Abstract
This work is concerned with a multi-analytical identification of the colour palette utilised in the decoration of the cover of an Egyptian sarcophagus dated to the Late Dynastic Period and belonging to a private collection. In this study, six different points were analysed with a portable Raman spectrometer; then, in these same points, six micro-fragments were taken from the sarcophagus for laboratory analysis performed by scanning electron microscopy coupled with energy dispersive X-ray spectroscopy (SEM-EDXS), attenuated total reflectance-Fourier transform infrared spectroscopy (ATR-FTIR) and visible induced luminescence imaging (VIL). Raman spectra collected in situ showed the characteristic bands of calcite, red ochre and black carbon. SEM-EDXS analyses highlighted the presence of a copper-based pigment in the light blue, blue and black fragments; then, the ATR-FTIR spectrum of the light blue sample only displayed the peculiar bands of Egyptian blue. The latter result was confirmed by VIL analysis, which successfully identified the same pigment in blue-black fragments as well, leading to the possible authentication of the finding. Moreover, the presence of calcite, red ochre, green earth and some organic material was assessed by FTIR spectroscopy, confirming some of the results of in situ Raman analyses. Regarding organic materials, whose investigation is still ongoing, some hypotheses were made on the basis of their FTIR spectra.
1. Introduction
One of the most compelling and inspiring challenges in archaeometry is the identification of pigments in artefacts of historical and archaeological interest [1,2]. Chemical–physical analyses allow the characterisation of the pigment’s nature and possibly the origin and the manufacturing techniques employed. This information may enable a geographical and historical contextualisation.
In fact, the identification of the compounds utilised in the creation of painted objects of artistic and historical meaning could be crucial, since it can give vital information such as the painting technique and the availability of natural pigments and/or the capability of the production of pigments from raw materials and, consequently, information concerning the technological expertise in a particular historical period and the importance of the patron.
Furthermore, the characterisation of the materials can also permit the detection of possible previous restoration or conservation work. In some events, it can even supply information about the authenticity and/or dating of the artwork. Research studies conducted in this field were able to identify the vast array of colours the ancient Egyptians had at their disposal [2,3,4,5,6,7,8].
Since antiquity, man has given symbolic value to colours, many of which have had different connotations depending on the era. Throughout millennia, the fascination of hue has always pushed mankind to search for different natural pigments to be used as colours and also, since antiquity, to produce pigments synthetically. In old Egypt, the tint was considered an indicator of the essence rather than the appearance, as evidenced by the Egyptian word used for “colour” (Iwen) which also means “to be” [9]. In fact, colour’s symbolism happened to be rigorously established.
It is worth noting that every different shade was associated with a specific, symbolic meaning. The ritual and social use of colour resulted from theological beliefs, and every different hue had a precise, cultural value: black, for example, mainly obtained from coal, or the so-called carbon black pigment, symbolised well-being. It is first connected to the concept of fertility, and it is no coincidence that the god Osiris is often represented with black skin referring to his quality as “bearer of fertility”. Black, however, also has another meaning, namely that of regression and death: often referring to the world of the Underworld; Egyptian art used to represent the god Anubis and the symbols connected to death in black. Instead, the colour white used to be considered a symbol of light, purity and divine quality. In fact, some of the objects that were used during religious ceremonies are often depicted in white. The most used white pigments were chalk, limestone and huntite, especially because they were abundant in Egypt [6,10].
In this context, because of the well-known Egyptians technical skills, it does not appear weird that the production of Egyptian blue, which is supposed to be the first synthetic pigment in recorded history, began around 3000 BC; moreover, it had been the most widely used pigment in Egypt from the early dynasties until the end of the Roman era [11,12].
Besides Egyptian blue, other pigments used to obtain blue shades were lapis lazuli and azurite. This colour was also a symbol of fertility for the ancient Egyptians due to the close relationship between water and life. Light blue also played an important role in paintings; in fact, it is often present in the decorations of funerary architecture; the ceilings, painted in light blue and sometimes sprinkled with stars, represented the glittering fields that the deceased would reach after death.
Another shade of fundamental importance for the ancient Egyptian civilization was green, commonly obtained from green earths or from malachite [13,14]. Another way to obtain green pigments was through synthesis (Egyptian green) or from blue and yellow pigment mixtures. Green represented the colour of growth and life, as well as resurrection. As evidence of this, the god Osiris was often depicted with green skin, as he returned to life after death. The green colour, even in many other cultures, has always been associated with magic; it is the colour that has strong therapeutic powers since it refers to the virtues of healing herbs that give youth and immortality.
As far as the yellow colour is concerned, it symbolised the concept of indestructibility and eternity. Not surprisingly, it is the colour of the sun and gold with which the Egyptians used to paint the gods’ skin. Given the great availability throughout the territory, the most widely used yellow pigments were a variety of yellow ochres [14,15].
Finally, another widespread colour, once again associated with a symbolic meaning, was red. This colour, mainly obtained by using red ochre, contained within itself a particular magical charge, beneficial or maleficent according to the situation. On the one hand, it represented victory and life; on the other hand, it was synonymous with destruction, divine anger and danger [9,16].
As a consequence of what was described above, the Egyptians’ palette consisted mainly of white, red, yellow, blue, green and black. For painting, the pigment would have first been ground and then diluted with water or, depending on the support, with oils, egg whites, gum arabic or resins [14].
The symbolism of the colours described above allows us to understand why Egyptian pictorial art is often associated with funerary art, where the purpose of the rich religious decorations was to make the afterlife of the deceased more comfortable.
In recent years, a wide selection of Egyptian artwork and remains were studied and characterised by means of instrumental methods, especially those that are non-destructive or micro-invasive [2,3,6,17,18,19,20,21]. In particular, the characterisation of painting materials is commonly performed by means of different analytical techniques and, most often, the achievement of a comprehensive identification of the painting techniques and palettes involves both elemental analyses and spectroscopic techniques.
Several studies can be found in the literature reporting how Raman spectroscopy, attenuated total reflection Fourier transform infrared spectroscopy (ATR-FTIR) and scanning electron microscopy coupled with energy dispersive X-ray spectroscopy (SEM-EDXS) are of great help in the characterisation of various materials and especially ancient pigments [1,2,3,15,22,23,24,25,26,27,28].
In the context of this field of research lies the present work; we wanted to identify the colours utilised for decorating the cover of an ancient Egyptian wooden anthropomorphic sarcophagus, belonging to a private collection. The coffin is made of cartonnage (57 × 38 × 17 cm) and is attributed to between the XXVI and XXX dynasties. The sarcophagus is defined as anthropomorphic because it depicts the likeness of the deceased. In fact, with the development of the Osirian cult, the appearance of sarcophagi begins to bear the features of the god Osiris with whom the deceased was identified, which is why his face is green. This cult begins to develop from the XVII dynasty (during the Second Intermediate Period 1759–1539 BC) and continues throughout the New Kingdom (1539–1077 BC) [29].
