Abstract
Decarbonization of the maritime sector to achieve ambitious IMO targets requires the combination of various technologies. Among alternative fuels, ammonia (NH3), a carbon-free fuel, is a good candidate; however, its combustion produces NOx, unburnt NH3 and N2O—a strong greenhouse gas (GHG). This work conducts a preliminary assessment of the emission control challenges of NH3 application as fuel in the maritime sector. Commercial catalytic technologies are applied in simulated NH3 engine exhaust to mitigate NH3 and NOx while monitoring N2O production during the reduction processes. Small-scale experiments on a synthetic gas bench (SGB) with a selective-catalytic reduction (SCR) catalyst and an ammonia oxidation catalyst (AOC) provide reaction kinetics information, which are then integrated into physico-chemical models. The latter are used for the examination of two scenarios concerning the relative engine-out concentrations of NOx and NH3 in the exhaust gas: (a) shortage and (b) excess of NH3. The simulation results indicate that NOx conversion can be optimized to meet the IMO limits with minimal NH3 slip in both cases. Excess of NH3 promotes N2O formation, particularly at higher NH3 concentrations. Engine-out N2O emissions are expected to increase the total N2O emissions; hence, both sources need to be considered for their successful control.
1. Introduction
Maritime transport, mainly powered by diesel engines, is responsible for almost 3% of global greenhouse gas (GHG) emissions, which is expected to further increase until 2050 [1]. Apart from GHGs, the maritime sector accounts for 24% of nitrogen oxides (NOx), 24% of sulfur oxides (SOx) and 9% of particulate matter (PM) emissions in the European Union (EU) [2].
According to the initial IMO strategy, GHG emissions shall be reduced by at least 50% by 2050 and carbon intensity by 40% by 2030 compared to 2008, aiming at complete decarbonization of maritime transport by 2100 [3]. The latest meetings of the IMO Marine Environment Protection Committee (MEPC) recently adopted a revised strategy that aims at net-zero GHG emissions by 2050 [4]. This is a notable acceleration in the emission reduction efforts compared to the initial IMO strategy. In parallel, NOx emissions shall comply with Tier III limits (3.4 g/kWh for vessel propelled by low-speed two-stroke engines) in Emission Control Areas (ECAs) and Tier II (14.4 g/kWh for vessel propelled by low-speed two-stroke engines) globally. Concerning SOx emissions, IMO has introduced the global sulfur cap, which imposes an upper limit of 0.50% in the fuel sulfur content globally, dropping to 0.10% in Sulfur Emission Control Areas (SECAs) [5].
Moving towards this direction, several technologies and strategies have already been implemented or are currently being developed, such as [6]:
- direct reduction in fuel consumption, e.g., operating strategies and route optimization as well as slow steaming;
- direct reduction in vessel resistance, e.g., air lubrication, optimized hull design and coating, lightweight materials;
- alternative propulsion system and power sources, e.g., wind-assisted propulsion, fuel cells, cold ironing;
- improvement of energy efficiency, e.g., propulsion system hybridization, waste heat recovery;
- post-combustion gas treatment, e.g., CO2 capture
Another way to reduce carbon intensity of shipping is the application of alternative fuels with low or zero carbon content, produced using sustainable sources and feedstock and renewable energy (often referred as e-fuels or green fuels). Some alternative fuels (e.g., biofuels) can be used directly on existing engines (drop-in fuels), while others (e.g., ammonia, hydrogen) require significant developments and modifications before becoming the main energy source on board the vessel. Although the combination of various technology packages and practices can reach significant reductions of GHG emissions, complete decarbonization can be achieved only when using carbon-neutral fuels [6,7].
Among other alternative fuels with low or zero carbon content (LNG, LPG, methanol, hydrogen, etc.), ammonia (NH3) is a promising solution to limit carbon (C) and sulfur (S) emissions from the maritime sector due to several advantages, such as absence of C and S atoms from its molecule, high energy density and relatively easy storage. However, the poor combustion properties of NH3 (low flammability, high autoignition temperature, low flame speed, etc.) create the need of a pilot fuel quantity, usually carbonaceous, for initiating combustion [8,9,10,11]. Depending on the pilot fuel used, there may be carbon dioxide (CO2), SOx and PM emissions, but these levels should be very low (or almost negligible) compared to conventional fuels (particularly heavy fuel oil (HFO)).
Moreover, NH3 combustion produces three main emission species that have a significant impact on human health and climate: unburned NH3 that is highly toxic and can cause several health issues when found in high concentrations; NOx, which is one of the main air pollutants and nitrous oxide (N2O) [9], a GHG with global warming potential (GWP) almost 300 times higher than that of CO2, over a 100-year period [12]. Consequently, even small concentrations of N2O potentially decrease the benefit from CO2 reduction [13]. Nitrous oxide (N2O) is a potential byproduct of both NH3 in-cylinder combustion and chemical reactions in the exhaust gas aftertreatment system. Unburned NH3 and NOx emissions can be expected from an engine running on NH3 and can be reduced using catalytic devices that are commercially available. In marine applications, a vanadium-based selective catalytic reduction (V-SCR) system is commonly used to reduce NOx with NH3 or urea as reducing agent [14,15]. Ammonia slip (i.e., unreacted NH3 downstream of the SCR system) exceeding the need of the deNOx process can be minimized with an ammonia slip catalyst (ASC). Although that reduction of NH3 can promote NOx and N2O formation [16], N2O may also be formed in lower concentrations through the SCR reactions [17,18]. Catalytic N2O reduction technologies are already available but are customized for other applications such as chemical industries and stationary combustion [19,20]. As reduction of a specific species can promote the formation of another, the design of the exhaust after-treatment system (EATS) for an engine running on NH3 is expected to consist of multiple emission control technologies.
