Abstract
On the basis of panel data taken from 226 Chinese cities in the period 2008 to 2019, this paper measures urban green innovation efficiency, with the help of the unexpected production output-stochastic block model (UPO-SBM), and applies the propensity score matching difference-in-differences (PSM-DID) model to analyze the impact of low-carbon city pilot policies (LCPP) on urban green innovation efficiency. This paper also applies a mediation effect model to analyze the mechanism of the LCPP that enhances urban green innovation efficiency, and also attempts to explore the impact of the LCPP on the green innovation efficiency of various types of cities by engaging with multiple dimensions. The results of the study shows that: (1) When all other conditions remain unchanged, the average promotion effect of the implementation of the LCPP on urban green innovation efficiency is 21.77%; (2) at 1% significance level, the mediating effect of financial technology R&D expenditure and environmental governance expenditure is 0.0664 and 0.0283, respectively, confirming that both are important to the role that LCPP plays; (3) at 5% significance level, the exogenous policy effect of the LCPP on urban green innovation efficiency is more obvious in cities with a larger population size and higher degree of development, whose pillar industry is heavy industry.
1. Introduction
With the growth of the global economy, the demand for energy is on the rise. Fossil energy is dominant in the energy consumption structure, and so greenhouse gases such as CO2, which are emitted from the burning of fossil energy, are continuously exacerbating global warming and environmental pollution [1]. An analysis of the World Energy Outlook 2023 shows that the average temperature of the planet has risen by 1.1 °C since the first industrial revolution, largely due to greenhouse gas emissions. As the world’s largest developing country, China has achieved one-third of global GDP growth over the past decade, while also accounting for more than 50 per cent of global energy demand and 85% of global carbon emissions growth [2]. In 2021, mainland China’s carbon emissions are expected to reach a staggering 10.587 billion tons, accounting for 31.3% of total global carbon emissions [3]. It is well known that increases in greenhouse gas emissions will exacerbate global warming, leading to catastrophic consequences such as frequent occurrence of extreme weather [4], a sharp reduction in biodiversity [5], and sea level rises [6]. Countries around the world have therefore reached a consensus that it is essential to reduce carbon emissions and work to slow down global warming.
China is at a pivot point of accelerated industrialization and urbanization, and energy demand will continue to grow. In developing its economy and improving people’s livelihoods, China must also effectively control greenhouse gas emissions and appropriately respond to climate change to achieve sustainable development. China accepts the international commitment to tackle global climate change, and is committed to accelerating its green reform process, which prioritizes energy saving and emission reduction, and aims to achieve sustainable development. In this context, various positive incentives and negative penalties have been introduced and are currently undergoing intensive piloting and experimentation. Of these initiatives, the LCPP, which targets low energy consumption and low pollution, is garnering significant attention [7]. The concept of low-carbon cities is a symbol of sustainable development goals, which encourages the creation of urban areas that are inclusive, safe, resilient and sustainable, whose ecological footprint is minimized. As an important tool for controlling greenhouse gas emissions and achieving sustainable development in China, the initiation of the LCPP can be traced back to 2010, when China embarked on this ecological strategy by designating five provinces and eight cities as the inaugural low-carbon pilot areas. In establishing the initial group of pilot programs, the Chinese government chose a selection of provinces and cities to serve as pilot areas, with the objective of investigating pathways for low-carbon development tailored to the specific circumstances of China. These pilot cities and provinces should set specific emission reduction targets and establish implementation programs, with the aim of upgrading energy efficiency, developing low-carbon industries, and promoting low-carbon lifestyles. In 2012, the Chinese government, in utilizing the insights and outcomes from the initial pilot batch, widened the range of the low-carbon pilots by incorporating an additional province and selecting 28 cities as the subsequent group of low-carbon pilots. The execution of the second set of pilot projects placed a greater emphasis on establishing a carbon emissions trading scheme, enhancing and deploying technologies for energy conservation and emissions reduction, and utilizing energy sources that are both efficient and clean. During 2017, a total of 45 municipalities were designated as the third series of pilot cities for low-carbon initiatives. Policy implementation in this batch emphasized innovation and diversified pathways, such as the development of smart cities, improvement of market mechanisms, and support for localities to flexibly formulate low-carbon development strategies that take local realities into account. So far, China has set up a total of 87 low-carbon pilot regions, consisting of six provinces and 81 low-carbon pilot cities. The geographical distribution of these low-carbon pilot regions across China is shown in Figure 1.
Figure 1.
Distribution of Low-Carbon Pilots in China.
City regions serve as a critical component in strengthening China’s economic structure and contributing to its comprehensive development [8]. Yet, the swift progress of both industrial activity and urban growth often presents a conundrum, as cities are forced to intricately balance fostering economic prosperity and protecting the environment [9]. Deciphering strategies to mitigate carbon emissions in urban landscapes while safeguarding sustained economic progress and promoting sustainable development across social, economic, and environmental layers presents an immediate challenge.
Utilizing a strategy of green innovation, which seamlessly integrates environmental protection with economic progress, provides an effective approach that can be used to address the complexities that urban areas face [10]. The low-carbon city pilot scheme, serving as a form of governmental institutional support, acts as a pivotal catalyst in steering cities towards a greener economic trajectory and sparking green innovations [11].
In reflecting on the 13 years since this policy’s implementation in China, it is worthwhile to examine its efficacy in boosting green innovation efficiency within urban settings. Intriguing questions include if this policy has bolstered urban green innovation efficiency, the promotion tactics used in such advancements, and if there are variations in the policy impact across different types of cities. Addressing these points has significant theoretical and practical import, as they are intimately linked to a city’s capability to reconcile economic development with environmental stewardship, which is indispensable to achieve sustainable development. These endeavors support China’s aim to achieve carbon peaks and carbon neutrality, proactively contribute to the meeting of the global climate change challenge, and have extensive theoretical and practical implications.
To investigate this subject thoroughly, this paper examines panel data taken from 226 Chinese cities in the period 2008 to 2019, and essentially treats the stepwise deployment of the LCPP in the years 2010, 2012, and 2017 as a quasi-natural experiment. It uses the UPO-SBM to gauge urban green innovation efficiency, and employs the PSM-DID model to analyze the influence of the LCPP on this efficiency. Moreover, this study probes the policy’s mechanisms of action and heterogeneous impacts. The findings lead to tailored recommendations aimed at the continual advancement of the LCPP, which will in turn increase the efficiency of green innovation in cities and ultimately lead to sustainable development and the mitigation of global climate change.
To sum up, the paper offers several contributions. Firstly, it investigates the impact of LCPP on urban green innovation efficiency, with a particular focus on the role of government support extended through technology R&D and environmental governance expenditures; it then further elucidates the underlying mechanisms through which LCPP influences urban green innovation efficiency. The findings provide valuable theoretical insights. Secondly, the heterogeneity of the impact of LCPP on urban green innovation efficiency is identified from the perspectives of population size, degree of development, and pillar industries, which offers a foundational framework that supports the customization of governmental low-carbon strategies in accordance with regional particularities. Thirdly, the modified UPO-SBM of Tone and Sahoo [12] is used to improve the traditional DEA model, which improves the accuracy of the measurement, which also improves the current measurement method of green innovation efficiency. Fourthly, the PSM is used to improve the DID model, and the PSM-DID model is used for empirical analysis to reduce the sample selectivity bias and to improve the reliability and precision of the findings.
The subsequent structure of the paper is as follows: Section 2 discusses the literature review, before the theoretical framework and research propositions are detailed in Section 3. Section 4 describes the research materials and methodologies, before findings are reported in Section 5. Section 6 then delves into an extended discussion before Section 7 concludes.
2. Review of the Literature
2.1. The Factors Influencing the Efficiency of Green Innovation
When considering the factors that influence the efficiency of green innovation, relevant studies tend to favor policy orientation or environmental regulation (i.e., the study of how environmental regulation affects the efficiency of green technological innovation). There are three predominant schools of thought. The first asserts that the imposition of environmental regulations places an obstacle in front of the effective development of green technologies. In considering environmental regulation, Chintrakarn [13] suggests that it can lead to a marked growth in funding in firms’ R&D. This investment surge may decrease firms’ motivation to show green innovation, thereby impeding the improvement of green innovation efficiency. On the other hand, Guo [14] contends that the “race to the bottom” in environmental regulation and the reality of “partial enforcement” can cause firms to relocate to regions with laxer environmental rules. This relocation might result in technology and pollution spillovers, giving rise to a “pollution haven” effect and consequently obstructing the advancement of green technology innovation efficiency. Secondly, the efficacy of environmental regulations in fostering green technology innovation is noteworthy. Frondel et al. [15] argue that a judicious approach to environmental regulation can make the “innovation offset effect” outweigh the “compliance cost effect”, thus incentivizing firms to engage in technological advancements that increase the efficiency of green technological innovations, while working to maximize benefits. Thirdly, there is a degree of unpredictability in the influence of environmental regulations on the efficiency of green technology innovation. Jin et al. [16] point to a non-linear association, which implies that environmental regulations could induce a U-shaped effect in the efficiency of green tech innovation. On the contrary, Dong and Liu [17] detect an inverse U-shaped correlation, adding a layer of complexity to attempts to understand this relationship.
