Next Article in Journal
Visitors’ Perception Regarding Floating Treatment Wetlands in an Urban Green Space: Functionality and Emotional Values
Previous Article in Journal
The Paradigm of Circular Economy and an Effective Electronic Waste Management
 
 
Font Type:
Arial Georgia Verdana
Font Size:
Aa Aa Aa
Line Spacing:
Column Width:
Background:
Article

Environmental Regulation and Green Technology Innovation under the Carbon Neutrality Goal: Dual Regulation of Human Capital and Industrial Structure

1
School of Economics, Beijing Technology and Business University, No. 33 Fucheng Road, Haidian District, Beijing 100048, China
2
Institute of International and Comparative Education, Beijing Normal University, No. 19, Xinjiekouwai Street, Haidian District, Beijing 100088, China
*
Author to whom correspondence should be addressed.
Sustainability 2023, 15(3), 2001; https://doi.org/10.3390/su15032001
Submission received: 12 December 2022 / Revised: 17 January 2023 / Accepted: 17 January 2023 / Published: 20 January 2023
(This article belongs to the Section Environmental Sustainability and Applications)

Abstract

Green technology innovation is increasingly becoming an important driver of modern development. Facing the pressure of the carbon neutrality target, China has been strengthening environmental regulations in recent years, and the green technology innovation ability of market players has been affected. Moreover, the impact of environmental regulations on green technology innovation and the strategies to develop green technology innovation still need to be further explored. Here, we used 285 cities from 2010–2020 as research subjects, constructed indicators such as environmental regulation and green technology innovation capability, and used panel regression, threshold effect and mediating effect methods. The results reveal that: (1) environmental regulation has a disincentive effect on green technology innovation, as increased environmental regulation increases production costs, external costs and opportunity costs for firms, causing a mismatch of resources and creating a “crowding-out effect” that inhibits innovation development; (2) further study finds that when the human capital level reaches a certain threshold value, the impact of environmental regulation on green technology innovation shifts significantly, i.e., there is a threshold effect; (3) industrial structure can further be upgraded and optimized by environmental regulation, which will have an impact on green technology innovation, thus industrial structure optimization plays a mediating role. We conclude with recommendations for improving green innovation techniques for market players, and provide some lessons for accelerating the goal of carbon neutrality and promoting quality economic development.

1. Introduction

With the deepening of environmental protection, China’s environmental management has significantly increased in effectiveness [1], and the overall ecological and environmental quality has improved. However, by the end of 2020, there were still about one-third of cities where PM2.5 concentrations did not reach the national secondary standard, regional heavy pollution weather processes still occurred from time to time, and the overall trend of the ecological status of key watersheds and the health status of typical marine ecosystems was poor. In September 2020, China proposed the “carbon peaking and carbon neutrality goals”, and important documents were issued by various departments and sectors to actively build a carbon peak and carbon neutral policy system. In October 2021, the State Council issued “the Action Plan for Achieving Carbon Peaks by 2030”, which sets out to strengthen green and low-carbon science and technology innovation actions; and in June 2022, the “Implementation Plan for Science and Technology to Support the Achievement of Peak Carbon and Carbon Neutrality (2022–2030) was released, emphasizing the role of science and technology in achieving carbon neutrality. Therefore, the active development of green technology innovation is a major issue in China and the world at this stage, and it is also at the core of competitiveness of countries, cities, and enterprises [2]. As the world’s largest carbon emitter, China not only faces the dual pressure of economic recovery and its carbon neutrality goal, but also the multiple challenges of accelerating innovation and transformation, speeding up supply-side reform, and promoting industrial structure upgrading. Environmental regulation is an effective path to solve the above problems. While improving ecological quality, it also stimulates technological innovation by imposing environmental constraints on enterprises, thus having an impact on technological innovation transformation, industrial structure upgrading, and high-quality economic development [3]. Generally speaking, scientific and reasonable environmental regulation helps to achieve balanced development of the economy and the environment, but given the stage of China’s economic development, regional regulatory differences, the structure of resource consumption, and the sources of growth drivers, the policy effect of environmental regulation is often not optimal. Therefore, it is of great theoretical and practical significance to study the impact of environmental regulations on the development of green innovation technologies under the carbon neutrality goal, to explore in depth how enterprises can respond to environmental regulations, and to find the key factors that promote and restrict green technology innovation.
There is a rich body of research on environmental regulation and green technology innovation, and most of the literature demonstrates the relationship between the two, arguing that environmental regulation affects green technology innovation directly or indirectly through channels such as costs, industrial structure, investment decisions, and internal corporate management. On this basis, we choose two perspectives, human capital and industrial structure optimization, to analyze more specifically the impact and role of environmental regulation on green technology innovation. On the one hand, human capital is the key to the competitiveness of market players and the driving force of technological innovation, but at the same time it is also strongly influenced by policy regimes. We argue that the level of human capital means there are different responses to environmental regulations at different stages and thus it has different degrees of impact on green technology innovation. On the other hand, in the economic system, the industrial structure plays a crucial role in the development of enterprises, industries, and the country, so policy actions such as environmental regulations can have a serious impact on the industrial structure, and the state of the industrial structure will respond to the specific behavior of market players, ultimately affecting the development process of green technology innovation in China.
Compared to existing studies, this paper’s unique features and contributions are as follows. Firstly, there is a wide range of subjects to study. For this paper, researchers selected panel data of 285 cities from 2010–2020 as the research sample, collated it and constructed a city green patent dataset, which reflects China’s green low-carbon transition and technological progress at a meso level. Secondly, the research perspective is novel. The mechanism of environmental regulation on green technological innovation is analyzed and verified from two perspectives: human capital and industrial structure optimization, providing policy recommendations on how the government should choose environmental regulation policies and how enterprises should respond to environmental regulation at this stage. Finally, the research methodology is reliable. The empirical analysis was tested using panel regression, the threshold effect model, and the mediating effect model, which enriched the empirical research in the relevant neighborhoods and is important for further grasping the applicability of environmental regulation tools.
The rest of this paper is organized as follows. Section 2 provides an overview of the theoretical background and relevant literature on environmental regulation and green technology innovation. In Section 3, we explore the mechanisms by which environmental regulation affects green technology innovation from a theoretical perspective. In Section 4, we focus on the model and related variables used in this study. Section 5 presents the analysis and discussion of the empirical results. Section 6 contains conclusions and policy recommendations.

2. Theoretical Background and Literature Review

2.1. Theoretical Background

Regulation is a way of managing society that lies somewhere between a full laissez-faire free market and full government control. At present, there is still no unified and universal definition of the concept of environmental regulation in academic circles, and the differences are mainly reflected in the differences between environmental regulation subjects and their means [4]. Green technology innovation is derived from the theory of science and technology innovation, which was developed by Schumpeter in 1921 and became the cornerstone of the development of science and technology innovation theory. In 2007, the concept of green technology innovation was put forward by Dong Ying [5]. The improvement of green technology innovation in enterprises is beneficial to the increase of economic benefits and the sustainable development of enterprises. The relationship between environmental regulation and green technology innovation has been the focus of academic attention at home and abroad. Neoclassical economics argues that with the implementation of environmental policies, firms will raise production costs for pollution control in the production process, offsetting the positive externalities generated by environmental regulations on firms, and which therefore are still detrimental to firms overall, adversely affecting the local economy and hindering green technological innovation. The well-known Porter hypothesis [6] puts forward a different viewpoint, pointing out that the reasonable use of environmental regulation can play a stimulating role in enterprise innovation so that enterprises can further improve technology and allocate resources rationally, and finally the “innovation compensation” effect of enterprises can partially or even completely offset the “compliance cost” effect, improve production efficiency, and promote the transformation and upgrading of enterprises.

