You are currently viewing a new version of our website. To view the old version click .
Sustainability
  • Article
  • Open Access

12 September 2024

Spatio-Temporal Dynamics of Soil Organic Carbon Stock in Greek Croplands: A Long-Term Assessment

,
and
1
Department of Sustainable Agriculture, University of Patras, 2 Seferi, 30100 Agrinio, Greece
2
Institute of Soil and Water Resources, Hellenic Agricultural Organization—DIMITRA, 1 Sofokli Venizelou, 14123 Athens, Greece
*
Author to whom correspondence should be addressed.
This article belongs to the Section Sustainability in Geographic Science

Abstract

This study examines the soil organic carbon (SOC) within Greek croplands, offering a comprehensive understanding of its dynamics. SOC, a cornerstone in soil health, nutrient cycling, and global carbon dynamics, assumes critical significance in sustainable agriculture and climate change mitigation. Drawing on diverse soil properties, including pH, soil texture, and different drainage and slope categories, this research explores the nuanced relationships shaping SOC dynamics in the diverse agroecological landscape of Greece. The investigation transcends local boundaries, emphasizing SOC’s global role in climate change mitigation by sequestering carbon dioxide. Two maps were used as data sources: (1) the SOC stock baseline map (2010) by JRC, (2) and the SOC stock map (2021) by the Institute of Soil and Water Resources, Hellenic Agricultural Organization—DIMITRA in collaboration with FAO. Greek croplands emerge as a mosaic of agroecological diversity, where anthropogenic activities wield transformative influences on SOC stock, demanding a delicate balance between agricultural productivity and soil health. This study unveils the influence of soil order, weaving a tapestry of SOC variability. Factors, from soil texture to cation exchange capacity, further shape SOC dynamics, emphasizing the role of clayey soils and coarse materials in carbon retention. Although soil organic carbon decreased from 2010 to 2021, the degree of carbon loss varied. This scientific endeavor synthesizes existing knowledge and unveils novel insights. More specifically, understanding SOC dynamics depends on multiple factors, including soil texture, pH, and landscape characteristics like slope. These variables collectively influence SOC retention, stabilization, and loss rates, highlighting the need for an integrated approach to studying SOC behavior across different environments. These findings contribute valuable insights for sustainable land management practices and climate change mitigation strategies, underscoring the importance of region-specific approaches in addressing global challenges.

1. Introduction

The complex interplay of SOC within terrestrial ecosystems is important in comprehending soil health (“Healthy soils are essential for achieving climate neutrality, a clean and circular economy and stopping desertification and land degradation. They are also essential to reverse biodiversity loss, provide healthy food and safeguard human health” [1], “Soil health is defined as the continued capacity of soil to function as a vital living ecosystem that sustains plants, animals, and humans. Healthy soil gives us clean air and water, bountiful crops and forests, productive grazing lands, diverse wildlife, and beautiful landscapes” [2], nutrient cycling, and the broader dynamics of the global carbon cycle. The complexity of SOC’s role in influencing soil fertility, water retention, and overall ecosystem health underscores its critical significance in the pursuit of sustainable agriculture and effective climate change mitigation strategies [3,4,5,6,7]. In this work, the spatio-temporal dynamics of SOC stock in Greek croplands are examined, where diverse agroecosystems and varying environmental conditions beckon to explore the nuanced relationships between SOC and key soil properties [8,9].
Expanding our perspective beyond local scales, SOC plays a pivotal role in global climate change mitigation. By sequestering atmospheric CO2 and contributing to greenhouse gas reduction, SOC is essential in climate strategies worldwide [4,10,11,12]. The growing global focus on carbon sequestration underscores the need for a detailed understanding of SOC dynamics in various regional contexts.
The canvas of Greek croplands unfolds as a mosaic of agroecological diversity, described by climatic and topographic variability and complex land management practices [13,14]. From the expansive plains of Thessaly to the terraced slopes of Crete, the multifaceted nature of Greek croplands prompts a comprehensive investigation. This exploration transcends mere scientific inquiry; it is an endeavor to decipher the influences shaping SOC dynamics within the unique context of Greek agriculture.
The relationship between anthropogenic activities and SOC stocks presents a complex and sensitive balance within the socio-economic context of the Mediterranean region, particularly in Greece. While croplands contribute substantially to the socio-economic conditions, human interventions and land management practices influence SOC stock [15,16]. This complex balance between agricultural productivity and soil health is important, requiring a detailed analysis of their dynamic interactions.
The classification provided by soil order is a critical factor influencing SOC variability. Evidence from the literature indicates that Histosols in wetland areas boast elevated SOC content, emphasizing their organic-rich nature [17,18,19,20]. In contrast, the Regosol order may present an alternative perspective, with lower SOC stock attributed to shallower profiles and limited organic inputs [21,22]. The influence of soil order becomes a thread guiding us through the diverse SOC landscapes within Greek croplands.
The concentration of organic carbon in surface horizons is a well-documented phenomenon; however, the depths of the soil profile emerge as substantial carbon reservoirs, with far-reaching implications for long-term sequestration potential [23,24,25]. This vertical perspective becomes integral for holistic assessments of carbon stock.
Coarse materials, such as gravel and rocks, are pivotal components that introduce heterogeneity to the soil, influencing water movement, drainage, and organic matter distribution, thus creating microenvironments that significantly impact microbial activity and decomposition rates [24,26,27]. Expanding our understanding of the intricate role played by these coarse materials adds layers of complexity to SOC distribution in Greek croplands.
Navigating the landscape of SOC dynamics, soil texture takes center stage as a defining factor in shaping carbon stock. The relative proportions of sand, silt, and clay particles affect SOC stock by influencing water retention, aeration, and microbial activity [28,29]. Clayey soils, characterized by higher cation exchange capacity (CEC), emerge as key factors of organic matter retention, contributing significantly to higher SOC stock compared to sandy soils.
The interaction between drainage and slope influences erosion risks and the distribution of SOC. Steeper slopes, more prone to erosion, become areas where topsoil and organic carbon-rich horizons are more vulnerable to removal. Understanding the relationship between slope, drainage, and SOC stock becomes pivotal, offering a compass to predict erosion risks and implement effective soil conservation measures [4,7,22]. The topographical intricacies of Greek croplands infuse heightened relevance into these factors.
Regarding acidity and alkalinity, soil pH plays an important role in microbial activity, nutrient availability, and organic matter stability. The variability in microbial decomposition rates with pH levels adds layers of complexity to the SOC dynamics [30,31].
This manuscript aims to advance our understanding through rigorous scientific investigation of the spatio-temporal dynamics of SOC stock in Greek croplands. A thorough analysis of various soil properties, as detailed above, sets the framework for advancing our understanding of the complex interactions between soil properties and SOC sequestration. This integrative approach offers critical insights for sustainable land management and climate change mitigation strategies, specifically in Greek croplands.
The objectives of this study can be summarized as follows: 1. Examine Soil Properties: Investigate a range of soil properties, including pH, soil texture, cation exchange capacity (CEC), drainage, slope, and the presence of coarse materials, to understand their influence on soil organic carbon (SOC) dynamics; 2. Understand SOC Loss Patterns: Analyze how SOC loss patterns vary across different soil orders, soil depths, and other categories, such as pH and soil texture; 3. Contextualize Within Greek Agriculture: Focus on the unique context of Greek agriculture to provide specific insights into the factors influencing SOC dynamics in this region; 4. Balance Agricultural Productivity and Soil Health: Highlight the critical need to examine the dynamic interplay of soil properties to achieve a balance between maintaining agricultural productivity and ensuring soil health; and 5. Provide Nuanced Perspectives: Offer detailed perspectives on how various soil properties interact and contribute to SOC dynamics, helping to inform better soil management practices in Greek agriculture.