Based on the above, it is clear that commercial technologies must be developed and adopted to effectively reduce NH3 slip, NOx and N2O at the same time in the NH3 engine exhaust. However, NH3 engines (particularly large two-stroke ones used in the maritime sector) are not yet commercially available; therefore, the exact exhaust gas conditions in terms of composition, temperature and flow rate needed for the design of an emission control system are not precisely known. Even when the exhaust gas of the NH3 engine is known from measurements, the design of emission control via trial and error is prohibitive in view of the huge testing costs on a large two-stroke marine engine. It is therefore imperative to develop accurate and predictive models of the aftertreatment system that will be applicable in a wide range of conditions to ensure the coverage of all possible scenarios to be expected in a real NH3 engine exhaust. The development of such a model is actually the main target of the present work.
The current study presents the development of simulation models of the aftertreatment system of NH3 application as a fuel in the maritime sector. The primary aim is to determine the viability of current catalytic technologies, identify emission control challenges and ultimately guide the optimum design at an early phase. Exhaust aftertreatment models rely on kinetic mechanisms and rate expressions that describe the intrinsic chemical properties of the active materials. In this work, experiments are performed to derive the respective kinetic information for two technologies of interest and introduce them in an integrated physico-chemical model of the transient transport and reaction processes in monolithic catalytic reactors. The model is then used to study two possible scenarios concerning the proportion of NH3 and NOx emissions from NH3 combustion (engine-out conditions). The first scenario assumes that engine-out NH3 is less than NOx (NH3/NOx < 1), so additional NH3 has to be injected upstream of a V-SCR catalyst to achieve NOx levels below Tier III limits. The second scenario examines the case of excess engine-out NH3 (NH3/NOx > 1) where a dual layer ASC (SCR on top of an ammonia oxidation catalyst (AOC) layer) is integrated to the aftertreatment system to handle the NH3 slip. Particular emphasis is given to the formation of N2O through NOx and NH3 catalytic reduction.
2. Materials and Methods
2.1. Experimental
Two small-scale samples of commercial catalysts are used in the experimental part of this study: (1) a V-SCR (commonly used in marine applications) with a diameter of 28 mm and a length of 90 mm and (2) a platinum-based AOC with the same dimensions. Their catalytic activity is evaluated with measurements on a synthetic gas bench (SGB), presented in Figure 1. The flow and composition of the mixture is controlled by the programmable mass flow controllers (MFCs). Moisture can be added to the mixture through an H2O feed, which is heated beforehand to prevent condensation of the flue gas. The mixture is then heated to the required temperature through a pre-heater system before passing through the catalyst sample. The bypass line gives the flexibility to conduct operational and calibration checks of the analyzers, as well as to determine the exhaust gas composition without exposing the catalyst to the gas mixture. An FTIR gas analyzer (AVL Sesam i60 FT SII Small) measures the concentrations of all species in the outlet gas.
Figure 1.
Small-scale experimental setup of synthetic gas bench (SGB).
In the present work, the SCR and AOC reaction mechanisms are studied by running targeted experimental protocols. For the SCR, steady-state measurements are performed at temperatures between 150 °C and 500 °C and at atmospheric pressure. In the case of AOC, its activity is tested by a temperature ramp (light-off test) from 150 °C to 600 °C under atmospheric pressure. The test conditions for the SCR and AOC testing are summarized in Table 1 and Table 2, respectively.
Table 1.
SCR experimental conditions.
Table 2.
AOC experimental conditions.
2.2. Modeling
2.2.1. Main Assumptions and Governing Equations
The kinetic mechanisms of the V-SCR and Pt-AOC are implemented into a model of the ExothermiaSuite® simulation platform [21]. The monolith is simulated as a single representative channel (1D simulation approach), assuming that the inlet flow distribution is uniform and heat losses are negligible. Temperature and species concentrations are computed by solving the quasi-steady state balance equations for heat (Equation (1)) and mass (Equation (2)) transfer:
The wall surface temperature is calculated using the transient energy balance in the solid phase (Equation (3)):
The surface concentrations are obtained by solving the concentration field inside the washcoat layer (Equation (4)):
The convective mass transfer from the gas to the washcoat surface is formulated as
Supplementary equations regarding the model of the flow through catalyst are provided in Appendix A.
The solution of the concentration field in the washcoat layer is of particular importance for the case of technologies with multiple catalytic layers (1D + 1D model). In fact, this is the case with ASCs that usually contain both a precious metal (PGM) layer, particularly an AOC layer for the oxidation of NH3, as well as an SCR layer on top (Figure 2). This combination comes with advantages concerning NH3 reduction and selectivity properties of the ASC, as NOx formed in the oxidation layer diffuses through the SCR layer where it can be reduced [14].
Figure 2.
Dual-layer ASC schematic configuration.
