You are currently viewing a new version of our website. To view the old version click .
Sustainability
  • Article
  • Open Access

27 June 2025

Bridging the Gap: Multi-Stakeholder Perspectives on the Role of Carbon Capture and Storage (CCS)/Carbon Capture Utilization and Storage (CCUS) in Achieving Indonesia’s Net Zero Emissions

,
,
and
School of Environmental Science, Universitas Indonesia, Jakarta 10430, Indonesia
*
Authors to whom correspondence should be addressed.

Abstract

CCS/CCUS is considered vital for global climate mitigation, especially in decarbonizing hard-to-abate sectors like upstream oil and gas. In Indonesia, however, its deployment remains limited due to fragmented stakeholder views and lack of integrated policy support. This study explores multi-stakeholder perspectives, including government, academia, business, finance, media, and civil society, on the role and feasibility of CCS/CCUS in achieving the country’s net zero emissions (NZE) target. Using a mixed-method approach, we conducted structured surveys (n = 39) and in-depth interviews (n = 34). Findings reveal broad support for CCS/CCUS but highlight ongoing concerns about economic viability, regulatory uncertainty, and environmental risks. Stakeholders emphasize the need for stronger government incentives and cross-border financing mechanisms. The study underscores the importance of inclusive policymaking, enhanced fiscal support, and integration of CCS/CCUS into Indonesia’s carbon economic value framework to ensure a more participatory and sustainable climate policy pathway.

1. Introduction

Climate change is a global challenge that is becoming increasingly evident and urgent to address systematically [1]. Over the past few decades, the trend of rising global temperatures has shown significant impacts on the sustainability of human life and ecosystems [2]. According to the IPCC’s Sixth Assessment Report, the average global temperature increased by 1.09 °C between 1850 and 2020, affecting nearly all regions worldwide [3]. The consequences of climate change are widespread, disrupting agriculture and public health, and causing spikes in the prices of essential goods [4]. Alarmingly, an estimated 300,000 deaths per year in 2009 were attributed to the adverse effects of climate change [5]. Without ambitious and coordinated mitigation efforts, these conditions will continue to deteriorate and threaten the quality of life for future generations [6,7].
In response to this urgency, the international community has agreed on several global instruments, such as the Kyoto Protocol and the Paris Agreement. While the Kyoto Protocol had limited country coverage and effectiveness [8], the Paris Agreement promotes an inclusive, nationally driven approach through Nationally Determined Contributions (NDCs), aiming to limit the global temperature rise to a maximum of 1.5 °C by 2030 [9]. Indonesia has ratified the Paris Agreement and expressed its commitment through various NDC documents [10], including the Enhanced NDC 2022, which sets emission reduction targets of 31.89% unconditionally and 43.20% with international support [11].
One of the key technological solutions considered essential for achieving these targets is carbon capture and storage (CCS), as well as carbon capture, utilization, and storage (CCUS) [12]. These technologies enable the capture of CO2 emissions from major sources such as upstream oil and gas activities for permanent storage in geological formations [13,14]. CCS/CCUS is projected to contribute up to 32% of CO2 reductions by 2050 and plays a crucial role in the strategy toward net zero emissions (NZE) [15,16,17,18].
However, the implementation of CCS/CCUS in Indonesia, particularly in the upstream oil and gas sector, still faces serious challenges. Required investments are extremely high, ranging from USD 60 to over USD 1000 per ton of CO2 [19], while financial and regulatory support remains inadequate [20,21]. In addition, there are ongoing concerns among stakeholders regarding CO2 leakage risks and safety issues [22,23]. These realities highlight a significant gap between the ideal conditions and the actual implementation on the ground [24]. In this context, stakeholder perceptions play a central role in determining the success of CCS/CCUS deployment [25,26]. Understanding, acceptance, and support from key actors, such as the government, industry players, civil society, and financial institutions, will be critical [27,28]. Therefore, a comprehensive analysis of stakeholder perceptions is essential to identify barriers, opportunities, and optimal strategies to accelerate CCS/CCUS adoption in Indonesia’s upstream oil and gas sector. This study aims to address that gap by providing a mapping of existing conditions and data-driven recommendations to support the transition to cleaner and more sustainable energy.

2. Materials and Methods

This study employs a mixed-method approach, integrating qualitative and quantitative data from a literature review, questionnaires, and in-depth interviews. Data processing follows a structured methodology, including literature synthesis, statistical analysis, and triangulation, to ensure the validity and reliability of the findings. The research was conducted in the upstream oil and gas fields of West Papua between April and December 2024, followed by analysis through April 2025.
The population was determined using the penta-helix model, which includes stakeholders from government, academia, industry, media, and civil society, using purposive sampling. A minimum of 34 respondents was selected based on expertise and experience in the field of CCS/CCUS. Data collection techniques included a literature review of policy documents and scientific publications, the distribution of questionnaires, and in-depth interviews with expert informants to validate and synthesize the data. The respondents consisted of 36 experts from various sectors, consisting of the following.
  • Government: Experts from seven relevant government institutions, such as the Ministry of Environment & Forestry, the Ministry of Energy, the Special Task Force for Upstream Oil & Gas, the Ministry of Finance, and the Coordinating Ministry for Maritime and Investment Affairs;
  • Academic: Teachers from universities, such as UI and ITB;
  • Business sector: Oil and gas industry professionals and banking representatives from seven companies, including Pertamina, EMP, Repsol, Tangguh LNG, Mandiri, UOB, and BRI;
  • Media: Three senior journalists and editors from Petromindo, O&G Indonesia, and Portonews;
  • Professional associations: Representatives from three oil and gas and environmental professional associations: IAFMI, IATMI, and IESA;
  • Community members: Residents from four districts within the CCUS project area: Bintuni, Fakfak, Manokwari, and Jayapura.

2.1. Literature Review

A literature review was conducted to gather relevant theories and information as a reference for designing the questionnaire. Various academic sources, such as scientific journals, books, and research reports, were analyzed. The selected literature was chosen based on its credibility and relevance to the research objectives.
Reducing carbon dioxide (CO2) emissions through the application of carbon capture and storage (CCS) and carbon capture, utilization, and storage (CCUS) technologies is increasingly recognized as a critical strategy for achieving net zero emissions (NZE) and fulfilling Indonesia’s Nationally Determined Contributions (NDCs) in response to climate change and global temperature rise [28]. CCS refers to the process of capturing CO2 emissions and securely storing them in deep underground geological formations [29]. Meanwhile, CCUS involves capturing CO2, utilizing it for various industrial applications, and subsequently storing the remaining emissions underground [30].
To support its commitment under the Paris Agreement, Indonesia’s Ministry of Energy and Mineral Resources (MEMR) has introduced plans to implement CCS and CCUS technologies into upstream oil and gas operations as part of its broader decarbonization agenda [31]. However, the adoption of these technologies remains constrained by several institutional and societal barriers.
As outlined by [32], there are three primary challenges facing CCUS deployment in Indonesia. First, public awareness of climate change remains limited, resulting in a lack of societal engagement with mitigation technologies. Second, both government agencies and media stakeholders often lack sufficient understanding of CCUS, as the technology is primarily familiar to technical institutions and oil industry actors. Third, concerns persist among stakeholders regarding the potential risks of leakage during CO2 transportation and long-term storage, particularly in the context of geological instability such as earthquakes.