2. Materials and Methods

2.1. Data Sources

This study focuses on the different landscapes of Greece, offering a rich tapestry of agroecological diversity shaped by climatic variations and intricate land management practices. Greek croplands serve as the canvas for investigating SOC dynamics. To examine the spatio-temporal intricacies of SOC stock, we rely on comprehensive datasets from authoritative sources.
The SOC stock map [32] from the European Soil Data Centre (ESDAC) by the Joint Research Centre (JRC, European Commission) [33,34,35] serves as a foundational dataset, providing detailed insights into the distribution and variability of SOC across Greek croplands (Figure 1a). This map, derived from advanced modeling and monitoring techniques, offers a robust foundation for understanding the SOC landscape. Additionally, we integrate the SOC stock map provided by the Food and Agriculture Organization of the United Nations (FAO) [36,37], which was prepared by our team at the Institute of Soil and Water Resources of ELGO DIMITRA (as the National Focal Point of Global Soil Partnership—FAO) (Figure 1b). The FAO’s SOC stock map contributes valuable perspectives, enhancing the comprehensiveness of our study. These datasets with a spatial resolution of 30 Arc-Second (grid size approximately 1 km × 1 km), meticulously compiled by international organizations, enable us to explore the nuanced relationships between SOC and key soil properties in the unique context of Greek agriculture. The Greek Soil Map with a 1:30.000 scale is shown in Figure 2 [38]. This study endeavors to contribute novel insights to the dynamics of SOC stock. The two SOC maps refer to the topsoil (0–30 depth).
Figure 1. (a) SOC stock map derived from ESDAC [32] and (b) SOC stock map derived from FAO [36].
Figure 2. Soil Map of Greece by [38] (for agricultural areas).

2.2. Methodology

This research employs a comprehensive methodology to investigate the spatio-temporal dynamics of SOC stock in Greek croplands. The study design encompasses a multifaceted approach to capture the diverse agroecological zones and varying environmental conditions across the Greek landscape. The temporal scope of the study spans 11 years (2010–2021), enabling the analysis of SOC variations over time. The integration of authoritative datasets includes the SOC maps from the European Soil Data Centre (ESDAC) by the Joint Research Centre (JRC) and the Food and Agriculture Organization (FAO).

2.2.1. Data Collection

The primary data sources for this study are the SOC maps from ESDAC (JRC) and FAO. These maps provide a spatially explicit representation of SOC content, allowing for a detailed exploration of SOC variability within Greek croplands. The ESDAC (JRC) map, derived from advanced modeling techniques and remote sensing technologies, offers a high-resolution depiction of SOC distribution. Concurrently, the FAO SOC map, a globally recognized resource, contributes additional insights, ensuring the robustness of our analysis.
More specifically, the soil data for the model came from the European Soil Database at the European Soil Data Centre (ESDAC), focusing on the topsoil layer (0–30 cm) with properties like texture, bulk density, pH, drainage class, and rock content at a 1 km × 1 km grid resolution. CENTURY was chosen for the pan-European SOC assessment due to its integration of crop growth routines, successful testing in Europe, ability to simulate management practices, and reduced computational time. Model results were validated against inventories from EIONET and 20,000 soil samples from the 2009 LUCAS survey, aiming to create a harmonized topsoil dataset for the EU.
The FAO SOC map methodology utilizes the SCORPAN model framework for digital soil mapping, which predicts SOC stocks based on soil-forming factors. Key variables for estimating SOC stocks include environmental parameters: climate data, thematic maps, digital terrain data, geomorphometry, and soil data. Modeling techniques, such as random forests, support vector machines, and regression-kriging are employed to estimate SOC stocks. The performance of the Greek National SOC map is evaluated using both internal and external accuracy metrics.
The issues raised by comparing datasets from different years with different methodologies can be mitigated by applying analysis of uncertainties to each SOC stock map and evaluating the quality and accuracy of both datasets. Moreover, checking for any biases, errors, or inconsistencies using statistical methods is required to quantify the reliability of the data. All of the above issues were addressed in both the 2010 and 2021 SOC stock maps [32,36]. Therefore, any inconsistency produced by the comparison of these two datasets was effectively minimized because of their robustness and proper methodological execution.

2.2.2. Spatiο-Temporal Analysis

Spatial analysis forms a crucial component of our methodology, leveraging Geographic Information System (GIS) tools to analyze and interpret SOC patterns. We delineate the study area into distinct regions, considering factors such as agroecological zones, soil orders, and topographical characteristics. By overlaying the SOC maps with additional spatial datasets, such as land use and slope, we aim to discern relationships between SOC stock and key environmental variables. More specifically, the soil factors extracted from the Soil Map of Greece [38] were integrated into our analysis by overlaying them with the SOC maps. This overlay process involved aligning the spatial layers of the soil factors—such as soil order, soil depth, coarse materials, soil texture, cation exchange capacity, drainage, slope, and pH—with the corresponding spatial layers of SOC. A composite map can now be developed that simultaneously represents both the soil characteristics and SOC content. This approach can spatially correlate the soil factors with SOC content, allowing us to observe how variations in soil factors influenced SOC levels across different regions. Additionally, this spatial correlation was examined across multiple temporal scales, enabling us to assess changes in SOC over time and how these changes were related to the underlying soil factors. This temporal dimension allows us to identify patterns, anomalies, and potential drivers of SOC variations over time.

