Steady-State Risk Prediction Analysis of Power System Based on Power Digital Twinning
Abstract
1. Introduction
- This paper innovatively proposes a power flow calculation optimization method for a complex large power grid system, including improving the speed of power flow calculation and reducing the use of memory; this is based on sparse matrix storage and node coding optimization, uses the unit processing tangent prediction vector, and determines the prediction direction by the machine in the prediction vector in order to improve the accuracy and timeliness of continuous power flow calculation when obtaining node power and voltage.
- In addition, the optimization results of power flow calculation are innovatively introduced into the multi-objective optimization of neural network analysis, and the risk prediction analysis of the steady-state power system is carried out.
- To verify the rationality of the proposed power flow optimization method and the multi-objective neural network algorithm in the complex power system, the proposed algorithm is innovatively introduced into the WSCC nine-node model in the integrated stability program of the power system; this is performed in order to simulate the regional power grid, the accuracy of the proposed power flow optimization method, and to verify the multi-objective neural network risk prediction. The risk of a complex power system is reduced based on the power digital twin.
2. Study on Optimization and Improvement of Power Flow Calculation
2.1. Sparse Storage Analysis
2.2. Research on Node Coding Optimization
2.3. Research on the Unit Processing of Tangent Vector
3. Artificial Neural Network Analysis
3.1. Artificial Neural Network Method
3.2. Process of Applying Artificial Neural Network Algorithm
4. Simulation Verification Analysis Based on Multi-Node Network
4.1. Nine-node Power Network with a WSCC-Integrated Stability Program Introduction
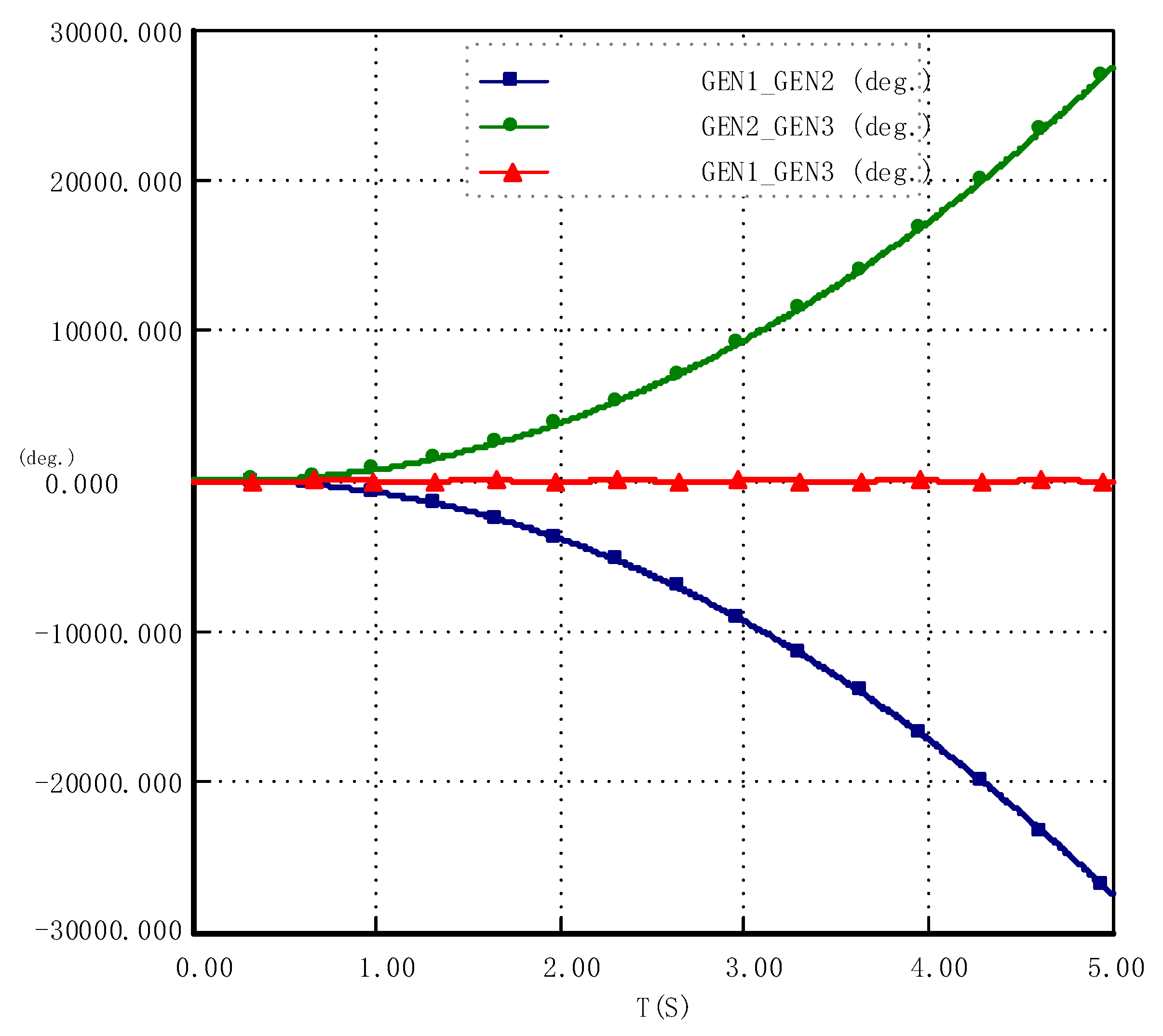
4.2. Nine-node Power Network WSCC-Integrated Stability Program Simulation Three-Phase Ground Fault Characteristics Analysis
4.3. Nine-Node Simulation Risk Prediction Based on Digital Twinning in WSCC Power System-Integrated Stability Program
5. Conclusions
Author Contributions
Funding
Institutional Review Board Statement
Informed Consent Statement
Data Availability Statement
Acknowledgments
Conflicts of Interest
References
- Zhou, X.; Chen, S.; Lu, Z.; Huang, Y.; Ma, S.; Zhao, Q. Technology features of the new generation power system in China. Proc. CSEE 2018, 38, 1893–1904. (In Chinese) [Google Scholar]
- Yang, T.; Zhao, L.; Wang, C. Review on application of artificial intelligence in power system and integrated energy system. Autom. Electr. Syst. 2019, 43, 2–14. (In Chinese) [Google Scholar]
