Eco-Leadership in Action: Integrating Green HRM and the New Ecological Paradigm to Foster Organizational Commitment and Environmental Citizenship in the Hospitality Industry
Abstract
1. Introduction
2. Literature Review
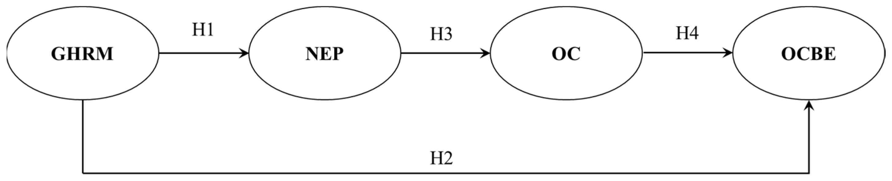
2.1. Role of GHRM on NEP and OCBE
2.1.1. Definition and Scope of GHRM
2.1.2. Sustainable Talent Acquisition Under GHRM
2.1.3. Sustaining Eco-Friendly Actions with GHRM Rewards
2.1.4. GHRM in the Hospitality Industry
2.1.5. Definition and Scope of NEP
2.1.6. Importance of NEP in Environmental Behavior
2.1.7. Linking NEP to Systems Thinking
2.1.8. Mediating Role of NEP Between GHRM and OCBE
2.2. Impacts of NEP on OCBE with OC
2.2.1. Definition and Scope of Organizational Commitment
2.2.2. Organizational Citizenship Behavior for the Environment (OCBE)
2.2.3. Linking NEP to OC
2.2.4. Linking OC and OCBE
2.2.5. Mediating Role of OC Between NEP and OCBE
3. Methods
3.1. Subjects and Procedures
3.2. Questionnaire Development and Measures
3.3. Data Analytics
4. Results
4.1. Measurement Model Examination
Reliability and Construct Validity
4.2. Structural Model
4.2.1. Individual-Parameter Estimate
4.2.2. Sequential Mediation Effects
5. Discussions and Conclusions
5.1. Findings and Theoretical Contributions
5.2. Practical Suggestions
5.3. Limitations and Future Research Suggestions
Funding
Institutional Review Board Statement
Informed Consent Statement
Data Availability Statement
Conflicts of Interest
References
- Renwick, D.W.S.; Redman, T.; Maguire, S. Green Human Resource Management: A Review and Research Agenda. Int. J. Manag. Rev. 2013, 15, 1–14. [Google Scholar] [CrossRef]
- Jackson, S.E.; Renwick, D.W.S.; Jabbour, C.J.C.; Muller-Camen, M. State-of-the-Art and Future Directions for Green Human Resource Management: Introduction to the Special Issue. Ger. J. Hum. Resour. Manag. 2011, 25, 99–116. [Google Scholar] [CrossRef]
- Jabbour, C.J.C.; Santos, F.C.A. Relationships between Human Resource Dimensions and Environmental Management in Companies: Proposal of a Model. J. Clean. Prod. 2008, 16, 51–58. [Google Scholar] [CrossRef]
- Tulsi, P.; Ji, Y. A Conceptual Approach to Green Human Resource Management and Corporate Environmental Responsibility in the Hospitality Industry. J. Asian Financ. Econ. Bus. 2020, 7, 195–203. [Google Scholar] [CrossRef]
- Yong, J.Y.; Yusliza, M.-Y.; Fawehinmi, O.O. Green Human Resource Management: A Systematic Literature Review from 2007 to 2019. Benchmarking Int. J. 2019, 27, 2005–2027. [Google Scholar] [CrossRef]
- Guerci, M.; Montanari, F.; Scapolan, A.; Epifanio, A. Green and Nongreen Recruitment Practices for Attracting Job Applicants: Exploring Independent and Interactive Effects. Int. J. Hum. Resour. Manag. 2016, 27, 129–150. [Google Scholar] [CrossRef]
- World Travel & Tourism Council (WTTC)|Travel & Tourism Representative Council. Available online: https://wttc.org/ (accessed on 1 August 2024).
- International Tourism Highlights, 2023 Edition—The Impact of COVID-19 on Tourism (2020–2022). 2023. Available online: https://www.e-unwto.org/doi/epdf/10.18111/9789284424986 (accessed on 1 August 2024).
