Mixed Compost Application: A Sustainable Tool for Improving Soil Carbon Dynamics in a Peach Orchard Under Mediterranean Conditions
Abstract
1. Introduction
2. Materials and Methods
2.1. Study Site and Experimental Design
2.2. Soil Physics and Chemistry
2.3. The Potential and Actual Respiration
2.4. Yield, Quality of Fruits and Carbon Emission Efficiency
2.5. Statistical Analysis
3. Results
3.1. Meteorological Conditions
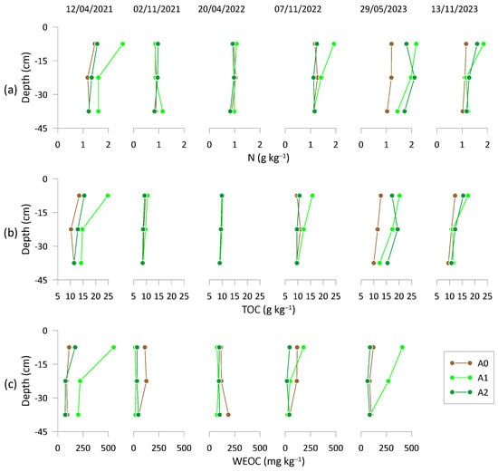
3.2. Soil Physics and Chemistry
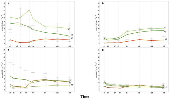
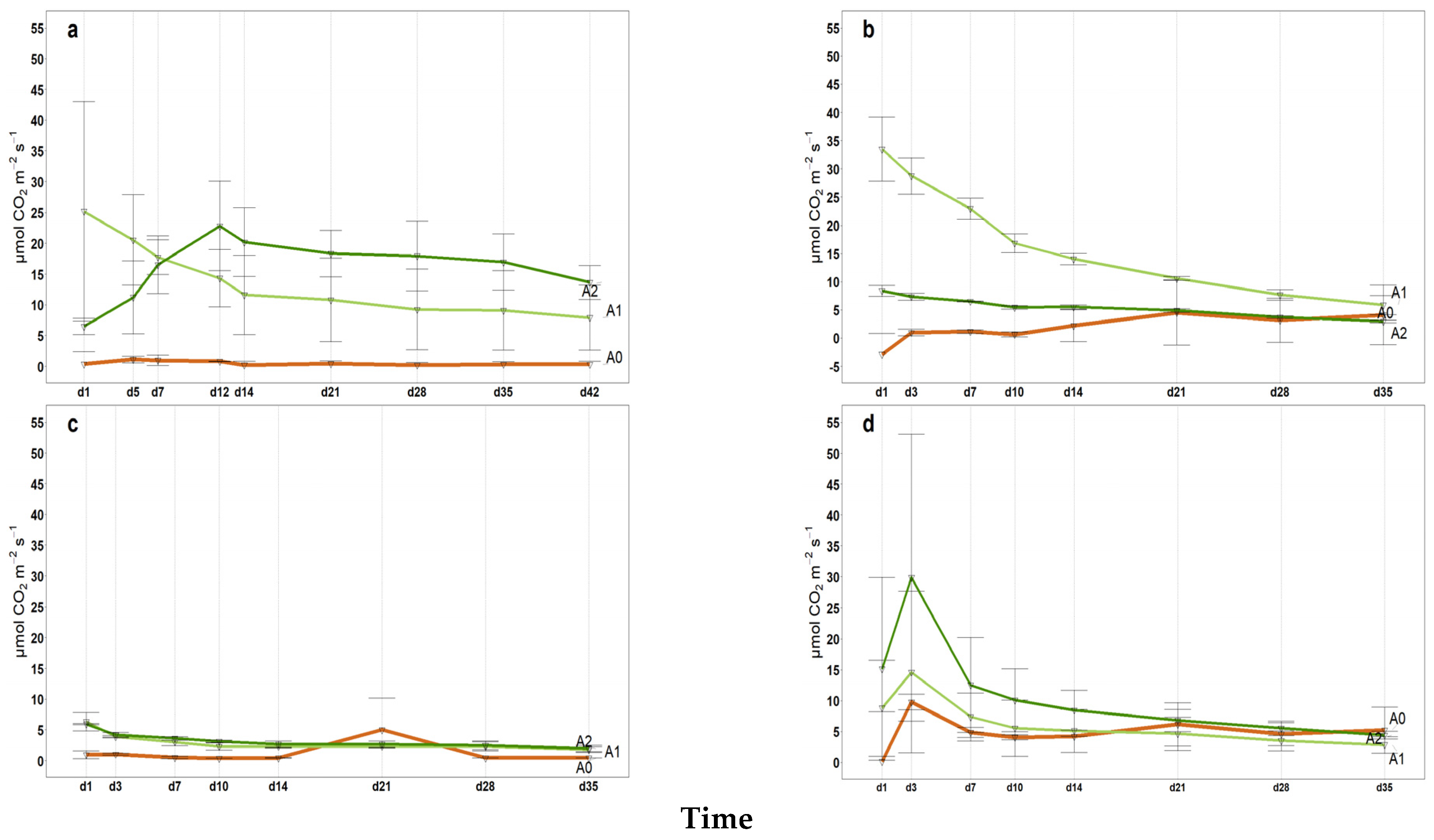
3.3. The Potential and the Actual Respiration Dynamics
3.4. Yield and Quality of Fruits and Carbon Emission Efficiency
4. Discussion
5. Conclusions
Author Contributions
Funding
Institutional Review Board Statement
Informed Consent Statement
Data Availability Statement
Acknowledgments
Conflicts of Interest
Abbreviations
| BD | Bulk Density |
| C | Carbon |
| C0 | Potentially Mineralizable C |
| CEE | Carbon Emission Efficiency |
| Cm | Cumulative Mineralized C |
| CO2 | Carbon Dioxide |
| EC | Electrical Conductivity |
| FCO2_a | Actual Respiration Fluxes |
| FCO2_p | Potential Respiration Fluxes |
| GHG | Greenhouse Gas |
| FF | Flesh Firmness |
| FW | Fruit Weight |
| k | Rate Constant |
| MCA | Mixed Compost Amendment |
| N | Nitrogen |
| OA | Organic Amendments |
| OC | Overcolour |
| P | Phosphorus |
| PA | Potential Basal Respiration |
| Resp 24h | Soil Respiration during the first 24 h |
| SOC | Soil Organic Carbon |
| SOM | Soil Organic Matter |
| SR | Soil Respiration |
| SWC | Soil Water Content |
| TOC | Total Organic Carbon |
| Trt | Treatment |
| TSS | Total Soluble Solids |
| WEOC | Water-Extractable Organic Carbon |
| WFPS | Water- Filled Pore Space |
| Y | Yield |
Appendix A






Appendix B
| Year | Month | Treatment | Mean Cumulated Microbial SR | Mean Hourly Microbial SR | Resp 24h | C0 | k |
|---|---|---|---|---|---|---|---|
| 2021 | April | A0 | 6.39 b | 0.48 c | 1.18 c | 54.39 c | 0.01 c |
| A1 | 43.24 a | 3.35 a | 5.15 a | 160.60 a | 0.02 b | ||
| A2 | 32.10 ab | 2.53 b | 3.66 b | 88.41 b | 0.03 a | ||
| May | A0 | 18.36 b | 1.30 b | 3.11 c | 173.20 c | 0.008 c | |
| A1 | 212.85 a | 15.55 a | 27 a | 505.70 a | 0.05 a | ||
| A2 | 68.51 b | 5.05 b | 11.21 b | 199 b | 0.03 b | ||
| July | A0 | 4.24 b | 0.93 b | nd | nd | nd | |
| A1 | 34.56 a | 2.72 a | 4.90 a | 102.7 a | 0.05 a | ||
| A2 | 14.49 ab | 1.20 b | 1.67 b | 46.3 b | 0.04 b | ||
| September | A0 | 20.04 c | 1.11 | 3.85 b | 42.90 c | 0.04 a | |
| A1 | 160.28 a | 1.55 | 4.95 a | 66.26 a | 0.03 b | ||
| A2 | 106.39 b | 1.68 | 2.83 c | 54.70 b | 0.02 c | ||
| November | A0 | 16.49 | 1.33 | 6.42 c | 31.19 c | 0.07 a | |
| A1 | 30.66 | 2.53 | 8.40 b | 61.83 b | 0.06 b | ||
| A2 | 36.36 | 2.48 | 8.79 a | 82.90 a | 0.05 c | ||
| 2022 | April | A0 | 8.37 b | 0.85 b | 0.37 b | 25.65 b | 0.02 b |
| A1 | 323.98 a | 16.96 a | 25.20 a | 750.80 a | 0.03 a | ||
| A2 | 330.55 a | 16.90 a | nd | nd | nd | ||
| June | A0 | 11.39 b | 10.93 ab | 1.64 c | 41.57 c | 0.02 c | |
| A1 | 260.33 a | 17.01 a | 33.47 a | 518.70 a | 0.06 a | ||
| A2 | 81.46 b | 5.23 b | 8.41 b | 257.80 b | 0.03 b | ||
| September | A0 | 26.57 | 2.07 | 0.95 c | 142.3 c | 0.01 c | |
| A1 | 43.42 | 2.97 | 5.95 b | 144.2 b | 0.3 a | ||
| A2 | 47.15 | 3.13 | 6.33 a | 160.9 a | 0.02 b | ||