The study had the main goal of helping to determine the authenticity of the archaeological find and, furthermore, testing our instrumentation with the aim to evaluate it for an in situ measurement campaign to be performed directly at an important excavation site in the surroundings of Aswan (Egypt).
The artefact was analysed though a multi-technique method that employed SEM-EDXS and vibrational spectroscopies, such as ATR-FTIR and Raman (also in its transportable application). To better disclose the composition of blue pigments, visible induced luminescence (VIL) was also utilised. In fact, photo-induced luminescence methods, among which there is the just-mentioned visible-induced infrared luminescence, are able to play a key role in identifying old materials that are luminescent [30].
The VIL technique, in particular, can be used to detect Egyptian blue since this pigment, if lit up with visible light, has a peculiar and particularly intense luminescence emission in the near infrared region (at about 910 nm) [31].
This technique, which is relatively new, results in a particularly useful tool in the field of archaeological paintings, especially in its imaging version. In fact, its peculiar sensitivity to Egyptian blue, its non-invasive approach, as well as the possibility of exploring wide areas, makes of VIL one of the most powerful techniques for the detection of that blue pigment in ancient artefacts [32].
This multi-technique approach allowed for the complete characterisation of the pigments used to decorate the coffin cover. Moreover, some preliminary information about the presence of organic substances in the pictorial layers was achieved, in addition to some hypotheses about their nature.
2. Materials and Methods
2.1. Samples
In this study, six different points of the Egyptian coffin cover were non-invasively analysed with a portable Raman spectrometer and then. from these same points, six micro-fragments were taken for laboratory analysis (Figure 1). The first analyses were performed in situ, meaning directly on the coffin’s surface at the collector’s place.
Figure 1.
(a) Distribution of the six points analysed in situ. From (b) to (g) 3× magnified image of the six collected samples taken from the points evidenced in (a): (b) blue sample 1; (c) red sample 2; (d) green sample 3; (e) white sample 4; (f) black sample 5; (g) light blue sample 6.
Sampled points are representative of the whole colour palette of the artefact’s cover, appearing blue, red, green, white, black and light blue (Table 1). Figure 1 shows also the samples observed under the stereomicroscope (3× magnification).
Table 1.
List of investigated samples.
Sample 1 was taken in the area near the head, in the posterior part of the sarcophagus near a gap. It is a fragment of about 0.5 cm in length, dark blue, almost black. It can be understood just by observing it macroscopically (Figure 1b)—which also concerns many other subsequent samples—that the sampling involved not only part of the pigment but also part of the underlying substrate (cartonnage).
Sample 2 came from the left side near the shoulder of the anthropomorphic sarcophagus. The size of the red sample is about 0.3 cm. Moreover, in this case, the fragments show the red colour due to the pigment on one side, and a substrate bearing a white colour.
Sample 3 was collected from the left side of the dress of the anthropomorphic sarcophagus. The sample consists of a dark green inhomogeneous fragment with a length of approximately 0.4 cm.
Sample 4 is also from the left side of the sarcophagus, but in the more central area of the body (see Figure 1). The sample consists of a fragment approximately 0.4 cm long. It is almost homogenously coloured on all sides, as the point from which it was taken is white, just like the substrate from which it came.
Sample 5 was taken on the left side of the sarcophagus as well, in a black area of the dress’s decoration. The sample consists of a fragment approximately 0.4 cm long.
Sample 6 is from the lower part of the sarcophagus body. The fragment is approximately 0.2 cm long and is characterised by a very intense and vivid light blue colour where distinct grains are observed. These appear similar to small shards of glass.
2.2. Instrumental Techniques
All the in situ Raman measurements were carried out by a BWTek i-Raman EX portable spectrometer provided with a fibre optic probe and a 1064 nm Nd-YAG laser source. The spectra were obtained as an average of 20 scans, with spectral resolution of 4 cm−1, and in the range between 200 and 2000 cm−1. The time required for each measurement was about 20 s.
The identification of the pigments was obtained by comparing the spectra recorded on the sarcophagus with the ones present in our personal database of reference spectra or with those found in the literature [4,17,33].
The observations of the pictorial textures of the samples were performed by optical microscopy (model ST-30B-2L, Sicher, Milano, Italy).
The semiquantitative determination of the elemental composition of the pigments was carried out by means of SEM-EDXS. Two different instruments were employed: a Hitachi TM-1000 scanning electron microscope, equipped with a backscattered electrons detector (BSE) and an energy dispersive X-ray spectrometer (Oxford Instruments SwiftED), and a Hitachi TM-4000 instrument, equipped with detectors for backscattered (BSE) and secondary electrons (SE) and with an Oxford-AztecOne EDX microprobe.
SEM-EDXS examinations were performed on the fragments as such under low vacuum conditions. Indeed, none of these measurements required a coating application.
The shards were placed on the holder with double-sided tape. The Hitachi TM-1000 instrument was utilised to carry out both the morphological analyses of the surfaces with a backscattered electrons detector and the qualitative and semi-quantitative determinations as well, whereas the Hitachi TM-4000 one, because of its peculiar spatial resolution, was used to investigate the samples in detail and also to map elements’ distributions. On each sample, the values of the semiquantitative SEM-EDXS analyses were obtained as the average of three to six measurements on different areas, depending on the sample’s size.
Subsequently, investigations were also carried out by means of ATR-FTIR to better highlight the nature of some of the pigments. These analyses were performed with a portable FTIR spectrometer (PerkinElmer Spectrum Two) coupled with an ATR accessory (UATR Two). The spectra have been acquired on micro-grains of the various pigments in the range of 400–4000 cm−1 and with a 4 cm−1 resolution. Each spectrum was acquired with 64 scans. Moreover, in this case, the identification was performed by comparison of the spectra of the samples with the ones from our reference materials or found in the literature [34,35]
Finally, visible induced luminescence (VIL) was employed as a further tool for pigment recognition. The VIL investigation was carried out using a central emission LED source at 640 nm, with an emitted power of 5 W. The acquisition system includes a Samsung NX500 multispectral camera with a Tefnon inverted lens (focal length 28 mm and aperture 2.8 mm) which features a high pass filter at 850 nm.
3. Results
3.1. In situ Analyses
The direct investigation on the artifact was initially made by Raman spectroscopy.