2.2. Effects of LCPP
Following the initiation of the first batches of low-carbon city pilots in 2010, researchers have conducted investigations into the impact of the policy. The relevant studies are broadly categorized as follows. Firstly, the green innovation capacity of enterprises is taken as the target of the LCPP. Xu and Cui [18], as well as Ma and Sun [19], investigate the influence of LCPP on green technology. Their research, which draws upon data from green patent filings by A-share listed firms in the Shanghai and Shenzhen stock markets, found that the LCPP had a significant average promotional effect on strategic emerging firms, with a magnitude of 0.821 at the 1% significance level. Secondly, the external effects of LCPP have been analyzed at the social macro level. For example, in drawing on city panel data, Du et al. [20] and Shao and Li [21] focus on the spillover effects of these policies on technological progress. Their research concludes that, at the 1% significance level, the average contribution of the spillover effect of technological progress from these policies is 0.2013. Meanwhile, Song et al. [22] investigate the impact of these policies on air quality and their mechanisms of action. Using city panel data, their results indicate a significant environmental benefit. The pilot cities saw a reduction of 9.31 in PM10 levels and a decrease of 4.92 in their API scores due to the low-carbon city construction program. Thirdly, some studies have also examined the impact of the LCPP on various efficiency metrics, including eco-efficiency, carbon emission efficiency and energy efficiency. For example, Song et al. [23] explore the effects of these policies on eco-efficiency in 286 cities in China, and discover that the policy predominantly enhances urban eco-efficiency through technological innovation. In a similar vein, Yu and Zhang [24] analyze data from 251 cities and note that the trial program does not only boost the efficiency of carbon emission reduction in the cities that launch it but also positively influences the surrounding local areas through advantageous ripple effects. Additionally, Zhang et al. [25] conduct a study using city panel data and conclude that the policy significantly improved the overall energy efficiency of the city.
2.3. Research Methodological Aspects
In the measurement and evaluation of urban green innovation efficiency, the traditional data envelopment analysis (DEA) method is extensively employed, due to its ability to handle multiple inputs and outputs. For instance, Zhang and Liu [26] advance this approach by decomposing the urban green innovation process into interconnected innovation chain sub-processes. They construct a network DEA model that incorporates slack variables to assess the overall urban green innovation efficiency and the efficiency of each individual sub-stage. Yi and Cheng [27] construct an urban green innovation efficiency evaluation system, and use the DEA model to measure the green innovation efficiency of 36 cities in the Yangtze River economic area. Additionally, other researchers have applied modified versions of the DEA model. For instance, Lu and Shen [28] employ the network RAM model, which accounts for unintended outputs, to analyze the heterogeneity of green innovation efficiency in 11 cities. Their analysis also includes the correlation of efficiency at different stages. In developing assessment methods for LCPP, most researchers use the DID model, such as Zheng and You [29]. Several studies that utilize panel data from Chinese cities to evaluate the impacts of LCPP also use the DID model. For example, one study that analyzes data from 281 Chinese cities between 2003 and 2019 treats three phases of low-carbon pilot policies as quasi-natural experiments with the aim of assessing their differential impacts on various diffusion modes. In a different study, Fan and Guo [30] employ the DID model to examine the effects of these policies on the advanced quality growth of urban economies. Their research includes panel data from 255 cities that was extracted in the period 2009 to 2019. Finally, Guo et al. [31] focus on the correlation between the LCPP and ecological efficiency by analyzing panel data taken from 283 cities in the period 2007 to 2018, and apply the DID model. Combating climate change is a gradual, phased and long-term international challenge, and many countries and regions have adopted corresponding measures to achieve the goals of reducing energy use and lowering emissions. In studying of other countries, Wang et al. [32] use the PSM-DID method to select PM2.5 hazard data and related information from 147 countries listed in the World Development Index, and investigate if the European Union Emissions Trading System has a spillover effect on PM2.5 emission reductions. The study found that the European Union Emissions Trading System does not only promote a reduction in PM2.5 damage but also dynamically affects PM2.5 emission reduction during different stages of implementation. In a separate study, Duan et al. [33] consider the impact of LCPP on urban carbon emissions, and apply the PSM-DID method to panel data taken from 17 first-level administrative districts in South Korea in the period 2015 to 2021. While the study reveals that current urban carbon emission regulations are effective in limiting the overall carbon output, it also notes the presence of a strong “rebound elasticity”, meaning that any reductions may be quickly negated, and also draws attention to a short regulatory cycle that might undercut long-term effectiveness. Shevchenko [34] engages at an individual company level to examine the relationship between environmental regulations and corporate environmental performance. This research, which focuses on U.S. listed companies that have been penalized for violating environmental regulations, finds that neither penalties for environmental violations nor penalties for the environment are related to the improvement of environmental performance. Instead, penalties for environmental violations herald further deterioration in environmental performance, albeit only to a minor extent.
2.4. Summary
So far, it has been identified that the existing literature has certain shortcomings. In terms of research perspective, the existing literature either only studies policies (that seek to promote the green innovation capacity of enterprises) from a micro perspective, or instead only considers certain ecological indicators from a macro perspective. Only a limited number of studies concentrate on examining the effects of the LCPP on the efficiency of green innovation in urban areas, or consider the mechanism of its role and its heterogeneity. Academics have not yet reached a consensus on the findings of studies that consider the impact of environmental regulation on urban green innovation efficiency. Meanwhile, many studies have used DEA models that rely on linear programming to measure green innovation efficiency. However, this approach is limited by the fact that it does not take into account possible unexpected losses, which may lead to the overestimation of efficiency measurements. Therefore, this paper selects the modified UPO-SBM of Tone et al. [12], with a view to overcoming the input-output variable slackness problem associated with traditional DEA methods, and achieving a comprehensively analysis of the impact of objectively existing undesired outputs on urban green innovation efficiency in the wider context of the economic development process. Consideration should also be given to the method used to assess the effect of the LCPP. Although the DID model can better avoid the endogenous problem, it struggles to resolve the problem of sample selectivity bias, which may reduce the objectivity and credibility of the research results. Our research shows that although PSM is capable of addressing issues related to sample selection bias, it fails to rectify the endogeneity that arises from variables not included in the analysis. And DID can precisely solve the endogenous problem. Moreover, the dataset for this study is the panel data of 226 Chinese cities in the period 2008–2019, and many scholars in the academic community have already adopted the PSM-DID method to study this panel data. Therefore, by choosing the PSM-DID model, this paper can more accurately assess the policy effects, with a view to increasing the authenticity and credibility of the empirical results.
To summarize, this paper focuses on improving research of the LCPP and the efficiency of urban green innovation, and improving the shortcomings of the research methodology.
3. Theoretical Analysis and Research Hypotheses
3.1. Analysis of Benchmark Regression
When addressing the overarching goal of curtailing greenhouse gas emissions, the efficacy of the LCPP in boosting green innovation efficiency within urban settings can be analyzed through the lens of Porter’s hypothesis in two distinct ways [7]. Initially, cities participating in the pilot are compelled to prioritize low-carbon industry transformation, energy efficiency enhancement, and stringent carbon emissions management. Consequently, these cities are prone to establishing ambitious carbon reduction benchmarks, expediting the process of green technological development. In responding to their individual economic circumstances and industry growth features, pilot cities have enacted a range of policy measures [35,36], which support the integration of cleaner, low-carbon, and eco-friendly technologies and products; raise the efficiency of resource use and waste management; and foster partnerships with businesses, academic entities, and additional stakeholders focused on the innovation and deployment of green technologies. Such collaborations engender a municipal green innovation network [37], which can substantially drive the conception and utilization of urban green innovations, thereby enhancing urban green innovation performance and contributing to sustainable city progress [38]. In addition, pilot cities often receive more robust backing for green technology pursuits, policy preferences, and, compared to non-pilot counterparts, substantial R&D investment, presenting a more favorable environment for green technology R&D. Taking these considerations into account, this paper postulates the following hypothesis, denoted as H1.
H1.
LCPP Can Promote Urban Green Innovation Efficiency.
3.2. Analysis of the Mediating Mechanisms
The LCPP clearly states the importance of technology R&D in promoting the efficiency of green innovation (e.g., “Pilot areas should accelerate low-carbon technological innovation, and promote the R&D, demonstration and industrialization of low-carbon technologies”). Therefore, technology R&D is an important means to promote green innovation [39]. However, due to China’s past economic development model, the coal-based energy system has long benefited from the incremental effect of returns to scale, meaning a “carbon lock-in” effect has occurred in many regions. As a result of huge replacement costs and the “path dependence” of green technological innovation, enterprises and other subjects usually do not choose green technological innovation spontaneously. At the same time, scientific research is characterized by high investment costs and slow results [40], and problems such as insufficient scientific research inputs arise when enterprises are solely relied on to respond to the LCPP [41]. The government is the major market body and its expenditure is not aimed at the pursuit of short-term profit maximization. In the area of public welfare, the government has much more power than enterprises. Therefore, government policies and inputs are needed to better promote green technology innovation. To promote sustainable development, the LCPP requires government to increase the proportion of research expenditure, which on the one hand can improve enterprise enthusiasm for green technological innovation, and provide stronger support to colleges, universities and scientific research institutes, enabling them to carry out green technological innovation more effectively; on the other hand, it can create a more attractive green technological innovation environment and create a foundation for long-term green technological innovation. Based on the above analysis, the paper puts forward hypothesis H2.
H2.
Using LCPP to Enhance the Efficiency of Urban Green Innovation through Increased Expenditure on Scientific Research.