2.2.2. Reaction Mechanisms
In order to examine the potential of the existing catalytic devices to treat NH3 combustion products, thoroughly calibrated and validated SCR and AOC models are necessary. To describe the SCR reactivity over the vanadium-based catalyst, commonly used SCR reactions are adopted [16,22], as listed in Table 3. The standard, fast and NO2 SCR reactions are considered the principal reactions between NOx and NH3 (depending on the proportion of NO2/NOx). While NH3 is primarily oxidized to N2, oxidation reactions to NO and N2O are also considered. The formation of N2O has also been attributed to the oxidation of NH3 and NO [23], as well as to the direct reaction between NH3 and NO2 [24,25].
Table 3.
SCR reaction scheme.
Ammonia oxidation on the platinum-based AOC is approached with a simple kinetic model that can give good representation of the overall reactions. The oxidation reactions used are listed in Table 4. These include the oxidation of NH3 to N2 and NO, the simultaneous oxidation of NH3 and NO to N2O and the oxidation of NO to NO2 (including the reverse reaction of NO2 decomposition) [26,27].
Table 4.
AOC reaction scheme.
2.3. Full-Scale Application of the Model
Assumptions and Inlet and Boundary Conditions
The target of this section is to demonstrate the use of modeling in the design phase of the NH3 marine engine exhaust aftertreatment system. In the early design phase, many parameters that influence the catalyst selection and optimization are not known, including NOx, NH3 and N2O engine-out emission levels. Here, it is assumed that the engine will use small amounts of pilot fuel [9,28,29]; therefore, CO2 emissions can be neglected, at least at the preliminary design of the EATS. Although engine-out N2O produced by NH3 combustion is a topic of high concern [28,30], for the purposes of the present work it will also be considered negligible; nevertheless, the N2O that is potentially produced in the EATS as an unwanted byproduct will be examined, and its greenhouse effect potential will be evaluated.
Ammonia combustion is likely to produce high levels of unburnt NH3 [29,30], resulting in concentrations comparable to the respective NOx emissions in terms of mole fraction. It is well known that the molar ratio of NH3/NOx in the exhaust gas is very critical for the operation of the SCR. Ratios below 1 would probably necessitate extra NH3 in the exhaust gas stream, eventually via an additional NH3 injection system. On the other hand, if the ratio is above 1, then the excess NH3 escaping the SCR reactions will have to be treated by dedicated catalysis.
In this preliminary concept study, both cases described above will be studied. In the first case, NH3 injection upstream of a V-SCR is required as shown in Figure 3a. In the second case, a dual layer/dual function ASC is placed downstream from the SCR (Figure 3b) to treat the unreacted NH3 of the deNOx process. The ASC is assumed to be a combination of V-based (SCR) and precious-metal based catalytic layers (AOC) (as shown indicatively in Figure 2) in order to attain a desired NH3 oxidation selectivity to N2.
Figure 3.
Model exhaust layouts for the two cases examined here: (a) shortage of NH3 and (b) excess of NH3 in the exhaust gas.
Since NH3 engines are currently under development and their real exhaust gas conditions and emission concentrations are still not known precisely, the current study is based on real-world engine-out conditions of low-speed diesel engines used in marine applications, assuming a high-pressure (pre-turbo) SCR system [31,32]. The simulated catalyst inlet conditions are summarized in Table 5. Pre-turbo SCR configurations have the advantage of higher pressures and temperatures that prevail right after the engine and expand the active range of SCR operation, especially in low loads [33,34]. It is worth noting that the physico-chemical model can be applied in the entire operating envelope and is sensitive to the effect of pressure on reaction rates and species diffusivity.
Table 5.
Exhaust gas conditions assumed in this study.
3. Results
3.1. Reaction Model Calibration
The reaction kinetic parameters of the two catalysts are calibrated to fit the experimentally determined NOx, NH3 and N2O concentrations. The results of the NO and NH3 oxidation tests for the V-SCR catalyst (see Table 1) are presented in Figure 4 with markers. Oxidation of NO to NO2 is hardly detected even at high temperatures (Figure 4a). NH3 is mainly oxidized to N2 above 300 °C and is almost fully oxidized at 500 °C (Figure 4b), while NO and N2O formation is observed only at very high temperatures (500 °C). The same figures contain the results of the simulation model after fitting of the reaction kinetic rate parameters. The model achieves a good agreement with the test results in the whole temperature range and is able to predict the reaction selectivity towards NO and N2O.
Figure 4.
Comparison of experimental data (symbols) and the model (solid lines) of (a) NO oxidation and (b) NH3 oxidation, over the V-SCR.