2.2. Questionnaire

The questionnaire served as the primary instrument for collecting primary data focused on stakeholders’ perceptions of CCS/CCUS implementation in Indonesia’s upstream oil and gas sector. It covered several categories such as stakeholders’ understanding of CCS/CCUS, its domestic and international applications, and its impacts on corporations, communities, and the environment. The questionnaire also addressed perceptions of climate policy, the ratification of the Paris Agreement, and regulations concerning carbon economic value and emissions trading mechanisms. Data collected through this instrument are expected to provide deep insights into the challenges and opportunities of CCS/CCUS deployment in Indonesia, as well as its contribution to greenhouse gas (GHG) emission reduction targets. In addition to the questionnaire, in-depth interviews were conducted to capture comprehensive qualitative insights.
The questionnaire consists of 29 questions, with 26 closed-ended items to assess stakeholder perceptions of key aspects of CCS/CCUS in Indonesia. The study focused on its role in emission reduction, contribution to NDC targets, alignment with carbon economy policies, and support from oil and gas businesses and financial institutions. The questionnaire employed a 5-point Likert scale, where responses ranged as follows.
  • 1—Strongly Disagree
  • 2—Disagree
  • 3—Neutral
  • 4—Agree
  • 5—Strongly Agree
The collected responses were quantitatively analyzed to calculate statistical measures such as mean, maximum value, minimum value, range, standard deviation, and variance for each thematic question. The data were grouped based on respondent categories to identify patterns and comparisons in their responses. These results were further analyzed descriptively to interpret emerging trends and differences across respondent groups.

2.3. In-Depth Interviews

In-depth interviews were conducted to gain deeper insights into the statistical analysis of the questionnaire and findings from the literature review. Informants were selected based on their relevance to the research topic. The interview guidelines were structured based on the statistical results from the questionnaire to explore perspectives in greater depth. Interviews were conducted directly, both in-person and via Zoom meetings, to gather in-depth information on various aspects of CCS/CCUS implementation in Indonesia’s upstream oil and gas sector.
These interviews followed a question guide that covered topics such as the environmental benefits and risks of CCS/CCUS, the scale of investment required, and the policies influencing its deployment. The interviews also explored the role of oil and gas companies in adopting CCS/CCUS technologies and the contribution of funding institutions at both national and international levels. Additionally, questions addressed bilateral and multilateral cooperation in CCS/CCUS initiatives, drivers of carbon trading, and the policy landscape in countries such as Indonesia, China, the United States, and the United Kingdom. This interactive interview approach aimed to obtain detailed and diverse perspectives from stakeholders to enrich the research analysis and provide a clearer picture of the challenges, opportunities, and policy measures needed to optimize CCS/CCUS implementation in Indonesia.

2.4. Data Processing and Validation

Data processing in this study began with validity and reliability testing of the questionnaire results. Each question was tested for validity using the Pearson correlation test to ensure relevance and significant correlation with the measured variable. Reliability was tested using Cronbach’s alpha to assess the internal consistency of each question cluster. For each stakeholder group (government, academia, industry, media, and civil society), the mean responses were calculated based on a 5-point Likert scale across six thematic areas: the importance of CCS/CCUS, implementation, support, NDCs, carbon economic value, and policy. Descriptive statistics were then calculated, including maximum, minimum, range, standard deviation, and variance for each question group. These results were analyzed through descriptive exploratory analysis to obtain a comprehensive understanding of stakeholders’ perceptions and attitudes toward CCS/CCUS implementation in Indonesia. This analysis provides deeper insights into trends, patterns, and influencing factors behind stakeholder responses on the subject.
To enhance data validity, triangulation was applied through the following approaches.
  • Source triangulation, which involved comparing interview responses from different informants to ensure consistency of information;
  • Method triangulation, which involved cross-referencing statistical analysis from the questionnaire, in-depth interview findings, and literature synthesis to obtain a more comprehensive understanding.
By employing these methodologies, the study aims to provide accurate and reliable insights into the research problem. The graphical research process is outlined in Figure 1.
Figure 1. Research flow: data process to findings.

3. Results

3.1. Validity and Reliability Test

Validity tests (Pearson) confirmed all items were valid, and reliability tests (Cronbach’s alpha) showed good consistency, especially in CCS/CCUS implementation and support of CCS/CCUS aspects (score: 0.9), as shown in Table 1.
Table 1. Validity test (Pearson) and reliability test (Cronbach).
Q1 and Q3 are excluded as they are open questions. Q28 is excluded as it is a multiple-choice question.

3.2. Descriptive Analysis

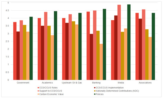
A descriptive analysis was conducted to explain how different respondent groups perceive CCS/CCUS. The analysis was conducted in two phases: first, the perception of each respondent group regarding CCS/CCUS, and second, the overall perception of all respondent groups regarding each CCS/CCUS-related topic, as illustrated in Chart 1.
Chart 1. Responses from each subgroup of experts.

3.2.1. Government

Based on the questionnaire results regarding the perceived importance of CCS/CCUS in reducing greenhouse gas (GHG) emissions, respondents exhibited a slight degree of uncertainty, though their responses tended to lean toward agreement. Despite this uncertainty, the majority affirmed the significant role of CCS/CCUS in mitigating GHG emissions, particularly within the upstream oil and gas sector (see Table 2).
Table 2. Statistical summary of government respondents.
With respect to the implementation of CCS/CCUS, government respondents generally expressed hesitation concerning the feasibility of applying this technology in the upstream oil and gas sector to reduce emissions. While some expressed confidence, the majority remained unconvinced of its successful deployment. Notably, perceptions on this aspect varied considerably among respondents. Similarly, in terms of support for CCS/CCUS, although minor doubts persisted, most respondents indicated support for such projects. Many believed in the importance of CCS/CCUS, even though skepticism remained regarding the level of stakeholder backing for these initiatives.
Regarding the potential contribution of CCS/CCUS to achieving Indonesia’s Nationally Determined Contributions (NDCs), government respondents tended to agree, albeit with slight reservations about the actual impact of the technology in meeting emission reduction targets. Although doubts were present, respondents acknowledged the potential of CCS/CCUS to contribute meaningfully to the NDCs. A comparable pattern was observed in the context of integrating CCS/CCUS into the carbon economic value, where respondents expressed uncertainty about its implementation, although some recognized the potential for alignment with national policy objectives. The distribution of responses on this matter among government stakeholders was notably diverse.
In the policy dimension, most respondents agreed that policies to support CCS/CCUS in Indonesia should be formulated through participatory processes involving a broad range of stakeholders. This indicates a generally positive view of the necessity of collaborative approaches in policy development. The questionnaire results reflect a relatively strong consensus among respondents on the importance of inclusive policymaking to advance CCS/CCUS initiatives.

3.2.2. Academics

This subsection discusses the results of the academic respondents’ questionnaire on their perceptions of the importance, implementation, support, and policies related to CCS/CCUS in Indonesia. Academic perspectives on the potential of this technology to support climate change mitigation efforts and inform government policymaking for its effective implementation are crucial. Academics hold a strategic position as actors with scientific expertise, experience, and skills in the CCS/CCUS field, making them valuable in supporting optimal and well-targeted implementation. Table 3 presents the summary of responses from academic participants.
Table 3. Statistical summary of academic respondents.
Based on the questionnaire results, academic perceptions of the role of CCS/CCUS technology in Indonesia’s upstream oil and gas sector reveal notable dynamics. Many respondents acknowledged the importance of CCS/CCUS in reducing greenhouse gas (GHG) emissions and delivering multidimensional social, economic, and ecological benefits. These findings align with those of previous studies, such as those in [33], which emphasize the strategic role of CCS/CCUS in the energy transition. However, the diversity of views, as indicated by relatively high standard deviations for the aspects of importance (1.10) and contribution to the NDCs (0.96), suggests a degree of uncertainty among academics regarding the effectiveness of implementing this technology within the national context. This skepticism is understandable, given that Indonesia’s upstream sector has already adopted various energy efficiency and emission reduction initiatives, leading some to question whether CCS/CCUS represents the most urgent or practical solution without strong regulatory and fiscal support. This concern is consistent with the findings in [34], which highlight institutional and technological barriers to CCS/CCUS adoption in developing countries.
Furthermore, policy design and stakeholder support emerged as central to shaping academic perceptions. High average scores on the dimensions of support for CCS/CCUS (4.40) and policy (4.44), accompanied by low standard deviations (0.49 and 0.50, respectively), indicate strong consensus that the success of CCS/CCUS implementation is highly dependent on inclusive and participatory policymaking. Respondents stressed the importance of involving government, industry, and civil society actors, alongside sustained fiscal support. Conversely, the low score for integration with carbon economic value policy, 2.89 with a standard deviation of 0.87, points to serious concerns about the inadequacy of current policy infrastructure to support carbon offset and trading mechanisms based on CCS/CCUS. This uncertainty reinforces earlier findings by [35], who observed that Indonesia’s CCS/CCUS regulatory framework remains in a nascent stage and is not yet fully aligned with the achievement of the NDC CM-1 and CM-2 targets for 2030. Therefore, concrete steps are needed to clarify governance structures and policy frameworks to ensure that CCS/CCUS can effectively contribute to the national decarbonization strategy.