- Tao, F.; Liu, W.; Zhang, M.; Hu, T.; Qi, Q.; Zhang, H.; Sui, F.; Wang, T.; Xu, H.; Huang, Z. Fivedimension digital twin model and its ten applications. Engineering 2019, 25, 1–18. (In Chinese) [Google Scholar]
- Tao, F.; Zhang, H.; Liu, A.; Nee, A.Y. Digital twin in the industry: State-of-the-art. IEEE Trans. Ind. Inform. 2019, 15, 2405–2415. [Google Scholar] [CrossRef]
- Tang, W.; Chen, X.; Qian, T.; Liu, G.; Li, M.; Li, L. Technologies and applications of a digital twin for developing smart energy systems. Strateg. Study CAE 2020, 22, 74–85. (In Chinese) [Google Scholar] [CrossRef]
- Kritzinger, W.; Karner, M.; Traar, G.; Henjes, J.; Sihn, W. Digital twin in manufacturing: A categorical literature review and classification. IFAC-PapersOnLine 2018, 51, 1016–1022. [Google Scholar] [CrossRef]
- Negri, E.; Berardi, S.; Fumagalli, L.; Macchi, M. MES-integrated digital twin frameworks. J. Manuf. Syst. 2020, 56, 58–71. [Google Scholar] [CrossRef]
- Zhuang, C.; Gong, J.; Liu, J. Digital twin-based assembly data management and process traceability for complex products. J. Manuf. Syst. 2021, 58, 118–131. [Google Scholar] [CrossRef]
- Rosen, R.; Von Wichert, G.; Lo, G.; Bettenhausen, K.D. About the importance of autonomy and digital twins for the future of manufacturing. IFAC-PapersOnLine 2015, 48, 567–572. [Google Scholar] [CrossRef]
- Ladj, A.; Wang, Z.; Meski, O.; Belkadi, F.; Ritou, M.; Da Cunha, C. A knowledge-based Digital Shadow for the machining industry in a Digital Twin perspective. J. Manuf. Syst. 2021, 58, 168–179. [Google Scholar] [CrossRef]
- Stark, R.; Kind, S.; Neumeyer, S. Innovations in digital modeling for next-generation manufacturing system design. CIRP Ann. 2017, 66, 169–172. [Google Scholar] [CrossRef]
- González, M.; Salgado, O.; Croes, J.; Pluymers, B.; Desmet, W. A digital twin for operational evaluation of vertical transportation systems. IEEE Access 2020, 8, 114389–114400. [Google Scholar] [CrossRef]
- Bie, Z.; Wang, X.; Hu, Y. Review and prospect of planning of energy Internet. Proc. CSEE 2017, 37, 6445–6462. (In Chinese) [Google Scholar]
- Geidl, M.; Koeppel, G.; Favre-Perrod, P.; Klockl, B.; Andersson, G.; Frohlich, K. Energy hubs for the future. IEEE Power Energy Mag. 2007, 5, 24–30. [Google Scholar] [CrossRef]
- Janko, S.; Johnson, N.G. Reputation-based competitive pricing negotiation and power trading for grid-connected microgrid networks. Appl. Energy 2020, 277, 115598. [Google Scholar] [CrossRef]
- Wu, Y.; Zhang, K.; Zhang, Y. Digital twin networks: A survey. IEEE Internet Things J. 2021, 8, 13789–13804. [Google Scholar] [CrossRef]
- Sierra-Arriaga, F.; Branco, R.; Lee, B. Security issues and challenges for virtualization technologies. ACM Comput. Surv. 2021, 53, 45. [Google Scholar] [CrossRef]
- Tian, L.; Yang, M.Z.; Wang, S.G. An overview of computing first networking. Int. J. Web Grid Serv. 2021, 17, 81–97. [Google Scholar] [CrossRef]