The pilot policy for low-carbon urban development is a critical environmental regulatory measure for fostering sustainable development, which significantly affects how governments allocate funds for environmental governance [42]. The central government ensures compliance with the LCPP through mandatory legislation and a framework of incentives and disincentives. The central government requires local administrations to devise an appraisal system for greenhouse gas emission control, thereby tying local spending on environmental measures to the enforcement of the LCPP. Such governmental spending on environmental governance supports the efficiency of green technology advancements by offering necessary capital and infrastructure [43]. Concurrently, such expenditures bolster the efficiency of green innovation, as they nudge enterprises to enhance their investments in R&D for green technologies and create products and services that are more eco-friendly [41]. While environmental regulations may initially place additional constraints on businesses and potentially dampen innovation, the dynamic between environmental policies and corporate innovation shifts over time from a “compliance cost effect” to an “innovation compensation effect”, as recognized by compliance cost theory [16]. In being motivated by governmental disbursements for environmental management, innovators in these pilot localities might leverage the “innovation compensation effect” to expedite technological advancement for reducing emissions, thus amplifying green innovation efficacy. Consequently, the implementation of the LCPP has the potential to escalate the effectiveness of urban green innovation through increased governmental environmental governance spending. On the basis of this reasoning, the paper introduces the hypothesis labeled H3.
H3.
LCPP Enhance the Efficiency of Urban Green Innovation through Increased Government Spending on Environmental Governance.
4. Materials and Methods
4.1. Data Sources
This study principally relies on data from previous years drawn from authoritative sources such as The China Urban Statistical Yearbook, China Urban Construction Statistical Yearbook, and China Energy Statistical Yearbook. These compilations are produced by the National Bureau of Statistics of China, providing a robust level of credibility and authenticity to the data sets utilized. To ensure the authenticity and standardization of the research data to the greatest extent possible, this paper excludes data from regions including Taiwan, Hong Kong, Macao, and Xizang, as well as data from cities with more than 30% missing values, with the aim of achieving data cleansing. The data from the rest of the cities with missing values are filled in by linear interpolation. The 2020 data is a statistically significant outlier because of the large impact of the COVID-19 pandemic, and so the analytical sample of this research consists of panel data drawn from 226 cities across China, spanning the period 2008 to 2019. Within this sample, 87 pilots have been designated as the experimental group, and the remaining 139 cities serve as the control group.
4.2. Research Methodology
While the PSM method is adept at addressing the issue of sample selection bias, it does not, as a result of excluded variables, rectify the endogenous problem. Conversely, the DID method does mitigate endogenous problem but falls short when managing sample selection bias. Integrating both methods into a PSM-DID model will provide a more precise evaluation of policy impacts. Consequently, this study employs the PSM-DID model to evaluate the effects of the LCPP on urban green innovation efficiency.
4.2.1. PSM-DID Model
The PSM-DID approach builds upon the foundational framework of the traditional DID model, in which it operates as an econometric tool. This advanced model is distinguished from the conventional DID model by its incorporation of additional features that enhance its analytical capabilities. The PSM-DID model estimates the probability of individual choice of treatment by establishing a more objective propensity score model. When it is used as the basis for sample matching, it will reduce the sample selectivity bias as much as possible, improving the reliability and accuracy of the results. The PSM-DID model can be better suited to empirical analyses of policy evaluation [44,45].
In acknowledging that the LCPP of China has been implemented in three phases to a total of87 pilot cities, this research aims to examine the impact of policies on the efficiency of urban green innovation. To this end, we adopt the analytical approach proposed by Xue and Zhou [46], utilizing the multi-period DID model. Within our sample of 226 cities, 87 are classified as part of the experimental group due to their participation in the pilot policy, while the remaining 139 cities are designated as the control group. We set up the baseline regression model as follows:
Experimental group (pilot city) model:
Control group (non-pilot city) model:
where, denotes different cities, denotes time (year), denotes the green innovation efficiency of the city in year t, is a dummy variable for the experimental group. is the core coefficient, which is used to measure the impact of the implementation of the LCPP on the urban innovation efficiency. In addition, the model also takes into account city-fixed effects and time-fixed effects and is a random disturbance term.
In the event that the city has been designated as a low-carbon pilot, is set to 1, and is otherwise 0. After the LCPP is introduced, is assigned to 1, and is otherwise 0. is a dummy variable for the policy implementation period, which is 1 for the first batch of pilot cities in 2010 and after, and is otherwise 0; for the second batch of pilot cities in 2012 and after, it is 1, and is otherwise 0, and for the third batch of pilot cities in 2017 and after, it is 1, and is otherwise 0. Since the control group cities did not obtain the pilot qualification of low-carbon cities in the first three batches, is always 0, and therefore is always 0.
4.2.2. Mechanism of Mediation
In order to further explore the ways in which the pilot policies of low-carbon cities affect the urban green innovation efficiency, this paper establishes the following model for mediating mechanism analysis, with specific reference to the mediating effect analytical method of Wen et al. [47]:
where, the regression coefficient in model (4) is the effect of core explanatory variable on green innovation efficiency ; the regression coefficient in model (5) is the effect of core explanatory variable on the mediator variable , which indicates the degree of influence of LCPP on the mediator variables of financial technology R&D expenditure and environmental governance expenditure; the regression coefficient in model (6) is the effect of on under the control of ; the coefficient is the effect of on under the control of ; and the meanings of the rest of the coefficients are the same as those in the previous section. Substituting model (5) into (6), the collation is obtained:
where, is the mediating effect of on , is the direct effect of on , and is the total effect of on .
4.3. Selection of Variables and Descriptive Statistics
- (1)
- Explained variable: The academic community has not yet attained a unified standard that will enable the measurement of the effectiveness of pilot policies applied with the aim of achieving low-carbon cities. By combing the relevant literature, we find that the core connotation of low-carbon cities is the decarburization of economic development (i.e., the construction of a green development model with higher energy efficiency, lower energy consumption, and fewer emissions) [48]. The key to transforming into a green development model lies in the improvement of green innovation capability [49]. Therefore, this paper refers to the approach of Li et al. [50] when adopting the green innovation efficiency, which can reflect economic, social and ecological degrees and highlight the connotation of high-efficiency energy saving of low-carbon cities. The measurement method is selected from the modified UPO-SBM of Tone and Sahoo [12]; this is intended to overcome the input-output relaxation problem of the traditional DEA method, and to make it possible to consider the impact non-desired outputs have on the urban green innovation efficiency.
In measuring the efficiency of urban green innovation, this paper takes the selected 226 sample cities as decision-making units, denoted as , and each DMU has m inputs and q outputs, which are represented by the vectors , respectively. The matrix , where . Define as follows:
where, , and represent the excess of inputs and non-desired outputs, respectively, represents the shortage of desired outputs, represents the efficiency value of the decision-making unit, is the weight vector, and and denote the quantity of input variables, targeted output variables, and undesired output factors. When , i.e., represents that is efficient; when , it represents that is non-efficient, and signals there is room for improvement.
The index system of urban green innovation efficiency, which includes three dimensions of inputs, desired outputs, and non-desired outputs, is shown in Table 1, which is used to measure the green innovation efficiency of the 226 sample cities.
Table 1.
Urban green innovation efficiency evaluation system.
- (2)
- Core explanatory variable: LCPP (): i.e., LCPP interaction term (). This paper adopts the form of dummy variables to set. If the city is a low-carbon pilot city, is set to 1, and is otherwise 0; after the introduction of the LCPP, is assigned to 1, and is otherwise 0.
- (3)
- Mediating variable: In referring to Guo et al. [51], this paper selects financial technology R&D and environmental governance expenditures as mediating variables, which are indicated by .
- (4)
- Control variables: in empirical research in social sciences, the total change in a given explanatory variable is not entirely determined by the core explanatory variable. To better strip out the net benefit of the core explanatory variable from the total change of green innovation efficiency, the article must select some controlling variables that can exert a considerable influence on the variables that explain the model. Referring to Wang [52], Wang and Hao [53], six variables, including the economic development level, size of the research workforce, industrial structure, urbanization level, development of high-tech enterprises, and financing facilitation, were selected as control variables for this study. GDP per capita, commonly referred to as , serves as an indicator for evaluating the economic development status, and the size of the research workforce is conveyed by the number of higher education faculty members, which is denoted as . The industrial structure is represented by the share of secondary sector output in GDP, which is denoted as . The degree of urbanization is indicated by the proportion of urban population in relation to the total population, which is typically referred to as . The indicator signifies the advancement of high-tech enterprises, which is reflected by the ratio of Internet enterprises to the overall count of businesses in urban areas. The ratio of annual cash flow of deposits and loans of urban financial institutions to GDP represents the financing facilitation, which is denoted as . Primary variable descriptive statistics are shown in Table 2.
Table 2. Descriptive statistical characteristics of the primary variables.
5. Results
5.1. Analysis of PSM-DID Model Estimation Results
According to the models (1), (2), and (3) constructed previously, this study first uses the propensity matching score method (PSM) to match the experimental group and the control group. The specific path is as follows: based on the logit model, the experimental group and control group are matched with the least near neighbors to calculate the probability of becoming a low-carbon city, before the similar cities are matched for the balance test. Finally, DID estimation is performed on the matched samples. Table 3 shows the propensity scores matching results.
Table 3.
Propensity scores matching results.