3.2.3. Upstream Oil and Gas

Oil and gas businesses place special attention on the application of technology and support for achieving the NDC targets, the economic value of carbon, and the importance of policy support. Findings from oil and gas business respondents (Table 4) indicate that while there is a highly positive perception of the crucial role of CCS/CCUS in reducing carbon emissions (average score 4.42; SD 0.8), doubts persist regarding its implementation (average score 2.97; SD 1.19). This contrast is clearly reflected in the statistical summary of responses in Table 4 highlighting a disparity between normative perception (what ought to be done) and practical belief (what can be and is being done). Such doubts align with the study by [21], which states that in many developing countries, technological uncertainty and the absence of successful CCS/CCUS pilot projects have made industry players hesitant to take investment risks. The lack of local role models in Indonesia further reinforces the perception that CCS/CCUS remains insufficiently tested or feasible for large-scale application in the upstream oil and gas sector. Therefore, although there is conceptual support for the technology, respondents maintain that CCS/CCUS implementation has not kept pace with scientific and technological advancements and has not yet demonstrated clear economic benefits for companies.
Table 4. Statistical summary of upstream oil and gas respondents.
Support for participatory policies and strong fiscal incentives (average score 4.59; SD 0.56) reflects a consensus among oil and gas business actors that the success of CCS/CCUS is highly dependent on active government involvement and international collaboration. This aligns with research by [19], which emphasizes that policy incentives, including subsidies and structured carbon trading schemes, are essential prerequisites for accelerating CCS/CCUS adoption. However, regarding integration into carbon economic value policies, respondents expressed significant dissatisfaction (average score 2.33; SD 0.67), indicating a perception that current carbon economic value frameworks and regulations are inadequate to support CCS/CCUS-based emissions offsetting, especially in the capital-intensive and complex upstream oil and gas sector. Doubts about the contribution of CCS/CCUS to achieving NDC goals (score 3.19) also indicate that, although the technology is seen as promising, government support in terms of structure and financing is still considered insufficient.
These findings affirm that CCS/CCUS requires a policy approach that is not only top-down but also collaborative and contextually adapted to the dynamics and readiness of Indonesia’s upstream oil and gas industry.

3.2.4. Banking

This section discusses the results of the questionnaire regarding the perceptions of banking sector business actors toward the implementation of CCS/CCUS in Indonesia. The discussion focuses on the role, contribution, and commitment of banking institutions in supporting CCS/CCUS implementation. The analysis examines the extent to which policy support is considered important to ensure that banking sector actors are willing to provide funding for CCS/CCUS projects in Indonesia. These perceptions are summarized in the statistical overview of banking respondent’s answers in Table 5.
Table 5. Statistical summary of banking respondents.
The questionnaire results from banking sector business actors indicate a consistent positive perception of the crucial role of CCS/CCUS technology in supporting emissions reduction in the upstream oil and gas sector, as reflected by an average score of 4.00 (SD 0.55). This view affirms that the financial sector has begun to see CCS/CCUS not only as a technological solution for decarbonization but also as a long-term investment opportunity with potential social, economic, and ecological benefits. These findings are in line with a study by [34], which notes that financial institutions are increasingly interested in financing CCS/CCUS projects as part of sustainable financing strategies.
However, doubts remain regarding its implementation (average score 3.69; SD 0.46), especially related to the limited actual application and the lack of immediate tangible benefits perceived by the oil and gas industry. This reflects the banking sector’s view that CCS/CCUS is a promising technology but not yet mature enough in the local context to become a dominant part of financing portfolios without policy support and market certainty.
Furthermore, banking sector actors strongly support the need for policy incentives and fiscal support (average score 4.25; SD 0.43), as well as the formulation of participatory policies (average score 4.33; SD 0.47) to ensure the continuity and success of CCS/CCUS projects. This perception aligns with the findings in [35], which emphasize the importance of regulatory guarantees and government involvement as catalysts for investor confidence in energy decarbonization projects.
However, regarding the aspects of contribution to the NDCs (average score 3.79; SD 0.50) and integration with carbon economic value policies (average score 3.58; SD 0.49), there appears to be structural doubt, indicating concern over the readiness of regulatory frameworks and government funding. As entities that are highly risk-sensitive, banks assess that the contribution of CCS/CCUS to NDC targets will heavily depend on the active role of the state in ensuring legal certainty, financial support, and international synergy.
Thus, while the investment potential of CCS/CCUS is acknowledged, banking sector actors demand a stronger and more integrative policy foundation to encourage their more active and sustainable involvement in funding CCS/CCUS projects.

3.2.5. Media

The questionnaire results explore the perspectives of respondents from the media sector regarding the role, implementation, and support for CCS/CCUS in Indonesia, as shown in Table 6. The focus is particularly on the contribution of CCS/CCUS technology to achieving NDC targets, the practice of carbon economic valuation, and government policy as a legal framework. This subsection aims to reveal how the media views the strategic role of CCS/CCUS in shaping public perception and influencing oil and gas industry policies that align with the government’s commitment to reducing greenhouse gas emissions.
Table 6. Statistical summary of media respondents.
The analysis of media sector perceptions indicates that they generally hold a positive view of the role of CCS/CCUS technology in efforts to reduce GHG emissions in the upstream oil and gas industry. This is reflected in the high average scores for the aspects of role (3.87) and policy support (4.87), suggesting that the media sees CCS/CCUS as a potential solution in the transition toward cleaner energy. Although some doubts remain, the media tends to agree that this technology can bring broad social, economic, and ecological benefits. The strong support for the policy aspect (average score 4.89; SD 0.31) reflects high expectations for the government’s role in designing policies that are not only adaptive to global dynamics but also participatory by involving multiple stakeholders.
These findings align with the study by [36], which notes that consistent media exposure to environmental and climate change issues drives public opinion and policymakers to become more open to mitigation technologies such as CCS/CCUS. In this regard, the media serves as a key actor in shaping public discourse and applying pressure on the government to accelerate policy reforms that support industrial decarbonization.
Nevertheless, despite supporting the application of CCS/CCUS (with an average score of 4.17), media stakeholders also voiced concerns about the effectiveness of this technology’s implementation in achieving Indonesia’s NDC targets. The lower scores for CCS/CCUS’s contribution to the NDCs (3.11; SD 0.74) and its integration into carbon economic value regulations (3.33; SD 0.82) indicate lingering doubts about the structural and policy readiness of the country. These concerns stem from the perception that government fiscal support and legal instruments for integrating CCS/CCUS into carbon economic value policies remain insufficient. This is further supported by the research of [33], who highlighted regulatory uncertainty as a major barrier to CCS/CCUS implementation in Indonesia.
Therefore, although the media strongly supports the development of this technology and recognizes its urgency, it also calls for more concrete and comprehensive regulatory governance and reform to ensure that CCS/CCUS can truly play a strategic role in achieving national decarbonization targets.

