chili peppers. Furthermore, scientific research institutions often enjoy greater consumer trust, and collaboration with these institutions can enhance product reputation. For example, Dr Ling, a beauty brand founded by Ling of the International Eurasian Academy of Sciences, achieved over 100 million yuan in gross merchandise volume (GMV) within just five months. Furthermore, government intervention and support for rural revitalization can drive collaboration between research institutions and agricultural support enterprises, compensating for the expenses these enterprises incur by assisting farmers, thereby reducing operational risks and improving the economic benefits of their participation in contract farming [18]. In turn, this significantly enhances enterprises’ enthusiasm and initiative to engage in contract farming.
The above analysis indicates that agricultural support for enterprises to invest the necessary efforts and reasonable and effective subsidies and technical assistance in government and scientific research institutions is essential to increase agricultural product yields and help farmers enhance their income. This support is crucial to ensure coordinated cooperation along the contract farming supply chain (CFSC), thereby motivating supply chain members to increase their efforts in assisting farmers. Ultimately, this collaborative approach aims to increase production, income, and profitability. During the investigation of agricultural enterprises and farmers, it was found that there is already cooperation between scientific research institutions and enterprises in the current agricultural field. However, the development of this cooperation model is slow. To explore the reasons and promote cooperation, this paper conducts research on this. This study aimed to address the following research questions:
What are the advantages of agricultural support enterprises and scientific research institutions in collaboratively assisting farmers compared to simple enterprises that assist farmers? Why are there currently few instances of enterprises collaborating with scientific research institutions to assist farmers? What are the barriers to establishing collaboration between enterprises and scientific research institutions?
What types of subsidy mechanisms can make agricultural assistance efforts more efficient?
How do external factors such as profit-sharing ratios, different consumer preferences, and technological advancement levels influence the decision making of members within the CFSC?
To address the above questions, this study constructs a CFSC system comprising farmers, a farmer-assisting agricultural product manufacturing enterprise (hereinafter referred to as the ‘enterprise’), and an agricultural research institution (e.g., government scientific research institutions and university scientific research institutions, collectively referred to as ‘scientific research institutions’) using Stackelberg game theory. The model compares the advantages of collaborating with scientific research institutions for agricultural assistance to those of scenarios without their involvement. Accordingly, this study examines the optimal decisions in contract farming under different government subsidy models, conducts a comparative analysis of supply chain performance levels and the efficiency of agricultural assistance subsidies, and investigates the impact of key parameters. This study makes several contributions to the CFSC literature. First, the Stackelberg game model reveals a trade-off: while collaboration with scientific research institutions (CI/CII modes) significantly enhances agricultural output and farmer revenue compared to enterprise-led models (EL), it simultaneously reduces enterprise profits in the absence of subsidies. Enterprises require incentive realignment through profit-sharing mechanisms to offset financial disincentives. Second, the collaborative model’s advantage is contingent on a profit-sharing ratio exceeding critical thresholds. Below these thresholds, the EL mode remains economically dominant for enterprises. Contract designers must establish minimum profit-sharing clauses to ensure mutual viability in partnerships. Third, subsidizing scientific research institutions (CII) consistently outperforms enterprise subsidies (CIE) in boosting agricultural productivity and economic benefits, owing to institutions’ lower technical assistance costs and stronger consumer trust. Fourth, the profit-sharing ratio, cost coefficient of technological assistance, and consumer preferences for agricultural quality are pivotal determinants of CFSC performance, exhibiting significant synergistic effects. Supply chain managers can use these parameters as diagnostic levers to identify feasible collaboration regions and optimize contract terms.
We analyze the relevant literature on the CFSC under government subsidies and the participation of scientific research institutions. Previous literature research is divided into three streams: (1) CFSCs, (2) scientific research institutions assisting farmers, and (3) incentives of government subsidies for agricultural support actions.
Extensive research has been conducted on contract farming, which is typically regarded as a common growth mechanism that offers economic, social, and environmental benefits. Agricultural assistance companies gain access to large areas of arable land, which is conducive to forming economies of scale [19]. With the support of agricultural assistance companies, farmers can increase their crop yields and income. Several studies have taken empirical or case-based approaches to examine the impact of contract farming on both parties [20]. Miyata et al. controlled for certain characteristics using the Heckman selection correction model and found that contract farming can lead to higher profits [21]. Narayanan noted significant differences in the average treatment effects of various contracted commodities under contract farming [22]. Additionally, some researchers have constructed CFSC models to provide better decision making for increasing farmers’ income. Zhong et al. constructed a CFSC model comprising farmers and agricultural enterprises and discussed the effects of demand and yield uncertainty on the equilibrium profits of both farmers and enterprises [23]. Niu et al. constructed two channel structures (including enterprise–farmer and enterprise–cooperative–farmer structures) to assess how each contract type affects the utility of the contracting parties [24]. Liao et al. built a three-tier CFSC model involving a risk-averse farmer [25], risk-neutral supplier, and risk-averse retailer. Extant research indicates that when farmers are risk-neutral, option contracts with or without supplementary cost-sharing agreements can maximize total profits and increase the profits of all members. However, less than 5% of smallholder farmers participate in contract farming programs globally [12,26]. Li et al. found that agricultural output uncertainty owing to crops being susceptible to natural disasters such as adverse weather events [27] raises concerns among farmers about participating in contract farming. Therefore, this study considers the introduction of scientific research institutions into the CFSC to collaborate with agricultural assistance companies, with the aim of providing farmers with professional and technical guidance to effectively improve both the yield and quality of agricultural products.
Scientific research institutions have strong independent research and development capabilities and can easily acquire advanced innovative results with economic support from agricultural assistance enterprises, thus benefiting all members of the supply chain. From a long-term perspective, collaboration between enterprises and scientific research institutions in new technology development can reduce production costs and improve product quality [28]. Recently, several scholars have found that this combination can maintain the overall competitive advantage of the supply chain through innovative vitality. According to Y. Chen [29], in the field of new energy vehicles, this cooperative model can help companies address the increasingly high costs associated with technological innovation. Furthermore, many scholars have discovered that this cooperative model aids national knowledge-intensive industries in achieving technological breakthroughs. For example, Huawei Technologies Co., Ltd. (Shenzhen, China), places great importance on technological innovation and research, with an investment of 164.7 billion RMB in its research and development department in 2023, accounting for 23.4% of its annual sales revenue. Over the past decade, its cumulative investment in research and development has exceeded 1.11 trillion RMB. The Chinese shield tunneling machine industry, centered on equipment integrators, has collaborated with domestic suppliers and scientific research institutions to overcome Western technological blockades and achieve technological catch-up. During the research and development of intelligent autonomous driving technologies, Baidu has actively collaborated with scientific research institutions to achieve breakthrough technological innovations. The above cooperative model not only enables enterprises to gain their own economic benefits but also demonstrably improves the national capacity for technological innovation. However, few scholars have examined the collaborative efforts of agricultural product enterprises and scientific research institutions in achieving agricultural assistance objectives. Agricultural scientists have cultivated higher-yielding and more pest-resistant crop varieties or breeds with faster growth rates and better meat quality using techniques such as hybrid breeding and gene editing [30,31,32]. This process is similar to that of research and development in knowledge-intensive industries. Additionally, precision agriculture utilizes technologies such as network agricultural and cyber-physical systems to improve production efficiency and quality [33], and scientific research institutions can similarly provide assistance. However, the above-mentioned studies mainly analyzed the benefits that would be brought by the participation of scientific research institutions in helping farmers produce. Most of them did not analyze from the perspective of game theory how to promote the assistance of scientific research institutions to farmers. Therefore, we propose introducing collaboration between scientific research institutions and enterprises to advance these efforts.
To enhance social benefits and improve the market environment, the government has employed various measures to regulate supply chains [34]. Zhao and Sun established two profit distribution models within supply chains, one with government subsidies and the other without [35], and found that the government can control profit distribution by adjusting subsidy rates. Zhang et al. [36] explored a hybrid subsidy model that combines output and environmental innovation subsidies to investigate how to achieve optimal coordination within the supply chain. In the context of agricultural supply chains, government subsidies can promote agricultural production, stimulate the stable operation of rural economies, and ensure national food security [37]. G. Wu et al. considered live broadcasting under government subsidies when examining the strategic choices of agricultural product supply chains [38], finding that when the government subsidizes agricultural input suppliers, and these suppliers reach a sharing agreement with farmers, optimal decision making is achieved among members of the agricultural product supply chain. Currently, the forms of government agricultural subsidies are diverse, and the decisions of agricultural supply chain members vary across subsidy schemes. Scholars have examined various subsidy methods, including subsidies based on the cost of production materials, purchase price, quantity of agricultural products, and price loss [39,40]. Fu et al. examined non-subsidy, fixed subsidy [1], and Agricultural Risk Coverage subsidy policies and found that a fixed subsidy policy has low implementation costs and does not require monitoring for moral hazards among farmers. Additionally, Z. Wu and Zhu categorized government subsidy models into those based on production material costs [10], agricultural product purchase prices or quantities, and price loss and studied the optimization strategies for ordering agriculture supply chains under e-commerce assistance for farmers. They found that government subsidies could support farmers in expanding their farms and increase profits for farmers and e-commerce platforms. However, few scholars have studied the collaborative agricultural assistance model of government-subsidized scientific research institutions involved in contract farming. Therefore, we draw on various subsidy methods scholars have proposed and apply them to the CSRI model in this study. We explore how different methods of subsidizing and targeting different beneficiaries affect the decision making and performance of CFSC members. Additionally, we conduct a comparative analysis to determine which subsidy method has a more efficient impact on agricultural assistance activities.
Table 1 summarizes the differences between previous research and this study from multiple perspectives. Contract farming is a crucial approach used by enterprises to assist farmers. Some scholars have recognized the significant potential of government subsidies in supporting agriculture and attempted to study this through normative analysis. However, few scholars have explored the integration of scientific research institutions with enterprises dedicated to assisting farmers. The main contributions of this study are provided below.
The main contributions of this study are as follows. First, we innovatively construct a Stackelberg game model that incorporates the collaborative participation of scientific research institutions and agricultural assistance enterprises in agricultural assistance economic activities. Through solution analysis, the decision-making behaviors and performance levels of the collaboration between agricultural assistance enterprises and scientific research institutions are explored, thereby filling the gap in the theoretical research on their cooperation. Second, this study analyzes the reasons for the limited collaboration between agricultural assistance enterprises and scientific research institutions, exploring the barriers that hinder such collaborative efforts. Studying the optimal decisions for agriculture under different government subsidy models reveals the impact of government subsidy models on agricultural production efficiency and economic benefits, thus providing a reference for policy formulation. Finally, we explore subsidy methods that can improve the efficiency of agricultural assistance activities, and ultimately propose that a reasonable profit-sharing ratio is the key to the success of the collaborative agricultural assistance model. Our findings provide practical theoretical foundations for cooperation between agricultural assistance enterprises and scientific research institutions to promote the coordination and development of ordered agricultural supply chains to increase production, income, and profit.