- Yuan, S. Research on time synchronization in wireless sensor networks. Inf. Rec. Mater. 2021, 22, 222–224. [Google Scholar]
- Zhang, P.; Huang, B.; Ju, H. MBSE: Future direction of system engineering. Sci. Technol. Rev. 2020, 38, 21–26. [Google Scholar]
- Gyongyosi, L. Objective function estimation for solving optimization problems in gate-model quantum computers. Sci. Rep. 2020, 10, 14220. [Google Scholar] [CrossRef] [PubMed]
- Zhang, P.; Li, T.; Wang, G.; Luo, C.; Chen, H.; Zhang, J.; Wang, D.; Yu, Z. Multi-source information fusion based on rough set theory: A review. Inf. Fusion 2021, 68, 85–117. [Google Scholar] [CrossRef]
- Liu, Y.; Wang, Q.; Xu, Z. Research on data cleaning and abnormal recognition method of dissolved gas in oil based on multi-layer architecture. J. North China Electr. Power Univ. (Nat. Sci. Ed.) 2022, 49, 81–89. [Google Scholar]
- Pu, T.; Chen, S.; Zhao, Q. Framework design and application prospect for digital twins system of energy internet. Proc. CSEE 2021, 41, 2012–2028. [Google Scholar]
- Chen, Y.B. Integrated and intelligent manufacturing: Perspectives and enablers. Engineering 2017, 3, 588–595. [Google Scholar] [CrossRef]
- El Marai, O.; Taleb, T.; Song, J. Roads infrastructure digital twin: A step toward smarter cities realization. IEEE Netw. 2021, 35, 136–143. [Google Scholar] [CrossRef]
- Wang, N.; Zhao, F. An assessment of the condition of distribution network equipment based on large data fuzzy decision-making. Energies 2020, 3, 197. [Google Scholar] [CrossRef]
- Giannaros, E.; Kotzakolios, A.; Kostopoulos, V.; Sotiriadis, G.; Vignjevic, R.; Djordjevic, N.; Boccaccio, M.; Meo, M. Low- and high-fidelity modeling of sandwich-structured composite response to a bird strike, as tools for a digital-twin-assisted damage diagnosis. Int. J. Impact Eng. 2022, 160, 104058. [Google Scholar] [CrossRef]
- Ren, Z. Digital high-efficiency energy-saving solution, helping to achieve the “Double carbon” goal-interview Qi Luping, head of ABB’s Motion Control Division in China. Electr. Age 2022, 13, 6–8. [Google Scholar]
- Ma, X.; Shen, W.; Zhen, W. A study on the optimal scheduling strategy of an electric-gas-thermal integrated energy system based on low carbon target. Power Syst. Clean Energy 2021, 37, 116–122. (In Chinese) [Google Scholar]
- Zhang, N.; Ma, G.; Guan, Y. Panoramic information perception and intelligent grid. Proc. CSEE 2021, 41, 1274–1283. (In Chinese) [Google Scholar]
- Zhou, M.; Yan, J.; Wu, Q. Graph computing and its application to power grid analysis. CSEE J. Power Energy Syst. 2022. [Google Scholar] [CrossRef]
- Yan, Y.; Tao, H.; Li, Y. Research and practice of integration of information in power dispatching center. Relay 2007, 1, 37–40. (In Chinese) [Google Scholar]