Table 3 shows that the sample data after matching is 2666. The kernel density curves before and after matching are plotted as follows:
Figure 2 illustrates that distinct disparities exist between the experimental group and control group before matching is conducted. After the application of kernel matching, the density curves associated with both groups converge more closely, indicating an improvement in the matching outcome.
Figure 2.
Propensity scores match results.
As demonstrated in Table 4, the application of PSM has notably diminished the discrepancies between the experimental group and control group, with all the variable standard deviations in the control group experiencing a marked decrease.
Table 4.
Balance test before and after matching.
As illustrated in Figure 3, all absolute values fall below the threshold of 10%, and the balance test p-values for the matched control variables exceed 5%, failing to dismiss the null hypothesis. This outcome signifies that our sample meets the criteria for equilibrium in the balance test. Consequently, the matching approach deployed in this study is found to be justifiable, rendering the post-matching results more harmonious across the data and circumventing potential endogenous problem attributable to selection biases.
Figure 3.
Differences before and after variable matching.
Table 5 details the outcomes of the regression analysis of the PSM-DID model. The estimated coefficients derived from the OLS methodology, along with their respective standard errors, are recorded in the second and third columns of Table 5, which pertain to the control model. The fourth and fifth columns document the empirical findings of the PSM-DID analysis. The second and fourth columns of Table 5 disclose the outcomes of regressions that solely include the primary explanatory variables (without the control variables), whereas the third and fifth columns outline the results from regressions that incorporate the control variables. Considering both individual and time effects, the regression coefficient for the policy interaction term stands at 0.2177, with a significance level of 1%. This data suggests that the LCPP have a significant impact, showing that when all factors are constant, they boost urban green innovation efficiency by an average of 21.77%. The absolute value of this coefficient is higher than the coefficients for the level of GDP per capita and the size of the faculty in higher education institutions, indicating that the implementation of low-carbon pilot policies can contribute more significantly to the improvement of urban green innovation efficiency.
In considering the regression coefficients in Table 5, we see that columns 3 and 5, which take into account the control variables, have smaller regression coefficients than regression coefficients that do not take the control variables into account. This substantiates the stability of the outcomes obtained from the measurement. In a side-by-side comparison, the partial regression coefficients of the core explanatory variables in the PSM-DID model regression are significantly smaller than those of the OLS regression results, which indicates that the OLS method is unable to strip out the net gain of the LCPP itself in improving urban green innovation efficiency, and also demonstrates the necessity and reasonableness of the use of the PSM-DID model. In referring to the PSM-DID model regression results that add the controlling variables, we see that when other conditions remain unchanged, every ten thousand CNY increase in GDP per capita will correspond to a 15.08% increase of the urban green innovation efficiency, on average; for every 1000 increase in the size of the research workforce, the level of urban green innovation efficiency will increase by 16.88% on average, with both being found to be valid at the 1% level of significance. Therefore, compared with other controlling variables, GDP per capita and size of the research workforce are undoubtedly the controlling variables that can most significantly promote urban green innovation efficiency. In addition, the study reveals that industrial structure and urbanization level both significantly impact urban green technological innovation. At the 1% significance level, a 1% increase in the output share of the secondary industry leads to a 1.75% boost in urban green innovation efficiency. Similarly, a 1% rise in urbanization rate corresponds to a 3.43% increase in green innovation efficiency at the 5% significance level. Nonetheless, it is crucial to acknowledge that the influence of both factors is significantly weaker than the influence of GDP per capita and research workforce size. The partial regression coefficient of high-tech enterprises is negative but not significant. The partial regression coefficient of financing facilitation shows 0.0008 at the 10% significance level, indicating that while it makes some positive contributions to the urban green innovation efficiency, the effect is relatively weak.
In combining the outcomes from the baseline regression with the above analyses, this paper concludes that the implementation of the LCPP can significantly promote the urban green innovation efficiency, which is consistent with the statistical significance and objective facts, and therefore has a high degree of credibility. Therefore, Hypothesis H1 is verified.
Table 5.
PSM-DID model regression results.
Table 5.
PSM-DID model regression results.
| Variable | ||||
|---|---|---|---|---|
| Core Explanatory Variable | Multivariate | Core Explanatory Variable | Multivariate | |
| 0.2854 *** | 0.1143 *** | 0.4339 *** | 0.2177 *** | |
| 0.1314 *** | 0.1508 *** | |||
| 0.1276 *** | 0.1688 *** | |||
| 0.0325 *** | 0.0175 *** | |||
| 0.0363 ** | 0.0343 ** | |||
| −0.1379 ** | −0.3013 | |||
| −0.0012 | 0.0008 * | |||
| no control | no control | control | control | |
| no control | no control | control | control | |
| Constant term | ||||
| Observation | ||||
| 0.4596 | 0.4947 | 0.4226 | 0.4631 | |
Note: *, **, and *** indicate significance levels of 10%, 5%, and 1%, respectively. Standard errors of regression coefficients are in parentheses. The takes into account the sample size, the number of independent variables.
5.2. Robustness Testing
5.2.1. Replacement of the Regression Model
To substantiate the dependability of the foundational regression findings, it would be prudent to carry out an additional empirical investigation that utilizes the standard DID model, which remains unaltered by the PSM framework. This would involve contrasting the calculated coefficients with their levels of significance in both PSM-DID and traditional DID regression analyses. Currently, Stata is used to assess the impact magnitude of the LCPP on the efficiency of urban green innovation, as well as the pertinent levels of significance across the diverse regression models. The results obtained from this statistical regression analysis are illustrated in Table 6.
Table 6.
Baseline regression results.
Table 6 shows the results of the classical DID model regression, indicating the core explanatory variables regression coefficients are all significantly positive, at 0.2327, 0.0827, 0.1689, 0.0762, respectively. A comparison with the PSM-DID regression results is provided below:
- (1)
- The absolute value of the regression coefficients of the PSM-DID model increased, when compared to the classical DID model regression results;
- (2)
- The significance level for the regression coefficients within the PSM-DID model has shown a reduction, indicating that the probability of committing a Type I error is lower;
- (3)
- There is no change in the sign of the regression coefficients of the PSM-DID model, compared to the classical DID model regression results, indicating that there is no systematic bias in the samples, both before and after matching.
In summary, in the condition of eliminating selective bias, the LCPP has a significant promotion effect on urban green innovation efficiency, and the results are found to be relatively robust.
5.2.2. Parallel Trends Test
Analyses that use the multi-period DID method are based on an underlying assumption that the experimental group and control group had parallel trends before the policy was implemented, as otherwise the conclusions drawn would also be biased. This paper refers to the methodology of Autor [54] to test parallel trends in the Multi-period DID model over time as the policy occurred. It constructs the following model to test if the baseline regression model satisfies parallel trends.
where, the year when the policy was enacted is represented by , and at year , it takes 1 if is a pilot city, and is otherwise 0.
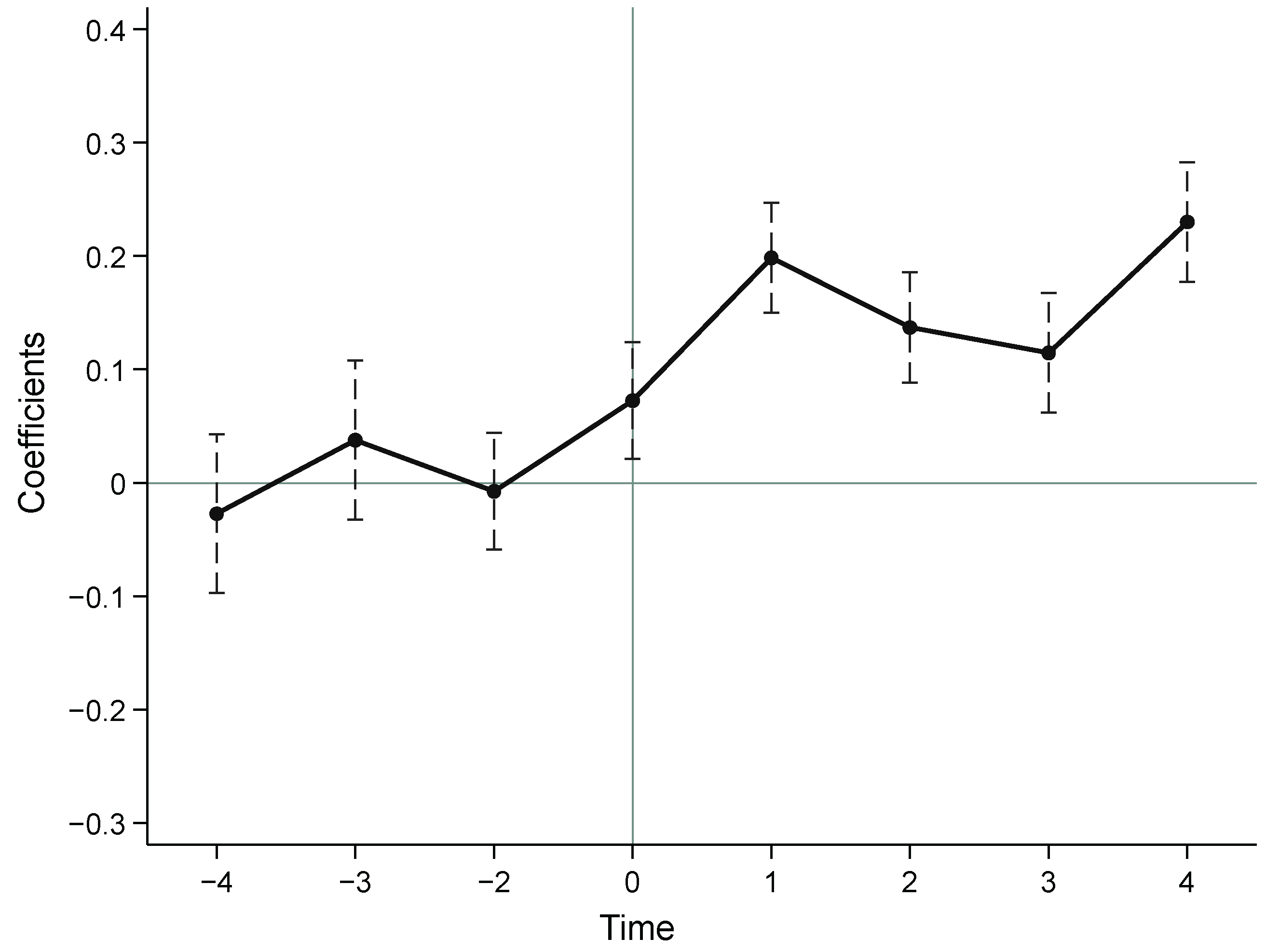
Figure 4 presents a graph where a vertical solid line intersects black dots that represent the 95% confidence interval for the regression coefficients, with the reference point being the year just before the implementation of the LCPP (labeled as “before 1”). The analysis shows that the regression coefficients for the pre-policy period lie within the 95% confidence interval around the null point, supporting the assumption that the pre-policy trend is consistent across both the experimental group and control group. It is also evident from the data that, subsequent to policy initiation, all the regression coefficients deviate significantly from zero, indicating they are all positive. This trend suggests the LCPP positively impacted the LCPP the efficiency of urban green innovation in the areas being studied. Moreover, the post-policy regression coefficient trend shows a fluctuating but generally rising pattern, indicating the LCPP had a sustained and incremental influence on the enhancement of urban green innovation efficiency.