2.2. Literature Review

Currently, some scholars support Porter’s hypothesis that environmental regulations promote firms’ green technology innovation because they can stimulate the “innovation compensation” effect [7,8,9,10,11]. Another group of scholars believe that environmental regulation will increase the cost of environmental management within the company itself, reduce the investment in R&D, and enhancing the environmental quality will constrain the management sales development model, which in turn will hinder the green technological innovation of the company [12,13,14,15]. Kerui Du et al. [16] argue that when the level of economic development is low, environmental regulation will limit the development of green technology innovation, and as the level of economic development grows, the impact of environmental regulation on green technology innovation will be relatively weak. Further considering the heterogeneity of Porter’s hypothesis, it is found that the impact of environmental regulation on green technology innovation cannot be summarized simply in terms of promotion or inhibition; the relationship between the two is the result of a combination of both positive and negative effects. As the intensity of environmental regulation increases, enterprises will increase their financial investment in green technology R&D and strengthen the scientific and effective use of R&D investment, thus improving the level of green technology innovation; however, as the intensity of environmental regulations increases, the production cost of enterprises gradually increases, and when a certain threshold is crossed, it will lead to an excessive burden on enterprises and inhibit green technological innovation; therefore, environmental regulations and firms’ green technology innovation show an inverted “U” shape in the time and intensity dimensions of promotion followed by inhibition [17,18]. Some scholars hold the opposite view, arguing that firms will choose to accept penalties when the intensity of environmental regulations is low, but will choose to fundamentally reform and increase their R&D investment when the intensity of environmental regulations reaches a certain level [19,20]. Although empirical testing of this research continues to progress, studies do not agree due to differences in environmental regulation, based on different samples and different research methods.
In addition, there are many factors that affect green technology innovation, including regional economic development, policy system and industrial structure on the macro level, and the industry scale, industry type, and innovation in human resources on the micro level. These factors also influence the implementation of environmental regulations, which further act in the mechanism of environmental regulations’ influence on green technology innovation. Therefore, more and more studies will try to investigate the impact of environmental regulations on green technology innovation from the perspectives of government subsidies, investment efforts, human capital, and industrial structure. Taewoo Roh et al. [21] tested the significant effects of corporate intellectual property rights and government support on open innovation, green process innovation, and green product innovation by the partial least squares structural equation method (PLS-SEM), and that open innovation mediates between the two. Yan, Huafei et al. [22] used threshold and mediating effect models to test that foreign direct investment plays a mediating role in the relationship between environmental regulations and the efficiency of industrial green technology innovation. Chen and Shiyi [23] argued through a double difference method that an increase in the intensity of environmental regulations would lead to an allocation of labor from the polluting sector to the clean sector, resulting in an inflow of more highly skilled personnel and promoting high-quality development with dual benefits of human capital accumulation and environmental improvement. Wang, Jingjing et al. [24] conducted empirical analysis and concluded that environmental regulation has a significant positive effect on the advanced industrial structure; the results of the analysis by Honggui Gao and Tian Xiao [25] show that there are significant differences in the role of different environmental regulations on industrial structure optimization, and there is a heterogeneous role of green technology innovation efficiency between different types of environmental regulations and industrial structure optimization. Taewoo Roh et al. [26] demonstrated the direct impact of green activities within firms (green management innovation, green supply chain management, and green innovation, etc.) on environmental performance. They identified the important mediating role of green supply chain management between intellectual property rights and green innovation, and the moderating role of green marketing innovation between green innovation and environmental performance.

3. Theoretical Analysis and Hypothesis Proposal

Environmental regulation, as an effective, preventive, and long-term environmental economic policy instrument, is an important part of environmental economic policy and environmental policy systems, and will have an important impact on the economic activities of market players. Based on neoclassical economic theory and related research, this section analyzes the mechanism and impact of environmental regulation on green technological innovation by combining environmental regulation theory and the characteristics of China’s new economic development stage, as shown in Figure 1.

3.1. Environmental Regulation and Green Technology Innovation

At present, scholars generally believe that the role of environmental regulation on technological innovation is uncertain, i.e., it may promote or inhibit. In this paper, combining the characteristics of China’s market environment and the current situation of green innovation technology development, we believe that the impact of environmental regulation on green technological innovation is more inhibiting than promoting. Based on neoclassical economic theory, it is necessary to invest a lot of money to achieve environmental protection standards, and environmental protection costs will crowd out the original innovation investment; so the existing resource allocation must be adjusted, and ultimately affect the progress of innovation. Specifically for enterprises, on the one hand, the increase in the intensity of environmental regulations will increase the environmental costs faced by enterprises in the production process, including the cost of pollution treatment directly expended by enterprises and the opportunity cost incurred by enterprises by shifting part of their resources from the production area to pollution treatment, thus increasing the pressure on enterprises [14,27]. On the other hand, when the government implements environmental regulation policies or the public actively participates in environmental issues, most of the small and medium-sized enterprises will be subjected to passive pollution taxes or penalties for violating environmental regulation policies because of the market environment and their capacity constraints, so they will eventually spend more resources on end-of-pipe treatment to meet the government’s environmental regulation policies, thus crowding out their R&D funds and forcing them to abandon R&D innovation [28].
To sum up, environmental regulation will increase the cost of enterprises and crowd out their innovative R&D investment in a certain period, and the profit of enterprises will also be significantly reduced, resulting in a vicious circle unfavorable to the development of green technological innovation of market players.
Hypothesis 1.
Environmental regulations will have some degree of inhibitory effect on green technology innovation.

3.2. Human Capital, Environmental Regulation, and Green Technology Innovation

In the context of carbon neutrality, the government continues to strengthen environmental regulations, and it is an inevitable trend for countries, cities, and enterprises to develop green innovation technologies. The main body of technological innovation is people, and the quality of talent affects the depth and height of innovation. Human capital can transform the knowledge embedded in individuals into real productivity and drive the development of green innovation [29], and the level of human capital investment is influenced to some extent by the intensity of environmental regulations in a region [30,31,32]. With the booming trend of a knowledge-based economy, human capital gradually becomes a key factor affecting the efficiency of green technology innovation and acts in the process of environmental regulation’s influence on green technology innovation. On the one hand, the improvement of the human capital factor is conducive to giving full play to the pushback effect of environmental regulations on green technological innovation, which can guide more allocation of high-quality human capital to high-risk and high-reward innovation activities, and also guide the transformation of low-skilled labor to high-skilled labor, optimize the human capital structure and improve the overall human capital quality, thus promoting green technological innovation [33]. On the other hand, when human capital reaches a certain level, it can overcome the shortage of production factors of enterprises through the advancement of knowledge and reduce the negative impact of lack of green technology innovation capacity caused by an insufficient capital investment of enterprises due to environmental regulations, showing a certain substitution effect.
In summary, human capital will stimulate the potential of market players to innovate in green technology and mitigate the adverse effects of environmental regulation; in turn, the development of green technology innovation will also affect the accumulation and flow of human capital. Thus, human capital plays a moderating role between the implementation of environmental regulations and green technology innovation.
Hypothesis 2.
When human capital reaches a certain level, the inhibitory effect of environmental regulations on green technology innovation is mitigated, i.e., there is a threshold effect.