- Zhou, E.; Feng, D.; Wu, Z. In-memory computing and its application to power system analysis. Autom. Electr. Power Syst. 2017, 41, 1–7. (In Chinese) [Google Scholar]
- Zhou, E.; Feng, D.; Yan, J. A software platform for second-order responsiveness power grid online analysis. Power Syst. Technol. 2020, 44, 3474–3480. (In Chinese) [Google Scholar]
- Qi, B.; Zhang, P.; Zhang, S. Application status and development prospects of digital twin technology in the condition assessment of power transmission and transformation equipment. High Volt. Eng. 2021, 47, 1522–1538. (In Chinese) [Google Scholar]
- Danilczyk, W.; Sun, Y.; He, H. ANGEL: An intelligent digital twin framework for microgrid security. In Proceedings of the 2019 North American Power Symposium (NAPS), Wichita, KS, USA, 13–15 October 2019. [Google Scholar]
- Shen, C.; Jia, M.; Chen, Y.; Huang, S.; Xiang, Y. Digital twin of the energy internet and its application. J. Glob. Energy Interconnect. 2020, 3, 1–13. (In Chinese) [Google Scholar]
- Makihata, M.; Matsushita, K.; Pisano, A.P. MEMS-based non-contact voltage sensor with multi-mode resonance shutter. Sens. Actuators A Phys. 2019, 294, 25–36. [Google Scholar] [CrossRef]
- Erol-Kantarci, M.; Mouftah, H.T. Wireless multimedia sensor and actor networks for the next generation power grid. Ad Hoc Netw. 2011, 9, 542–551. [Google Scholar] [CrossRef]
- Zeng, M.; Wang, Y.; Li, M.; Dong, H.; Zhang, X. Preliminary study on the architecture and implementation plan of widespread power internet of things. Smart Power 2019, 47, 1–7. [Google Scholar]
- Morello, R.; De Capua, C.; Fulco, G.; Mukhopadhyay, S.C. A smart power meter to monitor energy flow in smart grids: The role of advanced sensing and IoT in the electric grid of the future. IEEE Sens. J. 2017, 17, 7828–7837. [Google Scholar] [CrossRef]
- Abe, R.; Taoka, H.; McQuilkin, D. Digital grid: Communicative electrical grids of the future. IEEE Trans. Smart Grid 2011, 2, 399–410. [Google Scholar] [CrossRef]
- Abe, R. Digital grid: Full of renewable energy in the future. In Proceedings of the 2016 IEEE International Conference on Consumer Electronics-Taiwan, Taiwan, China, 27–29 May 2016; pp. 104–106. [Google Scholar]
- Shi, P. The concept, development form, and significance of digital twin. Softw. Integr. Circuit 2018, 1, 30–33. [Google Scholar]
- Wang, J.; Cui, H.; Hao, H.; Yao, H.; Bao, L. Research on digital power grid information integration solution. MATEC Web Conf. 2018, 173, 03026. [Google Scholar] [CrossRef]
- Zhuang, C.; Liu, J.; Xiong, H.; Ding, X.; Liu, S.; Weng, G. Connotation, architecture, and trends of product digital twin. Comput. Integr. Manuf. Syst. 2017, 23, 753–768. [Google Scholar]
- Liu, D.; Guo, K.; Wang, B.; Peng, Y. Summary and perspective survey on digital twin technology. Chin. J. Sci. Instrum. 2018, 39, 1–10. [Google Scholar]