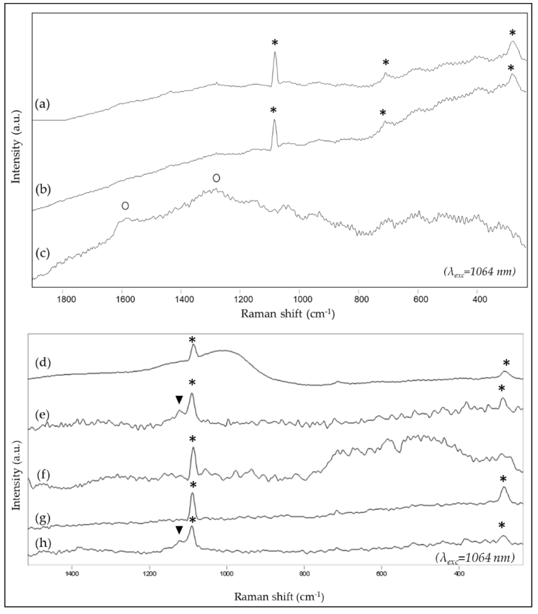
In the lower part of Figure 2 (Figure 2c), the characteristic spectrum of carbon black (sample 5) is shown, where the typical bands at 1580 and 1300 cm−1 are evidenced by circles [25]. The other spectra reported in the same box were taken, respectively, on the red sample 2 (Figure 2a) and the white sample 4 (Figure 2b); in both cases, just calcite (CaCO3) was identified, because of the characteristic bands at 1085, 711 and 288 cm−1 evidenced by asterisks in the figures [33].
Figure 2.
Raman spectra of: (a) red sample 2; (b) white sample 4; (c) black sample 5; (d,e) light blue sample 6; (f,g) green sample 3; (h) blue sample 1. Asterisks indicate calcite peaks, circles carbon black peaks, triangles huntite peak.
It is worth underlining that, in spite of using a Raman portable device equipped with a NIR laser source, all the spectra showed an intense fluorescence background. In fact, this problem did not allow the clear identification of the characteristic peaks of any red pigment in sample 2.
In samples 1, 3 and 6, with Raman analysis, it was only possible to verify the presence of calcite because of the aforementioned fluorescence background (Figure 2). However, it is also interesting to stress the probable presence of huntite (CaMg3(CO3)4) in samples 1 and 6 as they showed a Raman band at 1120 cm−1, typical of the mineral (Figure 2e,h); the latter, since diffusely found in ancient Egyptian lands [36] and therefore often used in Egyptian art, appears as a bright white pigment [10]. In this case, those white components could be considered either as pigment or an integral part of the substrate together with the detected calcite. In fact, some of the analysed points were quite ruined; it is possible that both the fluorescence and the bands of the mentioned white substances were due to the contribution of the cartonnage support of the paint.
3.2. Laboratory Analyses
The elemental analyses allowed the detection, on all the samples, of a high percentage in calcium, silicon, aluminium, magnesium and potassium, possibly due to the presence of a calcareous/siliceous matrix mixed with the pigments. However, each sample presented a characteristic composition pattern deriving, as later confirmed by the FTIR and VIL analyses, from the pigments on the surface.
The results of the semi-quantitative chemical analysis obtained by means of the Hitachi TM-1000 SEM-EDXS are described in Table 2. The values are normalised to 100%.
Table 2.
Percentage by weight (wt%) of the elements in the analysed samples.
In samples 1, 5 and 6 the presence of copper is relevant (above 4%), suggesting the presence of a Cu-based pigment.
As an example, the EDX spectrum of the black sample 5 is reported in Figure 3a.
Figure 3.
(a) EDX spectrum of sample 5 and respective SEM micrograph of the analysed area; (b) EDX spectrum of sample 2 and respective SEM micrograph of the analysed area.
In Figure 3b, the EDX spectrum obtained on the red sherd (sample 2) and the related micrograph are shown. It is characterised, aside from the main elements, by quite high iron content; the presence of iron and the absence of any other element that relates to a red pigment, lead to our hypothesising the presence of red ochre (Fe2O3) in that sample.
The elemental analysis of green sample 3 seems to be characterised particularly by iron, in addition to elements such as potassium, aluminium and magnesium. Given both the high percentage of iron (10.30%) and the green colour of the sample, those results suggested the presence of green earth in the sample, in which those elements are typically present [37,38,39,40].
In order to map the elements’ distribution, further elemental analyses were performed by the Hitachi TM-4000 SEM-EDXS instrument.
For example, observing Figure 4 and Figure 5, the morphology of samples 1 and 6 and the distribution of the detected elements can be seen. Calcium in the black-blue sample 1 was mainly distributed in the upper part of the picture, which is the part of the fragment where the preparation white layer arises; sulfur, probably present as sulphate, appeared more present between the part rich in calcium and the pigment, but, in any case, was widespread on the sample. All the other elements, except for oxygen, were distributed homogeneously over the entire surface of the sample and were found occasionally and randomly on the area examined. It is worth mentioning again that all the micro-photographies and the false colour maps were obtained on the samples; as such, it was not possible to achieve any stratigraphies.
Figure 4.
SEM-EDXS analysis of sample 1. (a) BSE image; (b) false colour SEM-EDXS map obtained from the analysis of the sample surface; (c) EDX spectrum obtained from the analysis of the sample surface; (d) SEM-EDXS map of Ca, O, Si, Cl, S, Al, Mg, K, Fe, Cu.
Figure 5.
SEM-EDXS analysis of sample 6. (a) EDX spectrum obtained from the analysis of the sample surface; (b) BSE image; (c) false colour SEM-EDXS map obtained from the analysis of the sample surface; (d) SEM-EDXS map of Si, Ca, Cu, S, Cl, Mg.
In Figure 5, it is possible to observe the granulometry of the light blue sample 6. When observing the sample with the stereomicroscope, it was already possible to see the individual grains of the pigment composing the paint film. Obviously, by means of the SEM, this aspect can be observed in greater detail (Figure 5b), and it can therefore be stated that the pigment present on sample 6 is composed of individual coarse granules compared to all other samples; the latter, in fact, presented a more compact surface.
In addition, one can also observe the heterogeneous distribution of copper on several points (Figure 5f); it could therefore be hypothesised that this element is indicative of its use as a chromophore substance on the surface.