Figure 4.
Parallel trend test results.
5.2.3. Placebo Test
- (1)
- Placebo test 1: Although the parallel trend test has been passed above, it only shows that the experimental group and control group selected in this paper can satisfy the prerequisites for using the multi-period DID model. But there is no test for the influence of unobserved factors outside the model on the explanatory variables, and no way to validate the unbiasedness of the did coefficients in the baseline regression. Therefore, in accordance with the placebo test designed by Zhou et al. [55], this paper replaces by finding an error variable that theoretically will not affect the outcome variable, i.e.,
Meanwhile, in accordance with the research methodology of Cai et al. [41], the experimental group of this study includes the same number of pilot cities, taking into account that the LCPP in China was implemented gradually in three phases with a cumulative total of 87 pilot cities. Consequently, in order to conduct a placebo test, another set of 87 cities has been randomly chosen from the pool of samples to serve as a pseudo-experimental group. Because of the randomness of , the actual effect of the LCPP is . Therefore, if the calculated in model (14) (i.e., the estimated coefficients of the placebo cross-sectional terms in the graphs) do not significantly deviate from the zero point, this means that the unobserved variables outside the model do not affect the estimation of model (1); which is to say that the is unbiased. Otherwise, the calculated will be biased and the predictive function of model (1) will fail. Moreover, the majority of p-values are significantly larger than 0.1, indicating the lack of significance of the pseudo-experimental group we constructed. This precisely reflects the robustness of the experimental group from another perspective, verifying that our model setup does not omit important variables. Figure 5 shows a combined plot of the estimated coefficient kernel densities and their corresponding p-values for the 500 randomly generated experimental group, contributed by the Stata software.
Figure 5.
Placebo test results.
Figure 5 shows that the average of the estimated coefficients stands at −0.0073, which approximates zero, and most of the p-values exceed 0.1, which indicates that our model construction has most likely not neglected any crucial variables. This assertion is supported by the baseline regression results that successfully endured the placebo test, which reinforces the stability and dependability of the regression outcomes.
- (2)
- Placebo test 2: In using the approach set out by Petia and Topalova [56], this study adjusts the timeline, proposing that the enactment of the low-carbon pilot policies initially established in 2010, 2012, and 2017, actually happened between one and five years before. Subsequent regression analyses were conducted to determine the impact that any variables not accounted for within the model had on the efficiency of urban green innovation. If the estimated coefficients for the primary explanatory variables proved to be insignificant, it would indicate that hidden factors do not significantly influence the results. The outcomes of this hypothetical scenario analysis are presented in Table 7. The regression outcomes, which correspond to the hypothetical policy initiation one to five years before actual dates, are laid out in columns (1) to (5). In accordance with anticipated outcomes, the regression coefficients in all five hypothetical scenarios are not found to be statistically significant, and so the possibility of validating the results can be ruled out (i.e., the regression results passed the placebo test).
Table 7. Placebo test results.
5.3. Mechanism Analysis
In referring to the relevant methodology of Baron and Kenny [57] and Wen et al. [47], this paper adopts the Sobel first-order approximation test and Clogg test to test the mediating effect of financial technology R&D expenditures and environmental governance expenditures, respectively. Table 8 shows the regression results obtained with financial technology, R&D expenditure and environmental governance expenditure as mediating variables.
5.3.1. Sobel First-Order Approximation Test
Presented .
Assuming holds, the following test statistic is available:
Testing the effect of financial technology R&D expenditure:
From Table 8 column (2), , ; from Table 8 column (3), , . Substituting into Equation (15), we get that . Therefore, the original hypothesis is rejected, and it is held that financial technology R&D expenditure has a significant promotional effect on urban green innovation efficiency.
Testing for environmental governance expenditure effects:
5.3.2. Clogg Test
Presented .
Assuming holds, the following test statistic is available:
where, is the correlation coefficient between and , and the correlation coefficient formula:
The calculation shows that for the financial technology R&D expenditure, and for the environmental governance expenditure.
Testing the effect of financial technology R&D expenditure:
From column (1) of Table 8, ; from column (3) of Table 8, , . Substituting into Equation (16), we obtain . Since this is a large sample of data, according to the central limit theorem, it can be seen that will converge to the standard normal distribution infinitely. Therefore, , the original hypothesis is rejected, and it is held that financial technology and R&D expenditure have a significant promotional effect on the efficiency of urban green innovation;
Testing for environmental governance expenditure effects:
From column (1) of Table 8, ; from column (5) of Table 8, , . Bringing the above results into Equation (16), we obtain . Therefore, we reject the original hypothesis, and suggest that the expenditure on environmental governance has a significant promotional effect on urban green innovation efficiency.
Table 8.
Mediated effects model regression results.
Table 8.
Mediated effects model regression results.
| Variable | Base Model | Financial Technology R&D Expenditure | Expenditure on Environmental Governance | ||
|---|---|---|---|---|---|
| (1) | (2) | (3) | (4) | (5) | |
| 0.2177 *** | 0.4043 *** | 0.1513 *** | 0.3938 *** | 0.1894 ** | |
| 0.5435 ** | 0.4039 ** | ||||
| Controlling variable | control | control | control | control | control |
| control | control | control | control | control | |
| control | control | control | control | control | |
| Observation | |||||
| 0.4633 | 0.5038 | 0.4847 | 0.4701 | 0.4643 | |
Note: **, and *** indicate significance levels of 10%, 5%, and 1%, respectively. Standard errors of regression coefficients are in parentheses. The takes into account the sample size, the number of independent variables.
As shown in column (1) of Table 8, the estimated coefficient of the LCPP is 0.2177, which is significant at the 1% level. This suggests that the LCPP can efficiently enhance urban green innovation performance and meet the necessary conditions for evaluating the mediating effect test.
The test results obtained when financial technology R&D expenditure is taken as a mediating variable are shown in column (2) and column (3) in Table 8. The findings displayed in the second column of Table 8 illustrate that the coefficient represented as , which measures the influence of the LCPP on financial technology R&D investment, exhibits a considerable positive correlation at the 1% significance level, confirming that the LCPP has a tangible effect on stimulating public investment in technological research and development. Column (3) in Table 8 shows the results obtained after financial technology R&D expenditures are incorporated into the model. In accounting for the mediation effect, we observe that the estimated coefficient designated as for the LCPP stands at 0.1513, which does not only reveal a reduction but also shows a diminished significance level, when compared to the estimation, where the mediation effect is excluded. This proves that the mediation effect is significant. The mediating effect of financial technology R&D expenditures is 0.0664, accounting for about 30.50%, which indicates that financial technology R&D expenditures is one of the important ways that the LCPP works, meaning Hypothesis H2 is verified.
The test results obtained from taking environmental governance expenditure as a mediating variable are shown in column (4) and column (5) in Table 8. The estimation results of column (4) show that the coefficient of the impact of the LCPP on environmental governance expenditure is 0.3938, which is significant and positive at the 1% level, indicating that the LCPP can promote the input of environmental governance expenditure costs. Column (5) in Table 8 shows the results obtained when environmental governance expenditures are included in the model. We obtain the LCPP estimated coefficient, which is 0.1894. When compared to findings obtained when the mediation effect is not considered, the coefficient value is found to be smaller and the significance level decreases, which proves that the mediation effect is significant. The mediating effect of environmental governance expenditure is 0.0283, accounting for about 13.00%, which suggests that environmental governance expenditures is also one of the important ways in which the LCPP can make a difference, and Hypothesis H3 is verified.