3.3. Environmental Regulation, Industrial Structure Optimization, and Green Technology Innovation

For the moment, upgrading industrial structure has become a key task to achieve “carbon neutrality”. Under the requirements of innovation-driven and green economic development, how to formulate appropriate environmental regulation policies to promote green technological innovation from the perspective of industrial structure optimization has become the focus of theoretical research and practical exploration. An unreasonable level of environmental regulation is not conducive to technological change in the industry and even has a strong spillover effect under the macro-investment multiplier, affecting the internal optimization of the industrial structure. Appropriate environmental regulation intensity will force enterprises to optimize their production methods, exert scale effects according to the industry’s internal structure, improve the internal investment structure, and achieve industrial structure optimization [34,35]. On top of this, spatial spillover effects are generated to enhance China’s comprehensive green technology innovation level [36,37]. Generally speaking, economically developed regions will implement stricter environmental regulation policies, and due to the linkage effect between regions, comparative advantages between cities and enterprises will be formed, so that the internal production technology level is improved and the internal structure of industry optimized; furthermore, it will improve the efficiency of capital utilization and optimize the allocation of production factors, thus promoting the development of green innovation technology.
In summary, environmental regulation as a policy tool plays a vital role in the development of China’s industrial structure, and industrial structure optimization is the necessary path for the development of green technological innovation technologies in China. Therefore, reasonable environmental regulation can improve the level of industrial structure optimization to a certain extent, enhance the efficiency of resource allocation, reduce the cost of innovation and R&D, and promote green technological innovation.
Hypothesis 3.
If the impact of environmental regulation on industrial structure optimization will further act on green technology innovation, then industrial structure optimization is a mediating variable and there is a mediating effect.

4. Research Strategy

4.1. Research Design

Our aim was to further analyze the influence mechanism of human capital and industrial structure optimization in environmental regulation on green technology innovation, and to provide a reference to better resolve the dilemma of environmental regulation and green technology innovation in the future. This paper mainly adopts the panel data regression method and constructs three models of direct effect, threshold effect, and mediating effect to examine the effect of environmental regulation on green innovation technology. The details are as follows.

4.1.1. Basic Model

The main principle of this method is based on the characteristics of panel data. By studying the variation of green innovation technologies over time, in order to eliminate the influence of other factors that vary between cities but remain constant over time, we can thus better verify the impact of environmental regulations on green technology innovation. To specifically explore the relationship between the two and the effect of other factors, panel OLS regressions without and with the introduction of control variables were conducted separately to compare the differences. The specific model settings were as follows:
green it = α + α 1 tec it + α 2 bud it + α 3 gdp it + α 4 inv it + α 5 e m it + η i
In Equation (1), the “green” denotes the explanatory variable green technological innovation and the “em” denotes the core explanatory variable environmental regulation; “tec”, “bud”, “gdp”, and “inv” are control variables, denoting science and technology expenditure, general government public budget expenditure, economic development level, and foreign direct investment respectively; “it” is the data of the city in one year respectively; α ” is the regression coefficient, and η is a random disturbance term.

4.1.2. Threshold Effect Model

To verify that human capital plays a moderating role between environmental regulation implementation and green technology innovation, a threshold effect model was introduced. The threshold model theory was first applied to the definition of urban development level, and later Hansen [38] further proposed a panel threshold model to test the threshold effect using software. The threshold is a certain point that makes the correlation between the dependent variable and the independent variable change abruptly, i.e., when the value of the independent variable is greater or less than a certain value, a different structural model will be generated, and the abrupt change characteristic generated above is called the threshold effect. The theoretical analysis shows that when the level of human capital reaches a specific value, it causes an abrupt shift in the role of environmental regulations on green innovation technologies as a way to verify the threshold effect of human capital.
Before conducting the threshold regression, it is necessary to first test the number of thresholds of the model and measure the significance of the thresholds, and then divide the model structure according to the thresholds to determine the relationship between variables in different intervals; based on the analysis of the magnitude and positive and negative changes of correlation, it is possible to analyze more precisely what kind of regulation mechanism human capital has. In this way, we can analyze more precisely what kind of regulation mechanism human capital has. Accordingly, for this paper we constructed a single-threshold model based on Hansen’s panel threshold effect model with the level of human capital as the threshold variable, in the following form:
green it = β + β 1 tec it + β 2 bud it + β 3 gdp it + β 4 inv it + β 5 e m it ( hum it γ ) + β 6 em it ( hum it > γ ) + μ i + η i
To explore whether human capital has a double-threshold effect in the effect of environmental regulation on green technology innovation, a double-threshold model was constructed based on a single-threshold model:
  green it = λ + λ 1 tec it + λ 2 bud it + λ 3 gdp it + λ 4 inv it + λ 5 e m it ( hum it γ 1 ) + λ 6 em it ( γ 1 hum it < γ 2 ) + λ 7 em it ( γ 2 < hum it ) + μ i + η i
In Equations (2) and (3), the “hum” denotes the moderating variable human capital level; β   and   λ   are the regression coefficients for the single and double thresholds respectively; γ 1   and   γ 2 represent the threshold value of the proxy estimate, and μ is a random disturbance term.

4.1.3. Mediating Effect Model

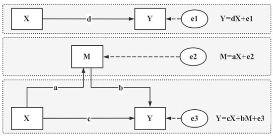
The mediating effects model is often used to measure the role of mediating variables in the relationship between the influence of the core explanatory variables on the dependent variable, as shown in Figure 2. In the 1980s, Baron and Kenny [39] first proposed the sequential test coefficient method, a test on mediating effects, whose main method is to test whether the core coefficients are significant. Based on this, Wen Zhonglin et al. [40] improved M. E. Sobel’s test, making it more scientifically rigorous and more generalizable to large sample data, and the academic community fully affirms this method and uses it to date.
In this paper, the mediating effects model is mainly used to test the mechanism of the effect of industrial structure optimization in environmental regulation on green technology innovation. According to the basic principle of the mediated effects model, the mixed regression is performed in three separate steps. Firstly, all control variables were added to verify the influence of the explained variables on the core explanatory variables; namely, the impact of environmental regulation on green technology innovation. Secondly, the impact of the core explanatory variables on the mediating variables was explored; namely, industrial structure optimization was regressed on environmental regulation and all control variables. Finally, the explained variables were regressed on the core explanatory variables, mediating variables, and all control variables to verify the existence of a mediating effect and determine the specific value of the mediating effect. The specific model was set as follows:
green it =   α + α 1 tec it + α 2 bud it + α 3 gdp it + α 4 inv it + α 5 e m it + η i
i h it =   θ + θ 1 tec it + θ 2 bud it + θ 3 gdp it + θ 4 inv it + θ 5 e m it + ε i
green it =   ω + ω 1 tec it + ω 2 bud it + ω 3 gdp it + ω 4 inv it + ω 5 e m it + ω 6 i h it + φ i
In Equations (5) and (6), the “ih” is the mediating variable, industrial structure optimization; “θ” and “ω” are the regression coefficients of the corresponding models; and “ε” and “φ” are the random disturbance terms.