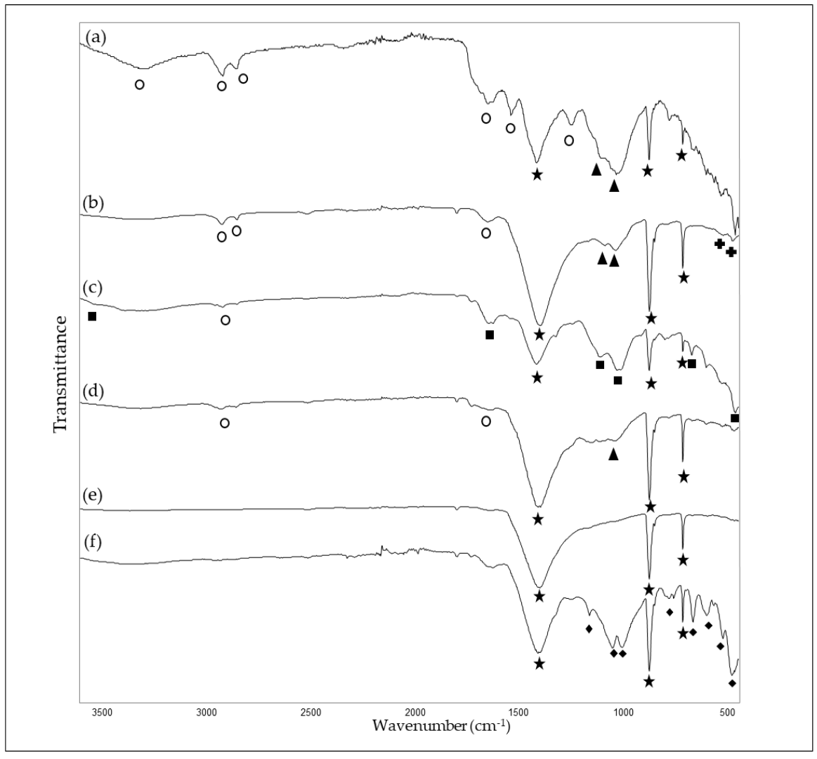
Successively, the samples were analysed by ATR-FTIR spectroscopy (Figure 6).
Figure 6.
ATR-FTIR spectra of: (a) sample 1; (b) sample 2; (c) sample 3; (d) sample 4; (e) sample 5; (f) sample 6. Stars indicate calcite peaks, circles organic material peaks, triangles silicates peaks, plus ochre peaks, squares green earth peaks and rhombuses Egyptian blue peaks.
All the spectra were characterised by the presence of calcium carbonate, identified by the bands at 1403–1430, 871 and 712 cm−1, which allows one to further confirm the presence of calcite [22,34,41].
The spectrum of the red sample 2 (Figure 6b) suggests again what was hypothesised before: indeed, besides the strong bands of calcite, the peaks at 1089 and 1033 cm−1 of silicates [34,42] and the ones at 530 and 470 cm−1 [15,25,43,44,45] of red ochre are visible.
In Figure 6c, the ATR-FTIR spectrum of green sample is shown. The characteristic bands at 1645, 1107, 1027, 792, 469 cm−1 confirm the presence of the green earth pigment [34,46]. More precisely, the bands are associated with silicate minerals characteristic of both celadonite and glauconite. In fact, both celadonite K(Mg, Fe2+)(Fe3+, Al)Si4O10(OH)2 and glauconite (K, Na)(Fe3+, Al, Mg)2(Si, Al)4O10(OH)2 appear to be constituents of green earth pigment [42]. Celadonite was identified by peaks at 3538, 1645, 1107, 792 cm−1, while glauconite from peaks at 1027, 469 cm−1 [34,47,48,49].
On the basis of the relative intensities of the peaks, it seems that glauconite was the main component. In fact, the strongest band in the spectrum is the one at 1027 cm−1 of the just-mentioned glauconite, and it is possibly hiding the celadonite’s strongest peak at 977 cm−1.
The ATR-FTIR spectrum of white sample 4 (Figure 6d) mainly shows the characteristic peaks of calcite centred at 1404, 871, 712 cm−1. Moreover, the characteristic peaks of silicates around 1035 cm−1 are present in the spectrum [34,42].
The spectrum of the light blue sample (Figure 6f) showed the peculiar signals of Egyptian blue (CaCuSi4O10), represented by the typical features with bands at 1159, 1049, 1004, 754, 662, 595, 563, 519 cm−1 [1,25,37,50].
The same analysis, performed on the dark blue (Figure 6a) and black samples (Figure 6e), was not as clear as for sample 6. Indeed, in spectrum 6e, only calcite is detectable; in spectrum 6a, in addition to the bands related to calcite, it is only possible to observe the peaks related to silicates around 1032 cm−1.
Not having identified possible pigments related to the presence of copper in samples 1 and 5, some VIL analyses were performed on all samples. In fact, this technique is well known to be particularly useful in identifying Egyptian blue [51,52,53]. In particular, this pigment is characterised by the high fluorescence band in the NIR spectrum at 910 nm, excited by visible light at about 650 nm [5,7,54]. VIL has eventually allowed detection of the presence of Egyptian blue in 1 and 5 samples, as well as obviously confirming it in sample 6 (Figure 7), proving to be an extremely powerful technique for the identification of that particular substance; it was effective even in those cases where the other techniques failed.
Figure 7.
For each sample, from left to right: visible illuminated image, not illuminated image, and LED source (640 nm) illuminated VIL image of (a) sample 1; (b) sample 2; (c) sample 3; (d) sample 5; (e) sample 4; (f) sample 6.
Finally, it is important to mention that the ATR-FTIR technique pointed out the presence of some organic binders in the dark blue sample 1 and probably in samples 2, 3 and 4 as well (Figure 6). Indeed, the spectrum shows bands of the symmetric and anti-symmetric C-H stretching mode at about 2926 and 2856 cm−1, the N-H stretching at about 3300 cm−1, the amide I at 1649 cm−1 and II at 1534 cm−1 typical of amides; also, the double bond C-O stretching at 1730 cm−1 and the single C-O bond bending at 1248 cm−1 typical of lipids are present [55,56]. The comparison between the spectrum from the Egyptian sample and the references found in the literature led to our thinking that the binder could have been prepared with whole egg or egg yolk, which is suggested by the contemporary appearance of fats’ (such as triglycerides and cholesterol) and proteins’ signals [3,24,57]. On the other hand, it is not to exclude that the presence of some organic substances’ signals was due to the underlying cartonnage. In fact, to achieve this technique in Egyptian funerary art, scraps of linen or papyrus were stuck together with plaster or resins and used to make sarcophagi and mummy masks. After the material dried, it could be painted or gilded [58,59]. The presence of all these organic compounds in almost all of the samples also gave reason for the intense fluorescence background described previously.
In Table 3, the results are resumed. The elements detected in the SEM-EDXS analyses, the peaks of the ATR-FTIR and Raman spectra are reported. Moreover, a tick denotes where VIL analyses were performed.
Table 3.