| November | A0 | 83.76 b | 5.12 b | 8.54 c | 208 c | 0.04 c | |
| A1 | 117.93 ab | 18.11 ab | 8.79 b | 260 b | 0.05 b | ||
| A2 | 190.03 a | 22.07 a | 15.12 a | 374 a | 0.06 a | ||
| 2023 | May | A0 | 23.08 b | 7.17 c | 4.68 c | 66.16 c | 0.03 c |
| A1 | 681.85 a | 31.13 a | 35.63 a | 1393.00 a | 0.05 a | ||
| A2 | 327.79 b | 19.77 b | 27.41 b | 852.50 b | 0.03 b | ||
| July | A0 | 10.01 | 2.08 b | −0.55 c | nd | nd | |
| A1 | 155.71 | 12.86 a | 8.05 a | nd | nd | ||
| A2 | 196.51 | 10.35 a | 6.51 b | nd | nd | ||
| September | A0 | 7.78 | 8.60 b | 7.19 a | nd | nd | |
| A1 | 64.46 | 4.40 c | 4.61 c | nd | nd | ||
| A2 | 53.6 | 13.90 a | 5.47 b | nd | nd | ||
| November | A0 | 34.16 b | 4.18 | 4.87 c | 100.90 c | 0.03 a | |
| A1 | 97.81 a | 6.45 | 10.90 a | 359.80 a | 0.02 b | ||
| A2 | 60.47 ab | 5.1 | 9.73 | 189.20 b | 0.03 b | ||
| Trt | p-value | 2.57 × 10−11 *** | 5.51 × 10−11 *** | 3.02 × 10−8 *** | 4.49 × 10−7 *** | 0.0101 * | |
| Year | p-value | 4.17 × 10−8 *** | 1.15 × 10−14 *** | 1.23 × 10−5 *** | 2.30 × 10−9 *** | 0.2529 | |
| Trt × Year | p-value | 0.000483 *** | 0.0567 | 0.0183 * | 5.69 × 10−5 *** | 0.9775 |
References
- Paustian, K.; Six, J.; Elliott, E.; Hunt, H. Management options for reducing CO2 emissions from agricultural soils. Biogeochemistry 2000, 48, 147–163. [Google Scholar] [CrossRef]
- Ussiri, D.A.; Lal, R. Long-term tillage effects on soil carbon storage and carbon dioxide emissions in continuous corn cropping system from an alfisol in Ohio. Soil Tillage Res. 2009, 104, 39–47. [Google Scholar] [CrossRef]
- Coyne, M.; Zhai, Q.; Mackown, C.; Barnhisel, R.J.S.b. Gross nitrogen transformation rates in soil at a surface coal mine site reclaimed for prime farmland use. Soil Biol. Biochem. 1998, 30, 1099–1106. [Google Scholar] [CrossRef]
- Guo, Z.; Han, J.; Li, J.; Xu, Y.; Wang, X.J.P.O. Effects of long-term fertilization on soil organic carbon mineralization and microbial community structure. PLoS ONE 2019, 14, e0211163. [Google Scholar]
- Liu, Z.; Rong, Q.; Zhou, W.; Liang, G. Effects of inorganic and organic amendment on soil chemical properties, enzyme activities, microbial community and soil quality in yellow clayey soil. PLoS ONE 2017, 12, e0172767. [Google Scholar] [CrossRef]
- Linn, D.M.; Doran, J.W. Effect of water-filled pore space on carbon dioxide and nitrous oxide production in tilled and nontilled soils. Soil Sci. Soc. Am. J. 1984, 48, 1267–1272. [Google Scholar] [CrossRef]
- Grave, R.A.; da Silveira Nicoloso, R.; Cassol, P.C.; Aita, C.; Corrêa, J.C.; Dalla Costa, M.; Fritz, D.D. Short-term carbon dioxide emission under contrasting soil disturbance levels and organic amendments. Soil Tillage Res. 2015, 146, 184–192. [Google Scholar] [CrossRef][Green Version]
- Briceño, G.; Palma, G.; Durán, N. Influence of organic amendment on the biodegradation and movement of pesticides. Crit. Rev. Environ. Sci. Technol. 2007, 37, 233–271. [Google Scholar] [CrossRef]
- Aguilera, E.; Lassaletta, L.; Gattinger, A.; Gimeno, B.S. Managing soil carbon for climate change mitigation and adaptation in Mediterranean cropping systems: A meta-analysis. Agric. Ecosyst. Environ. 2013, 168, 25–36. [Google Scholar] [CrossRef]
- Fontaine, S.; Bardoux, G.; Abbadie, L.; Mariotti, A. Carbon input to soil may decrease soil carbon content. Ecol. Lett. 2004, 7, 314–320. [Google Scholar] [CrossRef]