2. Materials and Methods

2.1. Problem Description

The decision-making process is illustrated in Figure 1. First, the government determines the subsidy recipients and subsidy rate s . Second, the enterprise sets the purchase price w and the level of research and development for processing technology y based on the subsidy. This indicates a contract farming agreement with a farmer stipulating the purchase of all agricultural products produced at harvest time. Additionally, it signs a contract with a scientific research institution, agreeing to share experimental facilities, technology, and data. The scientific research institution is responsible for developing and improving planting techniques, assisting farmers in product cultivation, and providing free seeds and technical support, while the enterprise also engages in profit-sharing with the scientific research institution. Finally, the scientific research institution determines its level of technical assistance effort x , and the farmer decides the production quantity Q . Scientific research institutions actively participate in production processes. At harvest time, the enterprise purchases all agricultural products, processes them, and sells them and sideline products to consumers at price P . After sales are complete, profits are shared with the scientific research institution. Consumers exhibit a certain preference for the quality of agricultural assistance θ and the quality of processing technology μ , demonstrating a greater willingness to purchase higher-quality products involved in agricultural assistance.
Table 2 lists the symbols used in the model. Additionally, the subscripts F , C , and I represent the farmer, enterprise, and scientific research institution, respectively. The superscripts M , U , C , and I represent the modes of enterprise-led assistance without subsidies (EL), collaborative assistance with the scientific research institution without subsidies (CI), collaborative assistance with the scientific research institution with government subsidies to the enterprise (CIE), and collaborative assistance with the scientific research institution with government subsidies to the scientific research institution (CII), respectively.

2.2. Assumptions

The basic assumptions of this study are outlined below.
Assumption 1.
Assuming the level of technical assistance effort is represented by  x , we characterize the cost of technical assistance using the approach of Ni et al. to depict the costs associated with enterprise poverty alleviation [45]. We denote the technical assistance cost as  C x = k x 2 / 2 , where  k 0 < k < 1  is the cost coefficient for technical assistance satisfying the conditions  C 0 = 0  and  C x > 0 . (Experts from the Chinese Academy of Agricultural Sciences provided technical guidance to farmers in Quzhou County, Hebei Province, on soil testing and formula fertilization, as well as green prevention and the control of pests and diseases. With the in-depth promotion of these technologies, the marginal cost has risen significantly.) Furthermore, assuming that the level of research and development for processing technology is represented by  y , the costs of processing technology research and development can be expressed as  C y = y 2 / 2 , which satisfies the following conditions:  C 0 = 0  and  C y > 0 .
Assumption 2.
Farmers’ production costs generally include input costs (e.g., seeds, pesticides, fertilizers, machinery operations, and irrigation expenses) and effort costs (e.g., time and energy expended). Production cost  C Q  is a strict increasing function of production output  Q . Let  C Q = C 0 Q + Q 2 / 2  denote this assumption, and  C 0 = 0 . This simplification has a negligible impact on the results and has advantages, such as diminishing returns to scale and processing, which many scholars have adopted, including Nasiri and Zaccour [46].
Assumption 3.
Assumingthat the price  P  of agricultural and sideline products is a linear function of the purchase quantity of the enterprise, we refer to Xiong, who posits that the decision variable is the sales volume and employs the inverse demand function to analyze a game theory problem [47]. The price is standardized to 1, denoted as  P = 1 Q . We further assume that the market size is 1, indicating that if the price of agricultural products exceeds 1, then consumers will be unwilling to purchase these products. Wong demonstrated that corporate social responsibility (including poverty alleviation and agricultural assistance) positively influences consumer purchase intentions [48]. For instance, the price of Zespri kiwifruit from New Zealand is much higher than that of ordinary kiwifruit. Consumers clearly pay a higher price for the technology, quality, and consistency represented by the brand. Therefore, we denote the price of agricultural and sideline products as  P = 1 Q + θ x + μ y , where  θ θ > 0  represents consumer preference for the quality of agricultural assistance and  μ μ > 0  represents consumer preference for processing quality.
Assumption 4.
In general, the technological research and development levels of scientific research institutions are higher, which can more effectively reduce production costs [27]. Therefore, we assume a coefficient kU < kM for the cost coefficient for technical assistance, where kU represents the cost coefficient for technical assistance provided by the scientific research institution and kM represents the cost coefficient for technical assistance provided by the enterprise. Fraccascia et al. noted that a higher technological level and greater brand trustworthiness of a scientific research institution lead consumers to have a higher recognition of the products developed and produced by that institution [49]. Jiangnan university, for example, has a reputation in the field of food science, with the development of food ingredients or products more easily accepted by the market. Hence, we introduce  θ U > θ M , where  θ U denotes consumers’ preference for the quality of agricultural assistance provided by the scientific research institution, and  θ M denotes consumer preference for the quality of the agricultural assistance the enterprise provides. Whether the enterprise or scientific research institution provides technical assistance, they both adopt methods such as offering free land preparation, providing high-quality seedlings, and delivering technical services to help farmers produce higher-quality agricultural products.
Assumption 5.
When an enterprise processes and manufactures agricultural and sideline products, the unit manufacturing cost is denoted as  c 0 < c < 1  . During the research and development of processing technology for agricultural products, consumer preference for the quality of processing technology simultaneously increases the value of these products and reduces the unit manufacturing cost. The total cost reduction is proportional to the quantity of agricultural products purchased. Drawing on the method of Zhou to characterize the poverty alleviation effect coefficient, we assume that the total cost reduction is  φ y Q , where  φ φ > 0  represents the coefficient for the decrease in the unit manufacturing costs of agricultural products. We refer to this as the processing technology research and development conversion coefficient.
Assumption 6.
Referring to the cooperation between Bayer Crop Science and the world’s top universities and research institutions, Bayer provides funds, market data, and some experimental facilities, and research institutions provide professional talents, basic research achievements, and experimental sites. Both parties clearly stipulate the profit-sharing ratio of future commercial products through the license agreement. We denote the profit-sharing ratio as  λ 0 < λ < 1 c . Scholars have widely studied and adopted this cooperative profit-sharing model [50].
Assumption 7.
To ensure that the acquisition price  w  and production output  Q remain positive under equilibrium conditions, we assume  k M > θ M 2 2 + μ + φ 2 μ φ  and  k U > 2 θ U 2 λ 1 λ 2 + μ + φ 2 μ φ λ 2 μ 2 2 λ 1 μ 2 μ φ , positing that the cost of providing assistance to farmers is not low. This assumption aligns with practical realities, as the costs associated with agricultural assistance are often substantial, which is the primary reason why enterprises are reluctant to engage in such initiatives proactively. Although providing assistance can enhance product demand and output, as well as improve an enterprise’s reputation, the high costs of assistance may adversely affect its profitability. Consequently, enterprises must engage in careful trade-offs.

2.3. Statistical Analysis

We conducted numerical simulations using MATLAB R2021a to validate theoretical findings. The outcomes of the numerical analysis depend on the values of each parameter. Therefore, baseline values must be established for certain parameters to effectively demonstrate the influence of these key parameters while maintaining generality. Referring to the research on the impact of government subsidies on agricultural production by Zhang et al. (2021) [36], and combined with the description of the cost characteristics of technical assistance in the model assumptions (such as increasing marginal cost), the benchmark value of the cost coefficient of technical assistance is set to k M = 0.2 ,   k U = 0.05 . Considering the cost of processing technology research and development and the actual situation of the food processing industry, the benchmark value of the conversion coefficient for processing technology research and development is set to φ = 0.05 . The preference coefficient of consumers for the aid quality and processing quality of agricultural products reflects the market’s recognition of product quality and social responsibility. Referring to the relevant research on the brand premium of agricultural products (such as Zespri kiwifruit), the benchmark value is set to μ = 0.04 ,   θ M = 0.2 ,   θ U = 0.4 . The unit manufacturing cost coefficient is set as a benchmark value based on the average level of the agricultural product processing industry c = 0.01 .