3.2.6. Association

The questionnaire results explore the perspectives of the public and oil and gas associations regarding the role and potential of CCS/CCUS in Indonesia, focusing on perceptions related to the implementation of this technology, its support for achieving NDC targets, and the practice of carbon economic valuation (Table 7). This discussion aims to reveal the extent to which the oil and gas sector perceives the opportunities and challenges in implementing sustainable CCS/CCUS policies from the viewpoint of communities and associations that are actively engaged in discourse and observation within the oil and gas field.
Table 7. Statistical summary of association respondents.
Respondents from the public and association sectors expressed strong enthusiasm for the role of CCS/CCUS technology in reducing GHG emissions, as reflected by an average score of 4.33 for its role and 3.96 for its implementation. This high level of agreement indicates a growing public understanding of climate change mitigation technologies, particularly within the context of the upstream oil and gas industry. Their confidence is reinforced by observations of initial CCS/CCUS initiatives by several oil and gas companies in Indonesia. This aligns with the findings in [37], which emphasize that public trust in decarbonization technologies increases when there are real-world examples of implementation. Moreover, the perception that CCS/CCUS offers social and ecological benefits suggests that the public views this technology not merely as a technocratic solution but as a sustainable one. Although some doubts remain, the level of confidence among the public and associations indicates strong potential for building social support for the long-term sustainability of CCS/CCUS projects in Indonesia.
However, when it comes to policy and implementation aspects, particularly in relation to contributing to NDC targets and integration into carbon economic value regulations, uncertainty begins to surface. The average score for CCS/CCUS contribution to the NDCs is only 3.28 (SD 0.80), while the carbon economic value-related aspect scored even lower at 2.78 (SD 0.85). This suggests that the public perceives uncertainty regarding the effectiveness of government policies in promoting CCS/CCUS as a national climate change mitigation strategy. These doubts are consistent with the findings by [38], which indicate that a lack of policy certainty and regulatory clarity is a key barrier to building public trust in CCS technologies.
Although respondents support the involvement of multiple stakeholders in policy formulation (score 4.33), they also call for greater transparency, more robust regulations, and guarantees of fiscal and international support to ensure successful implementation. In conclusion, while support for the technology is strong, its success remains highly dependent on more progressive and inclusive policy and regulatory reforms.

3.2.7. Stakeholder Perception Analysis

The Table 8 below shows the overall analysis, the average perception score regarding the importance of CCS/CCUS across all respondent groups is 4.06. This indicates a general agreement among all groups that CCS/CCUS should be implemented in the upstream oil and gas industry to reduce greenhouse gas emissions. The standard deviation for the importance aspect is 0.24, suggesting that the perceptions across stakeholder groups are relatively consistent.
Table 8. Triangulated statistics across respondents.
For the implementation aspect, the average score is 3.57, indicating that respondents are somewhat uncertain but generally lean toward agreement that CCS/CCUS can provide social, economic, and ecological benefits, provided that its implementation keeps pace with technological advancements. The standard deviation for this aspect is 0.42, which also reflects a relatively uniform perception across all respondent groups.
The results of cross-respondent statistical triangulation from six stakeholder groups (academics, oil and gas business actors, banking institutions, media, civil society/associations, and the government) illustrate a strong and relatively consistent consensus on the importance of supporting the implementation of CCS/CCUS in the upstream oil and gas industry. The average score of 4.40 with a low standard deviation (0.31) in the support aspect indicates that all respondent groups share the view that the success of CCS/CCUS largely depends on external support in the form of policy incentives, financing, and international cooperation. This finding aligns with those in the study by [32], which state that the success of global CCS projects strongly relies on sustainable and synergistic policy support across stakeholders. The low deviation reflects that despite differences in background and roles, stakeholder perceptions regarding the need for institutional and structural support are convergent. This points to a good socio-political readiness to advance CCS/CCUS, provided that policymakers respond concretely and promptly to these needs.
However, in terms of contribution to the NDCs (average score 3.40) and integration with carbon economic value policies (average score 3.01), there is a notable collective skepticism, although stakeholder perceptions remain consistent (with standard deviations of 0.24 and 0.4, respectively). This indicates that stakeholders consistently assess that while CCS/CCUS has potential to support NDC and NZE targets, unresolved structural challenges remain, such as regulatory gaps, funding uncertainty, and weak carbon economic value incentives. These findings reinforce the study by [29], which emphasizes that CCS technology will only make a real contribution to climate change mitigation if supported by a clear policy framework and realistic implementation targets.
Meanwhile, in the policy aspect, the high average score of 4.45 (SD 0.25) underscores the urgency of formulating participatory policies that involve all relevant actors. This shows that beyond fiscal and technical support, the dimensions of legitimacy and inclusiveness in policy design are crucial for building trust and strengthening cross-sector collaboration.
Thus, this triangulated analysis offers a critical perspective: The success of CCS/CCUS in Indonesia not only depends on technological readiness but is also highly influenced by adaptive, integrative, and participatory policy responses.

3.3. In-Depth Interview Analysis

The implementation of CCS/CCUS technology in Indonesia holds significant potential to reduce greenhouse gas (GHG) emissions. However, it faces a range of challenges across technical, economic, regulatory, and social dimensions. Various stakeholders, including government bodies, the business sector, academia, and civil society, have differing perspectives and interests regarding the adoption of this technology.
The following perception matrix (Table 9) illustrates the views of these stakeholder groups on CCS/CCUS in Indonesia, highlighting perceived potential, challenges, and key enablers needed to support its effective implementation.
Table 9. Matrix of stakeholder perceptions of CCS/CCUS in Indonesia.
Based on the above table, it is evident that the implementation of CCS/CCUS technology in Indonesia receives positive support from various stakeholders, despite several challenges that must be addressed. The government, oil and gas sector, and academia view CCS/CCUS as a technology with significant potential to help achieve national emission reduction targets and support the transition to a low-carbon economy. The government has issued several regulations to support the implementation of this technology; however, strengthening fiscal incentives and ensuring policy integration across ministries remain major challenges. This aligns with findings stating that optimizing local resources and securing funding from international partners are key to accelerating the deployment of CCS/CCUS in Indonesia.
However, a major challenge that must be overcome is the high cost of implementing this technology. The oil and gas sector and the banking industry emphasize the substantial costs of CCS/CCUS projects, which can range from USD 70 to 800 per ton of CO2, depending on the complexity and scale of the project. Without fiscal incentives or subsidies from the government, the technology will struggle to develop due to high costs and economic uncertainties. While the banking sector is committed to sustainable projects, it indicates that government support in the form of clearer regulations and incentives is crucial to accelerate financing and investment in CCS/CCUS technology.
In addition to technical and economic challenges, the social dimension is also a critical factor in the implementation of this technology, particularly concerning the social and economic impacts on local communities. Projects like the Tangguh LNG CCUS initiative in Teluk Bintuni have shown that such initiatives can deliver significant economic benefits to local communities, including job creation and workforce skill development. However, concerns remain among environmental groups and the public regarding the potential long-term environmental risks posed by carbon storage technologies. Therefore, further research and public education on the benefits and risks of CCS/CCUS are necessary to ensure social acceptance of its implementation.
Overall, although CCS/CCUS presents a promising solution for reducing Indonesia’s carbon emissions, its implementation requires collective efforts from various stakeholders to address challenges related to costs, policy, and social impact. The government needs to strengthen existing regulations, provide fiscal incentives, and promote cross-sectoral collaboration to ensure that CCS/CCUS can grow and make a meaningful contribution toward achieving net zero emissions (NZE) by 2060.