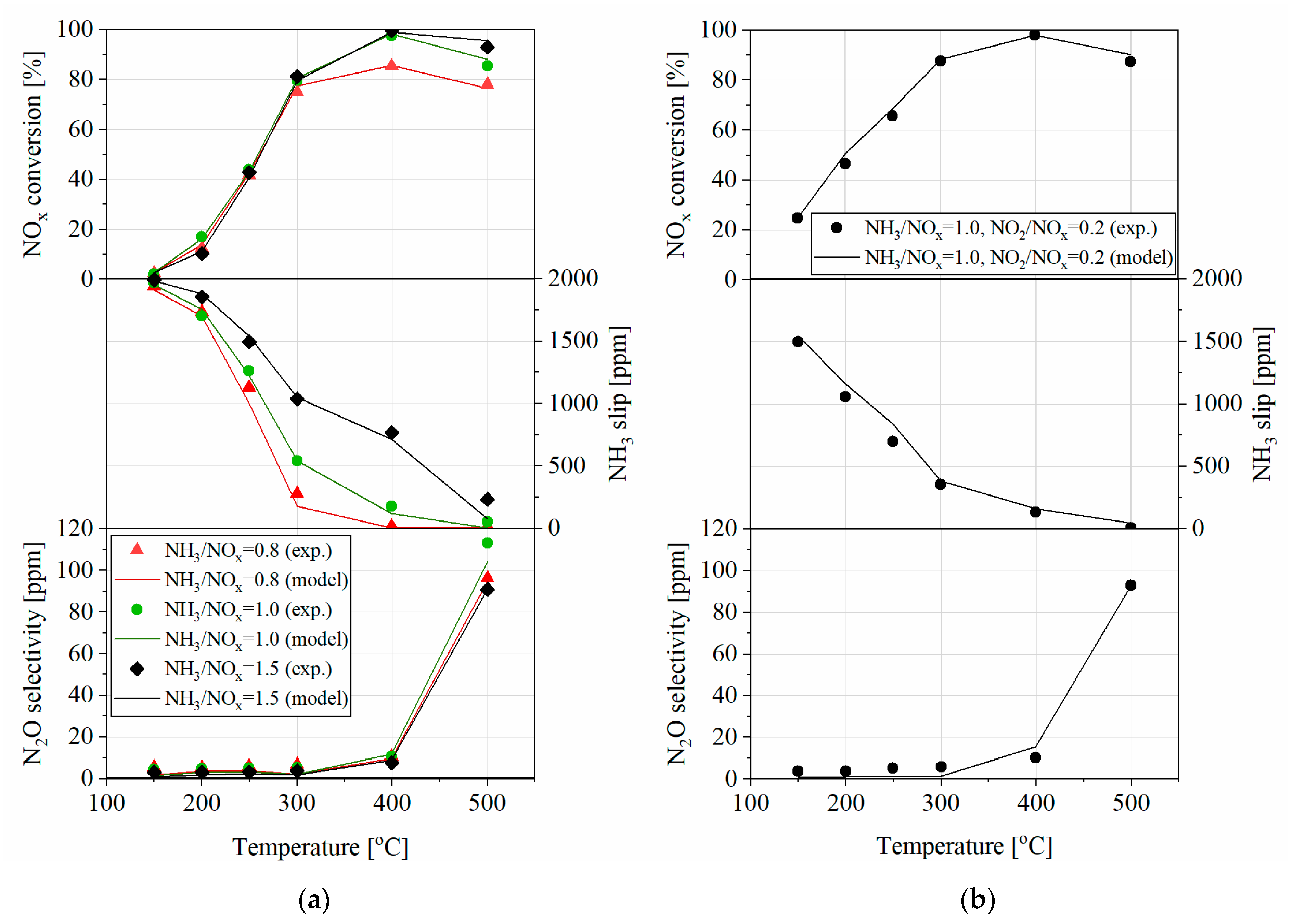
The results of the SCR activity tests presented in Figure 5 show that the catalyst exceeds 80% NOx conversion above 300 °C. Obviously, the SCR process is highly dependent on the amount of NH3 in the feed gas (Figure 5a). When the NH3/NOx ratio is greater than 1, NOx is almost fully converted at high temperatures, although this leads to unreacted ammonia. When the NH3/NOx ratio is less than 1, only partial NOx conversion is achieved as expected from the reaction stoichiometry (Standard SCR reaction (Table 3)). Addition of NO2 in the feed gas (Figure 5b) enhances NOx conversion rates, especially at low temperatures. Low selectivity to N2O (below 20 ppm) is observed in all conditions with a significant increase of up to 120 ppm at 500 °C.
Figure 5.
NOx conversion, NH3 slip and N2O formation over the V-SCR under (a) standard SCR conditions with NH3/NOx = 0.8, 1.0, 1.5 and NO2/NOx = 0 and (b) fast SCR conditions with NH3/NOx = 1.0 and NO2/NOx = 0.2, based on the experimental data (symbols) and the model (solid lines).
The results of the calibrated simulation model presented in the above figures with lines clearly show a good agreement with the respective measured data in the whole range of temperature, NH3/NOx ratio and NO2/NOx ratio conditions.
Figure 6 shows the axial profiles of NOx, NH3 and N2O along the V-SCR catalyst as well as the reaction rates governing N2O formation pathways. One can observe that N2O attains stabilization approximately midway through the catalyst length, whereas NOx and NH3 concentrations reach a state of equilibrium near the catalyst outlet. This is attributed to the constrained availability of NH3 and NOx in the feed gas; hence, the reaction rates that favor N2O formation are minimized midway through the catalyst.
Figure 6.
Concentrations of NOx, NH3 and N2O as functions of axial positions along the V-SCR catalyst (top) and reaction rates of the N2O pathways (bottom) at NH3/NOx = 1.0 and 400 °C.
The results of the Pt-based AOC tests are summarized in Figure 7. Here, the focus is not only on the conversion rate of NH3 as a function of temperature, but also on the unwanted NOx and N2O produced by the NH3 oxidation reactions. It is worth noting that the calibrated model is capable of capturing these complex trends with respect to NOx byproducts in the whole temperature range with good accuracy. This provides the basis for using this physico-chemical model in the conditions expected in a real marine engine.
Figure 7.
Comparison of the NH3, NOx, NO2 and N2O outlet concentrations for NH3 over the AOC based on the experimental data (symbols) and the model (solid lines).