- Adani, F.; Tambone, F.; Genevini, P. Effect of compost application rate on carbon degradation and retention in soils. Waste Manag. 2009, 29, 174–179. [Google Scholar]
- Ryals, R.; Silver, W.L. Effects of organic matter amendments on net primary productivity and greenhouse gas emissions in annual grasslands. Ecol. Appl. 2013, 23, 46–59. [Google Scholar] [CrossRef] [PubMed]
- Thangarajan, R.; Bolan, N.S.; Tian, G.; Naidu, R.; Kunhikrishnan, A. Role of organic amendment application on greenhouse gas emission from soil. Sci. Total Environ. 2013, 465, 72–96. [Google Scholar] [CrossRef] [PubMed]
- Mäkiranta, P.; Minkkinen, K.; Hytönen, J.; Laine, J. Factors causing temporal and spatial variation in heterotrophic and rhizospheric components of soil respiration in afforested organic soil croplands in Finland. Soil Biol. Biochem. 2008, 40, 1592–1600. [Google Scholar] [CrossRef]
- Suleau, M.; Moureaux, C.; Dufranne, D.; Buysse, P.; Bodson, B.; Destain, J.-P.; Heinesch, B.; Debacq, A.; Aubinet, M. Respiration of three Belgian crops: Partitioning of total ecosystem respiration in its heterotrophic, above- and below-ground autotrophic components. Agric. For. Meteorol. 2011, 151, 633–643. [Google Scholar] [CrossRef]
- Rana, G.; Palatella, L.; Scanlon, T.M.; Martinelli, N.; Ferrara, R.M. CO2 and H2O flux partitioning in a Mediterranean cropping system. Agric. For. Meteorol. 2018, 260, 118–130. [Google Scholar] [CrossRef]
- Bravo, K.; Toselli, M.; Baldi, E.; Marcolini, G.; Sorrenti, G.; Quartieri, M.; Marangoni, B. Effect of organic fertilization on carbon assimilation and partitioning in bearing nectarine trees. Sci. Hortic. 2012, 137, 100–106. [Google Scholar] [CrossRef]
- Tomè, E.; Ventura, M.; Folegot, S.; Zanotelli, D.; Montagnani, L.; Mimmo, T.; Tonon, G.; Tagliavini, M.; Scandellari, F. Mycorrhizal contribution to soil respiration in an apple orchard. Appl. Soil Ecol. 2016, 101, 165–173. [Google Scholar] [CrossRef]
- Badia, D.; Alcañiz, J. Basal and specific microbial respiration in semiarid agricultural soils: Organic amendment and irrigation management effects. Geomicrobiol. J. 1993, 11, 261–274. [Google Scholar] [CrossRef]
- Boonman, J.; Hefting, M.M.; van Huissteden, C.J.; van den Berg, M.; van Huissteden, J.; Erkens, G.; Melman, R.; van der Velde, Y. Cutting peatland CO2 emissions with water management practices. Biogeosciences 2022, 19, 5707–5727. [Google Scholar] [CrossRef]
- Ferrara, R.M.; Mazza, G.; Muschitiello, C.; Castellini, M.; Stellacci, A.M.; Navarro, A.; Lagomarsino, A.; Vitti, C.; Rossi, R.; Rana, G. Short-term effects of conversion to no-tillage on respiration and chemical-physical properties of the soil: A case study in a wheat cropping system in semi-dry environment. Ital. J. Agrometeorol. 2017, 1, 47–58. [Google Scholar]
- Memoli, V.; De Marco, A.; Baldantoni, D.; De Nicola, F.; Maisto, G. Short-and long-term effects of a single application of two organic amendments. Ecosphere 2017, 8, e02009. [Google Scholar] [CrossRef]
- Livingston, G. Enclosure-based measurement of trace gas exchange: Applications and sources of error. In Biogenic Trace Gases: Measuring Emissions from Soil and Water; Blackwell Science Ltd.: Oxford, UK, 1994; pp. 14–17. [Google Scholar]
- Healy, R.W.; Striegl, R.G.; Russell, T.F.; Hutchinson, G.L.; Livingston, G.P. Numerical Evaluation of Static-Chamber Measurements of Soil—Atmosphere Gas Exchange: Identification of Physical Processes. Soil Sci. Soc. Am. J. 1996, 60, 740–747. [Google Scholar] [CrossRef]