4. Discussion

An analysis of respondents from various stakeholder groups, including academics, upstream oil and gas industry players, banking professionals, media representatives, and expert associations, reveals interesting dynamics regarding perceptions of carbon capture and storage/utilization (CCS/CCUS) technologies in reducing greenhouse gas (GHG) emissions in Indonesia’s upstream oil and gas sector. In general, while there is support for CCS/CCUS as a technology with significant potential in climate change mitigation, there are also notable doubts and challenges in its implementation, particularly concerning policy, regulation, and industry readiness. These findings are supported by research from [39], which highlights a disconnect between the idealized perception of this technology and the practical realities of its application in the field.
Among academics, most respondents acknowledge the importance of CCS/CCUS technologies in reducing GHG emissions and recognize their potential social, economic, and ecological benefits. However, skepticism remains high regarding the effectiveness of implementing this technology within the Indonesian context. This is reflected in the considerable standard deviation related to its perceived role and contribution to the Nationally Determined Contributions (NDCs). As emphasized by [40], this uncertainty reflects concerns about how effectively this technology can be deployed in Indonesia’s upstream oil and gas sector, which already has several existing emission reduction initiatives. Moreover, the sector still faces major challenges related to the infrastructure and regulatory frameworks necessary to support CCS/CCUS implementation, as pointed out by [29].
Critical perspectives continue to challenge the efficacy of carbon capture and storage (CCS) and carbon capture, utilization, and storage (CCUS), despite numerous studies highlighting their strategic role in global efforts to mitigate climate change. At the global level, the Institute for Energy Economics and Financial Analysis [41] reports that even full-scale application of CCS/CCUS in the upstream oil and gas sector would only capture 10–15% of total CO2 emissions associated with oil and gas use, whether for fuel or as industrial feedstock. Supporting this view, [42], through an analysis of emission data from 2016 and 2020, estimated that greenhouse gas emissions from upstream oil and gas activities account for merely 3% of total emissions within the energy sector.
In Indonesia, skepticism toward CCS/CCUS is also voiced by prominent environmental organizations. The Indonesian Forum for the Environment (Walhi) criticizes these technologies as false solutions to the climate crisis. According to Fanny Tri Jambore, Campaign Manager for Mining and Energy at WALHI, the deployment of CCS/CCUS only exacerbates the adverse impacts of fossil fuel dependency. Echoing this concern, Iqbal Damanik of Greenpeace Indonesia argues that CCS not only is ineffective in reducing CO2 emissions into the atmosphere but is also expensive and potentially hazardous [43]. He emphasizes that Indonesia should instead prioritize forest conservation as a more reliable and sustainable approach to climate change mitigation.
Similar concerns are echoed by upstream oil and gas business actors. While they maintain a positive view of CCS/CCUS’s potential to reduce carbon emissions, they express significant doubts about its practical application in Indonesia. This uncertainty is largely due to the lack of successful pilot projects and real-world examples, making the technology appear untested in the local context. Although respondents support the need for stronger policy backing and fiscal incentives, they feel that CCS/CCUS is not yet mature enough to serve as an urgent or practical solution without solid regulatory support and guaranteed market mechanisms. This aligns with research by [44], which found that technological uncertainty and the absence of proven pilot projects have discouraged industry players from investing in CCS/CCUS.
In contrast, banking sector professionals tend to adopt a more pragmatic view of CCS/CCUS. They recognize the technology’s long-term potential for decarbonization but cite policy and regulatory uncertainty as major barriers to implementation. For the banking sector, CCS/CCUS’s contribution to Indonesia’s NDC targets is seen as highly dependent on government support in the form of clear regulations and adequate fiscal incentives. This perspective indicates that although the technology is considered a viable investment opportunity, banks, as risk-averse institutions, regard such investments as high-risk in the absence of policy guarantees and market certainty. Therefore, concrete steps from the government are necessary to provide regulatory clarity and support, enabling the banking sector to play a more active role in financing CCS/CCUS projects.
While carbon capture and storage (CCS) and carbon capture, utilization, and storage (CCUS) are recognized as essential components for decarbonizing hard-to-abate sectors in Indonesia such as cement, steel, and fossil-fuel-based power generation, their high implementation costs remain a key concern. According to recent studies, the levelized cost of carbon abatement for CCS projects in Southeast Asia, including Indonesia, ranges from USD 50 to USD 120 per ton of CO2 captured and stored, depending on the scale, location, and sector of application [45].
In comparison, the cost of abatement via renewable energy options such as solar PV has decreased significantly, with levelized costs of electricity (LCOE) in Indonesia now ranging from USD 40 to 70/MWh, and a carbon abatement cost of approximately USD 20–40 per ton CO2, depending on the displaced fossil fuel. Energy efficiency measures, particularly in industry and buildings, often offer the most cost-effective abatement opportunities, with negative or near-zero marginal costs.
However, it is important to note that CCS/CCUS addresses emissions in sectors where alternatives are currently limited or technologically immature. For instance, in the cement industry, process emissions from calcination are not avoidable through renewable energy alone, making CCS a critical option. Additionally, CCS infrastructure can play a complementary role by enabling low-carbon hydrogen production from natural gas (blue hydrogen), which may be essential during the energy transition period.
Thus, while CCS/CCUS may not currently compete on cost with renewables in the power sector, its strategic importance lies in its unique ability to decarbonize specific industrial processes and serve as a transitional technology in Indonesia’s broader net-zero pathway. Economic assessments and policy frameworks should, therefore, consider not only the absolute cost but also the role and timing of different technologies across sectors [46].
Meanwhile, media stakeholders express more positive views of CCS/CCUS’s role, reflected in high scores related to the technology’s role and policy support. As influential actors in shaping public opinion, media outlets play a critical role in framing societal perceptions of climate change and mitigation technologies. According to the findings, the media tends to support the adoption of CCS/CCUS but also voices concerns about the effectiveness of its implementation in achieving Indonesia’s NDC targets. These concerns center on the need for regulatory readiness and sufficient fiscal support to enable wider adoption. While the media acknowledges the technology’s potential, it emphasizes the importance of transparency in policy and regulatory frameworks to ensure more effective implementation.
Indonesia’s carbon monetization policy remains at an early stage of development and has yet to demonstrate effectiveness in generating a strong price signal [47]. Currently, the carbon tax is regulated only under the Law on the Harmonization of Tax Regulations, with an indicative rate of approximately USD 2 per ton of CO2. However, the absence of implementing regulations that define technical and operational schemes has rendered the instrument suboptimal. The relatively low tax rate does not provide sufficient leverage to drive industrial transition toward low-carbon practices, nor does it create a disincentive effect for high-emission activities.
As a complementary measure, Indonesia has launched a Carbon Exchange as part of its efforts to establish domestic carbon trading infrastructure. Through this platform, businesses may engage in carbon offset trading derived from emission reduction or removal projects, such as forest conservation or renewable energy development. Nevertheless, transaction volumes and market participation remain limited, with most trading activities still operating within the voluntary carbon market rather than being integrated into a national compliance system. The Emissions Trading System (ETS), a quota-based market instrument that has proven effective in several countries such as the European Union (EU ETS), China, and South Korea, has yet to be discussed comprehensively within Indonesia’s national policy framework.
For comparison, the European Union implemented its ETS in 2005, covering a wide range of sectors and operating with an emission allowance auctioning mechanism aligned with long-term decarbonization targets. China, despite only launching its national ETS in 2021, immediately included over 2000 power plants and adopted intensity-based market parameters. These examples illustrate that the success of carbon market instruments is largely dependent on three key factors: a clear regulatory framework, transparency in emissions data, and the active participation of businesses in a mandatory (compliance-based) system. In the Indonesian context, these three aspects still face structural challenges, including institutional readiness, measurement, reporting, and verification (MRV) systems, and the design of credible economic incentives.
Therefore, to ensure the effective functioning of carbon market instruments in Indonesia, policy refinement is needed in several key areas: (1) the formulation of implementing regulations for carbon taxation, including a progressively adjusted pricing scheme; (2) phased development of a national ETS starting with pilot programs in strategic sectors; and (3) strengthening of oversight, reporting capacities, and integration between the Carbon Exchange and national climate policy. Without these measures, the potential of the carbon market as an emissions reduction mechanism grounded in economic efficiency will be difficult to realize optimally.
On the other hand, expert associations display strong enthusiasm for the potential of CCS/CCUS technologies in reducing GHG emissions, with high average scores in terms of their role and implementation. However, like other respondent groups, they express concerns about policies and implementation efforts, particularly regarding how this technology contributes to achieving the NDCs and aligns with net zero emissions (NZE) strategies. This indicates that despite strong support for the technology, concerns remain about regulatory uncertainty and the government’s readiness to support widespread CCS/CCUS deployment.
Overall, findings from these diverse stakeholder groups suggest that while there is significant support for CCS/CCUS as a potential climate mitigation solution, deep uncertainties remain around its implementation. These doubts are linked to factors such as regulatory ambiguity, the lack of successful pilot projects, and the need for stronger fiscal and policy support. Most respondents from academia, upstream oil and gas businesses, the banking sector, media, and expert associations agree that the success of CCS/CCUS implementation in Indonesia heavily depends on inclusive and participatory policymaking, as well as consistent government fiscal support. Therefore, it is crucial for the government to develop clear, supportive, and integrated policies aligned with national decarbonization goals, and to strengthen regulatory frameworks that provide certainty to industry and financial sectors investing in CCS/CCUS technologies.
Furthermore, the greatest challenge in implementing CCS/CCUS in Indonesia lies in achieving synergy between the public and private sectors, as well as between the energy sector and climate policy. The government must ensure that CCS/CCUS-related regulations and policies are not solely developed in a top-down manner but instead involve meaningful participation from all stakeholders including the public, industry, and financial sectors. With comprehensive and integrated support, CCS/CCUS could serve as an effective solution for meeting Indonesia’s decarbonization targets, while also delivering sustainable social, economic, and ecological benefits. Without concrete action to improve supporting policies and regulations, the full potential of this technology may not be realized.
The findings presented above provide a broader picture of the challenges facing CCS/CCUS implementation in Indonesia, including uncertainty around policies, regulations, industry readiness, and fiscal support. In this context, it is important to recognize that beyond technical and policy-related issues, the implementation of CCS/CCUS also faces perception challenges across different sectors. While the technology is widely acknowledged to have high potential in reducing emissions, skepticism persists, particularly among non-oil and gas sectors and environmental groups, which perceive it as prolonging fossil-fuel use. This complicates broader acceptance of the technology, despite increasing pressure within the oil and gas industry itself to adopt CCS/CCUS as part of corporate emission reduction strategies.
Carbon capture and storage (CCS) and carbon capture, utilization, and storage (CCUS) are among the solutions for reducing emissions in the upstream oil and gas sector. The implementation of this technology still faces significant cost challenges, and there are many other emission reduction methods that are more economical and effective, such as the deployment of renewable energy sources.
The implementation of CCS/CCUS faces challenges with perception. The non-oil and gas sector perceive the CCS/CCUS campaign as an effort by oil companies to justify keeping fossil fuels in production. Meanwhile, within the oil and gas industry, this technology has evolved from “a nice to have” into “a must.” The pressure to participate in emission reduction efforts pushes the oil and gas industry to embrace CCS/CCUS as a new way of doing business.
The environmental sector finds it difficult to support the concept of a CCS hub for storing emissions from abroad. This is due to the imbalance between the fees imposed on emitters and the long-term environmental risks that must be borne. The absence of a global agreement on the monitoring, reporting, and verification (MRV) system creates uncertainty in assessing the extent of risks and mitigation strategies, making it difficult to predict long-term risk.
It is important to emphasize that stakeholder perceptions of CCS/CCUS are highly diverse, shaped by institutional positions, sectoral interests, and expectations regarding the direction of national decarbonization policies. This study reveals that while support for CCS/CCUS is relatively widespread, acceptance of the technology does not necessarily align with confidence in its feasibility and effectiveness within the Indonesian context. Policy uncertainty, the lack of successful pilot projects, and the absence of a comprehensive fiscal incentive system are major barriers that fuel skepticism, particularly among financial institutions and environmental groups. Moreover, negative perceptions from civil society and non-oil and gas actors highlight an imbalance in the narrative where CCS/CCUS is often seen as a strategy to sustain fossil-fuel dependence rather than a transformative solution for the energy transition. These findings reinforce previous studies, such as [48], which underscore the importance of social legitimacy in determining the success of decarbonization technologies, and research by [49], which found that CCS/CCUS is more likely to gain public acceptance when supported by transparent and participatory governance.
Furthermore, to make CCS/CCUS an integral part of Indonesia’s net zero emissions (NZE) strategy, a redefinition of policy approaches is needed—one that is more inclusive, grounded in climate justice, and focused on delivering cross-sectoral benefits [50]. The government must facilitate open and equitable multi-stakeholder dialogue to prevent the dominance of any single narrative, especially that of the oil and gas industry, and ensure that the aspirations of broader society, including vulnerable groups and younger generations, are meaningfully reflected in CCS/CCUS policymaking. In addition, the establishment of a credible, internationally standardized national measurement, reporting, and verification (MRV) system is essential to enhance accountability, reduce investment uncertainty, and mitigate long-term environmental risks. The success of CCS/CCUS depends heavily on cross-sector collaboration and integration with broader climate policies, including incentives for renewable energy [51]. Therefore, CCS/CCUS should not be viewed as a standalone solution, but rather as one component within a comprehensive decarbonization portfolio. If carefully managed, this technology has the potential to significantly contribute to accelerating Indonesia’s transition toward a low-carbon economy [52].