- Govindarajulu, N.; Daily, B.F. Motivating Employees for Environmental Improvement. Ind. Manag. Data Syst. 2004, 104, 364–372. [Google Scholar] [CrossRef]
- Cherian, J.P.; Jacob, J. A Study of Green HR Practices and Its Effective Implementation in the Organization: A Review. Int. J. Bus. Manag. 2012, 7, 25. [Google Scholar] [CrossRef]
- Jabbour, C.J.C.; De Sousa Jabbour, A.B.L. Green Human Resource Management and Green Supply Chain Management: Linking Two Emerging Agendas. J. Clean. Prod. 2016, 112, 1824–1833. [Google Scholar] [CrossRef]
- Arulrajah, A.A.; Opatha, H.H.D.N.P.; Nawaratne, N.N.J. Green Human Resource Management Practices: A Review. Sri Lankan J. Hum. Resour. Manag. 2016, 5, 1. [Google Scholar] [CrossRef]
- Hosain, S.; Rahman, S. Green Human Resource Management: A Theoretical Overview. IOSR J. Bus. Manag. 2016, 18, 1–7. [Google Scholar]
- Al-Swidi, A.K.; Gelaidan, H.M.; Saleh, R.M. The Joint Impact of Green Human Resource Management, Leadership and Organizational Culture on Employees’ Green Behaviour and Organisational Environmental Performance. J. Clean. Prod. 2021, 316, 128112. [Google Scholar] [CrossRef]
- Daily, B.F.; Bishop, J.W.; Govindarajulu, N. A Conceptual Model for Organizational Citizenship Behavior Directed toward the Environment. Bus. Soc. 2009, 48, 243–256. [Google Scholar] [CrossRef]
- Freeman, R.E. Divergent Stakeholder Theory. Acad. Manag. Rev. 1999, 24, 233–236. [Google Scholar] [CrossRef]
- Munawar, S.; Yousaf, H.; Ahmed, M.; Rehman, D. Effects of Green Human Resource Management on Green Innovation through Green Human Capital, Environmental Knowledge, and Managerial Environmental Concern. J. Hosp. Tour. Manag. 2022, 52, 141–150. [Google Scholar] [CrossRef]
- Wehrmeyer, J.A.; Yeralan, S.; Tecu, K.S. Influence of Strain Rate and Fuel Dilution on Laminar Nonpremixed Hydrogen—Air Flame Structure: An Experimental Investigation. Combust. Flame 1996, 107, 125–140. [Google Scholar] [CrossRef]
- Shah, N.; Soomro, B. Effects of Green Human Resource Management Practices on Green Innovation and Behavior. Manag. Decis. 2023, 61, 290–312. [Google Scholar] [CrossRef]
- Bebbington, J. Book Review: Strategy for Sustainable Business: Environmental Opportunity and Strategic Choice by L. Crosbie and K. Knight (Ed), McGraw-Hill, 1995. Xi+270 Pp, £24.95, (Hdk), ISBN 0 07 709133 7. Bus. Strategy Environ. 1997, 6, 116–117. [Google Scholar] [CrossRef]
- Elshaer, I.A.; Sobaih, A.E.E.; Aliedan, M.; Azazz, A.M.S. The Effect of Green Human Resource Management on Environmental Performance in Small Tourism Enterprises: Mediating Role of Pro-Environmental Behaviors. Sustainability 2021, 13, 1956. [Google Scholar] [CrossRef]
- Sobaih, A.E.E.; Hasanein, A.; Elshaer, I. Influences of Green Human Resources Management on Environmental Performance in Small Lodging Enterprises: The Role of Green Innovation. Sustainability 2020, 12, 10371. [Google Scholar] [CrossRef]
- Cohen, A. Commitment before and after: An Evaluation and Reconceptualization of Organizational Commitment. Hum. Resour. Manag. Rev. 2007, 17, 336–354. [Google Scholar] [CrossRef]