4.2. Data Description

4.2.1. Data Sources and Processing

This paper takes prefecture-level cities from 2010–2020 as the research subject. Due to a large amount of missing data in some cities, 285 cities were finally used as the total sample to ensure the accuracy of the research results, of which the missing data were filled in using linear interpolation. All data were mainly obtained from the China Urban Statistical Yearbook, the China Environmental Statistical Yearbook, the China Statistical Yearbook and local statistical yearbooks. Considering the magnitude of the data and the effect of heteroskedasticity in the regression analysis, the data were treated in the same way using the extreme value method, which is as follows:
X ij = [ x i j min x i j / max x i j min x i j ]

4.2.2. Data Definition

(1)
Explained variable. With green innovation technology as the key variable in this paper, establishing reasonable measurement indicators is a crucial step in the empirical analysis. Most existing studies use the number of green patents to measure technological innovation capacity [41,42]. Considering the absence of the number of patents granted and ensuring the accuracy of the research results, this paper draws on Qi Shaozhou and uses the number of green technology innovation applications to measure green technology innovation capability.
(2)
Core explanatory variable. Currently, there is no authoritative indicator for measuring environmental regulation. The existing literature mainly measures the intensity of environmental regulation in terms of pollution control inputs and pollution control effects. The former mainly measures the cost of pollution control per unit of output value, so the higher the cost of control, the greater the degree of environmental regulation. The latter mainly measures the intensity of environmental regulation by constructing a comprehensive index of industrial waste based on the intensity of emissions; so the lower the emissions, the greater the intensity of environmental regulation. Considering the availability of data, this paper mainly draws on the calculation method of Xu Wenyu [43] on environmental regulation and uses industrial emissions of three wastes to construct a comprehensive index as the basis for measuring environmental regulation. The specific calculation method is as follows.
The indicators were first standardized to remove the effects of dimensionality:
E ij * = E ij min ( E ij ) max (   E ij ) min ( E ij )
Secondly, the adjustment coefficient of each evaluation index was calculated. As there are large differences in the economic development levels of different cities, the corresponding weight adjustment according to the value-added industry in each city can more reasonably reflect the pollution emission intensity of each region:
W ij = E ij E ij / Q j Q j
Finally, based on the standardized results and their weights, the intensity of environmental regulation was calculated for each city:
S ij = 1 3 W ij × E ij *
where “i” denotes the type of pollution, “j” represents the city, “Q” denotes the industrial added value of each city, and “E” denotes the emission of pollutants. The smaller “S” is, the greater the intensity of environmental regulation.
(3)
Threshold variable: Human capital (hum). The measurement of human capital levels has been relatively well established, mostly using the average years of education of practitioners [44,45]. This paper draws on Tan Zhibo by selecting practitioners in each city as the sample data and setting the number of years of education at each grade as 6 years of primary school, 9 years of middle school, 12 years of high school or vocational-technical education, and 16 years of tertiary education or above to calculate the level of human capital in each city:
H j = 1 5 P ij × EDU i
where “ H j ” denotes the stock of human capital in the city of j, “ P ij ” denotes the number of employees with education level i in the city of j, “ EDU i ” denotes the number of years of education of employees with education level i, and the average number of years of education in each city is the ratio of the stock of human capital to the number of employees in that city, i.e., hum = H/L.
(4)
Mediating variable: Industrial structure optimization (ih). The academic research on industrial structure optimization is relatively mature, and the rationalization of the industrial structure and the upgrading of industrial structure are used to measure the optimization of industrial structure [46,47,48]. Existing studies have showed that environmental regulation failed to promote the rationalization of industrial structure, but promoted the development of industrial structure toward the direction of advanced development [49]. Based on this, this paper draws on the practice of Gong Rizhao [50] on industrial structure optimization, and its main considerations are as follows: ① This index inherits the basic idea of the traditional advanced measurement model of industrial structure, reflects the characteristics of industrial structure change, and integrates the trend characteristics of industrialization structure of service; ② It presents the characteristics of the transformation of the industrial structure in the world today, and has good sensitivity to the mutual transformation among the three industries, and has good theoretical and application value. The specific calculation method is as follows:
i h X , Y , Z = Y + Z Y + Z X + Y
X”, “Y”, and “Z” represent the shares of primary, secondary, and tertiary industries in GDP, respectively.
(5)
Control variables. This paper controls for the possible effects of other factors on the empirical results by referring to Tang Hongtao et al. [51] and Zhao Xiaojun et al. [52]. ① Level of economic development (GDP). A high level of economic development represents a high level of resources as well as capacity, and the higher the level of economic development, the stronger the capacity for green technology innovation. This paper uses the GDP per capita of each city to represent this. ② Technology expenditure (tec). The greater the expenditure on science and technology, the greater the investment in green technology innovation, which will increase the capacity for green technology innovation. In this paper, the amount of science and technology expenditure is used to express this. ③ Foreign direct investment (inv). Generally speaking, more foreign direct investment symbolizes a larger scale of business scope, which has a significant promotion effect on the efficiency of green technology innovation (Yan Huafei et al. 2022), which is indicated by using the amount of actual foreign direct investment in this paper. ④ The general public government budget expenditure (bud). An increase in general government public budget expenditure increases the proportion of investment in technological innovation for enterprises, which is represented in this paper using the amount of general public budget expenditure by local governments.

4.2.3. Descriptive Statistics

The results of descriptive statistics are shown in Table 1. China’s environmental regulation comprehensive index (em) average value is 0.029, so the overall level is not high, and it is necessary to continue to promote environmental regulation policy. The mean value of green innovative technology (green) is 0.017, which is at a low position, so it can be seen that actively promoting technological innovation is China’s development imperative at this stage. The average value of human capital (hum) water is 7.093, indicating that the overall average years of schooling in the country is relatively low. Combined with China’s industrial structure optimization level (ih), it can be seen that its average value is 0.264, indicating that the industrial structure optimization level is still relatively low, which is consistent with the current characteristics of China’s industrial structure transformation and upgrading.

5. Empirical Analysis Results

5.1. Co-Integration Test and Unit Root Test

This paper uses stata16.0 for the empirical analysis. According to the model principle, the data need to be tested before the analysis, and only if the requirements are met can the subsequent study be conducted, which mainly includes unit root tests and co-integration tests. As the time period used in this paper was 2010–2020, the time series was short and it was appropriate to use the Kao test to determine whether the panel data had long-term stable co-integration characteristics. The original hypothesis of the Kao test is that there is no co-integration relationship between the variables. As can be seen from Table 2, the p-values all reject the original hypothesis at the 10% level of significance; therefore, there is a long-term co-integration relationship between the variables. On the other hand, in the use of HADRI, LLC for unit root tests, as can be seen from Table 3, the p-values all reject the original hypothesis at the 5% level of significance, indicating that the variables satisfy the smoothness characteristics of the time series. The specific test results are as follows:

5.2. Direct Effect Analysis

In this section, a panel fixed effects regression was first conducted directly on environmental regulation and green technology innovation, and then all control variables were added to the regression. The regression results in Table 4 show that the coefficient of environmental regulation (em) in the first column is −0.137, indicating that each unit change in environmental regulation reduces green technology innovation by 0.137 units and passes the test at the 1% level of significance. The results in the second column show that the marginal effect of environmental regulation (em) on green innovation technology becomes −0.053 after adding all control variables, indicating that the inhibitory effect of environmental regulation on green technology innovation diminishes with the addition of other factors. From the perspective of control variables, economic development level (gdp), government general public budget expenditure (bud), science and technology expenditure (tec) and foreign direct investment (inv), all have a positive contribution to green technology innovation and all pass the significance test. Among them, the impact of science and technology expenditure (tec) is the most obvious, with an impact coefficient as high as 0.628. The impact of foreign direct investment (inv) on green technology innovation is relatively weak, with an impact coefficient of only 0.021.