The concentration of NH3 shows a steep decrease from 200 °C to 250 °C and is fully oxidized around 300 °C. Above 200 °C, N2O selectivity increases significantly with maximum concentration at 250 °C. Selectivity to NO and NO2 is favored at temperatures above 250 °C, while N2O selectivity is simultaneously decreasing. It is important to highlight the temperature range of N2O formation (in the aftertreatment system) between 200 °C and 400 °C, which is crucial for low-speed marine engines since their exhaust gas temperature falls within this range (see Table 5). The trends can be interpreted by referring to the reaction rates depicted in Figure 8, highlighting the competition between the reactions. Between 200 °C and 400 °C, the simultaneous oxidation of NH3 and NO to N2O is favored, while above 250 °C the oxidation of NH3 to NO becomes dominant; hence, the availability of NH3 towards N2O is limited.
Figure 8.
Reaction rates of the oxidation reactions of AOC as a function of the catalyst temperature.
Figure 9 presents the axial distribution of NH3, NO and N2O along the AOC. At notably low temperatures (i.e., 150 °C), oxidation reactions governing the AOC are not activated; therefore, no alteration in emission levels is observed. Conversely, at elevated temperatures (i.e., 350 °C and 500 °C), NH3 experiences complete oxidation in close proximity to the catalyst inlet, precluding its availability for subsequent oxidation pathways towards NO and N2O. Consequently, NO and N2O levels exhibit an early stabilization along the catalyst length.
Figure 9.
Concentrations of NO and N2O as functions of axial positions along the AOC catalyst at three temperatures (150 °C, 350 °C and 500 °C).
3.2. Model Application in Marine Engine Exhaust
Based on the assumed marine engine exhaust gas conditions of Table 5 and the weighting factors of the legislated E3 test cycle [35], it can be estimated that the NOx conversion efficiency required to reduce large two-stroke engine-out emissions below the Tier III limit of 3.4 gNOx/kWh is in the order of 90%.
In the case of lack of NH3 (engine-out NH3/NOx < 1), where only the SCR catalyst is used (Figure 3a), the minimum deNOx requirement may be achieved provided that NH3 is injected with a target ratio of NH3/NOx equal to 0.9.
Applying the simulation model at the four loads of the E3 cycle, using the conditions shown in Table 5, NH3 slip and N2O formation after the SCR are calculated, as presented in Figure 10a. Almost all NH3 is predicted to be consumed during NOx reduction, leading to limited NH3 slip of less than 5 ppm. Low levels of N2O (below 8 ppm) are expected to be formed at all loads with increased selectivity at full load as N2O formation is favored at elevated temperatures. Despite its low selectivity, N2O is a strong GHG with 100-year GWP almost 300 times higher than CO2. Hence, even small concentrations of N2O can be equivalent to significant CO2 emissions. In this case, the CO2-equivalent emissions over a 100-year period reach almost 25 g/kWh at 100% load, which are decreased at lower loads (Figure 10b), resulting in an average value of 14.1 gCO2-eq/kWh (taking into account the weighting factors of the E3 test cycle [28]).
Figure 10.
SCR system outlet: (a) NH3 slip and N2O selectivity; (b) CO2-equivalent emissions over 100-year GWP (inlet NOx = 2000 ppm).
Figure 11 presents the average NH3, NOx, N2O and CO2-equivalent emissions for different NH3/NOx ratios in the case of excess engine-out NH3 (NH3/NOx > 1). All concentrations are estimated taking into account the weighting factors of each load according to the E3 test cycle [35]. According to the standard SCR reaction, NH3 and NO react on a 1:1 molar ratio. Thus, increased NH3/NOx values lead to elevated unreacted NH3 at the SCR outlet. Unreacted NH3 of the deNOx process is then oxidized in the ASC (Figure 11a). The activity of the ASC is decreased at higher NH3/NOx ratios, leading to increased NH3 emissions at the outlet. Despite the strong NH3 oxidation, the ASC is characterized by high selectivity to NOx and N2O that becomes more important when unreacted NH3 in the SCR is higher. NOx conversion is maximized in the SCR due to the abundant concentrations of NH3, while the SCR layer of the ASC catalyst counterbalances the high selectivity of NH3 oxidation to NO, keeping NOx concentrations at acceptable levels, compliant with Tier III limits (<3.4 g/kWh) (Figure 11b). Concerning N2O, limited formation is observed during SCR (minimally affected by NH3/NOx); however, the simultaneous oxidation of NH3 and NO in the ASC results in important N2O formation, especially at higher NH3 engine-out concentrations (Figure 11c). According to Figure 11d, N2O produced in the AOC layer corresponds to significant levels of CO2-equivalent emissions that reach almost 500 g/kWh at high NH3 concentrations. These levels are comparable to other low-carbon solutions, such as LNG combustion, where CO2-equivalent emissions for low-speed two-stroke engines vary between 400 g/kWh (high-pressure dual-fuel mode) and 500 g/kWh (low-pressure dual-fuel mode) [36].
Figure 11.
SCR and ASC system outlet: (a) NH3, (b) NOx, (c) N2O and (d) CO2-equivalent emissions over 100-year GWP, for various NH3/NOx ratios (inlet NOx = 1500 ppm).