- Sihombing, O.N.; Iqbal, M.A. The Effect of Transformational Leadership and Orgaanizational Commitment with Job Satisfaction as Intervening Variable on Organizational Citizenship Behavior for the Environment (OCBE)—Case Study of Employees in Agency of Labor, Transmigration and Energy Special Capital Region of Jakarta. Indones. J. Bus. Anal. 2024, 4, 127–146. [Google Scholar]
- Dunlap, R.E.; Van Liere, K.; Mertig, A.; Jones, R.E. Measuring Endorsement of the New Ecological Paradigm: A Revised NEP Scale. Earthscan Read. Environ. Values 2005, 56, 425–442. [Google Scholar]
- Dunlap, R.E.; Liere, K.D.V. The “New Environmental Paradigm”. J. Environ. Educ. 1978, 9, 10–19. [Google Scholar] [CrossRef]
- Dunlap, R.E.; Van Liere, K.D.; Mertig, A.G.; Jones, R.E. New Trends in Measuring Environmental Attitudes: Measuring Endorsement of the New Ecological Paradigm: A Revised NEP Scale. J. Soc. Issues 2000, 56, 425–442. [Google Scholar] [CrossRef]
- Ziegler, A. New Ecological Paradigm Meets Behavioral Economics: On the Relationship between Environmental Values and Economic Preferences. J. Environ. Econ. Manag. 2021, 109, 102516. [Google Scholar] [CrossRef]
- Gansser, O.A.; Reich, C.S. Influence of the New Ecological Paradigm (NEP) and Environmental Concerns on pro-Environmental Behavioral Intention Based on the Theory of Planned Behavior (TPB). J. Clean. Prod. 2023, 382, 134629. [Google Scholar] [CrossRef]
- Davis, A.C.; Stroink, M.L. The Relationship between Systems Thinking and the New Ecological Paradigm. Syst. Res. Behav. Sci. 2016, 33, 575–586. [Google Scholar] [CrossRef]
- Derdowski, L.A.; Grahn, Å.H.; Hansen, H.; Skeiseid, H. The New Ecological Paradigm, Pro-Environmental Behaviour, and the Moderating Effects of Locus of Control and Self-Construal. Sustainability 2020, 12, 7728. [Google Scholar] [CrossRef]
- Tang, G.; Chen, Y.; Jiang, Y.; Paillé, P.; Jia, J. Green Human Resource Management Practices: Scale Development and Validity. Asia Pac. J. Hum. Resour. 2018, 56, 31–55. [Google Scholar] [CrossRef]
- Kean Boon, C.; Quoquab, F.; Mohammad, J.; Basiruddin, R. The Mediating Role of New Ecological Paradigm between Value Orientations and Pro-Environmental Personal Norm in the Agricultural Context. Asia Pac. J. Mark. Logist. 2016, 28, 323–349. [Google Scholar] [CrossRef]
- Freire, C.; Pieta, P. The Impact of Green Human Resource Management on Organizational Citizenship Behaviors: The Mediating Role of Organizational Identification and Job Satisfaction. Sustainability 2022, 14, 7557. [Google Scholar] [CrossRef]
- Pinzone, M.; Guerci, M.; Lettieri, E.; Redman, T. Progressing in the Change Journey towards Sustainability in Healthcare: The Role of ‘Green’ HRM. J. Clean. Prod. 2016, 122, 201–211. [Google Scholar] [CrossRef]
- Meyer, J.P.; Allen, N.J. A Three-Component Conceptualization of Organizational Commitment. Hum. Resour. Manag. Rev. 1991, 1, 61–89. [Google Scholar] [CrossRef]
- Meyer, J.P.; Stanley, D.J.; Herscovitch, L.; Topolnytsky, L. Affective, Continuance, and Normative Commitment to the Organization: A Meta-Analysis of Antecedents, Correlates, and Consequences. J. Vocat. Behav. 2002, 61, 20–52. [Google Scholar] [CrossRef]
- Nawangsari, L.C.; Sutawidjaya, A.H. How the Green Human Resources Management (GHRM) Process Can Be Adopted for the Organization Business? In Proceedings of the 1st International Conference on Economics, Business, Entrepreneurship, and Finance (ICEBEF 2018), Bandung, Indonesia, 19 September 2018; Atlantis Press: Dordrecht, The Netherlands, 2019. [Google Scholar]