5.3. Threshold Effect Analysis

A threshold effects test is required to determine if the threshold effects model is met before performing a threshold regression. According to the steps of the threshold effect model, the number of thresholds needs to be confirmed by testing first. In this section, we used the bootstrap method to test the results of the thresholds obtained after sampling 500 times to determine whether there was a multiple threshold effect. The detailed results are shown in Table 5. From the p-values and statistics, it can be seen that the single threshold value of 7.303 indicates a human capital level of 7.303, i.e., an average of 7.303 years of schooling. The double threshold value of 9.489 indicates an average of 9.489 years of schooling; the p-values of 0.032 and 0.086 for both passed the significance test. In contrast, the p-value of the three-threshold reached 0.364, which did not pass the significance test, so the original hypothesis was rejected and the three-threshold model was not met. Therefore, it can be seen that there is a double threshold effect of human capital in the effect of environmental regulation on technological innovation, and the single and double threshold effects are analyzed next, respectively.
According to Equations (2) and (3), single and double threshold regressions were conducted respectively, and the results are shown in Table 6. Firstly, observing the first column, it can be seen from the changes of the coefficients of the relevant indicators that when the human capital level (hum) crosses the first threshold, the effect of environmental regulation (em) on green technological innovation changes from −0.053 in model 1 to 0.023 and passes the 5% level of significance, which indicates that human capital can, to a certain extent, improve the effectiveness of environmental regulation on the green technological innovation inhibiting effect. Then, observing the second column, when human capital (hum) crosses the second threshold value of 9.489, the coefficient of environmental regulation (em) changes from 0.021 to 0.193 and passes the 1% significance level hypothesis, which indicates that the promotion effect of environmental regulation on green technological innovation is further enhanced, reflecting the spillover effect of human capital.
Breaking down the results, when the human capital indicator is introduced, science and technology expenditure, general government public budget expenditure, foreign direct investment, and economic development level all still promote green technology innovation, but to a changed extent. The coefficients of government general public budget expenditure (bud) and foreign direct investment (inv) have increased, from 0.098 and 0.021 to 0.377 and 0.064 respectively, while the coefficient of science and technology expenditure (tec) has weakened, from 0.628 to 0.449, but is still the most important influence.

5.4. Mediating Effect Analysis

The intermediate effect test was performed in three steps and the results are shown in Table 7. The first column is used to test the effect of environmental regulation on green technological innovation, and the regression results show that the coefficient of the effect of environmental regulation (em) on green technological innovation (green) is −0.053; the second column shows the results of the mediating variable industrial structure optimization to test the effect of environmental regulation on industrial structure optimization. It can be seen that the influence coefficient of environmental regulation (em) on industrial structure optimization (ih) is 0.121; i.e., each unit increase in environmental regulation means the level of industrial structure optimization will increase by 0.121 units, which indicates that as the intensity of environmental regulation increases, it will force enterprises to upgrade their industrial structure. Further, a mixed regression of green technology innovation on environmental regulation and industrial structure optimization is conducted to obtain the regression results in the third column. Comparing the coefficient of the effect of environmental regulation on green technology innovation in the direct effect model with the mediating effect model, it can be seen that the marginal degree of contribution of environmental regulation to green technology innovation changed from −0.053 to −0.045, an increase of 0.800%. This suggests that industrial structure optimization plays a moderating role in the inhibitory effect of environmental regulations on green technology innovation. The value of its mediating effect is calculated to be about 2.230%. It can be inferred that 2.230% of the promotion effect of environmental regulation on green technological innovation is achieved through industrial structure optimization.

5.5. Robustness Test

To enhance the credibility and applicability of the above empirical results, we considered the endogeneity issue. In this section, systematic GMM regressions are conducted on the direct effect model and mediated effect model with one lag of environmental regulation and one lag of industrial structure optimization as instrumental variables, respectively. The results of the test are shown in Table 8.
According to the regression results of the robustness test, it can be seen from the first column that the effect of environmental regulation on green technology innovation is −0.254 and passes the robustness test at 1% level of significance. The second column shows that environmental regulation can promote the transformation and upgrading of industrial structure, and each unit change in it will increase the optimization of the industrial structure by 0.610 units, which means environmental regulation plays a certain role in promoting the level of optimization of industrial structure, and it passes the 1% significance level. The results in the third column indicate that industry and structure play a mediating effect, moderating the impact of environmental regulations on green technology innovation with an impact coefficient of 0.073. From the perspective of control variables, it can be seen that foreign direct investment and economic development levels can promote the optimization of industrial structure, and all of them pass the robustness test at 5% significance level. Therefore, the above model has good applicability.

6. Conclusions and Suggestions

6.1. Research Conclusions

The goal of carbon neutrality requires China to strengthen environmental regulations, improve green innovation technologies, and accelerate the green and low-carbon transition. Environmental regulation, an important tool with which the government plays a guiding role, is an effective path to continuously improve the ecological environment and promote low-carbon development; green technology innovation, as an important determinant of long-term emission reduction costs, is the key to carbon neutrality and socioeconomic development. The relationship between the two has an impact on the production and operation of enterprises, which in turn affects their technological innovation capacity and plays an important role in achieving the goal of carbon neutrality in China.
This paper focuses on the impact of environmental regulation on green technological innovation and considers the specific role of human capital and industrial structure optimization. Threshold and mediating effect models were used specifically to analyze them and the system GMM method was also applied for robustness testing. Therefore, according to the analysis, some practical conclusions are drawn. (1) Environmental regulation inhibits green technology innovation with an impact coefficient of −0.0530, which indicates that environmental regulation has an inhibitory effect on green technology innovation. Increased environmental regulations will increase the production costs, external costs, and opportunity costs of enterprises, causing a mismatch of resources and creating a “crowding-out effect” that inhibits innovation development. (2) Human capital ameliorates the inhibitory effect of environmental regulations on green technology innovation and there is a double threshold effect with thresholds of 7.303 and 9.449, respectively. That is, the impact of environmental regulation on green technology innovation shifts when the level of human capital reaches certain critical values (7.303 and 9.449). Firms can directly increase their innovative R&D capabilities by increasing their human capital intensity, while indirectly offsetting the “crowding out” effect of environmental regulations. (3) Further analysis of the test found that there is a mediating effect of industrial structure optimization in the influence of environmental regulation on green technology innovation, with a mediating effect of 2.230%. The increase in the intensity of reasonable environmental regulations will make the industrial structure tend to develop in the direction of optimization and promote the transformation and upgrading of industrial structure, which will encourage enterprises to use green production methods to optimize their internal production structure and promote green technological innovation.
The limitations of this paper are as follows. On the one hand, existing studies on the indicators of industrial structure transformation and upgrading have not yet formed a unified view in academia, and the use of different indicators may yield different analytical results. Besides, the measurement of the quantity and quality of green technology innovation is based on a broad concept and future research could further consider how to better measure this indicator to reflect its importance. On the other hand, environmental regulations may also have an impact on green technology innovation in neighboring regions, and there may be spillover effects that this paper did not explore in more depth. This can be followed up with further in-depth discussions.