- Davidson, E.; Galloway, L.; Strand, M. Assessing available carbon: Comparison of techniques across selected forest soils. Commun. Soil Sci. Plant Anal. 1987, 18, 45–64. [Google Scholar] [CrossRef]
- Sikora, E.; Gupta, S.; Kossowski, J. Soil temperature predictions from a numerical heat-flow model using variable and constant thermal diffusivities. Soil Tillage Res. 1990, 18, 27–36. [Google Scholar] [CrossRef]
- Józefowska, A.; Pietrzykowski, M.; Woś, B.; Cajthaml, T.; Frouz, J. Relationships between respiration, chemical and microbial properties of afforested mine soils with different soil texture and tree species: Does the time of incubation matter. Eur. J. Soil Biol. 2017, 80, 102–109. [Google Scholar] [CrossRef]
- Baldi, E.; Cavani, L.; Margon, A.; Quartieri, M.; Sorrenti, G.; Marzadori, C.; Toselli, M. Effect of compost application on the dynamics of carbon in a nectarine orchard ecosystem. Sci. Total Environ. 2018, 637, 918–925. [Google Scholar] [CrossRef]
- Bregaglio, S.; Mongiano, G.; Ferrara, R.M.; Ginaldi, F.; Lagomarsino, A.; Rana, G. Which are the most favourable conditions for reducing soil CO2 emissions with no-tillage? Results from a meta-analysis. Int. Soil Water Conserv. Res. 2022, 10, 497–506. [Google Scholar] [CrossRef]
- Ferrara, R.M.; Campi, P.; Muschitiello, C.; Leogrande, R.; Vittorio Vonella, A.; Ventrella, D.; Rana, G. Soil respiration during three cropping cycles of durum wheat under different tillage conditions in a Mediterranean environment. Soil Use Manag. 2022, 38, 1547–1563. [Google Scholar] [CrossRef]
- Katerji, N.; Rana, G.; Ferrara, R.M. Actual evapotranspiration for a reference crop within measured and future changing climate periods in the Mediterranean region. Theor. Appl. Climatol. 2017, 129, 923–938. [Google Scholar] [CrossRef]
- Rana, G.; Muschitiello, C.; Ferrara, R.M. Analysis of a precipitation time series at monthly scale recorded in Molfetta (south Italy) in the XVIII century (1784–1803) and comparisons with present pluviometric regime. Ital. J. Agrometeorol. 2016, 21, 23–30. [Google Scholar]
- Shelia, V.; Hansen, J.; Sharda, V.; Porter, C.; Aggarwal, P.; Wilkerson, C.J.; Hoogenboom, G. A multi-scale and multi-model gridded framework for forecasting crop production, risk analysis, and climate change impact studies. Environ. Model. Softw. 2019, 115, 144–154. [Google Scholar] [CrossRef]
- FAOSTAT. FAO. 2020. World Food and Agriculture—Statistical Yearbook 2020; Food and Agriculture Organization of the United Nations: Rome, Italy, 2020. [Google Scholar]
- Morandi, B.; Manfrini, L.; Losciale, P.; Zibordi, M.; Corelli-Grappadelli, L. The positive effect of skin transpiration in peach fruit growth. J. Plant Physiol. 2010, 167, 1033–1037. [Google Scholar] [CrossRef] [PubMed]
- Campi, P.; Mastrorilli, M.; Stellacci, A.M.; Modugno, F.; Palumbo, A.D. Increasing the effective use of water in green asparagus through deficit irrigation strategies. Agric. Water Manag. 2019, 217, 119–130. [Google Scholar] [CrossRef]
- Katerji, N.; Mastrorilli, M.; Rana, G. Water use efficiency of crops cultivated in the Mediterranean region: Review and analysis. Eur. J. Agron. 2008, 28, 493–507. [Google Scholar] [CrossRef]