- Liu, Y.; Xu, Z.; Li, G.; Xia, Y.; Gao, S. Review on applications of artificial intelligence-driven data analysis technology in condition-based maintenance of power transformers. High Volt. Eng. 2019, 45, 337–348. [Google Scholar]
- Tang, W.; Niu, Z.; Zhao, B. Research and application of data-driven artificial intelligence technology for condition analysis of power equipment. High Volt. Eng. 2020, 46, 2985–2999. [Google Scholar]
- Li, P.; Bi, J.G.; Yu, H.; Xu, Y. Technology and application of intelligent sensing and state sensing for transformation equipment. High Volt. Eng. 2020, 46, 3097–3113. [Google Scholar]
- Maja, H.T.; Rajib, D.; Ljubisa, S.; Xu, S.; Philip, C.; Gary, M.; Brian, R.; Paul, S.; Jian, D.; Tony, F. Design and testing of a modular sic-based power block. In Proceedings of the International Exhibition and Conference for Power Electronics, Intelligent Motion, Renewable Energy and Energy Management, Nuremberg, Germany, 9–11 September 2021; pp. 1–4. [Google Scholar]
- Negri, E.; Fumagalli, L.; Macchi, M. A review of the roles of the digital twin in CPS-based production systems. Procedia Manuf. 2017, 11, 939–948. [Google Scholar] [CrossRef]
- Zhou, S.; Xie, L.; Song, R. Building and application of substation digital construction management platform based on BIM. Electr. Power 2019, 52, 142–147. [Google Scholar]
- Tian, F.; Duan, H.; Yang, Z. White paper on digital twin technology; Laboratory of Digital Twins, Pera Global Technology Co., Ltd.: Beijing, China, 2019. [Google Scholar]
- Glaessgen, E.; Stargel, D. The digital twin paradigm for future NASA and U.S. air force vehicles. In Proceedings of the AIAA/ASME/ASCE/AHS/ASC Structures, Structural Dynamics and Materials Conference—Special Session on the Digital Twin, Honolulu, HI, USA, 19 April 2012. [Google Scholar]
- Zengin, U.; Durak, U.; Hartmann, S. The digital twin paradigm for aircraft-review and outlook. In Proceedings of the AIAA SciTech Forum, Online, 6 January 2020. [Google Scholar]
- Edward, K. The US air force digital thread/digital twin-life cycle integration and use of computational and experimental knowledge. In Proceedings of the 54th AIAA Aerospace Sciences Meeting, San Diego, CA, USA, 4–8 January 2016. [Google Scholar]
- Shi, L.; Jian, Z. Vulnerability assessment of cyber-physical power system based on dynamic attack-defense game model. Autom. Electr. Power Syst. 2016, 40, 99–105. [Google Scholar]
- Bie, Z.; Lin, Y.; Qiu, A. Concept and research prospects of power system resilience. Autom. Electr. Power Syst. 2015, 39, 1–9. [Google Scholar]
- Pan, S.; Morris, T.; Adhikari, U. Developing a hybrid intrusion detection system using data mining for power systems. IEEE Trans. Smart Grid 2015, 6, 3104–3113. [Google Scholar] [CrossRef]
- Luo, Z.; Yang, X.; Sun, G. Finite automation intrusion tolerance system model based on Markov. J. Commun. 2019, 40, 79–89. [Google Scholar]