6.2. Policy Recommendations

Based on the research of this paper, we put forward the following three suggestions:
(1)
Implement an appropriate intensity of environmental regulation focusing on both strength and means. The government’s implementation of appropriate environmental regulation policies can optimize the allocation of resources and promote the transformation and upgrading of industrial structures. Local governments can implement appropriate environmental regulations. For example, with informal environmental regulation policies, they can adopt environmental protection policies suitable for their own development capacity, give full play to the Porter effect of environmental regulation on green technology innovation, and improve green technology innovation capacity.
(2)
Improve the level of human capital, increase investment in research and development of green technology innovation, and focus on the change from quantitative to qualitative improvement. The 2022 government work report points out that we should focus on education equity and quality improvement. The current level of human capital is still relatively low and the quality is still relatively weak in regions with poor economic development in China, and the problem of inequality in education is still obvious. Therefore, on the one hand, we should reasonably allocate the workforce, improve the level of green and innovative comprehensive quality of talents, give full play to the structural effect of human capital, and promote high-quality development of human resources; on the other hand, we can attract talented individuals to choose fields with higher technical capacity through the introduction of talent tax subsidies and increased education expenditure, promote educational equity, reasonably allocate education resources, and especially increase the proportion of education expenditure in remote areas, and establish a sound incentive mechanism for talent retention and employment and entrepreneurship in cities.
(3)
Optimize industrial structure, improve the level of green technology in the industry and accelerate the transformation and upgrading of China’s industrial structure. The current intermediary effect of industrial structure optimization is relatively weak, and the indirect effect in the impact of environmental regulation on green technological innovation is still relatively small. Therefore, it is necessary to consider the impact of various aspects. Through the implementation of appropriate environmental regulation intensity, a city’s economic development level spillover effect is actively brought into play; on this basis, the economic development level of neighboring cities is driven to form a linkage effect. Ultimately, the level of economic development and the internal optimization of industrial structure is promoted to improve production conditions. Specifically, more spending on science and technology should be used to improve the pollution caused by industrial development, provide purification conditions for industrial development and promote industrial restructuring. At the same time, local enterprises should be encouraged to promote internal investment restructuring and spend more money on industries with a green outlook, so that they can move towards green industries and improve the level of industrial structure sophistication.

Author Contributions

Conceptualization, P.L., S.X. and F.Q.; methodology, S.X. and F.Q.; validation, F.Q.; investigation, X.W.; resources, P.L. and Y.H.; data curation, F.Q.; writing—original draft preparation, S.X. and F.Q.; writing—review and editing, P.L. and S.X.; funding acquisition, P.L. All authors have read and agreed to the published version of the manuscript.

Funding

This study was supported financially by the General Project of the National Social Science Foundation of China (21BJY192).

Institutional Review Board Statement

Not applicable.

Informed Consent Statement

Not applicable.

Data Availability Statement

The data presented in this study are available on request from the corresponding authors.

Conflicts of Interest

The authors declare no conflict of interest.