- Ferrara, R.M.; Bruno, M.R.; Campi, P.; Camposeo, S.; De Carolis, G.; Gaeta, L.; Martinelli, N.; Mastrorilli, M.; Modugno, A.F.; Mongelli, T. Water use of a super high-density olive orchard submitted to regulated deficit irrigation in Mediterranean environment over three contrasted years. Irrig. Sci. 2024, 42, 57–73. [Google Scholar] [CrossRef]
- Rana, G.; De Carolis, G.; Gaeta, L.; Ruggieri, S.; Ferrara, R.M. Decoupling factor, aerodynamic and canopy conductances of a hedgerow olive orchard under Mediterranean climate. Theor. Appl. Climatol. 2023, 153, 349–365. [Google Scholar] [CrossRef]
- Allen, R.G.; Pereira, L.S.; Raes, D.; Smith, M. Crop Evapotranspiration-Guidelines for Computing Crop Water Requirements—FAO Irrigation and Drainage Paper 56; FAO: Rome, Italy, 1998; Volume 300, p. D05109. [Google Scholar]
- Cappelluti, O.; Bruno, M.R.; Modugno, A.F.; Ferrara, R.M.; Gaeta, L.; De Carolis, G.; Campi, P. The Use of Mixed Composed Amendments to Improve Soil Water Content and Peach Growth (Prunus persica (L.) Batsch) in a Mediterranean Environment. Water 2023, 15, 1708. [Google Scholar] [CrossRef]
- Mastrorilli, M.; Katerji, N.; Rana, G.; Nouna, B.B. Daily actual evapotranspiration measured with TDR technique in Mediterranean conditions. Agric. For. Meteorol. 1998, 90, 81–89. [Google Scholar] [CrossRef]
- Castellini, M.; Fornaro, F.; Garofalo, P.; Giglio, L.; Rinaldi, M.; Ventrella, D.; Vitti, C.; Vonella, A.V. Effects of no-tillage and conventional tillage on physical and hydraulic properties of fine textured soils under winter wheat. Water 2019, 11, 484. [Google Scholar] [CrossRef]
- Reichstein, M.; Bednorz, F.; Broll, G.; Kätterer, T. Temperature dependence of carbon mineralisation: Conclusions from a long-term incubation of subalpine soil samples. Soil Biol. Biochem. 2000, 32, 947–958. [Google Scholar] [CrossRef]
- Reichstein, M.; Beer, C. Soil respiration across scales: The importance of a model–data integration framework for data interpretation. J. Plant Nutr. Soil Sci. 2008, 171, 344–354. [Google Scholar] [CrossRef]
- Reichstein, M.; Rey, A.; Freibauer, A.; Tenhunen, J.; Valentini, R.; Banza, J.; Casals, P.; Cheng, Y.; Grünzweig, J.M.; Irvine, J. Modeling temporal and large-scale spatial variability of soil respiration from soil water availability, temperature and vegetation productivity indices. Glob. Biogeochem. Cycles 2003, 17, 1104. [Google Scholar] [CrossRef]
- Lagomarsino, A.; De Angelis, P.; Moscatelli, M.C.; Grego, S. The influence of temperature and labile C substrates on heterotrophic respiration in response to elevated CO2 and nitrogen fertilization. Plant Soil 2009, 317, 223–234. [Google Scholar] [CrossRef]
- Riffaldi, R.; Saviozzi, A.; Levi-Minzi, R. Carbon mineralization kinetics as influenced by soil properties. Biol. Fertil. Soils 1996, 22, 293–298. [Google Scholar] [CrossRef]
- Kuzyakov, Y. Sources of CO2 efflux from soil and review of partitioning methods. Soil Biol. Biochem. 2006, 38, 425–448. [Google Scholar] [CrossRef]
- Parkinson, K. An improved method for measuring soil respiration in the field. J. Appl. Ecol. 1981, 18, 221–228. [Google Scholar] [CrossRef]
- Layne, D.R.; Jiang, Z.; Rushing, J.W. Tree fruit reflective film improves red skin coloration and advances maturity in peach. HortTechnology 2001, 11, 234–242. [Google Scholar] [CrossRef]