2.2.3. Statistical Analysis

Normality and equality of variances were tested using Q–Q plots and Levene’s test. Kruskal–Wallis test (non-parametric equivalent to one-way analysis of variance) was used to determine whether significant differences existed between the groups of variable ΔSOC stock (SOC 2021–SOC 2010) for each factor. If there were significant differences, Dunn’s post hoc test was performed (with Holm correction for multiple statistical tests). In each case, the Kruskal–Wallis test was used to assess whether there were significant differences between the groups defined by the respective factor. The p-value is a measure of the evidence against a null hypothesis, with smaller p-values suggesting stronger evidence against the null hypothesis. A p-value of less than 0.05 (95% confidence interval) indicates statistically significant differences between the groups for each factor. Boxplots for variable SOC stock 2010 and 2021 present the median, minimum, maximum, 1st and 3rd quantile, and outliers. The median is reported instead of the mean in all cases. JASP (0.18.3.0) [39] was used to statistically analyze the results.

2.2.4. Synthesis and Interpretation

This involves synthesizing diverse datasets and drawing meaningful interpretations. The synthesis aims to examine the complex interplay of SOC dynamics within Greek croplands, considering the spatial and temporal dimensions, as well as the complex relationships with key soil properties. The interpretation of results contributes to a comprehensive understanding of the factors influencing SOC sequestration and turnover in the context of sustainable land management practices and climate change mitigation strategies in Greek agriculture.
The methodology outlined above integrates advanced remote sensing, GIS, statistical analyses, and field data to provide a holistic investigation into the intricate dynamics of SOC stock in Greek croplands. This multidimensional approach ensures the robustness and reliability of our findings, facilitating valuable contributions to the scientific understanding of soil health and carbon cycling in agroecosystems.

3. Results and Discussion

3.1. Soil Orders

Figure 3 presents the changes in topsoil SOC stock from 2010 to 2021 across various soil orders within Greek croplands. For 2010, Gleysols had the highest SOC stock (81.48 ± 14.76 t C/ha st. dev, n= 115) while Histosols had the lowest (51.97 ± 16.34 t C/ha st. dev, n = 14). For 2021, the SOC stock was highest in Histosols (73.62 ± 24.23 t C/ha st. dev, n = 14) and lowest in Leptosols (43.63 ± 17.54 t C/ha st. dev, n = 845). Histosols and Gleysols are the rarest soil orders in Greece (representing only the 1‰ and 7‰, respectively) and their size was not enough to accurately capture changes in these soil orders. The distributions of soil orders in Greek croplands are presented in Figure 4.
Figure 3. Boxplot of soil organic carbon (SOC) stock from 2010 (above) and 2021 (below) across various soil orders within Greek croplands. The black dots represent outliers.
Figure 4. Distribution of different soil orders in Greek croplands.
In Figure 5, the values represent changes in SOC stock (ΔSOC), measured in metric tons of carbon per hectare (t C/ha), during the specified time within the corresponding soil types. Positive values indicate an increase in SOC stock, while negative values suggest a decrease. Post hoc tests revealed that thirty soil order pairs were significantly different, and six pairs were not significantly different. The following pairs were not significantly different: Cambisol–Gleysol, Cambisol–Luvisol, Fluvisol–Gleysol, Gleysol–Luvisol, Gleysol–Regosol, and Histosol–Vertisol.
Figure 5. ΔSOC: soil organic carbon (SOC) stock change from 2010 to 2021 across various soil orders within Greek croplands.
Calcisols (ΔSOC: −28.78 t C/ha, n = 1076) and Leptosols (ΔSOC: −36.55 t C/ha, n = 840) exhibited the most substantial decrease in SOC stock, indicating a negative change over the study period. This reduction may be attributed to factors, such as changes in land management practices, erosion, or climatic and environmental conditions, not favoring carbon sequestration.
Cambisols (ΔSOC: −15.69 t C/ha, n= 3438) and Luvisols (ΔSOC: −16.21 t C/ha, n = 902) also show a negative change in SOC stock, potentially influenced by factors like agricultural practices, soil structure, or changes in land use. Fluvisols (ΔSOC: −5.23 t C/ha, n = 2293), Gleysols (ΔSOC: −7.59 t C/ha, n = 109), and Regosols (ΔSOC: −11.71 t C/ha, n = 389) indicate a negative change in SOC stock though to a lesser extent compared to Calcisols and Cambisols. The moderate decrease might be influenced by factors such as water dynamics or land management practices. The drainage of wetland areas associated with Gleysols may be responsible for soil organic carbon loss.
Finally, Vertisols (ΔSOC: 3.65 t C/ha, n = 305) and Histosols (ΔSOC: 19.13 t C/ha, n = 14) show an increase in SOC stock, indicating the gain of organic carbon. Factors such as water holding capacity and changes in land use may contribute to the observed increase in SOC stock.
Overall, at the country level, the ΔSOC stock was −15.02 (±22.66 st. dev) t C/ha, n = 9366. Other authors [40] found SOC stock change ranging between −5 and 1.5 t C/ha for countries in the Mediterranean during 2009–2018. Soil type affects soil organic carbon; Umbrisols and Podzols had higher organic carbon content than Leptosols and Fluvisols [41]. Soil type, pedogenic information, and SOC depth distribution should be included in SOC inventory studies [42].