3. Results

3.1. Mode of Enterprise-Led Assistance Without Subsidies (EL)

This section discusses the EL scenario. Just as Wens provides farmers with seedlings, feed, vaccines, and technical guidance uniformly, farmers raise their animals in accordance with standards. In this context, the enterprise offers technical assistance to the farmer, with consumer preference for the quality of agricultural assistance denoted as θ M and the cost coefficient for technical assistance represented as k M . The optimal decisions of supply chain members can be derived using an inverse deduction method (Figure 2).
According to the assumptions, the profit functions for the farmer and enterprise are as follows:
π F M Q M = w M Q M 1 2 Q M 2
π C M w M , x M = P M w M c Q M + φ y M Q M 1 2 k M x M 2 1 2 y M 2
Proposition 1.
By employing backward induction, the optimal decisions of supply chain members can be determined as follows:
Q M * = 1 c k M 2 + μ + φ 2 μ φ k M θ M 2
w M * = 1 c k M 2 + μ + φ 2 μ φ k M θ M 2
x M * = 1 c θ M 2 + μ + φ 2 μ φ k M θ M 2
y M * = 1 c μ + φ k M 2 + μ + φ 2 μ φ k M θ M 2
At this point, the market prices and profits of supply chain members are as follows:
P M * = 3 + c φ 2 μ c + 1 φ c μ 2 k M θ M 2 c 2 + μ + φ 2 μ φ k M θ M 2
π F M * = 1 c 2 k M 2 2 μ + φ + 2 μ + φ 2 k 1 + θ M 2 2
π C M * = 1 c 2 k M 2 + μ + φ 2 μ + φ k 1 θ M 2
Proposition 1 presents the optimal decisions and profits for the farmer and enterprise in the EL mode and the corresponding market price. Further analysis of the impact trends of the relevant parameters on supply chain members’ decisions under the enterprise-led assistance mode without subsidies yields the following results.
Theorem 1.
Table 3 shows the following:
(1) Impact of Consumer Preferences on the Supply Chain: In the EL model, consumer preferences for agricultural and processing quality directly influence the economic returns of both farmers and enterprises. As consumers increasingly support socially responsible companies and are willing to pay higher prices for high-quality agricultural products, enterprises are incentivized to raise their purchase prices for farmers. This shift in market demand not only enhances farmers’ production motivation, encouraging them to expand their cultivated areas and increase yields, but also boosts enterprises’ overall profits. This phenomenon can be validated in reality through the corporate image enhancing member customer trust, thus promoting consumer willingness to purchase and co-developing behavior [51].
(2) Bilateral Promotion of Agricultural Assistance and Processing Technology Development: Enterprise investments in enhancing both agricultural support efforts and processing technology research and development can create a positive feedback mechanism. By improving technological capabilities and reducing production costs, enterprises can achieve higher profits, a portion of which farmers can reinvest by increasing purchasing prices and technical support. For example, the Wens Foodstuff Group is committed to providing comprehensive services and relevant technical training to farmers.
(3) Strategic Choices for Cost Reduction and Efficiency Improvement: An increase in the conversion coefficient of processing technology research and development indicates that an enterprise can lower production costs through technological innovation, thereby enhancing its profit margins. In this context, enterprises are more inclined to allocate cost savings towards support for farmers, such as raising wholesale prices and enhancing agricultural assistance efforts. This strategy has been corroborated in practice. For example, by the end of 2020, the Wens Company had cumulatively received eight national-level science and technology awards and 63 provincial and ministerial-level science and technology awards, as well as developed ten new livestock and poultry breeds (including two pig breeds, seven chicken breeds, and one duck breed). This not only improved product quality but also reduced production costs, achieving common profits.
(4) Vicious Cycle of Cost Pressure: As the cost coefficient of agricultural assistance increases for an enterprise, its willingness and capacity to provide technical support decline, leading to rising production costs for farmers, decreased production output, and deteriorating product quality. This, in turn, reduces consumer purchasing desire, causing market demand to contract, which ultimately causes a simultaneous decline in profits for both the enterprise and farmers, creating a vicious cycle that threatens the sustainable development of the agricultural supply chain.

3.2. Mode of Collaborative Assistance from Scientific Research Institutions Without Subsidies (CI)

This section discusses the scenario of CI, which includes the high-yielding rice varieties of the Hunan hybrid rice research center (research institution), and Longping Hi-Tech is responsible for the promotion and marketing business by selling to the feedback team. In this context, the scientific research institution provides technical assistance to farmers, with consumer preferences for agricultural quality assistance denoted as θ U and the cost coefficient for technical assistance denoted as k U (Figure 3).
Based on the assumptions, the profit functions for the farmer, scientific research institution, and enterprise are as follows:
π F U = w U Q U 1 2 Q U 2
π I U = λ P U Q U 1 2 k U x U 2
π C U = P U w U c Q U + φ y U Q U 1 2 y U 2 λ P U Q U
Proposition 2.
By employing backward induction, supply chain members’ optimal decisions can be determined as follows:
Q U * = 1 c λ k U 2 + μ + φ 2 μ φ μ 2 λ 2 2 λ 1 μ 2 μ φ k U 2 θ U 2 λ 1 λ
w U * = 1 c λ k U 2 + μ + φ 2 μ φ μ 2 λ 2 2 λ 1 μ 2 μ φ k U 2 θ U 2 λ 1 λ
x U * = 1 c λ λ θ U 2 + μ + φ 2 μ φ μ 2 λ 2 2 λ 1 μ 2 μ φ k U 2 θ U 2 λ 1 λ
y U * = 1 c λ μ + φ λ μ k U 2 + μ + φ 2 μ φ μ 2 λ 2 2 λ 1 μ 2 μ φ k U 2 θ U 2 λ 1 λ
At this point, the market prices and profits of supply chain members are as follows:
P U * = 1 c λ θ U 2 λ + c + 3 1 c μ 2 μ φ λ c μ 2 φ c + 1 μ φ 2 k U 2 + μ + φ 2 μ φ μ 2 λ 2 2 λ 1 μ 2 μ φ k U 2 θ U 2 λ 1 λ
π F U * = k U 2 1 c λ 2 2 2 + μ + φ 2 μ φ μ 2 λ 2 2 λ 1 μ 2 μ φ k U 2 θ U 2 λ 1 λ 2
π I U * = 1 λ c λ k U 3 + c φ 2 + θ 2 λ 3 + c 3 λ + 2 k U 1 c μ 2 μ φ λ + c μ 2 + φ c + 1 μ 2 2 + μ + φ 2 μ φ μ 2 λ 2 2 λ 1 μ 2 μ φ k U 2 θ U 2 λ 1 λ 2
π C U * = k U 1 c λ 2 2 k U 2 + μ + φ 2 μ φ 2 2 μ 2 2 μ φ λ μ 2 λ 2 4 θ U 2 λ 1 λ
Proposition 2 presents the optimal decisions and profits for the farmer, scientific research institution, and enterprise under the CI mode, as well as the corresponding market price. Further analysis of the impact trends of the relevant parameters on the decisions of supply chain members under the CI mode yields the following results:
Theorem 2.
As shown in Table 4, as  λ  increases, the wholesale prices set by the enterprise, level of technical assistance efforts by the scientific research institution, and research and development level of processing technology by the enterprise will initially rise. However, when  λ  becomes excessively high, these indicators will begin to decrease. Concurrently, these factors will influence the farmer’s production output, which will initially increase, but then potentially experience negative effects owing to reduced investments from enterprises and scientific research institutions. The profits of supply chain members are also affected. The farmer’s profits will initially increase before subsequently decreasing, whereas scientific research institutions’ profits will exhibit a similar trend. The profits of the enterprise will begin to decline after reaching a critical point, for instance, the hybrid rice cooperation between Yuan Longping’s team and Longping Hi-Tech. In 2018, due to disputes over the patent sharing of varieties, Longping Hi-Tech reduced the construction funds for demonstration fields by 30%, resulting in delays in the promotion of new varieties and an 8% decrease in the annual income of cooperative farmers. These results indicate that  λ  significantly affects the performance of the CFSC and its members’ profits, highlighting the need to identify an appropriate profit-sharing ratio to achieve collaborative development within the supply chain.

3.3. Mode of Collaborative Assistance from Scientific Research Institutions with Government Subsidies

In practice, the government provides financial subsidies for agricultural assistance projects undertaken by enterprises. At this point, the government will have two options: subsidizing enterprises or subsidizing research institutions. Subsidized enterprises include Mengniu Dairy and the university cooperation “cow golden key” project. The government subsidizes Mengniu through the agricultural industrialization fund, and enterprises, in collaboration with institutions such as China Agricultural University, provide technical training for dairy farmers. Subsidizing research institutions: For instance, the government provides special funds to the Academy of Agricultural Sciences (such as the Rural Revitalization Fund), and researchers go to the countryside to guide farmers (such as the floating seedling technology of Yunnan peppers). Research institutions cooperate with enterprises (such as seed companies) to promote technologies, and enterprises pay a portion of the share. In the context of subsidies, drawing on the characterization of government subsidies in Peng’s study [17], we represent the subsidy provided to an enterprise as S C = s C Q I and that provided to a scientific research institution as S I = s I x I , where s denotes the government subsidy coefficient.

3.3.1. Mode of Collaborative Assistance from Scientific Research Institutions with Government Subsidies to the Enterprise (CIE)