- Qin, B.; Han, S.S. Planning parameters and household carbon emission: Evidence from high-and low-carbon neighborhoods in Beijing. Habitat Int. 2013, 37, 52–60. [Google Scholar] [CrossRef]
- Hu, F.; Zheng, X. Carbon emission of energy efficient residential building. Procedia Eng. 2015, 121, 1096–1102. [Google Scholar] [CrossRef]
- Wu, M.; Zhang, Y.; Ji, Y.; Liu, G.; Liu, C.; She, W.; Sun, W. Reducing environmental impacts and carbon emissions: Study of effects of superfine cement particles on blended cement containing high volume mineral admixtures. J. Clean. Prod. 2018, 196, 358–369. [Google Scholar] [CrossRef]
- Yang, X.; Liu, Y.; Bezama, A.; Thrän, D. Agricultural carbon emission efficiency and agricultural practices: Implications for balancing carbon emissions reduction and agricultural productivity increment. Environ. Dev. 2024, 50, 101004. [Google Scholar] [CrossRef]
- Brown, S.; Cotton, M. Changes in soil properties and carbon content following compost application: Results of on-farm sampling. Compost. Sci. Util. 2011, 19, 87–96. [Google Scholar] [CrossRef]
- Franzluebbers, A.; Hons, F.; Zuberer, D. Tillage and crop effects on seasonal soil carbon and nitrogen dynamics. Soil Sci. Soc. Am. J. 1995, 59, 1618–1624. [Google Scholar] [CrossRef]
- Reth, S.; Reichstein, M.; Falge, E. The effect of soil water content, soil temperature, soil pH-value and the root mass on soil CO2 efflux—A modified model. Plant Soil 2005, 268, 21–33. [Google Scholar] [CrossRef]
- Tang, J.; Baldocchi, D.D.; Qi, Y.; Xu, L. Assessing soil CO2 efflux using continuous measurements of CO2 profiles in soils with small solid-state sensors. Agric. For. Meteorol. 2003, 118, 207–220. [Google Scholar] [CrossRef]
- Zhang, X. Effect of Soil Organic Matter Quality on the Soil Moisture–Heterotrophic Respiration Relationship. Master’s Thesis, Ghent University, Ghent, Belgium, 2023. [Google Scholar]
- Al-Kahtani, S.; Ahmed, M.; Al-Selwey, W.; Abdel-Razzak, H. Evaluation of composted agricultural crop wastes application on growth, mineral content, yield, and fruit quality of tomato. J. Exp. Biol. Agric. Sci. 2018, 6, 159–167. [Google Scholar]
- Aminifard, M.; Aroiee, H.; Azizi, M.; Nemati, H.; Jaafar, H. Effect of compost on antioxidant components and fruit quality of sweet pepper (Capsicum annuum L.). J. Cent. Eur. Agric. 2013, 14, 525–534. [Google Scholar] [CrossRef]
- Tripathi, P.; Kashyap; Shah, S. Effect of organic amendments on growth and yield attributes of medicinal and aromatic plants under peach-based agroforestry system in the mid-hills of the Western Himalayas. For. Trees Livelihoods 2020, 29, 222–237. [Google Scholar] [CrossRef]
- Franzluebbers, A.; Stuedemann, J. Particulate and non-particulate fractions of soil organic carbon under pastures in the Southern Piedmont USA. Environ. Pollut. 2002, 116, S53–S62. [Google Scholar] [CrossRef] [PubMed]
- Srinivasan, V.; Maheswarappa, H.; Lal, R. Long term effects of topsoil depth and amendments on particulate and non particulate carbon fractions in a Miamian soil of Central Ohio. Soil Tillage Res. 2012, 121, 10–17. [Google Scholar] [CrossRef]
- Bernal, M.; Sanchez-Monedero, M.; Paredes, C.; Roig, A. Carbon mineralization from organic wastes at different composting stages during their incubation with soil. Agric. Ecosyst. Environ. 1998, 69, 175–189. [Google Scholar] [CrossRef]