3.2. Soil Depth

Figure 6 presents the changes in the topsoil (0–30 cm) SOC stock from 2010 to 2021 across soils with various soil depths within Greek croplands. In Figure 7, ΔSOC stock is presented across soils with different depths. In the post hoc tests, significant differences were observed in 12 pairs, and not significant differences in 3 pairs. The following pairs were not significantly different: (0–15, 15–30), (0–15, 30–60), and (100–150, >150). There is a substantial decrease in topsoil SOC stock in soils with a 0–15 cm depth (ΔSOC: −28.32 t C/ha, n = 97), a 15–30 cm depth (ΔSOC: −33.88 t C/ha, n = 603), and a 30–60 cm depth (ΔSOC: −25.46 t C/ha, n = 1354). Such a decrease can be attributed to various factors, including changes in land management practices, vegetation cover, or climatic conditions that do not favor carbon sequestration in the upper soil layers. Deeper soils lost carbon to a lesser extent: 60–100 cm depth (ΔSOC: −14.91 t C/ha, n = 1986); 100–150 cm depth (ΔSOC: −10.95 t C/ha, n = 1961); and >150 cm depth (ΔSOC: −10.41 t C/ha, n = 3365). These findings suggest that soil depth affects topsoil (0–30 cm) organic carbon. Shallow soils lost more topsoil carbon compared to topsoil carbon lost in soils with deep profiles. The topsoil in shallow soils could be more vulnerable to carbon loss due to differences in root activities [43] and decomposition dynamics [44].
Figure 6. Boxplot of soil organic carbon (SOC) stock in the topsoil from 2010 (above) and 2021 (below) across soils with different soil depths within Greek croplands. The black dots represent outliers.
Figure 7. ΔSOC: soil organic carbon (SOC) stock change in the topsoil from 2010 to 2021 across soils with different depths within Greek croplands.

3.3. Soil Coarse Materials

Figure 8 presents the SOC stock from 2010 to 2021 across different percentages of coarse materials within Greek croplands. In Figure 9, ΔSOC stock is presented across soils with different coarse material percentages. Post hoc tests revealed that all coarse material pairs (ΔSOC) were significantly different. Category 0 represents areas with no coarse materials, and ΔSOC stock in these areas from 2010 to 2021 was −22.56 t C/ha, n = 746. In areas where the content of coarse materials is less than 20%, ΔSOC stock was −26.15 t C/ha, n = 2200. This suggests that soil with a moderate presence of coarse materials experienced a more substantial decrease in SOC over the specified time. For areas with coarse material content ranging from 20% to 60%, ΔSOC was −9.8 t C/ha, n = 6420. This category represents soils with a significant proportion of coarse materials, and the change in SOC stock was comparatively lower than in areas with less coarse material. Generally, soils with no coarse materials and soils with less than 20% coarse materials have experienced higher decreases in SOC compared to soils with higher coarse material content (20% to 60%). This information is valuable as it indicates that the texture of the soil, particularly the presence of coarse materials, plays a role in influencing SOC dynamics over the specified timeframe.
Figure 8. Boxplot of soil organic carbon (SOC) stock from 2010 (left) and 2021 (right) across soils with different coarse materials within Greek croplands. The black dots represent outliers.
Figure 9. ΔSOC: soil organic carbon (SOC) stock change from 2010 to 2021 across different coarse materials within Greek croplands.

3.4. Soil Texture

Figure 10 presents the SOC stock from 2010 to 2021 across different soil texture classes; Figure 11 presents ΔSOC (SOC2021–SOC2010). Five out of six pairwise comparisons were significantly different. Differences between moderately coarse and fine soils were not significantly different. The negative ΔSOC value of −13.07 t C/ha, n = 2741 suggests a decrease in SOC content within soils with fine texture from 2010 to 2021. The relatively high ΔSOC value of −18.82 t C/ha, n = 4505 indicates a substantial decrease in SOC stock within soils of medium texture over the specified timeframe.
Figure 10. Boxplot of soil organic carbon (SOC) stock from 2010 (above) and 2021 (below) in different soil texture classes within Greek croplands. The black dots represent outliers.
Figure 11. ΔSOC: soil organic carbon (SOC) stock change from 2010 to 2021 in different soil texture classes within Greek croplands.
Moderately coarse-textured soils containing a higher proportion of sand tend to have faster drainage and leaching rates. The negative ΔSOC value of −10.42 t C/ha, n = 1082 suggests a decrease in SOC content, possibly influenced by factors such as land management practices and vegetation cover. The negative ΔSOC value of −7.51 t C/ha, n= 1026 indicates a modest decrease in SOC stock within soils of coarse texture, reflecting the complex interplay of factors influencing carbon dynamics. A negative trend in SOC stock changes across all soil texture categories from 2010 to 2021. The magnitude of change varies, with soils of medium texture exhibiting the highest decrease, followed by moderately fine texture, fine texture, and moderately coarse texture. Coarse-textured soils show a more modest decrease.
Soils with medium texture lost more carbon compared to finer and coarser soils. On the contrary, fine soils and medium-texture soils were expected to retain more carbon compared to coarser soils. A positive correlation has been found between SOC, clay, and silt, while a negative correlation was found for SOC and sand [45]. Soils with a fine texture retain more water than coarser soils [46], influencing microbial activity. Soils with moderately fine and fine textures typically have a higher surface area due to smaller particle sizes (clay and silt); this can enhance organic matter retention [47].

3.5. Soil Cation Exchange Capacity

Figure 12 presents the SOC stock from 2010 to 2021 across different ranges of cation exchange capacity (CEC). CEC is a crucial parameter for soils, representing the soil’s ability to retain and exchange cations, including nutrients like calcium, magnesium, and potassium. The values shown in Figure 13 represent changes in SOC stock (ΔSOC) for different CEC ranges. Post hoc tests revealed that CEC pairs (3–8, >16) and (8–16, >16) were significantly different while the pair (3–8, 8–16) was not significantly different.
Figure 12. Boxplot of soil organic carbon (SOC) stock from 2010 (left) to 2021 (right) in different cation exchange capacity classes within Greek croplands. The black dots represent outliers.
Figure 13. ΔSOC: soil organic carbon (SOC) stock change from 2010 to 2021 in different ranges of cation exchange capacity.
The first category represents soils with a CEC ranging from 3 to 8. The change in SOC stock for these soils over the specified period was ΔSOC: −2.17 t C/ha, n = 170. Soils with a CEC between 8 and 16 fall into the second category. The change in SOC stock for this range is higher: ΔSOC: −4.8 t C/ha, n = 1863. The next category includes soils with a CEC exceeding 16. For these soils, the change in SOC stock was the highest among the presented categories: ΔSOC: −9.92 t C/ha, n = 3961. CEC is affected by many factors such as clay, pH, and organic carbon [48]. Understanding the relationship between CEC and SOC dynamics has implications for sustainable land management practices. Soils with higher CEC may be less resilient to organic carbon loss.

