Comparison of Dynamic Response Characteristics of Typical Energy Storage Technologies for Suppressing Wind Power Fluctuation
Abstract
1. Introduction
2. Mathematical Model and Control Strategy of Permanent Magnet Direct Drive Wind Turbine
2.1. Aerodynamic Model
2.2. Model of Permanent Magnet Synchronous Wind Generator System
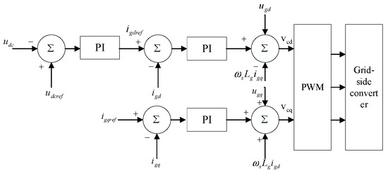
2.3. Control Strategy of Converter
3. Theoretical Analysis and Control Strategy of Energy Storage System
3.1. Equivalent Circuit Model of Battery
3.2. Equivalent Circuit Model of Super Capacitor
3.3. Selection of Flywheel Energy Storage Motor
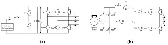
3.4. Control Strategy of Energy Storage Power Conversion System
- Bidirectional DC/DC converter control
- 2.
- Hysteresis current control
4. Case Study
4.1. Simulation of Wind Storage System
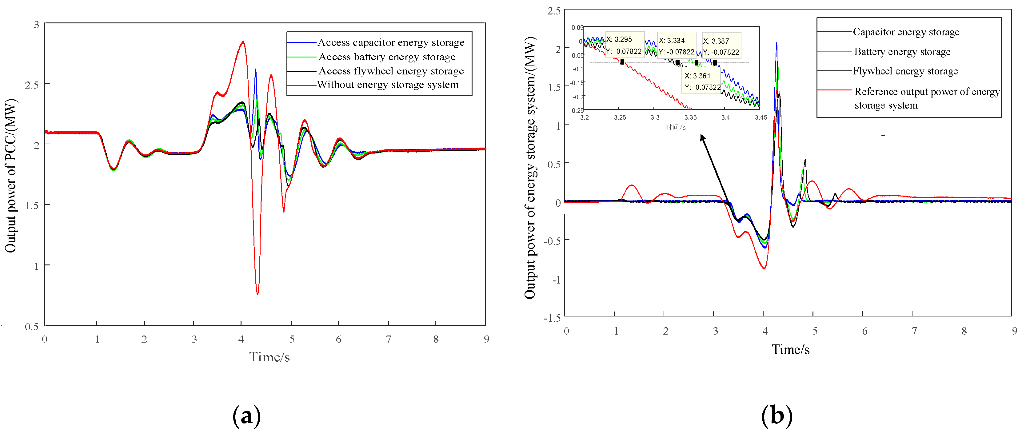
4.2. Power Response Characteristics of Three Energy Storage Technologies
4.3. Effects of Three Energy Storage Technologies on Suppressing Wind Power Fluctuation
5. Conclusions
Author Contributions
Funding
Institutional Review Board Statement
Informed Consent Statement
Conflicts of Interest
References
- Yang, Y.; Bremner, S.; Menictas, C. Battery energy storage system size determination in renewable energy systems: A review. Renew. Sustain. Energy Rev. 2018, 91, 109–125. [Google Scholar] [CrossRef]
- Nadeem, F.; Hussain, S.; Tiwari, P. Comparative review of energy storage systems, their roles, and impacts on future power systems. IEEE Access 2019, 7, 4555–4585. [Google Scholar] [CrossRef]
- Meng, L.; Zafar, J.; Khadem, S. Fast frequency response from energy storage systems-a review of grid standards, projects and technical Issues. IEEE Trans. Smart Grid 2019, 11, 1566–1581. [Google Scholar] [CrossRef]
- Barton, J.; Infield, D. Energy storage and its use with intermittent renewable energy. IEEE Trans. Energy Convers. 2014, 19, 441–448. [Google Scholar] [CrossRef]
- Cheng, T.; Chen, M.; Luo, H. Multi-objective optimal allocation of energy storage in distribution network with Renewable energy generation. Grid Technol. 2017, 41, 2808–2815. [Google Scholar]
- Ren, F.; Xue, Y.; Yun, P.; Han, J.; Jia, W. Multi-objective optimized energy storage system based on Markov prediction to suppress wind farm power fluctuation. Power Syst. Autom. 2020, 44, 67–74. (In Chinese) [Google Scholar]
- Moghaddam, I.; Chowdhury, B.; Doostan, M. Optimal sizing and operation of battery energy storage systems connected to wind farms participating in electricity markets. IEEE Trans. Sustain. Energy 2019, 10, 1184–1193. [Google Scholar] [CrossRef]
- Nguyen, C.; Lee, H. Power management approach to minimize battery capacity in wind energy conversion systems. IEEE Trans. Ind. Appl. 2017, 53, 4843–4854. [Google Scholar] [CrossRef]
- Cimuca, G.; Saudemont, C.; Robyns, B. Control and performance evaluation of a flywheel energy-storage system associated to a variable-speed wind generator. IEEE Trans. Ind. Electron. 2016, 53, 1074–1085. [Google Scholar] [CrossRef]
- Daoud, M.; Massoud, A.; Abdel-khalik, A. A flywheel energy storage system for fault ride through support of grid-connected VSC HVDC-based offshore wind farms. IEEE Trans. Power Syst. 2016, 31, 1671–1680. [Google Scholar] [CrossRef]
- Liu, J.; Zhang, L. Strategy design of hybrid energy storage system for smoothing wind power fluctuations. Energies 2016, 9, 991. [Google Scholar] [CrossRef]
- Wu, J.; Ding, M. A hybrid energy storage control strategy for wind power fluctuation suppression based on adaptive wavelet packet decomposition. Power Syst. Autom. 2017, 41, 7–12. (In Chinese) [Google Scholar]
- Shi, J.; Lee, W.; Liu, X. Generation scheduling optimization of wind-energy storage system based on wind power output fluctuation features. IEEE Trans. Ind. Appl. 2018, 54, 10–17. [Google Scholar] [CrossRef]
- Sioshansi, R. Energy-storage modeling: State of the art and future research directions. IEEE Trans. Power Syst. 2022, 37, 860–875. [Google Scholar] [CrossRef]
- Foggo, B.; Yu, N. Improved battery storage valuation through degradation reduction. IEEE Trans. Smart Grid. 2018, 9, 5721–5732. [Google Scholar] [CrossRef]