In addition, N2O emissions from NH3 in-cylinder combustion are expected to further increase the total GHG emissions. Therefore, both sources need to be considered for the successful control of N2O emissions, eventually via a targeted additional catalyst. A different SCR layer composition could be beneficial for N2O abatement. For example, iron-based catalysts might be a better option compared to the V-based catalyst considered here as they have the ability of simultaneous reduction of NOx and N2O [18]. Another possible solution is the direct reduction of N2O through thermal decomposition [17,18,37].
4. Summary and Conclusions
The testing and simulation results of the marine engine aftertreatment models highlighted the following:
- In the case where engine-out NH3 levels are lower than the ones required in the deNOx process (i.e., NH3 injection upstream of the SCR), NOx conversion can be optimized to comply with the strictest IMO limits with minimal levels of NH3 slip and N2O formation.
- In the case where NH3/NOx is greater than 1, unreacted NH3 of the deNOx process can be efficiently handled with an ASC, while NOx concentrations can be kept at acceptable levels. Concerning N2O, NH3 oxidation in the ASC is highly selective to N2O formation, which is enhanced at higher NH3 concentrations. In this case, the CO2-equivalent emissions over a 100-year period are comparable to LNG marine engines.
Considering these indications, it is preferable to tune NH3 combustion to ensure that NH3/NOx is less than 1, so as to minimize unreacted ammonia in the aftertreatment system and thus keep N2O formed there at low levels. Except from the part produced in the catalytic aftertreatment devices, N2O levels in the exhaust gas are expected to further increase when engine-out quantity from NH3 combustion is considered. Therefore, the potential CO2 benefit of NH3 combustion may be counterbalanced, to a certain extent, due to the strong GWP of N2O. Hence the use of NH3 as a fuel to decarbonize the maritime sector will be beneficial only if these levels can be kept at low levels. Based on the above, an appropriate control strategy and optimization of the exhaust aftertreatment system of the NH3 engine are of high importance as NOx reduction should be accompanied by limited NH3 slip and N2O formation. For this reason, the activities of this work are further expanded with future steps including the following:
- Integration in the catalyst model of N2O chemistry and the relevant catalytic processes in a dedicated deN2O catalyst.
- Experimental small-scale investigation of the performance of new catalyst technologies, followed by calibration and validation of the model using the test data.
- Application of the new catalyst models in the exhaust gas stream of NH3 engines.
- Development and optimization of the complete exhaust aftertreatment system and controls for NH3 marine engine applications.
Author Contributions
Conceptualization, G.V., A.D. and G.K.; methodology, G.V., A.D. and G.K.; software, G.V.; validation, G.V.; writing—original draft preparation, G.V.; writing—review and editing, G.V., A.D. and G.K.; supervision, G.K. and L.N. All authors have read and agreed to the published version of the manuscript.
Funding
This work has been funded by the ENGIMMONIA project, which has received funding from the European Union’s Horizon 2020 research and innovation program under grant agreement Nr. 955413.
Data Availability Statement
The data presented in this study are available in this article.
Acknowledgments
The authors would like to acknowledge support of this work by the personnel of the Laboratory of Applied Thermodynamics for performing the experimental campaign of the catalytic samples and AVL for providing the AVL Sesam i60 FT SII analyzer used in the experiments.
Conflicts of Interest
The authors declare no conflict of interest. The funders had no role in the design of the study; in the collection, analyses, or interpretation of data; in the writing of the manuscript; or in the decision to publish the results.
Nomenclature
| A. Latin Letters | |
| c | Concentration mol/m3 |
| Cp | Specific heat capacity J/(kg∙K) |
| dh | Hydraulic diameter of a channel m |
| dpore | Mean pore size m |
| DKnud | Knudsen diffusivity m2/s |
| Dmol | Molecular diffusivity m2/s |
| Dw | Effective diffusivity m2/s |
| h | Heat transfer coefficient W/(m2∙K) |
| kj | Mass transfer coefficient m/s |
| M | Molecular weight kg/mol |
| n | Stoichiometric coefficient - |
| R | Universal gas constant J/(mol∙K) |
| Rk | Reaction rate mol/(m3∙s) |
| S | Source term W/m3 |
| SF | Monolith specific surface area m2/m3 |
| T | Temperature K |
| t | Time s |
| v | Velocity m/s |
| w | Dimension perpendicular to wall surface - |
| wc | Washcoat layer thickness m |
| yj | Molar fraction - |
| z | Axial coordinate along monolith m |
| B. Greek Letters | |
| ΔH | Reaction heat J/mol |
| ε | Macroscopic void fraction - |
| εpore | Porosity of the washcoat - |
| λ | Thermal conductivity W/m∙K |
| ρ | Density kg/m3 |
| C. Subscripts and Superscripts | |
| g | Exhaust gas |
| j | Species index |
| k | Reaction index |
| s | Solid |
Appendix A
This section presents supplementary equations regarding the model of the flow through the catalyst (Section 2.2.1).
A.1. 1D Model (Channel Approach)
The heat and mass transfer coefficients are calculated according to the following definitions:
The dimensionless Nusselt (Nu) and Sherwood (Sh) numbers can be calculated for the well-known correlations of laminar flow accounting for entrance effects as below:
The S term contained in the transient energy balance of the solid phase includes the convective heat transfer Hconv due to the gas flow in the channels and the heat release Hreact by chemical reactions:
A.2. 1D+1D Model
The boundary conditions for the washcoat layer are:
where w = 0 corresponds to the wall boundary and w = −wc to the external surface of the washcoat.
The mean transport pore model used the expression
with the Knudsen diffusivity:
The porosity and the mean pore size can be extracted from the microstructural properties of the washcoat, while tortuosity is an empirical parameter.