3.6. Soil Drainage

Figure 14 presents the SOC stock from 2010 to 2021 across different drainage classes. In contrast to other soil variables, most post hoc tests (14 out of 21) did not show significant differences between ΔSOC in different drainage classes. The following pairs (7 out of 21) showed significant differences: (good drainage–moderate drainage); (good drainage–very good drainage); (good drainage–very poor drainage); (moderate drainage–very good drainage); (poor drainage–very good drainage); (perm. water table < 50–very good drainage); and (very good drainage–very poor drainage).
Figure 14. Boxplot of soil organic carbon (SOC) stock from 2010 (above) and 2021 (below) in different drainage classes within Greek croplands. The black dots represent outliers.
Excessively drained soils typically have a rapid drainage rate, which can influence SOC dynamics. The substantial decrease in SOC stock (ΔSOC: −26.42 t C/ha, n = 4329) shown in Figure 15 suggests a reduction in SOC stock in excessively drained soils, as expected. Well-drained soils exhibit good drainage characteristics, facilitating aeration and microbial activity. The negative ΔSOC value −8.42 t C/ha, n = 2430) indicates a decrease in SOC stock within well-drained areas from 2010 to 2021. Moderately drained soils strike a balance between drainage and water retention. The moderate decrease in SOC stock (ΔSOC: −3.79 t C/ha, n = 1131) suggests a negative trend in carbon sequestration within these areas. The interplay between drainage and water availability may contribute to the observed changes in SOC over the specified timeframe. Poorly drained soils often experience waterlogging, influencing microbial activity and slowing organic matter decomposition [49]. The negative ΔSOC value (−3.53 t C/ha, n = 205) indicates a decrease in SOC stock within poorly drained areas. Changes in drainage conditions, land use, or other environmental factors may contribute to the observed reduction in SOC levels. Very poorly drained soils typically suffer from prolonged water saturation, impacting SOC dynamics. The negative ΔSOC value (−3.4 t C/ha, n = 1105) suggests a decrease in SOC stock within very poorly drained areas. These changes reflect the complex interplay of drainage conditions, land management practices, and environmental factors influencing the carbon dynamics in different soil types. The results underscore the importance of considering soil drainage characteristics when assessing SOC changes and implementing sustainable land management strategies.
Figure 15. ΔSOC: soil organic carbon (SOC) stock change from 2010 to 2021 in different drainage classes.

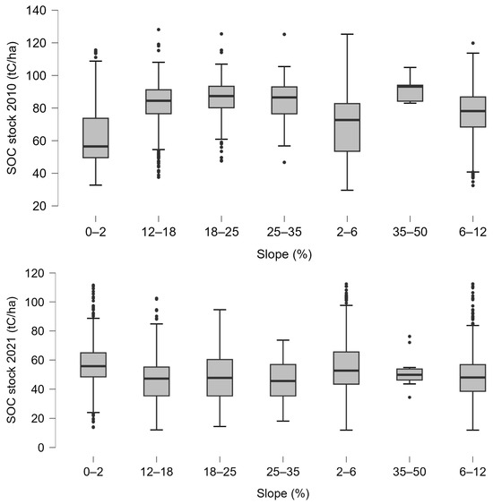
3.7. Soil Slope

Figure 16 provides a snapshot of SOC stock and Figure 17 shows the SOC stock changes (ΔSOC) across different slope categories. The SOC stock values denote the amount of organic carbon present in the soil within each slope category. The highest SOC stock in 2010 was observed in the 35–50% slope (93.17 ± 7 t C/ha st. dev, n = 11), and the lowest was observed in the 0–2% slope (56.47 ± 15.48 t C/ha st. dev, n = 2808). In 2021, the highest SOC stock was observed in the 0–2% slope (55.82 ± 13.1 t C/ha st. dev, n = 2824), and the lowest was observed in the 25–35% slope (45.54 ± 15.35 t C/ha st. dev, n = 35). In the post hoc tests, thirteen ΔSOC stock pairs were significantly different and eight pairs were not significantly different. The following slope pairs were not significantly different: (12–18%, 18–25%); (12–18%, 25–35%); (12–18%, 35–50%); (18–25%, 25–35%); (18–25%, 35–50%); (25–35%, 35–50%); (25–35%, 6–12%); and (35–50%, 6–12%).
Figure 16. Boxplot of soil organic carbon (SOC) stock from 2010 (above) and 2021 (below) in different slope classes within Greek croplands. The black dots represent outliers.
Figure 17. ΔSOC: soil organic carbon (SOC) stock change from 2010 to 2021 in different slope classes.
The ΔSOC values increase as the slope becomes steeper, suggesting a potential negative correlation between slope steepness and SOC stock. Steeper slopes are often more susceptible to erosion, which can lead to the removal of carbon in the topsoil and, consequently, a decrease in SOC stock [50]. SOC content has been found to decrease with increasing slope gradients [51]. However, the slope effect on SOC is not always pronounced and significant; it also depends on land use [52]. Changes in land use, agricultural practices, or afforestation efforts may influence SOC dynamics. For instance, implementing conservation practices on steeper slopes could mitigate SOC stock reduction.

3.8. Soil pH

Figure 18 reflects the SOC stock from 2010 to 2021, and Figure 19 shows the changes in SOC stock (ΔSOC) associated with varying pH levels in Greek croplands. In the post hoc tests, eight ΔSOC stock pairs were significantly different, and two pairs were not significantly different. The following pH pairs were not significantly different: (4.5–5.5, 5.6–6.9) and (8–8.5, >8.5).
Figure 18. Boxplot of soil organic carbon (SOC) stock from 2010 (above) to 2021 (below) in different pH ranges within Greek croplands. The black dots represent outliers.
Figure 19. ΔSOC: soil organic carbon (SOC) stock change from 2010 to 2021 in different ranges of pH.
In the pH range between 4.5 and 5.5, a small increase in SOC stock was observed, ΔSOC: +2.35 t C/ha, n = 129. This indicates a relatively stable trend in SOC content within this pH category. Croplands with a pH between 5.6 and 6.9 experienced a small decrease in SOC stock: ΔSOC: −1 t C/ha, n = 677. Moderately alkaline (pH 7–7.9) and alkaline (pH 8–8.5) soils exhibited a substantial decrease in SOC stock: ΔSOC: −7.39 t C/ha, n = 2284 and ΔSOC: −10.95 t C/ha, n = 2777. Highly alkaline soils, with a pH greater than 8.5, had the largest SOC stock decrease: −17.37 t C/ha, n = 131. The trends suggest that acidic soils retained more soil carbon compared to alkaline soils. This could be explained by the effect of pH on microbial activity (and decomposition) or changes in terms of land use intensity. Other authors [53] observed a SOC stock increase at pH 4.2–6.5 and a decrease at pH 6.5–9.2. Positive correlations between SOC and pH have also been found [54], meaning that the relationship between SOC and pH is context-dependent.