5.4. Heterogeneity Analysis
5.4.1. Analysis of Heterogeneity in Urban Population Size
The study delineates a distinction between cities with substantial differences in population size, as larger populations often correlate with stronger hard power attributes, including infrastructure, economic structure, income levels, and the availability of skilled personnel [58]. In accordance with the Chinese government’s 20 November 2014 revision to the “Notice on Adjusting the Criteria for Classifying the Size of Cities”, this paper categorizes cities with a resident population exceeding 3 million as Type I cities, and considers all others as Type II cities, and analyzes them distinctly. The findings in Table 9 reveal that the coefficient for Type I cities is 0.3636, achieving the 1% significance threshold. This signifies that the pilot policy for low-carbon cities notably enhances the green innovation efficiency in Type I cities. On the other hand, Type II cities do not exhibit significance in this regard., which reflects the fact that larger Chinese cities (those with populations of at least 3 million) reap pronounced benefits from their robust infrastructure, higher levels of public services, advanced industrial structures, higher fiscal income, and ample talent pools. This is attributable to the LCPP stipulating that cities should amplify green technology R&D investments, which fosters the green evolution and modernization of traditional industries, and increases green innovation efficiency in urban areas. Metropolises with larger populations tend to have greater financial capacity and are able to draw on substantial pools of talent, which enables them to realize the full potential of science and technology, which in turn facilitates the fuller and more complete achievement of the LCPP objectives.
5.4.2. Analysis of Heterogeneity in Urban Development
Cities of different levels vary greatly in terms of their geographic resources, industrial structure perfection, geographic location, scientific and educational strength, and fiscal income [59]. The paper uses China’s newly released “2022 City Business Charm Ranking” as a criterion; second-tier cities and above and third-tier cities and below are screened in the sample of 226 cities and tested for heterogeneity, respectively. The results in Table 9 show that the estimated coefficient of second-tier cities and above is 0.3782 at a 1% significance level, while the estimated coefficient of third-tier cities and below is only 0.0919 at a 5% significance level. This suggests that, compared with third-tier cities and below, which are less developed and do not have obvious geo-resources and competitive advantages, the second-tier cities and above benefit from a more robust economic strength (in terms of high-tech industries, scientific and educational strength, scientific research talent reserves, financial strength, etc.), respond more quickly to the pilot policies of low-carbon cities, and are more efficient in implementing low-carbon policy objectives and enhancing the efficiency of urban green innovation.
5.4.3. Analysis of Heterogeneity of Urban Pillar Industries
It is well known that the GDP unit energy consumption of the secondary industry in China is generally higher than that of the tertiary industry. Therefore, in terms of GDP unit energy consumption, there is a huge difference between cities whose pillar industry is heavy industry and cities whose pillar industry is eco-tourism. In the paper, heavy industry cities and non-heavy industry cities are screened according to the results of the government’s division of Chinese industrial bases and regressed separately. The results in Table 9 show that the estimated coefficient of heavy industrial cities is 0.2029, and the estimated coefficients of other non-heavy industrial cities are only about half of those of heavy industrial cities; the significance level of both is found to be 5%. The inference drawn is that the effect of the LCPP on the efficiency of green innovation is notably greater in cities dominated by heavy industry, compared to those with lighter industrial bases. The underlying rationale is that municipalities with a strong presence of secondary, and particularly heavy, industries have higher environmental resource usage, compared to cities with a predominance of tertiary industries. Consequently, there is great potential to advance environmentally friendly production technologies, decrease energy use per unit of economic output, and boos green innovative efficiency. As such, these cities are likely to exhibit a heightened responsiveness to the initiatives set forth by the LCPP.
Table 9.
Heterogeneity regression results.
Table 9.
Heterogeneity regression results.
| Variable | Urban Scale Heterogeneity | Heterogeneity in Urban Development | Pillar Industry Heterogeneity | |||
|---|---|---|---|---|---|---|
| I Major Cities and Above | II Major Cities and Below | Second-Tier Cities and Above | Third-Tier Cities and Below | Cities with Heavy Industry | Non-Heavy Industry Cities | |
| 0.3636 *** | 0.3782 *** | 0.0919 ** | 0.2029 ** | 0.1129 ** | ||
| Controlling variable | control | control | control | control | control | control |
| control | control | control | control | control | control | |
| control | control | control | control | control | control | |
| Observation | ||||||
| 0.5462 | 0.5018 | 0.4989 | 0.4912 | 0.4705 | 0.4738 | |
Note: **, and *** indicate significance levels of 10%, 5%, and 1%, respectively. Standard errors of regression coefficients are parentheses. The takes into account the sample size, the number of independent variables.
6. Discussion
We interpret China’s LCPP as a quasi-natural experiment and utilize the PSM-DID model to investigate the influence of this policy on elevating the efficiency of green innovation in Chinese urban areas. The findings indicate that this policy has a notable positive effect on the efficiency of urban green innovation. Present research of green innovation within Chinese cities is commonly centered on identifying and analyzing the factors that influence such innovation. This often includes the role played by the digital economy, the development of cities known for their innovation, and the impact of environmental policies [60,61]. Comparative studies highlight that the European Union’s methods for addressing climatic alterations often involve fiscal tools, such as carbon emissions trading system [32], which leverage the market’s inherent tendency towards self-regulation with the aim of fostering energy saving and reducing emissions. Meanwhile, the strategy adopted by China, which is similar to those put in place in South Korea and the United States, leans towards instigating incentives or environmental legislation [33,34]. These nations have followed a policy-oriented trajectory to stimulate eco-friendly progress and sustainable development.
In aligning closely with the theme of this paper, certain studies have already delved into the effects of the LCPP on the green innovation within cities [62,63]. To date, most scholarly work has been limited in scope, with some studies examining the influence of such policies on individual businesses from a microeconomic perspective, while others have instead considered the influence of policies on specific environmental performance indicators from a macroeconomic standpoint. Moreover, few researchers have considered the specific ways in which the LCPP affects the efficiency of urban green innovation, or tried to understand the different mechanisms through which these effects operate. In terms of assessing the efficiency of urban green innovation, prevailing studies largely rely on DEA based on the concept of linear programming, which neglects the potential for unanticipated setbacks to occur during economic production that may result in measurement inaccuracies. In seeking to address these gaps, this study scrutinizes the impact of LCPP on green innovation efficiency in Chinese urban areas. Its main innovation is to consider financial technology R&D expenditure and environmental governance expenditure as mediators, revealing the mechanisms through which the LCPP may affect the efficiency of urban green innovation [64].
This paper also incorporates city population size, the degree of development, and the pillar industries into a new heterogeneous analytical perspective that seeks to effectively identify the exogenous policy effects of LCPP. It also uses the UPO-SBM is used to improve the traditional DEA model, which in turn improves the accuracy of the measurement of urban green innovation efficiency. The study not only provides strong support for the government as it seeks to formulate carbon emission reduction policies that will help promote the enhancement of urban green innovation efficiency, but will also help the Chinese government to tailor its carbon emission reduction policies and work towards achieve sustainable development.
7. Conclusions and Recommendations
In responding to the urgent issues of global warming and increasing carbon emissions, the Chinese government initiated the LCPP in 2010, which continues to be in effect. This research aims to examine the impact of this policy initiative on advancing urban green innovation efficiency; assess its effectiveness in addressing the conflict between economic growth and environmental protection; and examine its role in the pursuit of a sustainable development that is aligned with China’s goals for reaching carbon peak and achieving carbon neutrality. This study also considers how this policy contributes to China’s strategy for tackling global climate change challenges. The analysis utilizes data from 226 Chinese cities extracted in the period 2008 to 2019 and uses the UPO-SBM to measure the urban green innovation efficiency and the PSM-DID model to evaluate the effects of the LCPP on this efficiency. Subsequently, we delve into the mechanism of action of the policy and assess the heterogeneity of its impact. The findings reveal that the LCPP has improved the urban green innovation efficiency. Specifically, the average net impact of the policy on urban green innovation efficiency is statistically significant, with a magnitude of 0.2177 at the 1% significance level, which remains robust after various robustness checks and the use of PSM to control for confounding factors across groups. Mechanism testing shows that government expenditures on technology R&D and environmental governance are key drivers of the policy’s ability to improve the efficiency of urban green innovation. Further analysis of heterogeneity suggests that the positive impacts of the LCPP are more pronounced in cities with larger populations, higher levels of development, and more industrialized economies; and are less evident in smaller, less developed, and less industrialized cities. In concluding, this paper provides several insights and recommendations for China and other developing countries, which follow:
Firstly, in terms of policy coherence and sustainability, it is imperative for the central authorities to further advance the LCPP. Building on the insights gleaned from the experiences of cities that first adopted these measures, there should be a progressive effort to roll out the low-carbon strategy across the entire nation. This drives the realization of sustainable development goals and promotes the creation of urban areas that are inclusive, safe, resilient and sustainable, and will also help to minimize their ecological footprint. This is the way forward that China and other developing countries should pursue. In addition, more and more effective low-carbon subsidy policies should be formulated, with the aim of effectively reducing the pressure and cost of low-carbon transition and, in turn, further strengthening the role of LCPP in promoting the efficiency of green innovation.