This section discusses the CIE scenario.
Based on the assumptions, the profit functions for the farmer, scientific research institution, and enterprise are described as follows:
π F C = w C Q C 1 2 Q C 2
π I C = λ P C Q C 1 2 k U x C 2
π C C = P C w C c Q C + φ y C Q C 1 2 y C 2 λ P C Q C + s C Q C
Proposition 3.
Using backward induction, the optimal decisions of supply chain members can be determined as follows:
Q C * = k U 1 c λ + s C μ + φ + 2 2 μ φ μ 2 λ 2 2 2 μ 2 2 μ φ λ k U 2 θ U 2 λ 1 λ
w C * = k U 1 c λ + s C μ + φ + 2 2 μ φ μ 2 λ 2 2 2 μ 2 2 μ φ λ k U 2 θ U 2 λ 1 λ
x C * = λ θ U 1 c λ + s C μ + φ + 2 2 μ φ μ 2 λ 2 2 2 μ 2 2 μ φ λ k U 2 θ U 2 λ 1 λ
y C * = k U 1 c + s C λ μ λ μ + φ μ + φ + 2 2 μ φ μ 2 λ 2 2 2 μ 2 2 μ φ λ k U 2 θ U 2 λ 1 λ
At this point, the market prices and profits of supply chain members are as follows:
P C * = 1 + s C c μ 2 μ φ λ + c s C μ 2 + φ 1 + c s C μ 3 + φ 2 c + s C k U + θ U 2 λ 1 + c s C λ μ 2 λ 2 + 2 2 μ 2 2 μ φ λ + μ + φ + 2 μ + φ 2 k U 2 θ U 2 λ λ 1
π F C * = k U 2 1 c λ + s C 2 2 μ 2 λ 2 + 2 2 μ 2 2 μ φ λ + μ + φ + 2 μ + φ 2 k U + 2 θ U 2 λ 1 λ 2
π I C * = 1 c + s C λ k U λ 2 k U c s C μ 2 + μ φ 1 λ + s C c μ 2 φ c s C + 1 μ φ 2 + c s C + 3 θ U 2 λ 3 + c s C 3 λ μ 2 λ 2 + 2 2 μ 2 2 μ φ λ + μ + φ + 2 μ + φ 2 k U + 2 θ U 2 λ 1 λ 2
π C C * = k U 1 λ c + s C 2 2 μ + φ + 2 2 μ φ 2 μ 2 λ 2 4 4 μ 2 4 μ φ λ k U 4 θ U 2 λ 1 λ
Proposition 3 presents the optimal decisions and profits for the farmer, research institution, and enterprise under the CIE mode, as well as the corresponding market price. Further analysis of the impact trends of the relevant parameters on the decisions of supply chain members under the CIE mode yields the following:
Theorem 3.
Table 5 shows that government subsidies to the enterprise alleviate its cost pressures, thereby enabling it to purchase agricultural products from the farmer at more competitive prices. In turn, this raises wholesale prices, increases the farmer’s income, and incentivizes planting efforts, creating a positive feedback loop. Simultaneously, the increased subsidies allow the enterprise to allocate more resources for collaboration with the scientific research institution, thus promoting technological research and transfer and increasing the technical assistance provided to the farmer, effectively enhancing cultivation techniques and yields. Moreover, government financial support encourages the enterprise to increase investments in processing technology research, which improves processing standards and the added value of agricultural and sideline products, and further increases the enterprise’s market competitiveness and the farmer’s income. Ultimately, the farmer will increase production volumes and profits owing to higher purchase prices and technical support, thereby strengthening their sustainable development capacity. Concurrently, the overall profits of the enterprise and scientific research institution also increase owing to improvements in wholesale prices and processing technologies, resulting in a mutually beneficial situation.

3.3.2. Mode of Collaborative Assistance from Scientific Research Institutions with Government Subsidies to the Research Institution (CII)

This section discusses the CII scenario.
Based on these assumptions, the profit functions for the farmer, scientific research institution, and enterprise are as follows:
π F I = w I Q I 1 2 Q I 2
π I I = λ P I Q I 1 2 k I x I 2 + s I x I
π C I = P I w I c Q I + φ y I Q I 1 2 y I 2 λ P I Q I
Proposition 4.
By employing backward induction, the optimal decisions of supply chain members can be determined as follows:
Q I * = 1 c λ k U + s I θ U 1 λ μ + φ + 2 2 μ φ μ 2 λ 2 2 2 μ 2 2 μ φ λ k U 2 θ U 2 λ 1 λ
w * I = 1 c λ k U + s I θ U 1 λ μ + φ + 2 2 μ φ μ 2 λ 2 2 2 μ 2 2 μ φ λ k U 2 θ U 2 λ 1 λ
x I * = 1 c θ U + 2 s I μ 2 + 2 s I μ φ 2 s I λ + s I μ + φ + 2 2 μ φ s I μ 2 + θ U λ 2 k U s I θ U 2 λ 1 λ k U μ + φ + 2 2 μ φ μ 2 λ 2 2 2 μ 2 2 μ φ λ k U 2 θ U 2 λ 1 λ
y I * = μ + φ λ μ C + λ 1 k U s I θ U 1 λ μ 2 λ 2 + 2 2 μ 2 2 μ φ λ + μ + φ + 2 μ + φ 2 k U + 2 θ U 2 λ 1 λ
At this point, the market prices and profits of supply chain members are as follows:
P I * = 1 c μ 2 μ φ λ + c μ 2 + φ 1 + c μ + φ 2 c 3 k U 2 + θ U c + 1 θ U + s I s I μ φ λ θ U λ 2 s I 3 μ φ φ 2 k U + s I θ U 3 λ 1 λ k U μ 2 λ 2 + 2 2 μ 2 2 μ φ λ + μ + φ + 2 μ + φ 2 k U + 2 θ U 2 λ 1 λ
π F I * = 1 c λ k U + s I θ U 1 λ 2 2 μ 2 λ 2 + 2 2 μ 2 2 μ φ λ + μ + φ + 2 μ + φ 2 k U + 2 θ U 2 λ 1 λ 2
π I I * = λ P I * Q I * 1 2 k I x I * 2 + s I x I *
π C I * = c + λ 1 k U + s I θ U λ 1 2 4 θ U 2 λ λ 1 2 μ 2 λ 2 + 4 4 μ 2 4 μ φ λ + 2 μ + φ + 2 μ + φ 2 k U
Proposition 4 presents the optimal decisions and profits for farmers, scientific research institutions, and enterprises under the CII model as well as the corresponding market price. Further analysis of the impact trends of relevant parameters on supply chain members’ decisions in the CII mode yields the following results:
Theorem 4.
Table 6 shows that, compared with Theorem 3, government subsidies to the scientific research institution have increased the institution’s investments in technological research and promotion, thereby enhancing agricultural production efficiency and agricultural product quality. This enables enterprises to purchase agricultural products from the farmer at higher wholesale prices, strengthening their market competitiveness and profit margins. With increased subsidies, scientific research institutions can conduct technical training more effectively and help farmers improve their production efficiency, which directly increases their output. Additionally, subsidies encourage close collaboration between the scientific research institution and enterprise, driving innovation in processing technologies and enhancing the added value of agricultural and sideline products. As farmers benefit from higher purchase prices and technical support, their profits grow, allowing them to reinvest more funds into agricultural production and sustainable development promotion. Concurrently, the overall profits of both the enterprise and scientific research institution will also increase owing to improved wholesale prices and processing technologies, creating a positive feedback loop that increases their market competitiveness and profits.

4. Discussion

4.1. Comparisons Among Different Models

To further explore the variations in the revenue of supply chain members under different models, this section presents a comparative analysis of the optimal production quantities and profits across the four models and reports the results.
Proposition 5.
Comparative Analysis of the EL and CI Models:
(1)  Q M < Q U , π F M < π F U  when  A 11 < λ < A 12 ; otherwise,  Q U < Q M , π F U < π F M  (see Supplementary Materials for  A i j ).
(2)  π C U < π C M .
From Proposition 5, the following observations can be made:
(1) Within a certain range of  λ , the farmer’s production quantity and revenue are relatively high under the CI model. This may be attributable to the effective enhancement in the farmer’s cultivation techniques and production efficiency through the technological support and resource-sharing provided by the scientific research institution in the CI model, which leads to higher output and revenue. However, when  λ  exceeds this range, revenue becomes more significant under the EL model. This could be because the enterprise has better control over resource allocation and profit distribution in the EL model, allowing it to achieve greater returns under market competition.
(2) Regardless of variations in  λ , the enterprise’s profits are consistently higher in the EL model than in the CI model. This indicates that the enterprise can manage its costs and revenue more effectively in the EL model, avoiding potential profit- and cost-sharing issues associated with collaboration with the scientific research institution. In independent operations, the enterprise may focus more on market demand and its own business strategies, thereby achieving higher profits.
(3) While the EL model maximizes enterprise profits, the CI model’s integration of scientific research institutions enhances farmer income through technical expertise, echoing findings by Dwivedi et al. (2018) [13] on biotechnology-led yield uplift. This aligns with Chen (2022) [29], where institution–enterprise collaboration reduced innovation costs in knowledge-intensive sectors. Consequently, the government should consider implementing policy incentives that encourage collaboration between enterprises and scientific research institutions in this context. This would not only help improve farmers’ economic conditions but also promote the sustainable development of agricultural production. The government can use subsidies, tax reductions, and other measures to incentivize enterprises to provide agricultural assistance and establish long-term cooperative relationships with scientific research institutions, thus achieving a beneficial situation for all parties.
Proposition 6.
Comparative Analysis of the EL and CIE Models:
(1)  Q M < Q C , π F M < π F C  when  λ > A 21  ; otherwise,  Q C < Q M , π F C < π F M .
(2)  π C M < π C C  when  λ > A 22 ; otherwise,  π C C < π C M .
From Proposition 6, the following observations can be made:
(1) When  λ  exceeds threshold  A 21 , the farmer’s production output and profits under the CIE model are significantly higher than those under the EL model. This indicates that the combined effects of technological support from the scientific research institution and government subsidies can greatly enhance the farmer’s production efficiency and revenue. The farmer gains access to better cultivation techniques, high-quality seedlings, and market information, thereby increasing both output and profits. For instance, China’s subsidy programs for agricultural technology extension have accelerated the adoption of precision-farming methods, giving farmers access to real-time market information and boosting both yields and income. Conversely, when  λ  is below  A 21 , the farmer’s production output and profits fall short of those in the EL model. Similarly, Zhang (2021) [36] noted that hybrid subsidies amplify benefits when stakeholders share risks. This may be caused by the negative impact of an unreasonable profit distribution on the farmer’s motivation, thereby leading to insufficient investment in production and technology application.
(2) When  λ  exceeds threshold  A 22 , the enterprise’s profits under the CIE model surpass those under the EL model. This suggests that, under a reasonable profit distribution mechanism, the enterprise can share technology and resources through collaboration with the scientific research institution, thereby reducing production costs and enhancing market competitiveness and ultimately achieving higher profits. This is evident in initiatives like the U.S. Department of Agriculture’s AFRI grants, which co-fund industry–academia projects to develop climate-resilient crops, enhancing market competitiveness. However, when  λ  is below  A 22 , the enterprise’s profits are lower than those in the EL model. This may be attributed to the need for the enterprise to share profits with both the scientific research institution and the farmer under the CIE model, which compresses its profit margins, particularly in situations of market volatility or ineffective cost control.
(3) The government should establish clear subsidy policies and profit distribution mechanisms to ensure balanced interests between the enterprise and farmer. By setting reasonable parameters for  s  and  λ , the government can facilitate cooperation among enterprises, scientific research institutions, and farmers, thereby enhancing the overall efficiency of agricultural production.
Proposition 7.
Comparative Analysis of the CIE and CII Models:
Q C < Q I , π I C < π I I , π F C < π F I , π C C < π C I  when  λ > θ U k U θ U , otherwise,  Q I < Q C ,  π I I < π I C ,  π F I < π F C , C.
From Proposition 7, the following observations can be made:
(1) When  λ  exceeds the threshold of  θ U k U θ U , the production output and profits of the farmer, scientific research institution, and enterprise under the CII model are higher than those under the CIE model. This indicates that the scientific research institution’s advantages in technology research and development and promotion can effectively enhance agricultural production efficiency and economic benefits. Under the CII model, the scientific research institution can secure more resources for technological research and innovation, thereby providing more efficient technical support to the farmer, improving their production capacity and profits in turn. This model not only increases the farmer’s revenue but also enhances the scientific research institution’s profitability through technology transfer and service improvements.
(2) In comparison, the CIE model demonstrates inferior performance to that of the CII model in terms of profit distribution and profitability. This may be caused by the enterprise’s relatively weak technological innovation and research and development capabilities, resulting in limited effectiveness in enhancing the farmer’s output and profits. The configuration of  λ  is particularly critical in both models. When  λ  is above the threshold, the CII model achieves higher overall benefits. Conversely, this may lead to advantages for the CIE model. Therefore, a reasonable profit distribution mechanism is essential for promoting the coordination of interests among all parties.