- Jorge-Mardomingo, I.; Soler-Rovira, P.; Casermeiro, M.Á.; de la Cruz, M.T.; Polo, A. Seasonal changes in microbial activity in a semiarid soil after application of a high dose of different organic amendments. Geoderma 2013, 206, 40–48. [Google Scholar] [CrossRef]
- Castellini, M.; Niedda, M.; Pirastru, M.; Ventrella, D. Temporal changes of soil physical quality under two residue management systems. Soil Use Manag. 2014, 30, 423–434. [Google Scholar] [CrossRef]
- Rakesh, S.; Sarkar, D.; Sinha, A.K.; Mukhopadhyay, P.; Danish, S.; Fahad, S.; Datta, R. Carbon Mineralization Rates and Kinetics of Surface-Applied and Incorporated Rice and Maize Residues in Entisol and Inceptisol Soil Types. Sustainability 2021, 13, 7212. [Google Scholar] [CrossRef]
- Liang, C.-H.; Yan, Y.; Qian, C. Dynamics of soil organic carbon fractions and aggregates in vegetable cropping systems. Pedosphere 2014, 24, 605–612. [Google Scholar] [CrossRef]
- Zhang, M.; Dong, L.-G.; Fei, S.-X.; Zhang, J.-W.; Jiang, X.-M.; Wang, Y.; Yu, X. Responses of soil organic carbon mineralization and microbial communities to leaf litter addition under different soil layers. Forests 2021, 12, 170. [Google Scholar] [CrossRef]
- Liyanage, L.R.M.C.; Sulaiman, M.F.; Ismail, R.; Gunaratne, G.P.; Dharmakeerthi, R.S.; Rupasinghe, M.G.N.; Mayakaduwa, A.P.; Hanafi, M.M. Carbon mineralization dynamics of organic materials and their usage in the restoration of degraded tropical tea-growing soil. Agronomy 2021, 11, 1191. [Google Scholar] [CrossRef]
- Fernández, J.M.; Plaza, C.; Hernández, D.; Polo, A. Carbon mineralization in an arid soil amended with thermally-dried and composted sewage sludges. Geoderma 2007, 137, 497–503. [Google Scholar] [CrossRef]
- Zhang, X.; Zhao, Y.; Zhu, L.; Cui, H.; Jia, L.; Xie, X.; Li, J.; Wei, Z. Assessing the use of composts from multiple sources based on the characteristics of carbon mineralization in soil. Waste Manag. 2017, 70, 30–36. [Google Scholar] [CrossRef] [PubMed]
- Xiao, C.; Guenet, B.; Zhou, Y.; Su, J.; Janssens, I.A. Priming of soil organic matter decomposition scales linearly with microbial biomass response to litter input in steppe vegetation. Oikos 2015, 124, 649–657. [Google Scholar] [CrossRef]
- Sheppard, M.I.; Ewing, L.; Hawkins, J. Soil Degassing of Carbon-14 Dioxide: Rates and Factors. J. Environ. Qual. 1994, 23, 461–468. [Google Scholar] [CrossRef]
- Van Gestel, N.C.; Reischke, S.; Bååth, E. Temperature sensitivity of bacterial growth in a hot desert soil with large temperature fluctuations. Soil Biol. Biochem. 2013, 65, 180–185. [Google Scholar] [CrossRef]
- Van Gestel, N.C.; Schwilk, D.W.; Tissue, D.T.; Zak, J.C. Reductions in daily soil temperature variability increase soil microbial biomass C and decrease soil N availability in the C hihuahuan Desert: Potential implications for ecosystem C and N fluxes. Glob. Change Biol. 2011, 17, 3564–3576. [Google Scholar] [CrossRef]
- Carmeis Filho, A.C.; Crusciol, C.A.; Guimarães, T.M.; Calonego, J.C.; Mooney, S.J. Impact of amendments on the physical properties of soil under tropical long-term no till conditions. PLoS ONE 2016, 11, e0167564. [Google Scholar] [CrossRef]
- Bouajila, K.; Sanaa, M. Effects of organic amendments on soil physico-chemical and biological properties. J. Mater. Environ. Sci 2011, 2, 485–490. [Google Scholar]