Secondly, local governments, as the main party implementing the pilot low-carbon city policy, should further increase the proportion of their budgets spent on green innovation, low-carbon science, and technology R&D, and insist on using environmental governance expenditures as a favorable driving force for the implementation of low-carbon policies and the realization of the “dual-carbon” strategy. At the same time, the government should also coordinate the power of social resources, and guide orderly participation in green innovation, low-carbon science and technology innovation.
Thirdly, cities with larger populations and higher degrees of economic development should make full use of their stronger economic strength and scientific talent reserves to conduct green innovation and develop low-carbon technology and, in so doing, provide exemplary paths for other cities; they should actively provide support to cities with smaller populations and less developed economies, and provide financial support and aid that will promote green innovation and the construction of low-carbon urban environments. Cities where heavy industry is the pillar industry should, with the assistance of eco-friendly advancements and sustainable technology innovated by academic and scientific research establishments, reform and modernize their conventional industrial sectors. This approach should aim to markedly lower energy usage per unit and robustly boost the urban green innovation efficiency.
Fourthly, in society as a whole, it is crucial that the general public actively support and participate in low-carbon initiatives launched within their communities. Public awareness programs and educational activities should be strengthened to encourage sustainable lifestyle choices. Market demand for green products and technologies can be a powerful catalyst for a low-carbon transition. Collaboration between civil society organizations, non-governmental organizations and the private sector should be encouraged, as this will help to create an environment that embraces low-carbon innovation and sustainable practices.
Finally, in engaging in sustainability advocacy, we need to strengthen our support for sustainable initiatives and encourage community members, government officials, and business executives to persistently drive forward these endeavors. Our efforts should not be confined to discussing environmental policies but should also focus on promoting the expansion of a green economy and the practical application of sustainability in city planning and development. Inclusive participation and collaboration from all sectors are essential to truly embed sustainable methods into daily practices, meeting our shared duty to foster a sustainably viable future.
Author Contributions
Idea design, empirical model construction, Y.D.; data processing, empirical model construction, H.W.; data collection, thesis refinement, R.A., Q.W. and X.W. All authors have read and agreed to the published version of the manuscript.
Funding
This study was financially supported by Youth Foundation of China University of Petroleum-Beijing at Karamay (No. XQZX20230042). The University of International Business and Economics also provided facilities that were used.
Institutional Review Board Statement
Not applicable.
Informed Consent Statement
Not applicable.
Data Availability Statement
The data and code supporting the conclusions of this paper are available upon request from the first and corresponding authors of this paper.
Conflicts of Interest
The authors declare no conflicts of interest.
References
- Wang, Z.; Wu, M.; Li, S.; Wang, C. The Effect Evaluation of Chinese Energy-Consuming Right Trading Policy: Empirical Analysis Based on PSM-DID. Sustainability 2021, 13, 11612. [Google Scholar] [CrossRef]
- Irfan, M.; Elavarasan, R.M.; Yu, H.; Feng, M.J.; Dai, S.L. An Assessment of Consumers’ Willingness to Utilize Solar Energy in China: End-Users’ Perspective. J. Clean. Prod. 2021, 292, 126008. [Google Scholar] [CrossRef]
- Lyu, L.; Fang, L. A Study on E-C Translation of BP Statistical Review of World Energy 2022 from the Perspective of Schema Theory. J. Linguist. Commun. Stud. 2023, 2, 10–14. [Google Scholar] [CrossRef]
- Jiang, D.; Wang, H.; Lang, X. East Asia Climate Change Trend under Global Warming Background. Chin. J. Geophys. 2004, 47, 590–596. [Google Scholar]
- Helbling, M.; Meierrieks, D. Global Warming and Urbanization. J. Pop. Econ. 2023, 36, 1187–1223. [Google Scholar] [CrossRef]
- Zhang, Z.; Chen, C. Dynamic Sea Level Change in the South China Sea under the Background of Global Warming. Mar. Sci. Bull. 2023, 42, 241–249. [Google Scholar]
- Qiu, Y.; Zeng, D.; Wu, J. Has China’s Low-Carbon Pilot Policy Improved the Level of Urban Green Technology Innovation? Jiangxi Soc. Sci. 2023, 43, 50–60. [Google Scholar]
- Zhou, C.; Liu, D. Digital Economy, Green Technology Innovation and Energy Efficiency Improvement: An Empirical Analysis based on Urban Panel Data. Ind. Tech. Econ. 2024, 43, 41–52. [Google Scholar]
- Huang, H.; Huang, H.; Xiao, Y.; XIANG, X. Industrial Structure Upgrading, Government’s Attention to Ecological Environment and the Efficiency of Green Innovation: Evidence from 115 Resource-Based Cities in China. J. Nat. Res. 2024, 39, 104–124. [Google Scholar] [CrossRef]
- Wang, Q.; She, S.; Zeng, J. The Mechanism and Effect Identification of the Impact of National High-Tech Zones on Urban Green Innovation: Based on a DID Test. China Popul. Resour. Environ. 2020, 30, 129–137. [Google Scholar]
- Sahoo, S.; Kumar, A.; Upadhyay, A. How do green knowledge management and green technology innovation impact corporate environmental performance? Understanding the role of green knowledge acquisition. Bus. Strategy Environ. 2023, 32, 551–569. [Google Scholar] [CrossRef]
- Tone, K.; Sahoo, B.K. Scale, Indivisibilities and Production Function in Data Envelopment Analysis. Int. J. Prod. Econ. 2003, 84, 165–192. [Google Scholar] [CrossRef]
- Chintrakarn, P. Environmental Regulation and U.S. States’ Technical Inefficiency. Econ. Lett. 2008, 100, 363–365. [Google Scholar] [CrossRef]
- Guo, J. The Effects of Environmental Regulation on Green Technology Innovation: Evidence of the Porter Effect in China. Financ. Trade Econ. 2019, 40, 147–160. [Google Scholar]
- Frondel, M.; Horbach, J.; Rennings, K. End-of-Pipe or Cleaner Production? An Empirical Comparison of Environmental Innovation Decisions across OCED Countries. Bus. Strategy Environ. 2007, 16, 571–584. [Google Scholar] [CrossRef]
- Jin, X.; Guan, H.; Chen, S. How Do Environmental Regulation Tools Affect Enterprise Green Technology Innovation?—Research on Heterogeneous Effects based on Dual Perspectives. Front. Eng. Manag. Sci. Tech. 2022, 41, 62–68. [Google Scholar]
- Dong, H.; Liu, P. The Impact of Environmental Regulation on Technological Innovation Efficiency under the Perspective of Innovation Value Chain: A Case Study of the Yellow River Basin. Sci. Technol. Prog. Pol. 2021, 38, 37–45. [Google Scholar]
- Xu, J.; Cui, J. Low-Carbon cities and Firms’ Green Technological Innovation. China Ind. Econ. 2020, 178–196. [Google Scholar]
- Ma, D.; Sun, H. Low-Carbon City Pilot Policy and Strategic Emerging Enterprise Growth: Based on the Empirical Research of A-share Listed Companies. East China Econ. Manag. 2023, 37, 84–94. [Google Scholar]
- Du, M.; Antunes, J.; Wanke, P.; Chen, Z. Ecological Efficiency Assessment under the Construction of Low-Carbon City: A Perspective of Green Technology Innovation. J. Environ. Plan. Manag. 2022, 65, 1727–1752. [Google Scholar] [CrossRef]
- Shao, S.; Li, J. Can the Low-Carbon Policy Promote the Progress of Green Technology? An Investigation Based on Time-Varying DID Model. J. Beijing Inst. Technol. 2022, 24, 151–162. [Google Scholar]
- Song, H.; Sun, Y.; Chen, D. Assessment for the Effect of Government Air Pollution Control Policy: Empirical Evidence from "Low-Carbon City" construction in China. Manag. World 2019, 35, 95–108+195. [Google Scholar]
- Song, M.; Zhao, X.; Shang, Y. The Impact of Low-Carbon City Construction on Ecological Efficiency: Empirical Evidence from Quasi-Natural Experiments. Resour. Conserv. Recycl. 2020, 157, 104777. [Google Scholar] [CrossRef]
- Yu, Y.; Zhang, N. Low-Carbon City Pilot and Carbon Emission Efficiency: Quasi-Experimental Evidence from China. Energy Econ. 2021, 96, 105125. [Google Scholar] [CrossRef]
- Zhang, B.; Zhou, J.; Yan, Z. Low-Carbon City Pilot Policies and Total Factor Energy Efficiency Improvement: Quasi-Natural Experiment from the Implementation of Three Batches of Pilot Policies. Econ. Rev. 2021, 42, 32–49. [Google Scholar]