4. Conclusions

This comprehensive investigation into the spatio-temporal dynamics of SOC stock in Greek croplands has yielded valuable insights, shaping our understanding of the complex relationships governing SOC sequestration and turnover. This study, guided by a multidimensional exploration of various soil properties, ranging from pH to soil texture, has provided nuanced perspectives on the factors that influence SOC dynamics within the unique context of Greek agriculture. SOC loss patterns differ across soil order, soil depth, coarse materials, soil texture, CEC, drainage, slope, and pH categories. This study highlights the critical need for a particular examination of this dynamic interplay to strike a balance between agricultural productivity and soil health. The classification bestowed by soil order emerges as a key determinant, highlighting the complex interaction of SOC variability. Various factors, from soil texture to pH, play pivotal roles in SOC dynamics. In addition, landscape factors, such as slope, play a very important role in soil organic loss rates. These insights emphasize the significance of understanding the regional complexities and customizing soil management practices.
The relationship between anthropogenic activities and SOC stock reveals the socio-economic fabric of the Mediterranean, particularly in Greece. Although croplands significantly contribute to the regional socio-economic conditions, human interventions and land management practices wield transformative influences on SOC stock, necessitating an examination of this dynamic interplay. Although factors such as land management, vegetation cover, and climatic conditions were not directly measured, we mentioned them as potential influences on the observed changes in ΔSOC.
Lastly, this scientific endeavor not only synthesizes existing knowledge but unveils novel insights into the spatio-temporal dynamics of SOC stock in Greek croplands. The comprehensive analysis of diverse soil properties forms a solid basis for developing targeted land management practices and climate change mitigation strategies specifically adapted to the distinct conditions of Greek agriculture. The findings underscore the importance of localized approaches in addressing global challenges, ensuring that strategies are both effective and adaptable to the specificities of regional ecosystems.

Author Contributions

Conceptualization, D.T. and M.B.; methodology, D.T. and M.B.; software, D.T. and N.L.; validation, D.T., M.B., and N.L.; formal analysis, D.T. and N.L.; investigation, D.T.; resources, D.T.; data curation, D.T.; writing—original draft preparation, D.T. and M.B.; writing—review and editing, D.T., M.B. and N.L.; visualization, D.T. and N.L.; supervision, D.T. All authors have read and agreed to the published version of the manuscript.

Funding

This research received no external funding.

Institutional Review Board Statement

Not applicable.

Data Availability Statement

The original contributions presented in the study are included in the article; further inquiries can be directed to the corresponding author.

Conflicts of Interest

The authors declare no conflicts of interest.