References
- International Maritime Organization. Fourth IMO GHG Study Full Report; International Maritime Organization: London, UK, 2020. [Google Scholar]
- Agencia Europea de Seguridad Marítima; Agencia Europea de Medio Ambiente. EUROPEAN Maritime Transport Environmental Report; Publications Office of the European Union: Luxembourg, 2021. [Google Scholar]
- International Maritime Organization. IMO(MEPC72): Resolution MEPC.304(72), Initial IMO Strategy on Reduction of GHG Emissions from Ships; International Maritime Organization: London, UK, 2018. [Google Scholar]
- IMO Marine Environment Protection Committee. Eightieth Session (MEPC 80)-Summary Report; International Maritime Organization: London, UK, 2023. [Google Scholar]
- Ni, P.; Wang, X.; Li, H. A review on regulations, current status, effects and reduction strategies of emissions for marine diesel engines. Fuel 2020, 279, 118477. [Google Scholar] [CrossRef]
- DNV. Energy Transition Outlook 2023. Maritime Forecast to 2050. A Deep Dive into Shipping’s Decarbonization Journey. Available online: https://www.dnv.com/Publications/maritime-forecast-to-2050-2023-edition-246744 (accessed on 31 August 2023).
- Joung, T.H.; Kang, S.G.; Lee, J.K.; Ahn, J. The IMO initial strategy for reducing Greenhouse Gas (GHG) emissions, and its follow-up actions towards 2050. J. Int. Marit. Saf. Environ. Aff. Shipp. 2020, 4, 1–7. [Google Scholar] [CrossRef]
- Dimitriou, P.; Javaid, R. A review of ammonia as a compression ignition engine fuel. Int. J. Hydrogen Energy 2020, 45, 7098–7118. [Google Scholar] [CrossRef]
- Rodríguez, C.G.; Lamas, M.I.; Rodríguez, J.d.D.; Abbas, A. Possibilities of Ammonia as Both Fuel and NOx Reductant in Marine Engines: A Numerical Study. J. Mar. Sci. Eng. 2022, 10, 43. [Google Scholar] [CrossRef]
- Lesmana, H.; Zhang, Z.; Li, X.; Zhu, M.; Xu, W.; Zhang, D. NH3 as a transport fuel in internal combustion engines: A technical review. J. Energy Resour. Technol. 2019, 141, 070703. [Google Scholar] [CrossRef]
- Erdemir, D.; Dincer, I. A perspective on the use of ammonia as a clean fuel: Challenges and solutions. Int. J. Energy Res. 2021, 45, 4827–4834. [Google Scholar] [CrossRef]
- Chai, W.S.; Bao, Y.; Jin, P.; Tang, G.; Zhou, L. A review on ammonia, ammonia-hydrogen and ammonia-methane fuels. Renew. Sustain. Energy Rev. 2021, 147, 111254. [Google Scholar] [CrossRef]
- Li, T.; Zhou, Z.; Wang, N.; Wang, X.; Chen, R.; Li, S.; Yi, P. A comparison between low- and high-pressure injection dual-fuel modes of diesel-pilot-ignition ammonia combustion engines. J. Energy Inst. 2022, 102, 362–373. [Google Scholar] [CrossRef]
- Nova, I.; Tronconi, E. Fundamental and Applied Catalysis Urea-SCR Technology for deNOx after Treatment of Diesel Exhausts; Springer: Berlin/Heidelberg, Germany, 2014; Available online: http://www.springer.com/series/5964 (accessed on 31 August 2023).
- Putluru, S.S.R.; Schill, L.; Godiksen, A.; Poreddy, R.; Mossin, S.; Jensen, A.D.; Fehrmann, R. Promoted V2O5/TiO2 catalysts for selective catalytic reduction of NO with NH3 at low temperatures. Appl. Catal. B Environ. 2016, 183, 282–290. [Google Scholar] [CrossRef]
- Klint Torp, T.; Hansen, B.B.; Vennestrøm, P.N.R.; Janssens, T.V.W.; Jensen, A.D. Modeling and Optimization of Multi-functional Ammonia Slip Catalysts for Diesel Exhaust Aftertreatment. Emiss. Control. Sci. Technol. 2021, 7, 7–25. [Google Scholar] [CrossRef]
- Youn, S.; Song, I.; Kim, D.H. Promotional effect on selective catalytic reduction of NOx with NH3 over overloaded W and Ce on V2O5/TiO2 catalysts. J. Nanomater. 2015, 2015, 273968. [Google Scholar] [CrossRef]
- Han, J.; Wang, A.; Isapour, G.; Härelind, H.; Skoglundh, M.; Creaser, D.; Olsson, L. N2O Formation during NH3-SCR over Different Zeolite Frameworks: Effect of Framework Structure, Copper Species, and Water. Ind. Eng. Chem. Res. 2021, 60, 17826–17839. [Google Scholar] [CrossRef]
- Wang, A.; Wang, Y.; Walter, E.D.; Kukkudapu, R.K.; Guo, Y.; Lu, G.; Weber, R.S.; Wang, Y.; Peden, C.H.F.; Gao, F. Catalytic N2O decomposition and reduction by NH3 over Fe/Beta and Fe/SSZ-13 catalysts. J. Catal. 2018, 358, 199–210. [Google Scholar] [CrossRef]