- Liou, S.-R. An Analysis of the Concept of Organizational Commitment. Nurs. Forum 2008, 43, 116–125. [Google Scholar] [CrossRef]
- Boiral, O.; Paillé, P. Organizational Citizenship Behaviour for the Environment: Measurement and Validation. J. Bus. Ethics 2012, 109, 431–445. [Google Scholar] [CrossRef]
- Dumont, J.; Shen, J.; Deng, X. Effects of Green HRM Practices on Employee Workplace Green Behavior: The Role of Psychological Green Climate and Employee Green Values. Hum. Resour. Manag. 2017, 56, 613–627. [Google Scholar] [CrossRef]
- Luu, T.T. Green Human Resource Practices and Organizational Citizenship Behavior for the Environment: The Roles of Collective Green Crafting and Environmentally Specific Servant Leadership. J. Sustain. Tour. 2019, 27, 1167–1196. [Google Scholar] [CrossRef]
- Karatepe, O.M.; Hsieh, H.; Aboramadan, M. The Effects of Green Human Resource Management and Perceived Organizational Support for the Environment on Green and Non-Green Hotel Employee Outcomes. Int. J. Hosp. Manag. 2022, 103, 103202. [Google Scholar] [CrossRef]
- Kim, Y.J.; Kim, W.G.; Choi, H.-M.; Phetvaroon, K. The Effect of Green Human Resource Management on Hotel Employees’ Eco-Friendly Behavior and Environmental Performance. Int. J. Hosp. Manag. 2019, 76, 83–93. [Google Scholar] [CrossRef]
- Kalimullah, A.N.H.; Nawangsari, L.C. Nawangsari Organization Citizenship Behavior for the Environment at Financial Institutions. Dinasti Int. J. Educ. Manag. Soc. Sci. 2019, 1, 138–149. [Google Scholar] [CrossRef]
- Swailes, S. Organizational Commitment: A Critique of the Construct and Measures. Int. J. Manag. Rev. 2002, 4, 155–178. [Google Scholar] [CrossRef]
- Mowday, R.T.; Steers, R.M. The Measurement of Organizational Commitment. J. Vocat. Behav. 1979, 14, 224–247. [Google Scholar] [CrossRef]
- Henseler, J.; Dijkstra, T.K.; Sarstedt, M.; Ringle, C.M.; Diamantopoulos, A.; Straub, D.W.; Ketchen, D.J., Jr.; Hair, J.F.; Hult, G.T.M.; Calantone, R.J. Common Beliefs and Reality About PLS: Comments on Rönkkö and Evermann (2013). Organ. Res. Methods 2014, 17, 182–209. [Google Scholar] [CrossRef]
- Fornell, C.; Larcker, D.F. Evaluating Structural Equation Models with Unobservable Variables and Measurement Error. J. Mark. Res. 1981, 18, 39. [Google Scholar] [CrossRef]
- Lober, D.J.; Bynum, D.; Campbell, E.; Jacques, M. The 100 plus Corporate Environmental Report Study: A Survey of an Evolving Environmental Management Tool. Bus. Strategy Environ. 1997, 6, 57–73. [Google Scholar] [CrossRef]
- Pham, N.T.; Vo Thanh, T.; Tučková, Z.; Thuy, V.T.N. The Role of Green Human Resource Management in Driving Hotel’s Environmental Performance: Interaction and Mediation Analysis. Int. J. Hosp. Manag. 2020, 88, 102392. [Google Scholar] [CrossRef]
- Zibarras, L.D.; Coan, P. HRM Practices Used to Promote Pro-Environmental Behavior: A UK Survey. Int. J. Hum. Resour. Manag. 2015, 26, 2121–2142. [Google Scholar] [CrossRef]
- Bombiak, E. Green Human Resource Management—The Latest Trend or Strategic Necessity? Entrep. Sustain. Issues 2019, 6, 1647–1662. [Google Scholar] [CrossRef]


| Constructs | Indicators | Loadings | t-Values | Alpha | Rho_A | CR | AVE |