References

  1. Natural Resources Conservation Service. Soil Health. U.S. Department of Agriculture. Available online: https://www.nrcs.usda.gov/conservation-basics/natural-resource-concerns/soils/soil-health (accessed on 11 September 2024).
  2. European Commission. Soil Health. European Commission Environment, 5 July 2023. Available online: https://environment.ec.europa.eu/topics/soil-and-land/soil-health_en (accessed on 11 September 2024).
  3. Jungkunst, H.F.; Göpel, J.; Horvath, T.; Ott, S.; Brunn, M. Global soil organic carbon–climate interactions: Why scales matter. Wiley Interdiscip. Rev. Clim. Chang. 2022, 13, e780. [Google Scholar] [CrossRef]
  4. Poeplau, C.; Don, A. Carbon sequestration in agricultural soils via cultivation of cover crops—A meta-analysis. Agric. Ecosyst. Environ. 2015, 200, 33–41. [Google Scholar] [CrossRef]
  5. Qin, Z.; Huang, Y.; Zhuang, Q. Soil organic carbon sequestration potential of cropland in China. Glob. Biogeochem. Cycles 2013, 27, 711–722. [Google Scholar] [CrossRef]
  6. Townsend-Small, A.; Czimczik, C.I. Carbon sequestration and greenhouse gas emissions in urban turf. Geophys. Res. Lett. 2010, 37, L02707. [Google Scholar] [CrossRef]
  7. Lal, R. Soil carbon sequestration impacts on global climate change and food security. Science 2004, 304, 1623–1627. [Google Scholar] [CrossRef]
  8. Qu, R.; Chen, S.; Wang, K.; Liu, Q.; Yang, B.; Yue, M.; Peng, C. Potential future changes in soil carbon dynamics in the Ziwuling Forest, China under different climate change scenarios. Sci. Total Environ. 2024, 912, 169008. [Google Scholar] [CrossRef]
  9. Brandao, M.; Mila, I.; Canals, L.; Clift, R. Soil Organic Carbon Changes in the Cultivation of Energy Crops: Implications for GHG Balances and Soil Quality for Use in LCA. Biomass Bioenergy 2011, 35, 2323–2336. [Google Scholar] [CrossRef]
  10. Minasny, B.; Malone, B.P.; McBratney, A.B.; Angers, D.A.; Arrouays, D.; Chambers, A.; Chaplot, V.; Chen, Z.-S.; Cheng, K.; Das, B.S.; et al. Soil carbon 4 per mille. Geoderma 2017, 292, 59–86. [Google Scholar] [CrossRef]
  11. Chambers, A.; Lal, R.; Paustian, K. Soil carbon sequestration potential of US croplands and grasslands: Implementing the 4 per Thousand Initiative. J. Soil Water Conserv. 2016, 71, 68A–74A. [Google Scholar] [CrossRef]
  12. Smith, P.; House, J.I.; Bustamante, M.; Sobocká, J.; Harper, R.; Pan, G.; West, P.C.; Clark, J.M.; Adhya, T.; Rumpel, C.; et al. Global change pressures on soils from land use and management. Glob. Chang. Biol. 2016, 22, 1008–1028. [Google Scholar] [CrossRef]
  13. Georgiadis, N.M.; Dimitropoulos, G.; Avanidou, K.; Bebeli, P.; Bergmeier, E.; Dervisoglou, S.; Dimopoulos, T.; Grigoropoulou, D.; Hadjigeorgiou, I.; Kairis, O.; et al. Farming practices and biodiversity: Evidence from a Mediterranean semi-extensive system on the island of Lemnos (North Aegean, Greece). J. Environ. Manag. 2022, 303, 114131. [Google Scholar] [CrossRef] [PubMed]
  14. Gkoltsiou, A.; Athanasiadou, E.; Paraskevopoulou, A.T. Agricultural Heritage Landscapes of Greece: Three Case Studies and Strategic Steps towards Their Acknowledgement, Conservation and Management. Sustainability 2021, 13, 5955. [Google Scholar] [CrossRef]
  15. Sun, T.; Tong, W.J.; Chang, N.J.; Deng, A.X.; Lin, Z.L.; Feng, X.B.; Li, J.Y.; Song, Z. Estimation of soil organic carbon stock and its controlling factors in cropland of Yunnan Province, China. J. Integr. Agric. 2021, 20, 2–14. [Google Scholar] [CrossRef]
  16. Poeplau, C.; Don, A.; Vesterdal, L.; Leifeld, J.; Wesemael, B.; Schumacher, J.; Gensior, A. Temporal dynamics of soil organic carbon after land-use change in the temperate zone—Carbon response functions as a model approach. Glob. Chang. Biol. 2011, 17, 2415–2427. [Google Scholar] [CrossRef]
  17. Zhao, Y.; Liu, C.; Li, X.; Ma, L.; Zhai, G.; Feng, X. Sphagnum increases soil’s sequestration capacity of mineral-associated organic carbon via activating metal oxides. Nat. Commun. 2023, 14, 5052. [Google Scholar] [CrossRef]
  18. Leifeld, J.; Menichetti, L. The underappreciated potential of peatlands in global climate change mitigation strategies. Nat. Commun. 2018, 9, 1071. [Google Scholar] [CrossRef]
  19. Lai, L.; Kumar, S.; Folle, S.; Owens, V. Predicting soils and environmental impacts associated with switchgrass for bioenergy production: A DAYCENT modeling approach. GCB Bioenergy 2017, 10, 287–302. [Google Scholar] [CrossRef]
  20. Batjes, N.H. Total carbon and nitrogen in the soils of the world. Eur. J. Soil Sci. 1996, 47, 151–163. [Google Scholar] [CrossRef]
  21. Fernández-Ugalde, O.; Tóth, G. Pedotransfer functions for predicting organic carbon in subsurface horizons of European soils. Eur. J. Soil Sci. 2017, 68, 716–725. [Google Scholar] [CrossRef]
  22. Montgomery, D.R. Soil erosion and agricultural sustainability. Proc. Natl. Acad. Sci. USA 2007, 104, 13268–13272. [Google Scholar] [CrossRef]
  23. Yang, X.; Xu, J.; Wang, H.; Quan, H.; Yu, H.; Luan, J.; Wang, D.; Li, Y.; Lv, D. Vertical distribution characteristics of soil organic carbon and vegetation types under different elevation gradients in Cangshan, Dali. PeerJ 2024, 12, e16686. [Google Scholar] [CrossRef] [PubMed]
  24. Poeplau, C.; Jacobs, A.; Don, A.; Vos, C.; Schneider, F.; Wittnebel, M.; Tiemeyer, B.; Heidkamp, A.; Prietz, R.; Flessa, H. Stocks of organic carbon in German agricultural soils—Key results of the first comprehensive inventory. J. Plant Nutr. Soil Sci. 2020, 183, 665–681. [Google Scholar] [CrossRef]
  25. Jobbágy, E.G.; Jackson, R.B. The vertical distribution of soil organic carbon and its relation to climate and vegetation. Ecol. Appl. 2000, 10, 423–436. [Google Scholar] [CrossRef]
  26. Poeppl, R.E.; Dilly, L.A.; Haselberger, S.; Renschler, C.S.; Baartman, J.E.M. Combining Soil Erosion Modeling with Connectivity Analyses to Assess Lateral Fine Sediment Input into Agricultural Streams. Water 2019, 11, 1793. [Google Scholar] [CrossRef]
  27. Hengl, T.; De Jesus, J.M.; Heuvelink, G.B.M.; Gonzalez, M.R.; Kilibarda, M.; Blagotić, A.; Shangguan, W.; Wright, M.N.; Geng, X.; Bauer-Marschallinger, B.; et al. SoilGrids250m: Global gridded soil information based on machine learning. PLoS ONE 2017, 12, e0169748. [Google Scholar] [CrossRef]
  28. Filipiak, M.; Gabriel, D.; Kuka, K. Simulation-based assessment of the soil organic carbon sequestration in grasslands in relation to management and climate change scenarios. Heliyon 2023, 9, e17287. [Google Scholar] [CrossRef]