SEM-EDXS, ATR-FTIR, Raman and VIL results.
4. Discussion
In Table 4, a summary of the results is shown. All the elements/compounds that were identified by means of each analytical technique and each sample, together with the proposed pigment, are reported.
Table 4.
Summary of the results obtained by means of the different instrumental techniques.
Based on the obtained results, it can be declared that the materials employed for the painting of the sarcophagus involved mainly the use of natural pigments, besides the synthetic Egyptian blue.
Indeed, in addition to mineral calcite and (possibly) huntite used as both white pigments and as extenders, red ochre, green earth and carbon black were utilised for the corresponding colours.
As previously mentioned, the samples were analysed as such, and no polished sections were prepared. Nevertheless, some considerations can be made, particularly about black-blue and white fragments.
First of all, in the white sample 4, no specific pigments were found, barring calcite, whereas some huntite was found in black-blue and light blue samples. This led to our thinking that calcite could either have been used as a white pigment or that its presence on the white sample was due the white preparation layer. Following that hypothesis, the white parts of the sarcophagus could be obtained not by painting with a white pigment, but instead using the so-called a risparmio technique, which consist of leaving the background uncovered instead of building up the colour.
Furthermore, since the first observation of the black-blue samples 1 and 5 under the stereomicroscope at 3× magnification, it was possible to see that the samples were the result of a mixture, or, better still, a superimposition of more pigments, because the samples appeared to be black with some blue undertones.
In fact, after having found carbon black with in situ Raman analyses, just SEM-EDXS evidenced copper as a possible source of some blue shade, whereas FTIR did not find any traces of blue pigments. In this case, VIL was a necessary tool for disclosing the underlying Egyptian blue layer of those samples. It is to be stressed that the identification of that pigment with VIL was possible because of the great extent of the fluorescence in general, which gives an incredibly low detection limit to the technique compared to other spectroscopic methods, especially because of the peculiar NIR fluorescence of Egyptian blue. This made it possible to detect its presence undoubtedly, even if covered with carbon black painting. In fact, what is extraordinary in fluorescence in general and, therefore, in its near infrared application as well, is the intensity of its signal compared to the background. The phenomenon can be observed in Figure 7a,d,f: before the samples were illuminated, just a dark background was visible (Figure 7, mid pictures); after illuminating the Egyptian blue particles with the LED, they suddenly shined—this was caused by their own NIR fluorescence—and appeared as stars in the night sky, since any other molecule/substance did not shine.
We believe that the overpainting was not completely covering the blue; better still, there were some imperceptible (by the stereomicroscope observation) cracks/holes on the black layer, wherefrom the Egyptian blue fluorescence came.
The discovery of that Egyptian blue layer, together with the presence of the same pigment in the light blue sample, was of foremost importance; it eliminated almost any possible doubt on the authenticity of the coffin cover. In fact, it is reported in the literature that the use of Egyptian blue was abandoned in ancient times since the know-how for its production was lost with the decline of the Roman Empire [60]; Egyptian blue had been utilised in Egypt from the 3rd millennium B.C. up to the Roman period [12], after which period the pigment was hardly ever used. It is reported in the literature that the secret to producing Egyptian blue was lost at some point in the late Roman period [61]. Moreover, no documented evidence of its production after that period has been found [12].
It is, furthermore, to be stressed that the widespread presence of organic substances was assessed by FTIR spectroscopy. Especially based on the presence of the peculiar amide I and amide II of proteins and amino acids, our hypothesis was that some protein-based binder was used for painting, even though it was not possible to establish which one. The simultaneous appearance of the inorganic substances’ signals probably covers some additional important bands that might aid in the challenging—but not impossible—characterisation of the binder through FTIR spectroscopy.
It might be possible to identify the organic components by performing the analyses via the GC-MS technique. In fact, some fractions of the micro-samples examined with FTIR will be part of further research, specifically dedicated to the identification of organic binders in archaeological findings.
From the point of view of the analytical approach, it has been highlighted that the portable instrumentation, i.e., just Raman spectroscopy in this case, was suitable for the identification of calcite and carbon black. The employment of the portable device provided a rapid and effective overview directly on the sarcophagus for the white and black colours only, probably because the high fluorescence background covered the majority of the other substances’ Raman signals. Therefore, it was necessary to take some samples from the cover in order to achieve the characterisation of the pigments with the employment of laboratory techniques.
5. Conclusions
A multi-analytical approach was applied to study the pigments used for the decoration of the anthropomorphic sarcophagus. In particular, the combined use of the different techniques allowed for the disclosure of the entire palette employed by the artists.
The instrumental survey highlighted the employment of quite a simple colour palette, where, apart from Egyptian blue, only earth pigments and carbon black were found. This result is in accordance with typical Egyptian manufacturing and consistent with the data present in the literature. Furthermore, it can be declared that the applied strategical analytical procedure facilitated the rapid and micro-invasive performance of the analyses.
This study has made it possible to gather important new information about the chemical composition of the artifact, which can be crucial for archaeologists and art historians as well as restorers. In particular, the restauration of these artifacts must be carried out very carefully, as they are multi-material artworks which often have no finishing layer. In fact, knowing the painting technique and which pigments have been recognised is vital for proper cleaning. Moreover, such approaches can provide missing information to art historians and archaeologists in terms of the artwork authenticity and historical period of production. Particular attention should be paid to the fact that the pointing out of Egyptian blue, especially under the black layers, strongly leads to the authentication of the finding.
Further developments of this work may certainly include the validation of several of the presented hypotheses. Specifically, additional investigations will be carried out to determine the nature of the binders using other analytical techniques such as gas chromatography coupled with mass spectrometry (GC-MS) or high-performance liquid chromatography (HPLC). These analyses may unveil the chemical nature of the samples’ organic fraction.
Author Contributions
Conceptualization, V.G. and C.A.L.; methodology, A.B., V.C., P.F., V.G., C.A.L. and L.T.; formal analysis, V.C., P.F., V.G. and C.A.L.; investigation V.G., C.A.L.; data curation V.C., P.F., V.G., C.A.L. and L.T.; writing—original draft preparation, V.G. and C.A.L.; writing—review and editing, A.B., V.G. and C.A.L.; supervision, V.C. and V.G.; project administration, P.F. and V.G. All authors have read and agreed to the published version of the manuscript.
Funding
Authors have received no external funding.
Institutional Review Board Statement
Not applicable.
Informed Consent Statement
Not applicable.
Data Availability Statement
Not applicable.