- Zhang, J.; Liu, R. Evolution of Urban Green Innovation Efficiency under Environmental Regulation: A Case Study of Xi’an. Urban Environ. Stud. 2019, 8, 34–50. [Google Scholar] [CrossRef]
- Yi, M.; Cheng, X. Spatial-temporal Differences and Influencing Factors of Green Innovation Efficiency along the Yangtze River Economic Belt. Urban Probl. 2018, 8, 31–39. [Google Scholar]
- Lu, J.; Shen, C. Heterogeneity and Evolutionary Features of Green Technological Innovation Efficiency of National Central Cities. Urban Probl. 2019, 2, 21–28. [Google Scholar]
- Zheng, S.; You, C. Diffusion Model and Air Pollution Control Effect of Low-Carbon City Pilot in China. China Soft. Sci. 2023, 98–108. [Google Scholar]
- Fan, X.; Guo, P. The Impact of Low-Carbon City Pilot Policy on the High-Quality Development of Urban Economy. Econ. Surv. 2023, 4, 3–14. [Google Scholar]
- Guo, B.; Tang, L.; Zhang, H. The Impact of Urban Low Carbon Governance on Ecological Efficiency: A Quasi-Natural Experiment Based on the Low-Carbon City Pilot Policy. East China Econ. Manag. 2023, 37, 82–90. [Google Scholar]
- Wan, L.; Wang, S.; Zang, J.; Zheng, Q.; Fang, W. Does the EU emissions trading system help reduce PM 2.5 damage? A research based on PSM-DID method. Environ. Sci. Poll. Res. 2022, 29, 23129–23143. [Google Scholar] [CrossRef]
- Duan, Z.; Lee, S.; Lee, G. Evaluation of the effect of a low-carbon green city policy on carbon abatement in South Korea: A city-level analysis based on PSM-DID and LSA models. Ecol. Indic. 2024, 158, 111369. [Google Scholar] [CrossRef]
- Shevchenko, A. Do financial penalties for environmental violations facilitate improvements in corporate environmental performance? An empirical investigation. Bus. Strategy Environ. 2021, 30, 1723–1734. [Google Scholar] [CrossRef]
- Ma, J.; Hu, Q.; Shen, W.; Wei, X. Does the Low-Carbon City Pilot Policy Promote Green Technology Innovation? Based on Green Patent Data of Chinese A-share Listed Companies. Int. J. Environ. Res. Public Health 2021, 18, 3695. [Google Scholar] [CrossRef]
- Hu, Q.; Ma, J. Research on the Impact of Low-Carbon City Pilot Policies on the Efficiency of Green Technology Innovation: An Empirical Test Based on the Perspective of Innovation Value Chain. J. Soc. Sci. 2022, 62–72. [Google Scholar]
- Wang, Z.; Peng, B.; Guo, J.J.; Tan, H. Can the Low-Carbon Transition Improve the Environmental, Social and Governance Performance of Enterprises? A Quasi-Natural Experiment Based on “Low-Carbon Pilot City”. Theor. Pract. Financ. Econ. 2023, 44, 139–145. [Google Scholar]
- Gast, J.; Gundolf, K.; Cesinger, B. Doing Business in a Green Way: A Systematic Review of the Ecological Sustainability Entrepreneurship Literature and Future Research Directions. J. Clean. Prod. 2017, 147, 44–56. [Google Scholar] [CrossRef]
- Li, G.; Wang, X.; Wu, J. How Scientific Researchers form Green Innovation Behavior: An Empirical Analysis of Chinese Enterprises. Technol. Soc. 2019, 56, 134–146. [Google Scholar] [CrossRef]
- Li, P.; Yang, K. On Input-Output Lag Effect and Efficiency of Scientific Research in Universities. J. Shandong Univ. S&T 2023, 25, 108–118. [Google Scholar]
- Yu, G.; Liu, K. Foreign Direct Investment, Environmental Regulation and Urban Green Development Efficiency—An Empirical Study from China. Appl. Econ. 2023, 1–14. [Google Scholar] [CrossRef]
- Bai, T. Digital Economy, Industrial Transformation and Upgrading, and Spatial Transfer of Carbon Emissions: The Paths for Low-Carbon Transformation of Chinese Cities. J. Environ. Manag. 2023, 344, 118528. [Google Scholar] [CrossRef] [PubMed]
- Wu, G.; Xu, Q.; Niu, X.; Tao, L. How Does Government Policy Improve Green Technology Innovation: An Empirical Study in China. Front. Environ. Sci. 2022, 9, 799794. [Google Scholar] [CrossRef]
- Liu, J.; Li, Q. Impact of Major Events on Interprovincial Carbon Emissions-Based on PSM-DID Analysis. Sustainability 2022, 14, 7459. [Google Scholar] [CrossRef]
- Xie, F.; Yang, P. Research on the Impact of Mixed Reform of State-Owned Enterprises on Enterprise Performance—Based on PSM-DID Method. Sustainability 2023, 15, 3122. [Google Scholar] [CrossRef]
- Xue, F.; Zhou, M. Can the Energy-Consuming Right Transaction System Improve Energy Utilization Efficiency? China Popul. Resour. Environ. 2022, 32, 54–66. [Google Scholar]
- Wen, Z.; Fang, J.; Xie, J.; Ouyang, J. Methodological Research on Mediation Effects in China’s Mainland. Adv. Psych. Sci. 2022, 30, 1692–1702. [Google Scholar] [CrossRef]
- Du, X.; Meng, C.; Guo, Z.; Yan, H. An Improved Approach for Measuring the Efficiency of Low Carbon City Practice in China. Energy 2023, 268, 126678. [Google Scholar] [CrossRef]
- Zhao, P.; Lu, Z.; Kou, J.; Du, J. Regional Differences and Convergence of Green Innovation Efficiency in China. J. Environ. Manag. 2023, 325, 116618. [Google Scholar] [CrossRef]
- Li, X.; Zhan, J.; Lv, T.; Wang, S.; Pan, F. Comprehensive Evaluation Model of the Urban Low-Carbon Passenger Transportation Structure based on DPSIR. Ecol. Ind. 2023, 146, 109849. [Google Scholar] [CrossRef]
- Guo, F.; Yang, S.; Chai, Z. Can Low-Carbon City Construction Promote Urban Green Technology Innovation? Evidence from A Quasi-Natural Experiment. Soft. Sci. 2023, 37, 40–49. [Google Scholar]
- Wang, X. How Pilot Low Carbon Cities Influence Urban Green Technology Innovation? A perspective of Synergy between Government Intervention and Public Participation. J. Lanzhou Univ. 2022, 50, 41–53. [Google Scholar]
- Wang, H.; Hao, W. Impact of High-Tech Industry Agglomeration on the Efficiency of Green Innovation in China. China Soft. Sci. 2022, 172–183. [Google Scholar]
- Autor, D.H. Outsourcing at will: The Contribution of Unjust Dismissal Doctrine to the Growth of Employment Outsourcing. J. Labor. Econ. 2003, 21, 1–42. [Google Scholar] [CrossRef]
- Zhou, M.; Lu, Y.; Du, Y.; Yao, X. Special Economic Zones and Region Manufacturing Upgrading. China Ind. Econ. 2018, 3, 62–79. [Google Scholar]
- Topalova, P. Factor Immobility and Regional Impacts of Trade Liberalization Evidence on Poverty from India. Am. Econ. J. Appl. Econ. 2010, 2, 1–41. [Google Scholar] [CrossRef]
- Baron, R.M.; Kenny, D.A. The moderator–mediator variable distinction in social psychological research: Conceptual, strategic, and statistical considerations. J. Pers. Soc. Psychol. 1986, 51, 1173. [Google Scholar] [CrossRef] [PubMed]
- Liu, F.; Zhong, T. Urban Population Size, Spatial Expansion and Per Capita Public Finance Expenditure: An Analysis on Panel Data for 285 Cities in China. Areal. Res. Dev. 2019, 38, 61–65. [Google Scholar]
- Lan, X.; Zhang, W.; Pei, X. A Study on the Difference and Convergence of the Economic Development of Centre-Peripheral Cities. J. Q. Technol. Econ. 2021, 38, 45–65. [Google Scholar]
- Wei, S.; Du, J.; Pan, S. How Does Digital Economy Promote Green Innovation? Empirical Evidence from Chinese Cities. China Econ. Transit. 2022, 5, 408–427. [Google Scholar]
- Li, J.; Du, Y.X. Spatial Effect of Environmental Regulation on Green Innovation Efficiency: Evidence from Prefectural-Level Cities in China. J. Clean. Prod. 2020, 286, 125032. [Google Scholar] [CrossRef]
- Yue, X.; Zhao, S.; Ding, X.; Xin, L. How the Pilot Low-Carbon City Policy Promotes Urban Green Innovation: Based on Temporal-Spatial Dual Perspectives. Int. J. Environ. Res. Public Health 2022, 20, 561. [Google Scholar] [CrossRef] [PubMed]
- Wang, T.; Song, Z.; Zhou, J.; Liu, F. Low-carbon Transition and Green Innovation: Evidence from Pilot Cities in China. Sustainability 2022, 14, 7264. [Google Scholar] [CrossRef]
- Jia, L.; Cheng, P.; Yu, Y.; Chen, S.H.; Wang, C.X.; He, L.; Nie, H.T.; Wang, J.C.; Zhang, J.C.; Fan, B.G. Regeneration mechanism of a novel high-performance biochar mercury adsorbent directionally modified by multimetal multilayer loading. J. Environ. Manag. 2023, 326, 116790. [Google Scholar] [CrossRef]
Disclaimer/Publisher’s Note: The statements, opinions and data contained in all publications are solely those of the individual author(s) and contributor(s) and not of MDPI and/or the editor(s). MDPI and/or the editor(s) disclaim responsibility for any injury to people or property resulting from any ideas, methods, instructions or products referred to in the content. |
© 2024 by the authors. Licensee MDPI, Basel, Switzerland. This article is an open access article distributed under the terms and conditions of the Creative Commons Attribution (CC BY) license (https://creativecommons.org/licenses/by/4.0/).