4.2. Numerical Analysis

This section further uses numerical simulations to examine the impact of key parameters on production scale and profits under the CIE and CII models and analyze the above theoretical results.

4.2.1. Subsidy Rate and Profit-Sharing Ratio

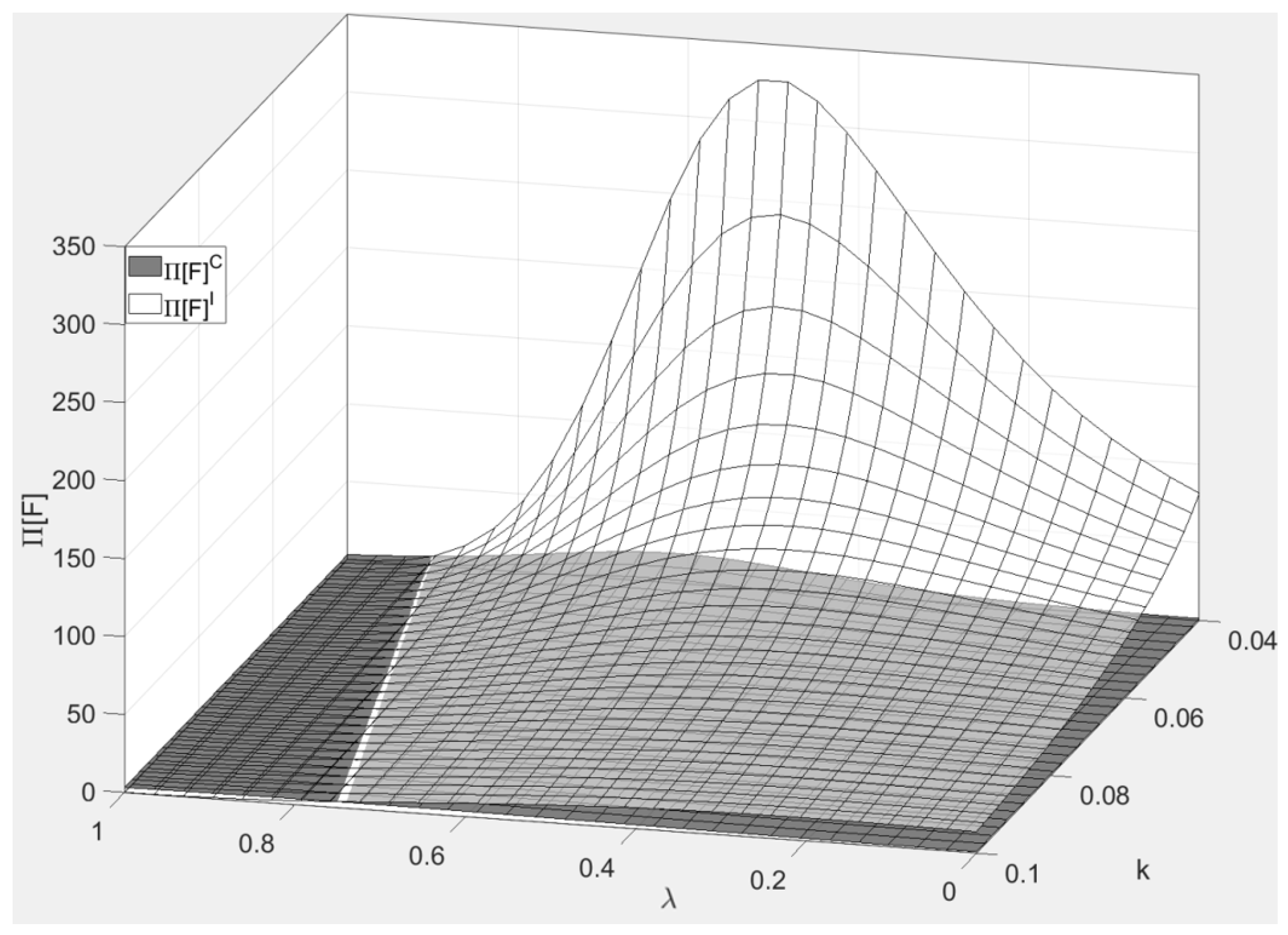
Figure 4, Figure 5, Figure 6 and Figure 7 show that the effects of λ and s on Q * and profits differ significantly across models. The CII model demonstrates a stronger advantage in responding to these parameter changes, particularly in terms of enhancing the profits of the farmer, enterprise, and research institution. A rational revenue distribution mechanism and moderate government subsidies are key factors for improving agricultural production efficiency and aligning the interests of all parties. Future policy designs should focus on optimizing these parameters to promote sustainable agricultural development and the coordination of stakeholder interests.
Furthermore, an examination of Figure 4, Figure 5, Figure 6, Figure 7 and Figure 8 provides several insights.
(1) When λ is less than 0.875, the values of Q * , π F * , and π C * under the CII model are all higher than those under the CIE model. This indicates that in a low-revenue shared environment, the CII model can enhance overall production efficiency through more efficient resource allocation and technological innovation, thereby driving profit growth for both the farmer and enterprise. However, when λ exceeds 0.875, the values of Q * , π F * , and π C * under the CII model fall below those under the CIE model. The critical profit-sharing threshold aligns with Niu et al. (2016) [24], where cost-sharing proportions determined contract viability. This phenomenon suggests that, in the context of a high revenue-sharing ratio, the enterprise model may have a comparative advantage, effectively supporting the profitability of both the farmer and enterprise. Regardless of the value of λ , the scientific research institution’s profits under the CII model consistently exceed those under the CIE model. This indicates that scientific research institutions maintain a sustained advantage in resource utilization, technological innovation, and market adaptability, enabling them to sustain high profitability across policy environments. This finding underscores the critical role of research institutions in agricultural development, particularly in driving technological advancement and optimizing resource allocation.
(2) Further analysis indicates that when λ and s fall within a specific range (i.e., the blank area in Figure 7), the value of π I * in the CIE model may be less than zero. This implies that, under certain policy environments, the CIE model may face challenges to its profitability, especially in cases of inefficient resource allocation or inequitable revenue distribution. These findings indicate that policymakers should exercise caution when designing subsidy- and revenue-distribution mechanisms to avoid instability and decreased profits for scientific research institutions.

4.2.2. Cost Coefficient for Technical Assistance and Profit-Sharing Ratio

Figure 9, Figure 10, Figure 11 and Figure 12 show that, as k increases, the effects of λ on Q * , π F * , π C * , and π I * gradually diminish. This indicates that, in a high-cost environment, the role of revenue distribution weakens, thereby posing greater challenges to production efficiency and profitability. Specifically, in the high-cost context, improvements in production efficiency and farmer profits increasingly rely on effective cost control and resource allocation. Although initially high revenue sharing can attract more resource investment, when costs become excessively high, the positive effects of revenue distribution diminish, thereby constraining the profitability of both the enterprise and scientific research institution. Furthermore, as λ increases, the influence of k on various profit types exhibits a trend of initially increasing and then decreasing, suggesting that in a high revenue-sharing environment, cost fluctuations significantly affect profits.
Figure 9, Figure 10, Figure 11, Figure 12 and Figure 13 can provide several insights, as described below.
(1) The introduction of variations in k alters the critical threshold for λ . Now, when λ is less than 1 2.5 k , the CII model continues to outperform the CIE model in terms of Q * , π F * , and π C * . This change indicates that an increase in k has a significant impact on the relative performance of different models, particularly in high-cost environments, in which the advantages of CII may diminish. Although the values of Q * , π F * , and π C * in the CII model exhibit volatility under different λ and k conditions, π I * remains consistently higher than that in the CIE model. This finding underscores the potential advantages for scientific research institutions in technological innovation and resource allocation and suggests their ability to maintain higher profitability in complex market environments. This phenomenon has also been validated in practice, as scientific research institutions often achieve sustained revenue through mechanisms such as technology transfer and intellectual property.
(2) When λ and k fall within a certain range (i.e., the blank area in Figure 12), the value of π I * in the CIE model may be less than 0. This situation may arise from inefficient resource allocation within the CIE model, resulting in investments by scientific research institutions in technical support and services that fail to yield corresponding returns.