Acknowledgments
We would like to acknowledge Daniel Barchewitz (B&W Tek), Maria Grazia Garavaglia (Perkin Elmer) and Massimo Tagliaferro (Nanovision). We are also grateful to Davide Manzini (MADAtec) for his assistance during some VIL measurements and Steven Corradi for his valuable proofreading. Finally, we would like to thank Patrizia Piacentini and the artefact collector Solange Zanni, without whom this work would not have been possible.
Conflicts of Interest
The authors declare no conflict of interest.
References
- Fermo, P.; Piazzalunga, A.; de Vos, M.; Andreoli, M. A Multi-Analytical Approach for the Study of the Pigments Used in the Wall Paintings from a Building Complex on the Caelian Hill (Rome). Appl. Phys. A Mater. Sci. Process. 2013, 113, 1109–1119. [Google Scholar] [CrossRef]
- Bonizzoni, L.; Bruni, S.; Guglielmi, V.; Milazzo, M.; Neri, O. Field and Laboratory Multi-Technique Analysis of Pigments and Organic Painting Media from an Egyptian Coffin (26th Dynasty). Archaeometry 2011, 53, 1212–1230. [Google Scholar] [CrossRef]
- Bonizzoni, L.; Bruni, S.; Gargano, M.; Guglielmi, V.; Zaffino, C.; Pezzotta, A.; Pilato, A.; Auricchio, T.; Delvaux, L.; Ludwig, N. Use of Integrated Non-Invasive Analyses for Pigment Characterization and Indirect Dating of Old Restorations on One Egyptian Coffin of the XXI Dynasty. Microchem. J. 2018, 138, 122–131. [Google Scholar] [CrossRef]
- David, A.R.; Edwards, H.G.M.; Farwell, D.W.; de Faria, D.L.A. Raman Spectroscopic Analysis of Ancient Egyptian Pigments. Archaeometry 2001, 43, 461–473. [Google Scholar] [CrossRef]
- Hallmann, A.; Rickerby, S.; Shekede, L. Blue and Green in the Decoration of a Kushite Chapel in Karnak, Egypt: Technical Evaluation Using Low-Tech, Non-Invasive Procedures. J. Archaeol. Sci. Rep. 2021, 39, 103190. [Google Scholar] [CrossRef]
- Pagès-Camagna, S.; Raue, D. Coloured Materials Used in Elephantine: Evolution and Continuity from the Old Kingdom to the Roman Period. J. Archaeol. Sci. Rep. 2016, 7, 662–667. [Google Scholar] [CrossRef]
- Pozza, G.; Ajò, D.; Chiari, G.; de Zuane, F.; Favaro, M. Photoluminescence of the Inorganic Pigments Egyptian Blue, Han Blue and Han Purple. J. Cult. Herit. 2000, 1, 393–398. [Google Scholar] [CrossRef]
- Sakr, A.; Tawab, N.A.; Mahmoud, A.; Ghaly, M.F.; Edwards, H.G.M.; Elbashar, Y.H. New Insights on Plasters, Pigments and Binder in Mural Paintings of the Setka Tomb (QH 110), Elephantine, Aswan, Upper Egypt. Spectrochim. Acta A Mol. Biomol. Spectrosc. 2021, 263, 120153. [Google Scholar] [CrossRef]
- Luzzatto, L.; Pompas, R. Il Significato Dei Colori Nelle Civiltà Antiche, 3rd ed.; Bompiani: Milano, Italy, 2010. [Google Scholar]
- Aliatis, I.; Bersani, D.; Campani, E.; Casoli, A.; Lottici, P.P.; Mantovan, S.; Marino, I.G. Pigments Used in Roman Wall Paintings in the Vesuvian Area. J. Raman Spectrosc. 2010, 41, 1537–1542. [Google Scholar] [CrossRef]
- Marzoni Fecia Di Cossato, Y.; Ronca, F. Pigmenti e legante organico nei frammenti di terracotta provenienti dal tempio di Tutmosi IV (Tebe ovest, Egitto). Egitto E Vicino Oriente 1993, 16, 73–85. [Google Scholar]
- FitzHugh, E.W. Artists’ Pigments, A Handbook of Their History and Characteristics; National Gallery of Art: Washington, DC, USA, 2012; Volume 3. [Google Scholar]
- Liu, M.; Peng, Z.; Wang, X.; He, Y.; Huang, S.; Wan, J.; Wang, B.; Zhou, Y.; Yang, H.; Zheng, H. The Effect of High Energy Ball Milling on the Structure and Properties of Two Greenish Mineral Pigments. Dye. Pigment. 2021, 193, 109494. [Google Scholar] [CrossRef]
- Rinaldi, S.; Quartullo, G.; Milaneschi, A.; Pietropaoli, R.; Occorsio, S.; Costantini Scala, F.; Minunno, G.; Virno, C. La Fabbrica Dei Colori: Pigmenti e Coloranti Nella Pittura e Nella Tintoria; Il bagatto: Roma, Italy, 1995. [Google Scholar]
- Guglielmi, V.; Andreoli, M.; Comite, V.; Baroni, A.; Fermo, P. The Combined Use of SEM-EDX, Raman, ATR-FTIR and Visible Reflectance Techniques for the Characterisation of Roman Wall Painting Pigments from Monte d’Oro Area (Rome): An Insight into Red, Yellow and Pink Shades. Environ. Sci. Pollut. Res. 2022, 29, 29419–29437. [Google Scholar] [CrossRef] [PubMed]
- Dodd, L.S.; Scott, D.A.; Nikias, G.A.; Au, J.; Ramos, A. The ritual significance of colour specialised pigments in a wooden Egyptian funerary statuette from the New Kingdom. J. Egypt. Archaeol. 2009, 95, 83–104. [Google Scholar] [CrossRef]
- Edwards, H.G.M.; Jorge Villar, S.E.; Eremin, K.A. Raman Spectroscopic Analysis of Pigments from Dynastic Egyptian Fu-nerary Artefacts. J. Raman Spectrosc 2004, 35, 786–795. [Google Scholar] [CrossRef]
- Gargano, M.; Bonizzoni, L.; Grifoni, E.; Melada, J.; Guglielmi, V.; Bruni, S.; Ludwig, N. Multi-Analytical Investigation of Panel, Pigments and Varnish of The Martyirdom of St. Catherine by Gaudenzio Ferrari (16th Century). J. Cult. Herit. 2020, 46, 289–297. [Google Scholar] [CrossRef]
- Moussa, A.; Badawy, M.; Saber, N. Chromatic Alteration of Egyptian Blue and Egyptian Green Pigments in Pharaonic Late Period Tempera Murals. Sci. Cult. 2021, 7, 1–15. [Google Scholar] [CrossRef]