References

  1. Zhang, X.; Liu, J. Observation on the change and orientation of environmental regulation policy in 70 years of New China. Reform 2019, 10, 16–25. [Google Scholar]
  2. Liu, J.; Xiao, Y. Environmental protection tax and green innovation in China: Leverage or crowding-out effect? Econ. Res. 2022, 57, 72–88. [Google Scholar]
  3. Wang, Z.; Cao, Y.; Lin, S. Characteristics and heterogeneity of the impact of environmental regulations on firms’ green technology innovation—Based on data on green patents of Chinese listed companies. Sci. Res. 2021, 39, 909–919+929. [Google Scholar]
  4. Yu, Y.; Yin, L. The evolution of Chinese-style environmental regulation policies and their economic effects: A review and outlook. Reform 2022, 3, 114–130. [Google Scholar]
  5. Dong, Y. Characteristics of technological innovation and countermeasures in the environmental protection industry. Ecol. Econ. 2007, 9, 134–137+141. [Google Scholar]
  6. Porter, M.E.; Linde, C. Toward a New Conception of the Environment-Competitiveness Relationship. J. Econ. Perspect. 1995, 9, 97–118. [Google Scholar] [CrossRef]
  7. Hanamoto, M. Environmental Regulation and the Productivity of Japanese Manufacturing Industries. Resour. Energy Econ. 2006, 28, 299–312. [Google Scholar] [CrossRef]
  8. Horbach, J. Determinants of Environmental Innovation—New Evidence from German Panel Data Sources. Res. Policy 2008, 37, 163–173. [Google Scholar] [CrossRef]
  9. Jing, W.; Zhang, L. Environmental regulation, openness and green technological progress of Chinese industry. Econ. Res. 2014, 49, 34–47. [Google Scholar]
  10. Shen, N.; Zhou, J. Research on the efficiency of green innovation and the role mechanism of key factors in China from the perspective of technological heterogeneity: Based on Hybrid DEA and structured equation model. J. Manag. Eng. 2018, 32, 46–53. [Google Scholar]
  11. Bian, C.; Chu, Z.; Sun, Z. A policy simulation study on environmental regulation to promote green technology innovation in enterprises. Ind. Technol. Econ. 2021, 40, 12–22. [Google Scholar]
  12. Arduini, R.; Cesaroni, F. Environmental Technologies in the European Chemical Industry; Lem Papers, st.: Pisa, Italy, 2001. [Google Scholar]
  13. Leeuwen, G.V.; Mohen, P. Revisiting the Porter Hypothesis: An Empirical Analysis of Green Innovation for the Netherlands. Econ. Innov. New Technol. 2013, 67, 295–319. [Google Scholar] [CrossRef]
  14. Xie, R. Environmental regulation, innovation and green productivity in Chinese industry. Ind. Econ. Res. 2017, 2, 38–48. [Google Scholar]
  15. Chu, Y.; Shi, H.; Zhang, J.Y. Voluntary participatory environmental regulation, innovation capacity and green technology innovation—An analysis of data from agricultural-related micro enterprises in China. Sci. Technol. Manag. Res. 2022, 42, 215–225. [Google Scholar]
  16. Du, K.; Cheng, Y.; Yao, X. Environmental regulation, green technology innovation, and industrial structure upgrading: The road to the green transformation of Chinese cities. Energy Econ. 2021, 98, 105247. [Google Scholar] [CrossRef]
  17. Yu, K.; Hu, Y.; Song, Z. Environmental regulation, government support and green technology innovation--an empirical study based on resource-based enterprises. J. Yunnan Univ. Financ. Econ. 2019, 35, 100–112. [Google Scholar]
  18. You, D.; Li, L. Environmental regulation intensity, frontier technology gap and enterprises’ green technology innovation. Soft Sci. 2022, 36, 108–114. [Google Scholar]
  19. Li, L.; Tao, F. The choice of optimal environmental regulation intensity for China’s manufacturing industry: A green total factor productivity perspective. China Ind. Econ. 2012, 70–82. [Google Scholar]
  20. Jiang, F.; Wang, Z.; Bai, J. The double effect of environmental regulation on technological innovation: An empirical study based on dynamic panel data of Jiangsu manufacturing industry. China Ind. Econ. 2013, 44–55. [Google Scholar]
  21. Roh, T.; Lee, K.; Yang, J.Y. How do intellectual property rights and government support drive a firm’s green innovation? The mediating role of open innovation. J. Clean. Prod. 2021, 317, 128422. [Google Scholar] [CrossRef]
  22. Yan, H.; Xiao, J.; Feng, B. Environmental regulation, foreign direct investment and the efficiency of industrial green technology innovation: Empirical evidence based on the Yangtze River Economic Zone. Stat. Decis. Mak. 2022, 38, 118–122. [Google Scholar]
  23. Chen, S.; Liu, C.; Jin, H. Environmental regulation, labor allocation and urban development. Acad. Mon. 2022, 54, 48–62. [Google Scholar]
  24. Wang, J.; Jiang, S.; Jiao, Y. Environmental regulation, technological progress bias and industrial structure upgrading. Stat. Decis. Mak. 2022, 38, 49–54. [Google Scholar]
  25. Gao, H.; Xiao, T. Whether heterogeneous environmental regulations can force industrial structure optimization—Based on the mediation and threshold effects of green technology innovation efficiency of industrial enterprises. Jianghan Forum 2022, 3, 13–21. [Google Scholar]
  26. Roh, T.; Noh, J.; Oh, Y.; Park, K.-S. Structural relationships of a firm’s green strategies for environmental performance: The roles of green supply chain management and green marketing innovation. J. Clean. Prod. 2022, 356, 131877. [Google Scholar] [CrossRef]
  27. Cai, W.G.; Li, G.P. The drivers of eco-innovation and its impact on performance: Evidence from China. J. Clean. Prod. 2018, 3, 110–118. [Google Scholar] [CrossRef]
  28. Zhang, X.; Xu, F. The impact of environmental regulation on green technology innovation—An analysis of regional heterogeneity based on the perspective of government intervention. Urban Issues 2022, 55–64. [Google Scholar]
  29. Zhao, X.; Ma, J. Research on the relationship between environmental regulation and green innovation—An empirical analysis based on the moderating effect of financial development and human capital. Mod. Financ. Econ. (J. Tianjin Univ. Financ. Econ.) 2018, 38, 63–72+90. [Google Scholar]
  30. Yang, M.H.; Liu, K.Q.; Xie, S.S. Educational human capital, healthy human capital and green technology innovation—The moderating role of environmental regulation. Econ. Manag. Rev. 2021, 37, 138–149. [Google Scholar]
  31. Sun, Z.; Hou, Y. Government training subsidies, firm training externalities and technological innovation—A perspective based on human capital investment in an incomplete labor market. Econ. Manag. Stud. 2019, 40, 47–64. [Google Scholar]
  32. Hang, F.; Shi, L. Research on human capital and regional innovation-analysis based on spatial panel model. J. Hunan Univ. (Soc. Sci. Ed.) 2018, 32, 49–57. [Google Scholar]
  33. Zhou, J.; Liang, M. Can environmental regulation effectively drive high-quality development?—A theoretical and empirical analysis based on human capital perspective. J. Beijing Univ. Technol. (Soc. Sci. Ed.) 2020, 22, 1–13. [Google Scholar]
  34. Hu, H.; Zhu, Y.; Fang, D.; Deng, Y. The paths and mechanisms of environmental regulations affecting industrial structure: An empirical study based on cities in Hunan, Hubei, Jiangxi and Anhui. Yangtze River Basin Resour. Environ. 2020, 29, 2620–2635. [Google Scholar]
  35. Zheng, X.; Guo, H.; Lu, S. Dual environmental regulation and industrial restructuring: Empirical evidence from ten major urban agglomerations in China. J. Yunnan Univ. Financ. Econ. 2021, 37, 1–15. [Google Scholar]
  36. Wang, F.; Yuan, H.; Li, Z. Environmental regulation, green innovation and industrial structure upgrading. Stat. Decis. Mak. 2022, 38, 73–76. [Google Scholar]
  37. Ouyang, X.; Zhang, J.; Du, G. Environmental regulation and urban green technology innovation: Influence mechanisms and spatial effects. China Management Science. 2022, 30, 141–151. [Google Scholar] [CrossRef]
  38. Hansen, B.E. Threshold Effects in Non-Dynamic Panels: Estimation, Testing, and Inference. J. Econom. 1999, 93, 345–368. [Google Scholar] [CrossRef]
  39. Baron, R.M.; Kenny, D.A. The moderator-mediator variable distinction in social psychological research: Conceptual, strategic, and statistical considerations. J. Personal. Soc. Psychol. 1986, 51, 1173–1182. [Google Scholar] [CrossRef]
  40. Wen, Z.; Zhang, L.; Hou, J.; Liu, H. Mediation effect test procedure and its application. J. Psychol. 2004, 5, 614–620. [Google Scholar]
  41. Qi, S.; Lin, D.; Cui, J. Can environmental equity markets induce green innovation?—Evidence based on data on green patents of listed companies in China. Econ. Res. 2018, 53, 129–143. [Google Scholar]
  42. Wu, L.; Jiang, Q.; Jin, S.; Ye, T. Study on the spillover effect of foreign direct investment on regional green technology innovation. Sci. Technol. Manag. Res. 2022, 42, 218–229. [Google Scholar]
  43. Xu, W. Environmental regulation, science and technology innovation and high-quality development of marine economy. Stat. Decis. Mak. 2022, 38, 87–93. [Google Scholar]
  44. Tan, Z.; Zhou, L.; Zhao, Y. The reform of county administration, fiscal decentralization and people’s livelihood: An estimation based on the “multiplicative difference method”. Economics 2015, 14, 1093–1114. [Google Scholar]
  45. Cai, W.-X.; Shen, X.-Y.; Chen, L.-L. Study on the human capital enhancement effect of nutrition improvement program—Based on microdata of national population census. Quant. Econ. Tech. Econ. Res. 2022, 39, 150–169. [Google Scholar]
  46. Yuan, H.; Zhu, C. Innovation attributes, institutional quality and the transformation and upgrading of China’s industrial structure. Scientol. Res. 2019, 37, 1881–1891+1901. [Google Scholar]
  47. Liu, Q.; Zhao, J.; Jin, Z. Measurement of the correlation between industrial structure transformation and high-quality economic development. Stat. Decis. Mak. 2021, 37, 86–90. [Google Scholar]
  48. Gan, X.; Li, Y.; Chen, C. The impact of fiscal expenditure efficiency on the transformation and upgrading of industrial structure. J. Zhongnan Univ. Econ. Law 2022, 1, 74–85. [Google Scholar]
  49. Lin, X.; Guan, S. Does environmental regulation promote the transformation and upgrading of industrial structure?—An interactive perspective on the strategies of local government environmental regulation enforcement. South. Econ. 2020, 11, 99–115. [Google Scholar]
  50. Gong, R.; Pan, F.; Liu, Y. Research on industrial structure heightening measurement model and its nature. Stat. Decis. Mak. 2020, 36, 67–71. [Google Scholar]
  51. Tang, H.; Guo, K.; Zhang, J. E-commerce and rural poverty alleviation efficiency: A study on the mediating effect based on financial input and human capital. Econ. Geogr. 2018, 38, 50–58. [Google Scholar]
  52. Zhao, X.; Liu, X.; Sang, Y.; Yi, S. Heterogeneous impact of e-commerce development on industrial structure upgrading-an empirical analysis based on inter-provincial panel data in China. Ind. Technol. Econ. 2021, 40, 134–140. [Google Scholar]
Figure 1. Theoretical mechanism analysis framework diagram.
Figure 1. Theoretical mechanism analysis framework diagram.
Sustainability 15 02001 g001
Figure 2. Framework diagram of the intermediary effect model.
Figure 2. Framework diagram of the intermediary effect model.
Sustainability 15 02001 g002
Table 1. Descriptive statistical analysis.
Table 1. Descriptive statistical analysis.
VariableMeanStd. Dev.MinMax
ih0.2640.1600.5772.311
bud4,161,795.1006,384,580.800121,922.00083,515,363.000
tec112,769.670366,910.750753.0005,549,817.000
green0.0171319.52317.00024.051
gdp51,547.84733,346.1896457.000467,749.000
hum7.0930.0936.42821.909
em0.0290.0320.0001.000
inv9,104,155.4002.293324,190.6003.030 × 108
Table 2. Kao panel co-integration test.
Table 2. Kao panel co-integration test.
Statisticp-Value
Modified Dickey–Fuller t−1.5030.066
Dickey–Fuller t−3.9410.000
Augmented Dickey–Fuller t−13.8190.000
Unadjusted modified Dickey–Fuller t−2.9570.002
Unadjusted modified t−4.8790.000
Table 3. Unit root test.
Table 3. Unit root test.
VariableHADRI TestLLC Test
FpFp
green79.8510.000−16.4560.000
ih77.5320.0002.2180.000
bud90.1390.0005.8760.000
tec81.4250.0001.8980.000
gdp53.9090.0004.0130.000
hum59.5690.000−28.0840.000
em1.7010.0009.0980.000
inv31.8610.0002.6290.046
Table 4. Direct effect test.
Table 4. Direct effect test.
Variable(1) Green(2) Green
em−0.137 *** (0.031)−0.053 *** (0.015)
bud 0.098 *** (0.014)
tec 0.628 *** (0.020)
inv 0.021 ** (0.011)
gdp 0.059 *** (0.008)
Constant0.013 *** (0.001)−0.002 * (0.001)
Observations31353135
R-squared0.6580.767
Standard errors in parentheses *** p < 0.01, ** p < 0.05, * p < 0.1.
Table 5. Threshold test.
Table 5. Threshold test.
Threshold VariableTypepValueBSMarginal Value
1%5%10%
humSingle Threshold0.0327.30350026.63241.15399.164
Double Threshold0.0869.48950023.16034.60954.136
Triple Threshold0.3648.49350047.99056.17577.730
Table 6. Threshold effect test.
Table 6. Threshold effect test.
Variable(1) Green(2) Green
gdp0.004 (0.010)0.006 (0.010)
inv0.065 *** (0.022)0.064 *** (0.022)
bud0.367 *** (0.018)0.377 *** (0.018)
tec0.455 *** (0.016)0.449 *** (0.016)
em (hum ≤ 7.3033)0.238 *** (0.032)0.252 *** (0.032)
em (7.3033 < hum ≤ 9.4485)0.024 ** (0.011)0.021 * (0.011)
em (hum ≥ 9.4485) 0.193 *** (0.037)
Constant−0.019 *** (0.002)−0.020 *** (0.002)
R-squared0.6800.683
Standard errors in parentheses *** p < 0.01, ** p < 0.05, * p < 0.1.
Table 7. Mediation effect test.
Table 7. Mediation effect test.
Variable(1) Green(2) ih(3) Green
ih 0.066 *** (0.007)
em−0.053 *** (0.015)0.012 *** (0.041)−0.045 *** (0.015)
bud0.098 *** (0.014)0.512 *** (0.038)0.064 *** (0.014)
tec0.628 *** (0.020)0.033 (0.053)0.630 *** (0.020)
inv0.021 ** (0.011)0.012 (0.028)0.020 ** (0.010)
gdp0.0586 *** (0.008)0.515 *** (0.020)0.025 *** (0.008)
Constant−0.002 * (0.001)0.194 *** (0.003)−0.015 *** (0.002)
R-squared0.7670.4300.775
Standard errors in parentheses *** p < 0.01, ** p < 0.05, * p < 0.1.
Table 8. Robustness tests.
Table 8. Robustness tests.
(1)(2)(3)
VariableGreenihGreen
em−0.254 ***0.610 ***
(0.072)(0.187)
bud0.132 ***0.592 ***0.055 ***
(0.019)(0.050)(0.015)
tec0.582 ***−0.1060.629 ***
(0.025)(0.066)(0.021)
gdp0.065 ***0.519 ***0.021 **
(0.009)(0.023)(0.009)
inv−0.001−0.010−0.011
(0.012)(0.032)(0.011)
ih 0.073 ***
(0.007)
Constant5.200 × 10−5 ***0.205 ***−0.018 ***
(0.002)(0.005)(0.002)
Observations285028502850
R-squared0.7560.3960.776
Standard errors in parentheses *** p < 0.01, ** p < 0.05.
Disclaimer/Publisher’s Note: The statements, opinions and data contained in all publications are solely those of the individual author(s) and contributor(s) and not of MDPI and/or the editor(s). MDPI and/or the editor(s) disclaim responsibility for any injury to people or property resulting from any ideas, methods, instructions or products referred to in the content.