4.2.3. Consumer Preference for Quality Agricultural Assistance and the Profit-Sharing Ratio

As shown in Figure 14, Figure 15, Figure 16, Figure 17 and Figure 18, as θ increases, the effects of λ on Q * , π F * , π C * , and π I * gradually strengthen, indicating that, in the context of high-quality preferences, a reasonable revenue distribution can effectively incentivize production and enhance profitability. However, as λ increases, the influence of θ on various profit types initially increases and then decreases. This trend may be because in a high revenue-sharing environment, enterprises may prioritize revenue over quality improvement, leading to a gradual weakening of the impact of quality preferences on revenue. This phenomenon is similarly applicable to farmers and scientific research institutions, highlighting that, in a high-revenue context, profitability may be affected by other market factors, thereby emphasizing the importance of maintaining focus on product quality while pursuing revenue.
Several insights can be gleaned from Figure 14, Figure 15, Figure 16, Figure 17 and Figure 18, which are discussed below.
(1) When λ is less than θ U 0.05 θ U , the values of Q * , π F * , and π C * in the CII model are all higher than those in the CIE model. This indicates that, under high- θ conditions, a reasonable revenue distribution can effectively motivate scientific research institutions and farmers, leading to higher production efficiency and profits. However, when the revenue-sharing ratio exceeds this threshold, the performance of the CIE model may surpass that of the CII model. This shift may reflect that, in a high-revenue environment, enterprises can enhance their competitiveness through more flexible market strategies and resource allocation. These findings suggest that policymakers should consider the reasonableness of λ when designing subsidy policies to avoid resource misallocation and reduced production efficiency owing to excessively high dividend ratios. Additionally, regardless of variations in λ , the value of π I * in the CII model remains consistently higher than that in the CIE model, reflecting the significant role of scientific research institutions in promoting agricultural modernization and sustainable development, especially in the context of growing consumer preferences for quality.
(2) When λ and θ fall within a certain range (i.e., the blank area in Figure 18), the profits of the scientific research institution under the CIE model may be less than 0. This finding indicates that, under specific policy and market conditions, scientific research institutions may face the risk of declining profitability. This situation may arise from inefficient resource allocation in the CIE model, leading to investments in technical support and services that fail to yield corresponding returns.

4.2.4. Stability Analysis

To assess the stability of our findings, we conduct robustness checks by varying critical parameters. This test aims to verify whether the core conclusions—particularly the comparative advantage of the subsidy model and the sensitivity to profit-sharing ratios—remain consistent under alternative specifications.
We expand the ranges of key parameters beyond baseline values: unit manufacturing cost of the agricultural and sideline products c : tested at ±50% of baseline ( c = 0.005 / 0.015 ); consumer preference for the quality of processing technology μ : tested at ±50% of baseline ( μ = 0.02 / 0.06 ).
The central focus was on enterprise profits under the two subsidy mechanisms (CIE and CII), as enterprises play the dominant role in the supply chain. The results consistently demonstrate that the comparative advantage of the CII subsidy model remains intact across all tested parameter ranges. While the precise profit-sharing ratio threshold exhibited minor shifts, the fundamental trend persists: CII generates higher enterprise profits than CIE when the profit-sharing ratio remains below this critical value. Crucially, no scenario reversed the ranking of subsidy model performance. These outcomes, visually summarized in Figure 19, Figure 20, Figure 21 and Figure 22, confirm that the original conclusions regarding optimal subsidy strategies and the critical role of the profit-sharing ratio are robust against significant parameter uncertainties. The stability in enterprise profit rankings reinforces our policy recommendation to prioritize subsidies to research institutions (CII) for enhancing supply chain coordination and economic outcomes.

5. Conclusions and Managerial Implications

5.1. Conclusions

This study compares the advantages resulting from the involvement of scientific research institutions in agricultural assistance and analyzes the optimal decisions of agricultural supply chain members under different government subsidy models. A comparative analysis of supply chain performance levels and the efficiency of poverty alleviation subsidies is also conducted. This study provides a theoretical basis for governments to promote collaboration between enterprises and scientific research institutions, thereby enhancing production and increasing the profits of farmers and other supply chain members. The main conclusions are outlined below.
(1) Consumer preferences for agricultural assistance quality and processing quality critically shape supply chain incentives. Higher preferences motivate enterprises to raise purchase prices and technical assistance efforts, increasing farmer output and income—consistent with premium markets like Starbucks’ contract farming. Conversely, rising technical assistance costs reduce enterprise support, creating a vicious cycle: lower farm output diminishes product quality, depressing consumer demand and overall profitability, as seen in PepsiCo’s rejections of substandard potatoes in India.
(2) Collaborative assistance with scientific research institutions enhances farmer output and income through specialized expertise (e.g., Hunan Hybrid Rice Center’s high-yield varieties). However, enterprises resist collaboration without government subsidies because profit-sharing reduces their profits. Government intervention is essential to enable cooperation. Beyond critical profit-sharing thresholds, collaborative models outperform enterprise-led assistance in farm outcomes—supporting policies that align private profitability with broader benefits.
(3) Subsidizing scientific research institutions typically outperforms subsidizing enterprises in improving agricultural productivity and economic benefits. This stems from institutions’ lower technical assistance costs, stronger consumer trust (e.g., Dr. Ling’s market acceptance), and activated synergistic effects under sufficient profit-sharing. Beyond thresholds, this approach raises output, farmer income, and institutional/enterprise profits—validated in partnerships like Bayer’s collaboration with universities.
(4) A has significant effects on production output and the profits of farmers, enterprises, and scientific research institutions. Moderate levels of λ can incentivize active production among farmers and enterprises; however, excessively high levels of λ may lead to resource overallocation, thereby suppressing production growth. Additionally, synergistic effects occur between s , k , and θ with λ . However, the magnitude of parameters such as s does not influence subsidy model selection, whereas the relationships between k , θ , and λ have direct effects on the choice of subsidy model.

5.2. Managerial Implications

Based on the above conclusions, this study provides several managerial insights, as outlined below.
(1) Importance of Incentive Mechanisms: The findings indicate that incentive mechanisms, such as revenue-sharing ratios, government subsidies, and consumer preferences, significantly impact the production output and profits of farmers, enterprises, and research institutions. Therefore, managers should design reasonable incentive mechanisms to motivate farmers’ and enterprises’ enthusiasm for production.
(2) Value of Cooperation and Synergy: The CII model yields higher output and profits, highlighting the importance of cooperation and synergy in agricultural modernization and sustainable development. Thus, managers should strive to promote collaboration and synergy between enterprises and scientific research institutions.
(3) Cost Control and Technological Innovation: The research findings suggest that rising costs associated with technological assistance can suppress production growth. Thus, managers should focus on driving innovation and optimization in the field of technological assistance by implementing effective cost control strategies and technological upgrades to reduce these costs.
(4) Impact of Policy Support and Consumer Preferences: This study identifies the synergistic effects and interactions between government subsidy coefficients, technological assistance cost coefficients, and consumer preferences for agricultural product quality in relation to revenue-sharing ratios. Therefore, managers should consider the influence of policy support and consumer preferences when designing reasonable incentive mechanisms and cooperation models to achieve agricultural modernization and sustainable development.
However, this study has several limitations that warrant further exploration: The agricultural output uncertainty defining features of farming influenced by weather, pests, and natural disasters was not incorporated into our models. Future research should integrate stochastic yield risks to refine contract design and subsidy mechanisms under realistic production volatility. While our Stackelberg game models provide theoretical insights into collaboration incentives and subsidy efficiency, they remain abstract representations of reality. Empirical validation is critical: field studies could test our predictions (e.g., thresholds for profit-sharing ratios) using data from existing partnerships like Longping Hi-Tech’s hybrid rice collaborations or Mengniu Dairy’s subsidized technical training programs. Policy implementation complexities—including institutional coordination costs, monitoring challenges, and farmer adoption barriers—were beyond our scope. Future work should assess subsidy implementation difficulties under varying regional governance capacities (e.g., contrasting Yunnan’s government-led floating seedling initiative with corporate-led efforts like Wens Foodstuff’s breed development). Preconditions for effective collaboration include minimum institutional credibility, contract enforcement mechanisms, and the scalability of scientific interventions.

Supplementary Materials

The following supporting information can be downloaded at: https://www.mdpi.com/article/10.3390/su17156873/s1, A i j .

Author Contributions

Conceptualization, Z.Z.; Methodology, Z.L.; Software, Y.Z., T.Z. and S.L.; Validation, T.Z., Z.L. and S.L.; Investigation, Z.L.; Data curation, T.Z. and S.L.; Writing—original draft, Z.Z. and Y.Z.; Writing—review & editing, Z.Z., Y.Z., G.Z., T.Z., Z.L. and S.L.; Supervision, G.Z.; Project administration, G.Z.; Funding acquisition, G.Z. All authors have read and agreed to the published version of the manuscript.

Funding

This work was supported by General Project of the National Social Science Foundation of China under Grant No. 19BGL091.

Institutional Review Board Statement

Not applicable.

Informed Consent Statement

Not applicable.

Data Availability Statement

The original contributions presented in this study are included in the article. Further inquiries can be directed at the corresponding author.

Conflicts of Interest

The authors declare no conflicts of interest.