- Deng, R.; Zhuang, P.; Liang, H. CCPA: Coordinated cyber-physical attacks and countermeasures in smart grid. IEEE Trans. Smart Grid 2017, 8, 2420–2430. [Google Scholar] [CrossRef]
- Xue, Y.; Li, M.; Luo, J.; Ni, M.; Chen, Q. Modeling method for coupling relations in cyber-physical power systems based on correlation characteristic matrix. Autom. Electr. Power Syst. 2018, 42, 11–19. [Google Scholar]






















| BUS_NAME | PHYPOS | Plant/Station | BASE_KV | VMAX_KV | VMIN_KV |
|---|---|---|---|---|---|
| GEN1 | 0 | Gen1 | 16.5 | 18.15 | 14.85 |
| GEN2 | 0 | Gen2 | 18 | 19.8 | 16.2 |
| GEN3 | 0 | Gen3 | 13.8 | 15.18 | 12.42 |
| GEN1–230 | 0 | Gen1 | 230 | 0 | 0 |
| GEN2–230 | 0 | Gen2 | 230 | 0 | 0 |
| GEN3–230 | 0 | Gen3 | 230 | 0 | 0 |
| STNA–230 | 0 | STNA | 230 | 0 | 0 |
| STNB–230 | 0 | STNB | 230 | 0 | 0 |
| STNC–230 | 0 | STNC | 230 | 0 | 0 |
| NAME | I_NAME | J_NAME | R1 | X1 | B/2 | R0 | X0 |
|---|---|---|---|---|---|---|---|
| AC_1 | GEN1–230 | STNA–230 | 0.01 | 0.085 | 0.088 | 0 | 0.255 |
| AC_2 | STNA–230 | GEN2–230 | 0.032 | 0.161 | 0.153 | 0 | 0.483 |
| AC_3 | GEN2–230 | STNC–230 | 0.0085 | 0.072 | 0.0745 | 0 | 0.216 |
| AC_4 | STNC–230 | GEN3–230 | 0.0119 | 0.1008 | 0.1045 | 0 | 0.302 |
| AC_5 | GEN3–230 | STNB–230 | 0.039 | 0.17 | 0.179 | 0 | 0.51 |
| AC_6 | STNB–230 | GEN1–230 | 0.017 | 0.092 | 0.079 | 0 | 0.276 |
Disclaimer/Publisher’s Note: The statements, opinions and data contained in all publications are solely those of the individual author(s) and contributor(s) and not of MDPI and/or the editor(s). MDPI and/or the editor(s) disclaim responsibility for any injury to people or property resulting from any ideas, methods, instructions or products referred to in the content. |
© 2023 by the authors. Licensee MDPI, Basel, Switzerland. This article is an open access article distributed under the terms and conditions of the Creative Commons Attribution (CC BY) license (https://creativecommons.org/licenses/by/4.0/).
Share and Cite
Li, Q.; Zhao, F.; Zhuang, L.; Wang, Q.; Wu, C. Steady-State Risk Prediction Analysis of Power System Based on Power Digital Twinning. Sustainability 2023, 15, 2555. https://doi.org/10.3390/su15032555
Li Q, Zhao F, Zhuang L, Wang Q, Wu C. Steady-State Risk Prediction Analysis of Power System Based on Power Digital Twinning. Sustainability. 2023; 15(3):2555. https://doi.org/10.3390/su15032555
Chicago/Turabian StyleLi, Qiang, Feng Zhao, Li Zhuang, Qiulin Wang, and Chenzhou Wu. 2023. "Steady-State Risk Prediction Analysis of Power System Based on Power Digital Twinning" Sustainability 15, no. 3: 2555. https://doi.org/10.3390/su15032555
APA StyleLi, Q., Zhao, F., Zhuang, L., Wang, Q., & Wu, C. (2023). Steady-State Risk Prediction Analysis of Power System Based on Power Digital Twinning. Sustainability, 15(3), 2555. https://doi.org/10.3390/su15032555