5. Conclusions

This study reveals that while CCS/CCUS technology is widely recognized as a strategic solution for emission reduction in Indonesia’s upstream oil and gas sector, its implementation still faces significant challenges, particularly in terms of economic feasibility, regulatory clarity, and institutional coordination. Most stakeholders support the adoption of CCS/CCUS due to its potential for climate change mitigation and economic opportunities through carbon trading. However, their perceptions remain fragmented due to limited technical information, policy uncertainty, and the lack of concrete fiscal incentives from the government.
Stronger, integrated policies, performance-based incentives, and active multi-stakeholder involvement are essential to building trust and participation. Moreover, the integration of CCS/CCUS into Indonesia’s carbon pricing mechanisms and Nationally Determined Contribution (NDC) targets for 2030 must be accelerated through evidence-based strategies and cross-sector collaboration. This research is limited by the number of respondents and sectoral scope. Future studies should expand the sample across regions and conduct deeper quantitative assessments on technology performance and financial models to strengthen policy recommendations.
The findings also reveal a consensus on the strategic importance of CCS/CCUS for climate mitigation, yet considerable concerns persist around financial viability, regulatory clarity, and long-term environmental risks. Respondents from the government and industry support the role of CCS/CCUS but highlight the lack of concrete fiscal incentives and integrated regulatory frameworks as major barriers. The academic community stresses the need for evidence-based policy support, while the financial sector emphasizes risk-mitigation mechanisms to improve investment certainty. Media and civil society actors support the concept in principle but caution against the technology becoming a justification for continued fossil-fuel reliance without systemic policy reform.
This study concludes that while CCS/CCUS is viewed positively across stakeholder groups, successful deployment in Indonesia requires adaptive, inclusive, and participatory policy design, underpinned by strong fiscal mechanisms and transparent governance. Integration of CCS/CCUS into Indonesia’s carbon pricing framework, along with the establishment of a credible national measurement, reporting, and verification (MRV) system, is vital to enhance legitimacy and investment confidence. These insights provide a roadmap for aligning technology deployment with national decarbonization goals, ensuring that CCS/CCUS becomes a transformative solution in Indonesia’s energy transition pathway.

Author Contributions

Conceptualization: R.R. and J.S.; Methodology: R.H.S.K. and J.S.; Validation: R.R. and R.H.S.K.; Formal Analysis: R.R. and U.S.H.; Resources: R.R., J.S. and R.H.S.K.; Writing Original Draft Preparation: R.R. and R.H.S.K.; Writing Review and Editing: R.R. and J.S.; Visualization: R.R.; Supervision: J.S., R.H.S.K. and U.S.H. All authors have read and agreed to the published version of the manuscript.

Funding

This research received no external funding.

Institutional Review Board Statement

Not applicable.

Data Availability Statement

The data presented in this study are available on request from corresponding authors.

Conflicts of Interest

The authors declare no conflict of interest.