References

  1. Gu, B.; Xu, L.; Fu, Y.; Chen, J. Green Agricultural Technology Extension Strategies Considering Industrial Organization Impacts: Direct Subsidy vs. Indirect Incentive. J. Clean. Prod. 2024, 479, 143991. [Google Scholar] [CrossRef]
  2. Qian, L.; Lu, H.; Gao, Q.; Lu, H. Household-Owned Farm Machinery vs. Outsourced Machinery Services: The Impact of Agricultural Mechanization on the Land Leasing Behavior of Relatively Large-Scale Farmers in China. Land Use Policy 2022, 115, 106008. [Google Scholar] [CrossRef]
  3. Kopp, T.; Dsouza, A.; Mishra, A.K. The Relation Between Contract Type and Market Power: Evidence from a High-Value Crop in India. Food Policy 2024, 127, 102683. [Google Scholar] [CrossRef]
  4. Ndimbo, G.K.; Haulle, E. Large-Scale Agricultural Investments and Contract Farming in Tanzania: A Systematic Review on the Livelihoods, Food Security and Ecological Implications. J. Agric. Food Res. 2024, 18, 101514. [Google Scholar] [CrossRef]
  5. Cole, R. Cashing in or Driving Development? Cross-Border Traders and Maize Contract Farming in Northeast Laos. J. Agrar. Change 2022, 22, 139–161. [Google Scholar] [CrossRef]
  6. Vicol, M.; Fold, N.; Hambloch, C.; Narayanan, S.; Pérez Niño, H. Twenty-Five Years of Living Under Contract: Contract Farming and Agrarian Change in the Developing World. J. Agrar. Change 2022, 22, 3–18. [Google Scholar] [CrossRef]
  7. Maertens, M.; Vande Velde, K. Contract-Farming in Staple Food Chains: The Case of Rice in Benin. World Dev. 2017, 95, 73–87. [Google Scholar] [CrossRef]
  8. Otsuka, K.; Nakano, Y.; Takahashi, K. Contract Farming in Developed and Developing Countries. Annu. Rev. Resour. Econ. 2016, 8, 353–376. [Google Scholar] [CrossRef]
  9. Ragasa, C.; Lambrecht, I.; Kufoalor, D.S. Limitations of Contract Farming as a Pro-Poor Strategy: The Case of Maize Outgrower Schemes in Upper West Ghana. World Dev. 2018, 102, 30–56. [Google Scholar] [CrossRef]
  10. Wu, Z.; Zhu, J. Optimal Strategies for Contract Farming Supply Chain with Government Subsidies Under E-Commerce Assistance to Farmers. PLoS ONE 2024, 19, e0311490. [Google Scholar] [CrossRef] [PubMed]
  11. Ray, N.; Clarke, G.; Waley, P. The Impact of Contract Farming on the Welfare and Livelihoods of Farmers: A Village Case Study from West Bengal. J. Rural. Stud. 2021, 86, 127–135. [Google Scholar] [CrossRef]
  12. Ton, G.; Vellema, W.; Desiere, S.; Weituschat, S.; D’Haese, M. Contract Farming for Improving Smallholder Incomes: What Can We Learn from Effectiveness Studies? World Dev. 2018, 104, 46–64. [Google Scholar] [CrossRef]
  13. Dwivedi, S.L.; Siddique, K.H.M.; Farooq, M.; Thornton, P.K.; Ortiz, R. Using Biotechnology-Led Approaches to Uplift Cereal and Food Legume Yields in Dryland Environments. Front. Plant Sci. 2018, 9, 1249. [Google Scholar] [CrossRef] [PubMed]
  14. Beddow, J.M.; Pardey, P.G.; Chai, Y.; Hurley, T.M.; Kriticos, D.J.; Braun, H.-J.; Park, R.F.; Cuddy, W.S.; Yonow, T. Research Investment Implications of Shifts in the Global Geography of Wheat Stripe Rust. Nat. Plants 2015, 1, 15132. [Google Scholar] [CrossRef] [PubMed]
  15. Olanrewaju, O.S.; Oyatomi, O.; Babalola, O.O.; Abberton, M. Breeding Potentials of Bambara Groundnut for Food and Nutrition Security in the Face of Climate Change. Front. Plant Sci. 2022, 12, 798993. [Google Scholar] [CrossRef] [PubMed]
  16. Yin, Y.; Zhang, Y.; Duan, W.; Xu, K.; Yang, Z.; Shi, B.; Yao, Z.; Yin, C.; Dogot, T. Farmers’ Preferences for Sustainable Farmland Construction—Insights from a Discrete Choice Experiment in China. Sustain. Prod. Consum. 2024, 48, 235–247. [Google Scholar] [CrossRef]
  17. Peng, H.; Pang, T. Optimal Strategies for a Three-Level Contract-Farming Supply Chain with Subsidy. Int. J. Prod. Econ. 2019, 216, 274–286. [Google Scholar] [CrossRef]
  18. Gray, A.W.; Boehlje, M. Risk Sharing and Transactions Costs in Producer-Processor Supply Chains. Choices 2005, 20, 281–286. [Google Scholar] [CrossRef]
  19. Bellemare, M.F.; Barrett, C.B.; Just, D.R. The Welfare Impacts of Commodity Price Volatility: Evidence from Rural Ethiopia. Am. J. Agric. Econ. 2013, 95, 877–899. [Google Scholar] [CrossRef]
  20. Liang, Y.; Bi, W.; Zhang, Y. Can Contract Farming Improve Farmers’ Technical Efficiency and Income? Evidence from Beef Cattle Farmers in China. Front. Sustain. Food Syst. 2023, 7, 1179423. [Google Scholar] [CrossRef]
  21. Miyata, S.; Minot, N.; Hu, D. Impact of Contract Farming on Income: Linking Small Farmers, Packers, and Supermarkets in China. World Dev. 2009, 37, 1781–1790. [Google Scholar] [CrossRef]
  22. Narayanan, S. Profits from Participation in High Value Agriculture: Evidence of Heterogeneous Benefits in Contract Farming Schemes in Southern India. Food Policy 2014, 44, 142–157. [Google Scholar] [CrossRef]
  23. Zhong, Y.; Liu, J.; Zhou, Y.-W.; Cao, B.; Zheng, X. The Role of Ambiguity Aversion in Contract-Farming Supply Chains: A Distributionally Robust Approach. Omega 2023, 117, 102827. [Google Scholar] [CrossRef]
  24. Niu, B.; Jin, D.; Pu, X. Coordination of Channel Members’ Efforts and Utilities in Contract Farming Operations. Eur. J. Oper. Res. 2016, 255, 869–883. [Google Scholar] [CrossRef]
  25. Liao, C.; Lu, Q.; Lin, L. Coordinating a Three-Level Contract Farming Supply Chain with Option Contracts Considering Risk-Averse Farmer and Retailer. PLoS ONE 2023, 18, e0279115. [Google Scholar] [CrossRef] [PubMed]
  26. Nguyen, A.; Dzator, J.; Nadolny, A. Does Contract Farming Improve Productivity and Income of Farmers? A Review of Theory and Evidence. J. Dev. Areas 2015, 49, 531–538. [Google Scholar] [CrossRef]
  27. Li, J.; Huang, S.; Fu, H.; Dan, B. Weather Risk Hedging Mechanism for Contract Farming Supply Chain with Weather-Dependent Yield. Comput. Ind. Eng. 2024, 191, 110157. [Google Scholar] [CrossRef]
  28. Yang, W.; Zhao, R.; Chuai, X.; Xiao, L.; Cao, L.; Zhang, Z.; Yang, Q.; Yao, L. China’s Pathway to a Low Carbon Economy. Carbon. Balance Manag. 2019, 14, 14. [Google Scholar] [CrossRef] [PubMed]
  29. Chen, Y. Research on Collaborative Innovation of Key Common Technologies in New Energy Vehicle Industry Based on Digital Twin Technology. Energy Rep. 2022, 8, 15399–15407. [Google Scholar] [CrossRef]
  30. Pant, J.; Teoh, S.J.; Gomes, S.; Pereira, A.; Pereira, M.; De Jesus, L.S.; Carmu, A.D.F.D.; Bhujel, R.C. Sustainable Intensification of Genetically Improved Farmed Tilapia (GIFT) in Timor-Leste’s Farming Systems: Challenges and Opportunities. Agric. Syst. 2024, 216, 103874. [Google Scholar] [CrossRef]
  31. Plex Sulá, A.I.; De Col, V.; Etherton, B.A.; Xing, Y.; Agarwal, A.; Ramić, L.; Bonaiuti, E.; Friedmann, M.; Proietti, C.; Thiele, G.; et al. What Traits of Collaboration Networks Are Associated with Project Success? The Case of Two CGIAR Agricultural Research Programs for Development. Agric. Syst. 2024, 219, 104013. [Google Scholar] [CrossRef]
  32. Sankaran, D.; Adhimoolam, K.; Jayakodi, M.; Manickam, S.; Mannu, J.; Natesan, S. Progress in Genomic-Driven Breeding for Improving the Disease and Insect Pest Resistance in Black Gram (Vigna mungo). Physiol. Mol. Plant Pathol. 2024, 133, 102368. [Google Scholar] [CrossRef]
  33. Sarkar, S.; Ganapathysubramanian, B.; Singh, A.; Fotouhi, F.; Kar, S.; Nagasubramanian, K.; Chowdhary, G.; Das, S.K.; Kantor, G.; Krishnamurthy, A.; et al. Cyber-Agricultural Systems for Crop Breeding and Sustainable Production. Trends Plant Sci. 2024, 29, 130–149. [Google Scholar] [CrossRef] [PubMed]
  34. Tsao, Y.-C.; Thanh, V.-V.; Chang, Y.-Y.; Wei, H.-H. COVID-19: Government Subsidy Models for Sustainable Energy Supply with Disruption Risks. Renew. Sustain. Energy Rev. 2021, 150, 111425. [Google Scholar] [CrossRef] [PubMed]
  35. Zhao, J.; Sun, N. Government Subsidies-Based Profits Distribution Pattern Analysis in Closed-Loop Supply Chain Using Game Theory. Neural Comput. Applic 2020, 32, 1715–1724. [Google Scholar] [CrossRef]
  36. Zhang, R. Impact of Government Subsidy on Agricultural Production and Pollution: A Game-Theoretic Approach. J. Clean. Prod. 2021, 285, 124806. [Google Scholar] [CrossRef]
  37. Goodwin, B.K.; Vado, L.A. Public Responses to Agricultural Disasters: Rethinking the Role of Government. Can. J. Agric. Econ. 2007, 55, 399–417. [Google Scholar] [CrossRef]
  38. Wu, G.; Yang, W.; Hou, X.; Tian, Y. Agri-Food Supply Chain Under Live Streaming and Government Subsidies: Strategy Selection of Subsidy Recipients and Sales Agreements. Comput. Ind. Eng. 2023, 185, 109647. [Google Scholar] [CrossRef]
  39. Alizamir, S.; Iravani, F.; Mamani, H. An Analysis of Price vs. Revenue Protection: Government Subsidies in the Agriculture Industry. Manag. Sci. 2019, 65, 32–49. [Google Scholar] [CrossRef]
  40. Ray, M.; Singh, A.P.; Jakhar, S.K. Sustainable Farming Practices Adoption in Agriculture Supply Chain: The Role of Indirect Support versus Cost Subsidy. Ann. Oper. Res. 2023, 1–26. [Google Scholar] [CrossRef]
  41. Hong, X. Demand Information Sharing in a Contract Farming Supply Chain. Eur. J. Oper. Res. 2023, 309, 560–577. [Google Scholar] [CrossRef]
  42. Wan, X.; Qie, X. Poverty Alleviation Ecosystem Evolutionary Game on Smart Supply Chain Platform under the Government Financial Platform Incentive Mechanism. J. Comput. Appl. Math. 2020, 372, 112595. [Google Scholar] [CrossRef]
  43. Shang, H. Examining the Role of National Governance Capacity in Building the Global Low-Carbon Agricultural Supply Chains. Transp. Res. Part E Logist. Transp. Rev. 2024, 192, 103833. [Google Scholar] [CrossRef]
  44. Guo, F.; Zhang, T.; Huang, X.; Zhong, Y. Government Subsidy Strategies Considering Greenness on Agricultural Product E-Commerce Supply Chain. Mathematics 2023, 11, 1662. [Google Scholar] [CrossRef]
  45. Ni, D.; Li, K.W.; Tang, X. Social Responsibility Allocation in Two-Echelon Supply Chains: Insights from Wholesale Price Contracts. Eur. J. Oper. Res. 2010, 207, 1269–1279. [Google Scholar] [CrossRef]
  46. Nasiri, F.; Zaccour, G. An Exploratory Game-Theoretic Analysis of Biomass Electricity Generation Supply Chain. Energy Policy 2009, 37, 4514–4522. [Google Scholar] [CrossRef]
  47. Xiong, Y.; Yan, W.; Fernandes, K.; Xiong, Z.-K.; Guo, N. “Bricks vs. Clicks”: The Impact of Manufacturer Encroachment with a Dealer Leasing and Selling of Durable Goods. Eur. J. Oper. Res. 2012, 217, 75–83. [Google Scholar] [CrossRef]
  48. Wong, M.C. Does Corporate Social Responsibility Affect Generation Z Purchase Intention in the Food Industry. Asian J. Bus. Ethics 2021, 10, 391–407. [Google Scholar] [CrossRef]
  49. Fraccascia, L.; Ceccarelli, G.; Dangelico, R.M. Green Products from Industrial Symbiosis: Are Consumers Ready for Them? Technol. Forecast. Soc. Change 2023, 189, 122395. [Google Scholar] [CrossRef]
  50. Panda, S.; Modak, N.M.; Cárdenas-Barrón, L.E. Coordinating a Socially Responsible Closed-Loop Supply Chain with Product Recycling. Int. J. Prod. Econ. 2017, 188, 11–21. [Google Scholar] [CrossRef]
  51. Yu, W.; Han, X.; Ding, L.; He, M. Organic Food Corporate Image and Customer Co-Developing Behavior: The Mediating Role of Consumer Trust and Purchase Intention. J. Retail. Consum. Serv. 2021, 59, 102377. [Google Scholar] [CrossRef]
Figure 1. Time series decision-making process.
Figure 1. Time series decision-making process.
Sustainability 17 06873 g001
Figure 2. Supply chain structure diagram of EL.
Figure 2. Supply chain structure diagram of EL.
Sustainability 17 06873 g002
Figure 3. Supply chain structure diagram of CI.
Figure 3. Supply chain structure diagram of CI.
Sustainability 17 06873 g003
Figure 4. The production quantity.
Figure 4. The production quantity.
Sustainability 17 06873 g004
Figure 5. The profits of the farmer.
Figure 5. The profits of the farmer.
Sustainability 17 06873 g005
Figure 6. The profits of the enterprise.
Figure 6. The profits of the enterprise.
Sustainability 17 06873 g006
Figure 7. The profits of the research institution.
Figure 7. The profits of the research institution.
Sustainability 17 06873 g007
Figure 8. Factors influencing subsidy model selection.
Figure 8. Factors influencing subsidy model selection.
Sustainability 17 06873 g008
Figure 9. The production quantity.
Figure 9. The production quantity.
Sustainability 17 06873 g009
Figure 10. The profits of the farmer.
Figure 10. The profits of the farmer.
Sustainability 17 06873 g010
Figure 11. The profits of the enterprise.
Figure 11. The profits of the enterprise.
Sustainability 17 06873 g011
Figure 12. The profits of the research institution.
Figure 12. The profits of the research institution.
Sustainability 17 06873 g012
Figure 13. Factors influencing subsidy model selection.
Figure 13. Factors influencing subsidy model selection.
Sustainability 17 06873 g013
Figure 14. The production quantity.
Figure 14. The production quantity.
Sustainability 17 06873 g014
Figure 15. The profits of the enterprise.
Figure 15. The profits of the enterprise.
Sustainability 17 06873 g015
Figure 16. The profits of the farmer.
Figure 16. The profits of the farmer.
Sustainability 17 06873 g016
Figure 17. The profits of the research institution.
Figure 17. The profits of the research institution.
Sustainability 17 06873 g017
Figure 18. Factors influencing the selection of subsidy models.
Figure 18. Factors influencing the selection of subsidy models.
Sustainability 17 06873 g018
Figure 19. The profits of the enterprise. c = 0.015 .
Figure 19. The profits of the enterprise. c = 0.015 .
Sustainability 17 06873 g019
Figure 20. The profits of the enterprise. c = 0.005 .
Figure 20. The profits of the enterprise. c = 0.005 .
Sustainability 17 06873 g020
Figure 21. The profits of the enterprise. μ = 0.06 .
Figure 21. The profits of the enterprise. μ = 0.06 .
Sustainability 17 06873 g021
Figure 22. The profits of the enterprise. μ = 0.02 .
Figure 22. The profits of the enterprise. μ = 0.02 .
Sustainability 17 06873 g022
Table 1. Summary of the relevant literature.
Table 1. Summary of the relevant literature.
ArticlesHelping FarmersGovernmental BehaviorResearch Institutions Assisting FarmersDecision PolicyContract Farming
G. Wu, 2023 [38]SubsidyN/APricing and subsidy ratio
Hong, 2023 [41]N/AN/AN/APricing
Niu, 2016 [24]N/AN/AN/APricing and cost-sharing proportion
Zhang, 2021 [36]N/ASubsidyN/AInvestments in environmental innovationN/A
Wan & Qie, 2020 [42]SubsidyN/AProbabilities of cooperation and subsidiesN/A
Shang, 2024 [43]N/AGovernanceN/AGovernance capacity and technological innovationN/A
Zhong et al., 2023 [23]N/AN/AN/APricing
Guo et al., 2023 [44]SubsidyN/APricing and greenness levelN/A
This paperSubsidyProduction quantity, level of technical assistance effort, level of research and development for processing technology, and purchase price
√—mentioned; N/A—not mentioned.
Table 2. Variable parameters and descriptions.
Table 2. Variable parameters and descriptions.
NotationDescription
Decision variables
Q Production quantity
x Level of technical assistance effort
y Level of research and development for processing technology
w Purchase price
Parameter
c Unit manufacturing cost of the agricultural and sideline products
φ Processing technology research and development conversion coefficient
k Cost coefficient for technical assistance
θ Consumer preference for the quality of agricultural assistance
μ Consumer preference for the quality of processing technology
s Subsidy rate
λ Profit-sharing ratio
Table 3. Sensitivity analysis of key parameters under the EL model.
Table 3. Sensitivity analysis of key parameters under the EL model.
w x y Q π F π C
θ
μ
φ
k
Note: “↗” indicates positive correlation; “↘” indicates negative correlation.
Table 4. Sensitivity analysis of key parameters under the CI model.
Table 4. Sensitivity analysis of key parameters under the CI model.
w x y Q π F π C π I
λ ↗↘↗↘↗↘↗↘↗↘↗↘↗↘
Note: “↗↘” indicates that as the parameters increase, there is a positive correlation first and then a negative correlation.
Table 5. Sensitivity analysis of key parameters under the CIE model.
Table 5. Sensitivity analysis of key parameters under the CIE model.
w x y Q π F π C π I
SC
Note: “↗” indicates positive correlation. “↘” indicates negative correlation.
Table 6. Sensitivity analysis of key parameters under the CII model.
Table 6. Sensitivity analysis of key parameters under the CII model.
w t x t y t Q t π F π C π I
s I
Note: “↗” indicates positive correlation. “↘” indicates negative correlation.
Disclaimer/Publisher’s Note: The statements, opinions and data contained in all publications are solely those of the individual author(s) and contributor(s) and not of MDPI and/or the editor(s). MDPI and/or the editor(s) disclaim responsibility for any injury to people or property resulting from any ideas, methods, instructions or products referred to in the content.