Share and Cite

MDPI and ACS Style

Liang, P.; Xie, S.; Qi, F.; Huang, Y.; Wu, X. Environmental Regulation and Green Technology Innovation under the Carbon Neutrality Goal: Dual Regulation of Human Capital and Industrial Structure. Sustainability 2023, 15, 2001. https://doi.org/10.3390/su15032001

AMA Style

Liang P, Xie S, Qi F, Huang Y, Wu X. Environmental Regulation and Green Technology Innovation under the Carbon Neutrality Goal: Dual Regulation of Human Capital and Industrial Structure. Sustainability. 2023; 15(3):2001. https://doi.org/10.3390/su15032001

Chicago/Turabian Style

Liang, Peng, Shuangyi Xie, Fengyu Qi, Yu Huang, and Xiuwen Wu. 2023. "Environmental Regulation and Green Technology Innovation under the Carbon Neutrality Goal: Dual Regulation of Human Capital and Industrial Structure" Sustainability 15, no. 3: 2001. https://doi.org/10.3390/su15032001

APA Style

Liang, P., Xie, S., Qi, F., Huang, Y., & Wu, X. (2023). Environmental Regulation and Green Technology Innovation under the Carbon Neutrality Goal: Dual Regulation of Human Capital and Industrial Structure. Sustainability, 15(3), 2001. https://doi.org/10.3390/su15032001

Note that from the first issue of 2016, this journal uses article numbers instead of page numbers. See further details here.

Article Metrics

Back to TopTop