Abbreviations

The following abbreviations are used in this manuscript.
BRIBank Rakyat Indonesia
CCSCarbon capture and storage
CCUSCarbon capture, utilization, and storage
EoREnhanced oil recovery
GHGGreenhouse gas
IAFMIIndonesian Association of Oil & Gas Production Facilities
IATMIIndonesian Association of Petroleum Engineers
IESAIndonesian Environmental Scientist Association
ITBBandung Institute of Technology
LNGLiquid natural gas
MRVMeasurement, reporting, and verification
NDCNationally Determined Contribution
NZENet zero emission
UIUniversitas Indonesia
UoBUnited Overseas Bank

References

  1. Puigserver, D.; Giménez, J.; Gràcia, F.; Granell, À.; Carmona, J.M.; Torrandell, A.; Fornós, J.J. Effects of global and climate change on the freshwater-seawater interface movement in a Mediterranean karst aquifer of Mallorca Island. Sci. Total Environ. 2024, 912, 169246. [Google Scholar] [CrossRef] [PubMed]
  2. Sadhukhan, J. Net-Zero Action Recommendations for Scope 3 Emission Mitigation Using Life Cycle Assessment. Energies 2022, 15, 5522. [Google Scholar] [CrossRef]
  3. Li, K.; Pan, J.; Xiong, W.; Xie, W.; Ali, T. The impact of 1.5 °C and 2.0 °C global warming on global maize production and trade. Sci. Rep. 2022, 12, 17268. [Google Scholar] [CrossRef] [PubMed]
  4. Shi, L.; Morovati, K.; Sun, J.; Lin, B.; Zuo, X. Combined effects of climatic change and hydrological conditions on thermal regimes in a deep channel-type reservoir. Environ. Monit. Assess. 2023, 195, 334. [Google Scholar] [CrossRef]
  5. Pearce, J.M.; Parncutt, R. Quantifying Global Greenhouse Gas Emissions in Human Deaths to Guide Energy Policy. Energies 2023, 16, 6074. [Google Scholar] [CrossRef]
  6. Abebe, W.T.; Endalie, D. Artificial intelligence models for prediction of monthly rainfall without climatic data for meteorological stations in Ethiopia. J. Big Data 2023, 10, 2. [Google Scholar] [CrossRef]
  7. Lesnikowski, A.C.; Ford, J.D.; Berrang-Ford, L.; Barrera, M.; Heymann, J. How are we adapting to climate change? A global assessment. Mitig. Adapt. Strat. Glob. Change 2015, 20, 277–293. [Google Scholar] [CrossRef]
  8. Lukose, L.P. Global Warming and Climate Change: A Critique on International Law and Policy. J. Contemp. Urban Aff. 2017, 1, 38–42. [Google Scholar] [CrossRef]
  9. Li, M.; Pelz, S.; Lamboll, R.; Wang, C.; Rogel, J. A justice-based framework to determine countries’ fair warming contributions to Paris Agreement. Nat. Commun. 2025, 16, 1–13. [Google Scholar] [CrossRef]
  10. Sulistiawati, L.Y.; Rembeth, I.A. Climate change regulations in subnational governments of the Southeast Asian countries: Case studies from Indonesia and the Philippines. J. Energy Nat. Resour. Law 2025, 1–28. [Google Scholar] [CrossRef]
  11. Hermudananto; Belair, E.P.; Hasbillah, H.; Ellis, P.W.; Ruslandi; Putz, F.E. Potential Reductions in Carbon Emissions from Indonesian Forest Concessions Through Use of Reduced-Impact Logging Practices. Forests 2024, 15, 2198. [Google Scholar] [CrossRef]
  12. Kotagodahetti, R.; Hewage, K.; Karunathilake, H.; Sadiq, R. Long-term feasibility of carbon capturing in community energy systems: A system dynamics-based evaluation. J. Clean. Prod. 2022, 377, 134460. [Google Scholar] [CrossRef]
  13. Gao, X.; Yang, S.; Wang, B.; Zhang, Y.; Hu, J.; Wang, M.; Shen, B.; Zhao, E.; Rui, Z. Wellbore-reservoir and multiphysics coupling model for liquid CO2 cyclic injection in a CCUS-EGR framework. J. Hydrol. 2025, 658, 133188. [Google Scholar] [CrossRef]
  14. Lu, W.; Qi, S.; Zheng, B.; Zhang, W.; Wang, Z.; Ru, Y.; Zhang, Y.; Ma, L.; Diao, Y.; Fu, L. Optimisation study of carbon dioxide geological storage sites based on GIS and machine learning algorithms. Geomech. Geophys. Geo-Energy Geo-Resour. 2025, 11, 19. [Google Scholar] [CrossRef]
  15. Leonzio, G.; Zondervan, E. Analysis and optimization of carbon supply chains integrated to a power to gas process in Italy. J. Clean. Prod. 2020, 269, 122172. [Google Scholar] [CrossRef]
  16. Sun, L.; Chen, W. Impact of carbon tax on CCUS source-sink matching: Finding from the improved ChinaCCS DSS. J. Clean. Prod. 2022, 333, 130027. [Google Scholar] [CrossRef]
  17. Sun, Y.; Ma, Y.; Yang, F.; Liu, H.; Li, S.; Li, X. Application of molecular dynamics simulation in CO2-EOR and CO2 geological storage: A review. Geoenergy Sci. Eng. 2025, 251, 213894. [Google Scholar] [CrossRef]
  18. Xing, H.; Yu, F.; Li, X.; Bao, Y.; Ye, W.; Li, C.; Zheng, S.; Huang, M. Application of ionic liquids in CO2 capture and conversion: A review. Sep. Purif. Technol. 2024, 360, 130981. [Google Scholar] [CrossRef]
  19. Hong, W.Y. A techno-economic review on carbon capture, utilisation and storage systems for achieving a net-zero CO2 emissions future. Carbon Capture Sci. Technol. 2022, 3, 100044. [Google Scholar] [CrossRef]
  20. Ramadhan, R.; Mon, M.T.; Tangparitkul, S.; Tansuchat, R.; Agustin, A. Carbon capture, utilization, and storage in Indonesia: An update on storage capacity, current status, economic viability, and policy. Energy Geosci. 2024, 5, 100335. [Google Scholar] [CrossRef]
  21. Sitinjak, C.; Ebennezer, S.; Ober, J. Exploring Public Attitudes and Acceptance of CCUS Technologies in JABODETABEK: A Cross-Sectional Study. Energies 2023, 16, 4026. [Google Scholar] [CrossRef]
  22. Aziz, P.A.; Marhaendrajana, T.; Nurhandoko, B.E.B.; Siagian, U.W.R. Time-Dependent CO2-Brine-Rock Interaction Effect on Sand Onset Prediction: A Case Study of Dolomite-Rich Sandstone in Air Benakat Formation, South Sumatra, Indonesia. ACS Omega 2025, 10, 14787–14807. [Google Scholar] [CrossRef] [PubMed]
  23. Kabir, M.A.; Khan, S.A.; Kabir, G. Carbon capture, utilization, and storage (CCUS) supply chain risk management framework development. Clean Technol. Environ. Policy 2024, 27, 1927–1952. [Google Scholar] [CrossRef]
  24. Dhingra, G.; Kumar, A. Carbon Capture and Sequestration: Cutting-Edge Technologies to Combat Climate Change. Sustain. Energy Technol. Assess. 2025, 75, 104226. [Google Scholar] [CrossRef]
  25. Yang, L.; Hou, H.; Lv, H.; Wu, G.; Xu, B.; Li, Y. Exploring the development path of bioenergy carbon capture and storage for achieving carbon neutrality in China: A systematic review. Renew. Sustain. Energy Rev. 2025, 216, 115685. [Google Scholar] [CrossRef]
  26. Zhang, W.; Chen, X.; Wang, Y.; Zhu, K.; He, L. The evolution of CCS-EOR technology diffusion involving multi-agent participation under dual carbon targets: A system dynamics and prospect theory approach. Sustain. Futures 2025, 9, 100642. [Google Scholar] [CrossRef]