Share and Cite

MDPI and ACS Style

Zhang, Z.; Zhong, Y.; Zhang, G.; Zhai, T.; Li, Z.; Lin, S. Individual Action or Collaborative Scientific Research Institutions? Agricultural Support from Enterprises from the Perspective of Subsidies. Sustainability 2025, 17, 6873. https://doi.org/10.3390/su17156873

AMA Style

Zhang Z, Zhong Y, Zhang G, Zhai T, Li Z, Lin S. Individual Action or Collaborative Scientific Research Institutions? Agricultural Support from Enterprises from the Perspective of Subsidies. Sustainability. 2025; 17(15):6873. https://doi.org/10.3390/su17156873

Chicago/Turabian Style

Zhang, Ziyi, Yantong Zhong, Guitao Zhang, Tianyu Zhai, Zongru Li, and Shuaicheng Lin. 2025. "Individual Action or Collaborative Scientific Research Institutions? Agricultural Support from Enterprises from the Perspective of Subsidies" Sustainability 17, no. 15: 6873. https://doi.org/10.3390/su17156873

APA Style

Zhang, Z., Zhong, Y., Zhang, G., Zhai, T., Li, Z., & Lin, S. (2025). Individual Action or Collaborative Scientific Research Institutions? Agricultural Support from Enterprises from the Perspective of Subsidies. Sustainability, 17(15), 6873. https://doi.org/10.3390/su17156873

Note that from the first issue of 2016, this journal uses article numbers instead of page numbers. See further details here.

Article Metrics

Back to TopTop