- Pandzic, H.; Bobanac, V. An accurate charging model of battery energy storage. IEEE Trans. Power Syst. 2019, 34, 1416–1426. [Google Scholar] [CrossRef]
- Jin, W.; Xu, S.; Zhang, D. Application and response time test of MW-level battery energy storage system used in PV power station. High Volt. Eng. 2017, 43, 2425–2432. [Google Scholar]
- Guo, F.; Deng, C.; Liao, Y. Research on the response characteristics of BESS used in power smoothing. Trans. China Electrotech. Soc. 2015, 30, 434–440. [Google Scholar]
- Yu, Q.; Xie, L. Optimal configuration of multi-objective hybrid energy storage system for wind power grid-connection. Mod. Electron. Tech. 2021, 44, 111–115. [Google Scholar]
- Pu, Z.; Zhang, D.; Yin, X.; Wang, X.; Dou, T. Comparative study of different energy storage systems on multi-timescale wind power smoothing performance. Energy Conserv. Technol. 2020, 38, 371–378. (In Chinese) [Google Scholar]
- Liao, Q.; Chen, J.; Shi, Y. Current situation and trend of energy storage technology and suggestions for the development of energy storage in Shanghai. J. Shanghai Inst. Electr. Power 2020, 26, 93–98. (In Chinese) [Google Scholar]
- Muyeen, S.; Ali, M.; Takahashi, R. Comparative study on transient stability analysis of ind turbine generator system using different drive train models. Renew. Power Gener. IET 2007, 1, 131–141. [Google Scholar] [CrossRef]
- Chinchilla, M.; Amaltes, S.; Burgos, J. Control of permanent-magnet generators applied to variable-speed wind-energy systems connected to the grid. IEEE Trans. Energy Convers. 2006, 21, 130–135. [Google Scholar] [CrossRef]
- Zhang, X.; Li, L.; Bian, Z. Virtual moment inertia control based on hybrid static energy storage. Electr. Power Autom. Equip. 2019, 39, 50–56. (In Chinese) [Google Scholar]
- Miao, F.; Tang, X.; Qi, Z. Fluctuation feature extraction of wind power. IEEE PES Innov. Smart Grid Technol. 2012, 47, 1–5. [Google Scholar]












| Parameter Name | Value | Parameter Name | Value |
|---|---|---|---|
| Battery rated voltage | 400 V | Supercapacitor capacity | 3000 F |
| Battery internal resistance | 0.1 Ω | Supercapacitor internal resistance | 0.45 mΩ |
| Battery rated power | 2 MW | Supercapacitor rated voltage | 2 V |
| Battery rated capacity | 4 MWh | Supercapacitor bank | 200 (series) × 20 (parallel) |
| Flywheel motor rated power | 2 MW | Inertia constant of flywheel motor | 4.7 s |
| Whether to Access Energy Storage System | Power Fluctuation Stability (Eδ) in Scenario 1 | Power Fluctuation Stability (Eδ) in Scenario 2 |
|---|---|---|
| Without energy storage system | 0.179 | 0.075 |
| Access battery energy storage system | 0.065 | 0.0415 |
| Access supercapacitor energy storage system | 0.068 | 0.0410 |
| Access flywheel energy storage system | 0.055 | 0.0421 |
Disclaimer/Publisher’s Note: The statements, opinions and data contained in all publications are solely those of the individual author(s) and contributor(s) and not of MDPI and/or the editor(s). MDPI and/or the editor(s) disclaim responsibility for any injury to people or property resulting from any ideas, methods, instructions or products referred to in the content. |
© 2023 by the authors. Licensee MDPI, Basel, Switzerland. This article is an open access article distributed under the terms and conditions of the Creative Commons Attribution (CC BY) license (https://creativecommons.org/licenses/by/4.0/).
Share and Cite
Qu, H.; Ye, Z. Comparison of Dynamic Response Characteristics of Typical Energy Storage Technologies for Suppressing Wind Power Fluctuation. Sustainability 2023, 15, 2437. https://doi.org/10.3390/su15032437
Qu H, Ye Z. Comparison of Dynamic Response Characteristics of Typical Energy Storage Technologies for Suppressing Wind Power Fluctuation. Sustainability. 2023; 15(3):2437. https://doi.org/10.3390/su15032437
Chicago/Turabian StyleQu, Hong, and Ze Ye. 2023. "Comparison of Dynamic Response Characteristics of Typical Energy Storage Technologies for Suppressing Wind Power Fluctuation" Sustainability 15, no. 3: 2437. https://doi.org/10.3390/su15032437
APA StyleQu, H., & Ye, Z. (2023). Comparison of Dynamic Response Characteristics of Typical Energy Storage Technologies for Suppressing Wind Power Fluctuation. Sustainability, 15(3), 2437. https://doi.org/10.3390/su15032437