- Elkhial, M.M.; el Hadidi, N.M.N. Multi-instrumental investigation and analysis of a unique ancient Egyptian wooden obelisk (New Kingdom) at the Grand Egyptian Museum. Sci. Cult. 2022, 8, 1–14. [Google Scholar] [CrossRef]
- Abdallah, M.; Abdrabou, A.; Kamal, H.M. Multiscientific Analytical Approach of Polychrome Greco-Roman Palette Applied on a Wooden Model Naos: Case Study. Mediterr. Archaeol. Archaeom. 2020, 20, 45–65. [Google Scholar] [CrossRef]
- Bruni, S.; Guglielmi, V.; della Foglia, E.; Castoldi, M.; Bagnasco Gianni, G. A Non-Destructive Spectroscopic Study of the Decoration of Archaeological Pottery: From Matt-Painted Bichrome Ceramic Sherds (Southern Italy, VIII-VII B.C.) to an Intact Etruscan Cinerary Urn. Spectrochim. Acta A Mol. Biomol. Spectrosc. 2018, 191, 88–97. [Google Scholar] [CrossRef]
- D’amico, S.; Comite, V.; Paladini, G.; Ricca, M.; Colica, E.; Galone, L.; Guido, S.; Mantella, G.; Crupi, V.; Majolino, D.; et al. Multitechnique Diagnostic Analysis and 3D Surveying Prior to the Restoration of St. Michael Defeating Evil Painting by Mattia Preti. Environ. Sci. Pollut. Res. 2021, 29, 29478–29497. [Google Scholar] [CrossRef]
- Fermo, P.; Mearini, A.; Bonomi, R.; Arrighetti, E.; Comite, V. An Integrated Analytical Approach for the Characterization of Repainted Wooden Statues Dated to the Fifteenth Century. Microchem. J. 2020, 157, 105072. [Google Scholar] [CrossRef]
- Guglielmi, V.; Comite, V.; Andreoli, M.; Demartin, F.; Lombardi, C.A.; Fermo, P. Pigments on Roman Wall Painting and Stucco Fragments from the Monte d’Oro Area (Rome): A Multi-Technique Approach. Appl. Sci. 2020, 10, 7121. [Google Scholar] [CrossRef]
- Abdelmoniem, A.M.; Mahmoud, N.; Mohamed, W.S.; Ewais, A.Y.; Abdrabou, A. Archaeometric Study of a Polychrome Wooden Coffin from 26th Dynasty-Egypt. Mediterr. Archaeol. Archaeom. 2020, 20, 7–17. [Google Scholar] [CrossRef]
- Shams, A.H.; Alkaradawi, A.S.; Eloriby, R.A. Chemical characterization and manufacturing technology of some lustre ceramic dishes of the Abbasid Period, Northen Egypt. Mediterr. Archaeol. Archaeom. 2022, 22, 50–66. [Google Scholar] [CrossRef]
- Ali, M.F.; Abd Elkawy, M.H. Physical Analysis and Treatment of Disintegrated Islamic Mural Paintings from the 15th Century Taqi Aldin Albistami Hospice. Sci. Cult. 2021, 7, 45–56. [Google Scholar]
- Hornung, E.; Krauss, R.; Warburton, D. Ancient Egyptian Chronology; Brill: Leiden, The Netherlands, 2006; ISBN 9789004113855. [Google Scholar]
- Dyer, J.; Sotiropoulou, S. A Technical Step Forward in the Integration of Visible-Induced Luminescence Imaging Methods for the Study of Ancient Polychromy. Herit Sci 2017, 5, 24. [Google Scholar] [CrossRef]
- Accorsi, G.; Verri, G.; Bolognesi, M.; Armaroli, N.; Clementi, C.; Miliani, C.; Romani, A. The Exceptional Near-Infrared Luminescence Properties of Cuprorivaite (Egyptian Blue). Chem. Commun. 2009, 23, 3392–3394. [Google Scholar] [CrossRef]
- Triolo, P.A.M.; Spingardi, M.; Costa, G.A.; Locardi, F. Practical Application of Visible-Induced Luminescence and Use of Parasitic IR Reflectance as Relative Spatial Reference in Egyptian Artifacts. Archaeol Anthr. Sci. 2019, 11, 5001–5008. [Google Scholar] [CrossRef]
- Burgio, L.; Clark, R.J.H. Library of FT-Raman Spectra of Pigments, Minerals, Pigment Media and Varnishes, and Supplement to Existing Library of Raman Spectra of Pigments with Visible Excitation. Spectrochim. Acta Part A 2001, 57, 1491–1521. [Google Scholar] [CrossRef]
- Chukanov, N.V. Infrared Spectra of Mineral Species, 3rd ed.; Springer: Berlin, Germany, 2014; pp. 14–1726. [Google Scholar]
- Chukanov, N.V.; Chervonnyi, A.D. Infrared Spectroscopy of Minerals and Related Compounds; Springer: Berlin, Germany, 2016. [Google Scholar]
- Ambers, J. Raman Analysis of Pigments from the Egyptian Old Kingdom. J. Raman Spectrosc. 2004, 35, 768–773. [Google Scholar] [CrossRef]
- Edreira, M.C.; Feliu, M.J.; Fernández-Lorenzo, C.; Martín, J. Spectroscopic Study of Egyptian Blue Mixed with Other Pigments. Helv. Chim. Acta 2003, 86, 29–49. [Google Scholar] [CrossRef]
- Darwish, S.S. Scientific investigation of the materials and techniques used in a 19th Century Egyptian cementery wall painting (Hawsh Al-Basha). Int. J. Conserv. Sci. 2013, 4, 145–152. [Google Scholar]
- Marey Mahmoud, H.H. Identification of Green Earth Pigments in Coptic Wall Paintings Using ESEM-EDX, FTIR Imaging and Visible Reflectance Spectroscopy. Estud. De Conserv. E Restauro 2014, 5, 68–76. [Google Scholar] [CrossRef]
- Cerrato, E.J.; Cosano, D.; Esquivel, D.; Jiménez-Sanchidrián, C.; Ruiz, J.R. Spectroscopic Analysis of Pigments in a Wall Painting from a High Roman Empire Building in Córdoba (Spain) and Identification of the Application Technique. Microchem. J. 2021, 168, 106444. [Google Scholar] [CrossRef]
- Andersen, F.A.; Brecevic, L. Infrared Spectra of Amorphous and Crystalline Calcium Carbonate. Acta Chem. Scand. 1991, 45, 1018–1024. [Google Scholar] [CrossRef]
- Genestar, C.; Pons, C. Earth Pigments in Painting: Characterisation and Differentiation by Means of FTIR Spectroscopy and SEM-EDS Microanalysis. Anal. Bioanal. Chem. 2005, 382, 269–274. [Google Scholar] [CrossRef] [PubMed]