- Mdlambuzi, T.; Tsubo, M.; Muchaonyerwa, P. Short-term effects of selected organic fertilizer sources on carbon dioxide fluxes and soil quality. J. Environ. Qual. 2021, 50, 312–323. [Google Scholar] [CrossRef]
- Lamptey, S.; Xie, J.; Li, L.; Coulter, J.A.; Jagadabhi, P.S. Influence of organic amendment on soil respiration and maize productivity in a semi-arid environment. Agronomy 2019, 9, 611. [Google Scholar] [CrossRef]
- Montanaro, G.; Dichio, B.; Bati, C.B.; Xiloyannis, C. Soil management affects carbon dynamics and yield in a Mediterranean peach orchard. Agric. Ecosyst. Environ. 2012, 161, 46–54. [Google Scholar] [CrossRef]







| Year | Cumulated CO2 Emission (tC-CO2 ha−1) | Yield (tbiomass ha−1) | Carbon Emission Efficiency CEE (tbiomass tC-CO2−1) | ||||||
|---|---|---|---|---|---|---|---|---|---|
| A0 | A1 | A2 | A0 | A1 | A2 | A0 | A1 | A2 | |
| 2021 | 4.8 ± 0.5 | 3.8 ± 1.0 | 4.8 ± 2.0 | ||||||
| 2022 | 5.0 ± 1.0 c | 11.6 ± 1.2 a | 8.5 ± 1.2 b | 3.6 ± 0.6 | 4.0 ± 0.8 | 4.1 ± 0.7 | 0.72 | 0.31 | 0.47 |
| 2023 | 6.3 ± 1.2 b | 12.4 ± 2.1 a | 10.2 ± 2.6 a | 3.8 ± 0.8 | 5.0 ± 2.0 | 4.4 ± 0.4 | 0.61 | 0.40 | 0.43 |
| Mean | 5.6 | 12.0 | 9.4 | 4.1 | 4.25 | 4.45 | 0.66 | 0.36 | 0.45 |
| Treatment | OC (%) | FW (g) | FF (kg cm−2) | TSS (°Brix) |
|---|---|---|---|---|
| A0 | 85.44 | 219.45 a | 2.43 b | 14.33 ab |
| A1 | 82.03 | 230.35 ab | 3.24 a | 14.65 a |
| A2 | 84.01 | 255.48 b | 3.09 a | 14.02 b |
| Year | *** | *** | *** | *** |
| Trt | ns | * | * | * |
| Year × Trt | * | ns | ns | . |
Disclaimer/Publisher’s Note: The statements, opinions and data contained in all publications are solely those of the individual author(s) and contributor(s) and not of MDPI and/or the editor(s). MDPI and/or the editor(s) disclaim responsibility for any injury to people or property resulting from any ideas, methods, instructions or products referred to in the content. |
© 2025 by the authors. Licensee MDPI, Basel, Switzerland. This article is an open access article distributed under the terms and conditions of the Creative Commons Attribution (CC BY) license (https://creativecommons.org/licenses/by/4.0/).
Share and Cite
Bruno, M.R.; Piarulli, M.; Vitti, C.; Mastrangelo, M.; Azzolini, A.; Ciurlia, A.; Rana, G.; Ferrara, R.M. Mixed Compost Application: A Sustainable Tool for Improving Soil Carbon Dynamics in a Peach Orchard Under Mediterranean Conditions. Sustainability 2025, 17, 5613. https://doi.org/10.3390/su17125613
Bruno MR, Piarulli M, Vitti C, Mastrangelo M, Azzolini A, Ciurlia A, Rana G, Ferrara RM. Mixed Compost Application: A Sustainable Tool for Improving Soil Carbon Dynamics in a Peach Orchard Under Mediterranean Conditions. Sustainability. 2025; 17(12):5613. https://doi.org/10.3390/su17125613
Chicago/Turabian StyleBruno, Maria Roberta, Mariagrazia Piarulli, Carolina Vitti, Marcello Mastrangelo, Alessandro Azzolini, Alessandro Ciurlia, Gianfranco Rana, and Rossana Monica Ferrara. 2025. "Mixed Compost Application: A Sustainable Tool for Improving Soil Carbon Dynamics in a Peach Orchard Under Mediterranean Conditions" Sustainability 17, no. 12: 5613. https://doi.org/10.3390/su17125613
APA StyleBruno, M. R., Piarulli, M., Vitti, C., Mastrangelo, M., Azzolini, A., Ciurlia, A., Rana, G., & Ferrara, R. M. (2025). Mixed Compost Application: A Sustainable Tool for Improving Soil Carbon Dynamics in a Peach Orchard Under Mediterranean Conditions. Sustainability, 17(12), 5613. https://doi.org/10.3390/su17125613