  29. Poeplau, C.; Don, A.; Six, J.; Kaiser, M.; Benbi, D.; Chenu, C.; Cotrufo, M.F.; Derrien, D.; Gioacchini, P.; Grand, S.; et al. Isolating organic carbon fractions with varying turnover rates in temperate agricultural soils—A comprehensive method comparison. Soil Biol. Biochem. 2018, 125, 10–26. [Google Scholar] [CrossRef]
  30. Najmuldeen, H. Effects of soil texture on chemical compositions, microbial populations and carbon mineralization in soil. J. Exp. Biol 2010, 6, 59–64. [Google Scholar]
  31. Smith, P.; Martino, D.; Cai, Z.; Gwary, D.; Janzen, H.; Kumar, P.; McCarl, B.; Ogle, S.; O’Mara, F.; Rice, C.; et al. Greenhouse gas mitigation in agriculture. Philos. Trans. R. Soc. B Biol. Sci. 2008, 363, 789–813. [Google Scholar] [CrossRef]
  32. Lugato, E.; Panagos, P.; Bampa, F.; Jones, A.; Montanarella, L. A new baseline of organic carbon stock in European agricultural soils using a modelling approach. Glob. Chang. Biol. 2014, 20, 313–326. [Google Scholar] [CrossRef]
  33. Panagos, P.; Van Liedekerke, M.; Jones, A.; Montanarella, L. European Soil Data Centre: Response to European policy support and public data requirements. Land Use Policy 2012, 29, 329–338. [Google Scholar] [CrossRef]
  34. Panagos, P.; Van Liedekerke, M.; Borrelli, P.; Köninger, J.; Ballabio, C.; Orgiazzi, A.; Lugato, E.; Liakos, L.; Hervas, J.; Jones A Montanarella, L. European Soil Data Centre 2.0: Soil data and knowledge in support of the EU policies. Eur. J. Soil Sci. 2022, 73, e13315. [Google Scholar] [CrossRef]
  35. European Soil Data Centre (ESDAC). European Commission, Joint Research Centre. Available online: https://esdac.jrc.ec.europa.eu (accessed on 26 December 2023).
  36. Triantakonstantis, D.; Detsikas, S. Greek National Map of Soil Organic Carbon. In Proceedings of the 23rd EGU General Assembly, Online. 19–30 April 2021. EGU21-13211. [Google Scholar] [CrossRef]
  37. Triantakonstantis, D.; Detsikas, S.E. Soil organic carbon sequestration potential dynamics in saline and sodic soils in Greece, Chapter 6. In Earth Observation, Remote Sensing in Precision Agriculture; Lamine, S., Srivastava, P.K., Kayad, A., Muñoz-Arriola, F., Pandey, P.C., Eds.; Academic Press: Cambridge, MA, USA, 2024; pp. 93–103. [Google Scholar]
  38. Misopolinos, N.; Silleos, N.; Bilas, G.; Karapetsas, N.; Dionisiou, N.; Misopolinos, L.; Pazarloglou, M.; Srati, S.; Cherif, I.; Ovakoglou, G.; et al. Soil Map of Greece 1:30.000, under Project: Development of a Universal SYSTEM of Handling Geoinformation Data and Mapping Agricultural Areas of Greece, Report in Greek; Commissioned by Payment and Control Agency for Guidance and Guarantee Community Aid (O.P.E.K.E.P.E); Aristotle University of Thessaloniki (AUTH): Thessaloniki, Greece, 2015. [Google Scholar]
  39. JASP Statistical Software. Available online: https://jasp-stats.org/ (accessed on 8 February 2024).
  40. De Rosa, D.; Ballabio, C.; Lugato, E.; Fasiolo, M.; Jones, A.; Panagos, P. Soil organic carbon stocks in European croplands and grasslands: How much have we lost in the past decade? Glob. Chang. Biol. 2024, 30, e16992. [Google Scholar] [CrossRef]
  41. Ferré, C.; Mascetti, G.; Gentili, R.; Citterio, S.; Comolli, R. Soil climate regulation services: High SOC stock in Podzols and Umbrisols in an alpine grassland (Valle Adamé, Italy). Environ. Earth Sci. 2023, 82, 534. [Google Scholar] [CrossRef]
  42. Wiesmeier, M.; Spoerlein, P.; Geuss, U.; Hangen, E.; Haug, S.; Reischl, A.; Schilling, B.; von Luetzow, M.; Koegel-Knabner, I. Soil organic carbon stocks in southeast Germany (Bavaria) as affected by land use, soil type and sampling depth. Glob. Chang. Biol. 2012, 18, 2233–2245. [Google Scholar] [CrossRef]
  43. Gregory, P.J. Roots, rhizosphere and soil: The route to a better understanding of soil science? Eur. J. Soil Sci. 2006, 57, 2–12. [Google Scholar] [CrossRef]
  44. Gill, R.A.; Burke, I.C. Influence of soil depth on the decomposition of Bouteloua gracilis roots in the shortgrass steppe. Plant Soil 2002, 241, 233–242. [Google Scholar] [CrossRef]
  45. Zhang, Y.; Li, P.; Liu, X.; Xiao, L.; Li, T.; Wang, D. The response of soil organic carbon to climate and soil texture in China. Front. Earth Sci. 2022, 16, 835–845. [Google Scholar] [CrossRef]
  46. Bouma, T.J.; Bryla, D.R. On the assessment of root and soil respiration for soils of different textures: Interactions with soil moisture contents and soil CO2 concentrations. Plant Soil 2000, 227, 215–221. [Google Scholar] [CrossRef]
  47. Kaiser, K.; Guggenberger, G. Mineral surfaces and soil organic matter. Eur. J. Soil Sci. 2003, 54, 219–236. [Google Scholar] [CrossRef]
  48. Manrique, L.A.; Jones, C.A.; Dyke, P.T. Predicting Cation-Exchange Capacity from Soil Physical and Chemical Properties. Soil Sci. Soc. Am. J. 1991, 55, 787–794. [Google Scholar] [CrossRef]
  49. Tete, E.; Viaud, V.; Walter, C. Organic carbon and nitrogen mineralization in a poorly-drained mineral soil under transient waterlogged conditions: An incubation experiment. Eur. J. Soil Sci. 2015, 66, 427–437. [Google Scholar] [CrossRef]
  50. Holz, M.; Augustin, J. Erosion effects on soil carbon and nitrogen dynamics on cultivated slopes: A meta-analysis. Geoderma 2021, 397, 115045. [Google Scholar] [CrossRef]
  51. Karchegani, P.M.; Ayoubi, S.; Mosaddeghi, M.R.; Honarjoo, N. Soil organic carbon pools in particle-size fractions as affected by slope gradient and land use change in hilly regions, western Iran. J. Mt. Sci. 2012, 9, 87–95. [Google Scholar] [CrossRef]
  52. Jakšić, S.; Ninkov, J.; Milić, S.; Vasin, J.; Živanov, M.; Jakšić, D.; Komlen, V. Influence of Slope Gradient and Aspect on Soil Organic Carbon Content in the Region of Niš, Serbia. Sustainability 2021, 13, 15. [Google Scholar] [CrossRef]
  53. Liao, K.; Wu, S.; Zhu, Q. Can Soil pH Be Used to Help Explain Soil Organic Carbon Stocks? Clean-Soil Air Water 2016, 44, 1685–1689. [Google Scholar] [CrossRef]
  54. Tu, C.; He, T.; Lu, X.; Luo, Y.; Smith, P. Extent to which pH and topographic factors control soil organic carbon level in dry farming cropland soils of the mountainous region of Southwest China. Catena 2018, 163, 204–209. [Google Scholar] [CrossRef]
Disclaimer/Publisher’s Note: The statements, opinions and data contained in all publications are solely those of the individual author(s) and contributor(s) and not of MDPI and/or the editor(s). MDPI and/or the editor(s) disclaim responsibility for any injury to people or property resulting from any ideas, methods, instructions or products referred to in the content.

Article Metrics

Citations

Article Access Statistics

Multiple requests from the same IP address are counted as one view.