|---|---|---|---|---|---|---|---|
| GHRM | 0.958 | 0.958 | 0.959 | 0.793 | |||
| GH01 | 0.829 | n/a | |||||
| GH02 | 0.820 | 19.907 *** | |||||
| GH03 | 0.883 | 22.213 *** | |||||
| GH04 | 0.927 | 24.172 *** | |||||
| GH05 | 0.944 | 25.039 *** | |||||
| GH06 | 0.931 | 24.450 *** | |||||
| NEP | 0.948 | 0.947 | 0.948 | 0.694 | |||
| EP01 | 0.881 | n/a | |||||
| EL02 | 0.799 | 20.603 *** | |||||
| EL03 | 0.873 | 24.644 *** | |||||
| EL04 | 0.824 | 21.817 *** | |||||
| EL05 | 0.828 | 21.623 *** | |||||
| EL06 | 0.847 | 22.649 *** | |||||
| EL07 | 0.842 | 22.290 *** | |||||
| EL08 | 0.767 | 18.797 *** | |||||
| OC | 0.961 | 0.961 | 0.962 | 0.755 | |||
| OC01 | 0.873 | n/a | |||||
| OC02 | 0.857 | 23.524 *** | |||||
| OC03 | 0.884 | 24.881 *** | |||||
| OC04 | 0.912 | 26.358 *** | |||||
| OC05 | 0.901 | 25.738 *** | |||||
| OC06 | 0.853 | 22.822 *** | |||||
| OC07 | 0.849 | 22.566 *** | |||||
| OC08 | 0.818 | 21.061 *** | |||||
| OCBE | 0.944 | 0.944 | 0.945 | 0.710 | |||
| CB01 | 0.778 | n/a | |||||
| CB02 | 0.866 | 19.158 *** | |||||
| CB03 | 0.854 | 18.780 *** | |||||
| CB04 | 0.745 | 15.855 *** | |||||
| CB05 | 0.912 | 20.391 *** | |||||
| CB06 | 0.855 | 18.690 *** | |||||
| CB07 | 0.875 | 19.248 *** |
| A | B | C | D | |
|---|---|---|---|---|
| A. GHRM | 0.890 | 0.689 | 0.574 | 0.498 |
| B. NEP | 0.680 | 0.833 | 0.590 | 0.553 |
| C. OC | 0.567 | 0.578 | 0.869 | 0.670 |
| D. OCBE | 0.491 | 0.550 | 0.670 | 0.842 |
| Mediation | Effects | t-Values | L | U |
|---|---|---|---|---|
| GHRM => NEP => OC => OBCE | 0.239 | 7.336 *** | 0.175 | 0.304 |
Disclaimer/Publisher’s Note: The statements, opinions and data contained in all publications are solely those of the individual author(s) and contributor(s) and not of MDPI and/or the editor(s). MDPI and/or the editor(s) disclaim responsibility for any injury to people or property resulting from any ideas, methods, instructions or products referred to in the content. |
© 2024 by the author. Licensee MDPI, Basel, Switzerland. This article is an open access article distributed under the terms and conditions of the Creative Commons Attribution (CC BY) license (https://creativecommons.org/licenses/by/4.0/).
Share and Cite
Yoo, D.Y. Eco-Leadership in Action: Integrating Green HRM and the New Ecological Paradigm to Foster Organizational Commitment and Environmental Citizenship in the Hospitality Industry. Sustainability 2024, 16, 9044. https://doi.org/10.3390/su16209044
Yoo DY. Eco-Leadership in Action: Integrating Green HRM and the New Ecological Paradigm to Foster Organizational Commitment and Environmental Citizenship in the Hospitality Industry. Sustainability. 2024; 16(20):9044. https://doi.org/10.3390/su16209044
Chicago/Turabian StyleYoo, Dong Yoon. 2024. "Eco-Leadership in Action: Integrating Green HRM and the New Ecological Paradigm to Foster Organizational Commitment and Environmental Citizenship in the Hospitality Industry" Sustainability 16, no. 20: 9044. https://doi.org/10.3390/su16209044
APA StyleYoo, D. Y. (2024). Eco-Leadership in Action: Integrating Green HRM and the New Ecological Paradigm to Foster Organizational Commitment and Environmental Citizenship in the Hospitality Industry. Sustainability, 16(20), 9044. https://doi.org/10.3390/su16209044