- Helwig, K. The Characterisation of Iron Earth Pigments Using Infrared Spectroscopy, in Postprints of IRUG2; Pretzel, B., Ed.; Victoria & Albert Museum (V&A): London, UK, 1998; pp. 83–91. [Google Scholar]
- Mortimore, J.L.; Marshall, L.J.R.; Almond, M.J.; Hollins, P.; Matthews, W. Analysis of Red and Yellow Ochre Samples from Clearwell Caves and Çatalhöyük by Vibrational Spectroscopy and Other Techniques. Spectrochim. Acta A Mol. Biomol. Spectrosc. 2004, 60, 1179–1188. [Google Scholar] [CrossRef]
- Bikiaris, D.; Daniilia, S.; Sotiropoulou, S.; Katsimbiri, O.; Pavlidou, E.; Moutsatsou, A.; Chryssoulakis, Y. Ochre-Differentiation through Micro-Raman and Micro-FTIR Spectroscopies: Application on Wall Paintings at Meteora and Mount Athos, Greece. Spectrochim. Acta Part A 1999, 56, 3–18. [Google Scholar] [CrossRef]
- Feller, R.L. Artists’ Pigments, A Handbook of their History and Characteristics; National Gallery of Art: Washington, DC, USA, 2012; Volume 1. [Google Scholar]
- Ospitali, F.; Bersani, D.; di Lonardo, G.; Lottici, P.P. “Green Earths”: Vibrational and Elemental Characterization of Glauconites, Celadonites and Historical Pigments. J. Raman Spectrosc. 2008, 39, 1066–1073. [Google Scholar] [CrossRef]
- Vahur, S.; Teearu, A.; Peets, P.; Joosu, L.; Leito, I. ATR-FT-IR Spectral Collection of Conservation Materials in the Extended Region of 4000-80 Cm–1. Anal. Bioanal. Chem. 2016, 408, 3373–3379. [Google Scholar] [CrossRef]
- IRUG-Infrared Raman Users Group. Available online: http://www.irug.org (accessed on 12 January 2023).
- Vahur, S.; Teearu, A.; Leito, I. ATR-FT-IR Spectroscopy in the Region of 550-230 Cm-1 for Identification of Inorganic Pigments. Spectrochim. Acta A Mol. Biomol. Spectrosc. 2010, 75, 1061–1072. [Google Scholar] [CrossRef] [PubMed]
- Manfredda, N.; Buscaglia, P.; Gallo, P.; Borla, M.; Aicardi, S.; Poggi, G.; Baglioni, P.; Nervo, M.; Scalarone, D.; Borghi, A.; et al. An Ancient Egyptian Multilayered Polychrome Wooden Sculpture Belonging to the Museo Egizio of Torino: Characterization of Painting Materials and Design of Cleaning Processes by Means of Highly Retentive Hydrogels. Coatings 2021, 11, 1335. [Google Scholar] [CrossRef]
- Ramadan, S.; Mahgoub, G.; ElHagrassy, A.F.; Abdel-Aziz, M.S.; Mertah, E. Investigation and Characterization of Two Painted Limestone Stelae, Egyptian Museum, Cairo, Egypt. Egypt J. Chem. 2022, 65, 89–102. [Google Scholar] [CrossRef]
- Susanna, B.; Cantisani, E.; Conti, C.; Magrini, D.; Silvia, V.; Tomassini, P.; Marano, M. Enriching the Knowledge of Ostia Antica Painted Fragments: A Multi-Methodological Approach. Spectrochim. Acta A Mol. Biomol. Spectrosc. 2022, 265, 120260. [Google Scholar] [CrossRef]
- Verri, G. The Spatially Resolved Characterisation of Egyptian Blue, Han Blue and Han Purple by Photo-Induced Luminescence Digital Imaging. Anal. Bioanal. Chem. 2009, 394, 1011–1021. [Google Scholar] [CrossRef]
- Nodari, L.; Ricciardi, P. Non-Invasive Identification of Paint Binders in Illuminated Manuscripts by ER-FTIR Spectroscopy: A Systematic Study of the Influence of Different Pigments on the Binders’ Characteristic Spectral Features. Herit. Sci. 2019, 7, 7. [Google Scholar] [CrossRef]
- Bruni, S.; Guglielmi, V. Identification of Archaeological Triterpenic Resins by the Non-Separative Techniques FTIR and 13C NMR: The Case of Pistacia Resin (Mastic) in Comparison with Frankincense. Spectrochim. Acta A Mol. Biomol. Spectrosc. 2014, 121, 613–622. [Google Scholar] [CrossRef] [PubMed]
- Invernizzi, C.; Rovetta, T.; Licchelli, M.; Malagodi, M. Mid and Near-Infrared Reflection Spectral Database of Natural Organic Materials in the Cultural Heritage Field. Int. J. Anal. Chem. 2018, 2018, 7823248. [Google Scholar] [CrossRef]
- Scott, D.A.; Warmlander, S.; Mazurek, J.; Quirke, S. Examination of Some Pigments, Grounds and Media from Egyptian Cartonnage Fragments in the Petrie Museum, University College London. J. Archaeol. Sci. 2009, 36, 923–932. [Google Scholar] [CrossRef]
- Scott, D.A.; Dodd, L.S.; Furihata, J.; Tanimoto, S.; Keeney, J.; Schilling, M.R.; Cowan, E. An Ancient Egyptian Cartonnage Broad Collar: Technical Examination of Pigments and Binding Media. Stud. Conserv. 2004, 49, 177. [Google Scholar] [CrossRef]
- Nicola, M.; Seymour, L.M.; Aceto, M.; Priola, E.; Gobetto, R.; Masic, A. Late Production of Egyptian Blue: Synthesis from Brass and Its Characteristics. Archaeol. Anthr. Sci. 2019, 11, 5377–5392. [Google Scholar] [CrossRef]
- Orna, M.V.; Low, M.J.D.; Baer, N.S. Synthetic Blue Pigments: Ninth to Sixteenth Centuries. I. Literature. Stud. Conserv. 1980, 25, 53–63. [Google Scholar]
Disclaimer/Publisher’s Note: The statements, opinions and data contained in all publications are solely those of the individual author(s) and contributor(s) and not of MDPI and/or the editor(s). MDPI and/or the editor(s) disclaim responsibility for any injury to people or property resulting from any ideas, methods, instructions or products referred to in the content. |
© 2023 by the authors. Licensee MDPI, Basel, Switzerland. This article is an open access article distributed under the terms and conditions of the Creative Commons Attribution (CC BY) license (https://creativecommons.org/licenses/by/4.0/).