  27. Bou-Hamdan, K.F.; Sufyan, F.; Hashim Abbas, A. Carbon Capture, Utilization, and Storage in the MENA Region: A Regional Review of Projects and Challenges. Arab. J. Sci. Eng. 2025, 50, 4529–4549. [Google Scholar] [CrossRef]
  28. Leonzio, G.; Bogle, D.; Foscolo, P.U.; Zondervan, E. Optimization of CCUS supply chains in the UK: A strategic role for emissions reduction. Chem. Eng. Res. Des. 2020, 155, 211–228. [Google Scholar] [CrossRef]
  29. Ma, J.; Li, L.; Wang, H.; Du, Y.; Ma, J.; Zhang, X.; Wang, Z. Carbon Capture and Storage: History and the Road Ahead. Engineering 2022, 14, 33–43. [Google Scholar] [CrossRef]
  30. Hasan, M.M.F.; Zantye, M.S.; Kazi, M.K. Challenges and opportunities in carbon capture, utilization and storage: A process systems engineering perspective. Comput. Chem. Eng. 2022, 166, 107925. [Google Scholar] [CrossRef]
  31. Mulyasari, F.; Harahap, A.K.; Rio, A.O.; Sule, R.; Kadir, W.G.A. Potentials of the public engagement strategy for public acceptance and social license to operate: Case study of Carbon Capture, Utilisation, and Storage Gundih Pilot Project in Indonesia. Int. J. Greenh. Gas Control 2021, 108, 103312. [Google Scholar] [CrossRef]
  32. Tian, X.; Kang, J.-N.; Dai, M.; Li, X.; Ji, Y.-Z.; Liu, L.-C.; Wei, Y.-M. Unleashing tomorrow’s potential: A comprehensive exploration of risks in carbon capture and storage. Renew. Sustain. Energy Rev. 2025, 210, 115174. [Google Scholar] [CrossRef]
  33. Bajpai, S.; Shreyash, N.; Singh, S.; Memon, A.R.; Sonker, M.; Tiwary, S.K.; Biswas, S. Opportunities, challenges and the way ahead for carbon capture, utilization and sequestration (CCUS) by the hydrocarbon industry: Towards a sustainable future. Energy Rep. 2022, 8, 15595–15616. [Google Scholar] [CrossRef]
  34. Deng, Q.; Ling, X.; Zhang, K.; Tan, L.; Qi, G.; Zhang, J. CCS and CCUS Technologies: Giving the Oil and Gas Industry a Green Future. Front. Energy Res. 2022, 10, 2020–2023. [Google Scholar] [CrossRef]
  35. Aziz, S.A.; Habib, M.; Saleem, Q.A. Policymaking Process and Methods: An Institutional Analysis. Pak. J. Int. Aff. 2023, 6, 402–413. [Google Scholar] [CrossRef]
  36. Tsimplis, M.; Noussia, K. The use of ships within a CCUS system: Regulation and liability. Resour. Conserv. Recycl. 2022, 181, 106218. [Google Scholar] [CrossRef]
  37. Wædegaard, M.; Hvemon, S.; Pedersen, M.J. Can media influence public support for carbon capture and storage? Comparing the impacts of frames in Denmark. Energy Res. Soc. Sci. 2024, 110, 103452. [Google Scholar] [CrossRef]
  38. Vishal, V.; Chandra, D.; Singh, U.; Verma, Y. Understanding initial opportunities and key challenges for CCUS deployment in India at scale. Resour. Conserv. Recycl. 2021, 175, 105829. [Google Scholar] [CrossRef]
  39. Xie, Y.; Hou, Z.; Liu, H.; Cao, C.; Qi, J. The sustainability assessment of CO2 capture, utilization and storage (CCUS) and the conversion of cropland to forestland program (CCFP) in the Water–Energy–Food (WEF) framework towards China’s carbon neutrality by 2060. Environ. Earth Sci. 2021, 80, 468. [Google Scholar] [CrossRef]
  40. Tcvetkov, P.; Cherepovitsyn, A.; Fedoseev, S. The changing role of CO2 in the transition to a circular economy: Review of carbon sequestration projects. Sustainability 2019, 11, 5834. [Google Scholar] [CrossRef]
  41. Samosir, Y.O.; Widayatno, R.L.; Yanto, S. Implementation of CCUS Technology in the Development of Steam Power Plants: Challenges and Opportunities in the Era of Energy Transition. Formosa J. Sci. Technol. 2025, 4, 925–934. [Google Scholar] [CrossRef]
  42. Yasemi, S.; Khalili, Y.; Sanati, A.; Bagheri, M. Carbon Capture and Storage: Application in the Oil and Gas Industry. Sustainability 2023, 15, 14486. [Google Scholar] [CrossRef]
  43. Godec, M.; Carpenter, S.; Coddington, K. Evaluation of Technology and Policy Issues Associated with the Storage of Carbon Dioxide via Enhanced Oil Recovery in Determining the Potential for Carbon Negative Oil. Energy Procedia 2017, 114, 6563–6578. [Google Scholar] [CrossRef]
  44. Robertson, B.; Mousavian, M. The Carbon Capture Crux: Lessons Learned. Institute for Energy Economics and Financial Analysis. 2022. Available online: https://ieefa.org/resources/carbon-capture-crux-lessons-learned (accessed on 19 June 2025).
  45. Karuniasa, M. Final Report on Carbon Economic Value Roadmap as an Effort to Support Low Carbon Initiatives in the Upstream Oil and Gas Industry in Indonesia; University of Indonesia: Kota Depok, Indonesia, 2023. [Google Scholar]
  46. Utomo, G.P.; Güleç, N. Preliminary geochemical investigation of a possible CO2 injection in the Ungaran geothermal field, Indonesia: Equilibrium and kinetic modeling. Greenh. Gases Sci. Technol. 2021, 11, 3–18. [Google Scholar] [CrossRef]
  47. International Energy Agency (IEA). The Oil and Gas Industry in Energy Transitions; IEA: Paris, France, 2023; Volume 165, Available online: https://www.iea.org/reports/the-oil-and-gas-industry-in-net-zero-transitions (accessed on 19 June 2025).
  48. Bintang, H.M. 2023’s Update on The Levelized Cost of Electricity and Levelized Cost of Storage in Indonesia; IESR: Jakarta, Indonesia, 2023. [Google Scholar]
  49. Leo, S.; Hakim, M.F.; Pambudi, P.A.; Pramudianto, A. The Role of an Ecosystem Restoration Company in Reducing Carbon Emission in the Perspective of the Carbon Pricing Scheme in Indonesia. AIP Conf. Proc. 2024, 3001, 080033. [Google Scholar] [CrossRef]
  50. Pambudi, P.A. Climate Change Adaptation as a Leverage of Economic Growth: Strengthening Socio-Economic Resilience of Coastal Communities in Subang Regency. Subang Int. J. Gov. Account. 2025, 3, 15–23. [Google Scholar]
  51. Larkin, P.; Leiss, W.; Krewski, D. The evolution of regulatory practice for CCS projects in Canada. Int. J. Risk Assess. Manag. 2019, 22, 286. [Google Scholar] [CrossRef]
  52. Pambudi, P.A.; Utomo, S.W.; Soelarno, S.W.; Takarina, N.D. Coal mining reclamation as an environmental recovery effort: A review. J. Degrad. Min. Lands Manag. 2023, 10, 4811–4821. [Google Scholar] [CrossRef]
Disclaimer/Publisher’s Note: The statements, opinions and data contained in all publications are solely those of the individual author(s) and contributor(s) and not of MDPI and/or the editor(s). MDPI and/or the editor(s) disclaim responsibility for any injury to people or property resulting from any ideas, methods, instructions or products referred to in the content.

Article Metrics

Citations

Article Access Statistics

Multiple requests from the same IP address are counted as one view.