- Zhang, X.; Shen, Q.; He, C.; Ma, C.; Cheng, J.; Li, L.; Hao, Z. Investigation of selective catalytic reduction of N2O by NH3 over an Fe-mordenite catalyst: Reaction mechanism and O2 effect. ACS Catal. 2012, 2, 512–520. [Google Scholar] [CrossRef]
- Exothermia, S.A. Exothermia Suite User Manual, version 2022.3; Gamma Technologies, LLC: Westmont, IL, USA, 2022. [Google Scholar]
- Karamitros, D.; Koltsakis, G. Model-based optimization of catalyst zoning on SCR-coated particulate filters. Chem. Eng. Sci. 2017, 173, 514–524. [Google Scholar] [CrossRef]
- Zhang, D.; Yang, R.T. N2O Formation Pathways over Zeolite-Supported Cu and Fe Catalysts in NH3-SCR. Energy Fuels 2018, 32, 2170–2182. [Google Scholar] [CrossRef]
- Metkar, P.; Harold, M.; Balakotaiah, V. Experimental and Kinetic Modeling Study of NH3-SCR of NOx on Fe-ZSM-5, Cu-chabazite and combined Fe- and Cu-zeolite monolithic catalysts. Chem. Eng. Sci. 2013, 87, 51–66. [Google Scholar] [CrossRef]
- Mihai, O.; Widyastuti, C.; Andonova, S.; Kamasamudram, K.; Li, J.; Joshi, S.; Currier, N.; Yezerets, A.; Olsson, L. The effect of cu-loading on different reactions involved in NH3-SCR over Cu-BEA catalyst. J. Catal. 2014, 311, 170–181. [Google Scholar] [CrossRef]
- Scheuer, A.; Hauptmann, W.; Drochner, A.; Gieshoff, J.; Vogel, H.; Votsmeier, M. Dual layer automotive ammonia oxidation catalysts: Experiments and computer simulation. Appl. Catal. B Environ. 2012, 111–112, 445–455. [Google Scholar] [CrossRef]
- Colomb, M.; Nova, I.; Tronconi, E.; Schmeißer, V.; Brandl-Konrad, B.; Zimmermann, L.R. Experimental Modeling Study of a dual-layer (SCR + PGM) NH3 slip monolith catalyst (ASC) for automotive SCR aftertreatment systems. Part I. Kinetics for the PGM Component and Analysis of SCR/PGM Interactions. Appl. Catal. B Environ. 2013, 142–143, 861–876. [Google Scholar] [CrossRef]
- Nadimi, E.; Przybyła, G.; Lewandowski, M.T.; Adamczyk, W. Effects of ammonia on combustion, emissions, and performance of the ammonia/diesel dual-fuel compression ignition engine. J. Energy Inst. 2023, 107, 101158. [Google Scholar] [CrossRef]
- Reiter, A.J.; Kong, S.C. Combustion and emissions characteristics of compression-ignition engine using dual ammonia-diesel fuel. Fuel 2011, 90, 87–97. [Google Scholar] [CrossRef]
- Niki, Y.; Nitta, Y.; Sekiguchi, H.; Hirata, K. Diesel fuel multiple injection effects on emission characteristics of diesel engine mixed ammonia gas into intake air. J. Eng. Gas Turbines Power 2019, 141, 061020. [Google Scholar] [CrossRef]
- Zhu, Y.; Xia, C.; Shreka, M.; Wang, Z.; Yuan, L.; Zhou, S.; Feng, Y.; Hou, Q.; Ahmed, S.A. Combustion and emission characteristics for a marine low-speed diesel engine with high-pressure SCR system. Environ. Sci. Pollut. Res. 2020, 27, 12851–12865. [Google Scholar] [CrossRef] [PubMed]
- Zhu, Y.; Li, T.; Xia, C.; Feng, Y.; Zhou, S. Simulation analysis on vaporizer/mixer performance of the high-pressure SCR system in a marine diesel. Chem. Eng. Process.-Process Intensif. 2020, 148, 107819. [Google Scholar] [CrossRef]
- Christensen, S.R.; Hansen, B.B.; Pedersen, K.H.; Thøgersen, J.R.; Jensen, A.D. Selective Catalytic Reduction of NOx over V2O5-WO3-TiO2 SCR Catalysts: A Study at Elevated Pressure for Maritime Pre-turbine SCR Configuration. Emiss. Control Sci. Technol. 2019, 5, 263–278. [Google Scholar] [CrossRef]
- Zengel, D.; Barth, S.; Casapu, M.; Grunwaldt, J.D. The impact of pressure and hydrocarbons on NOx abatement over Cu- and Fe-zeolites at pre-turbocharger position. Catalysts 2021, 11, 336. [Google Scholar] [CrossRef]
- MARPOL, Annex VI—Regulations for the Prevention of Air Pollution from Ships, Appendix II—Test Cycles and Weighting Factors (Regulation 13). Available online: http://www.marpoltraining.com/MMSKOREAN/MARPOL/Annex_VI/app2.htm (accessed on 31 August 2023).
- Pavlenko, N.; Comer, B.; Zhou, Y.; Clark, N.; Rutherford, D. The Climate Implications of Using LNG as a Marine Fuel; International Council on Clean Transportation: Washington, DC, USA, 2020; Available online: www.theicct.org (accessed on 31 August 2023).
- Obalová, L. Catalytic decomposition of N2O and NO. Catalysts 2021, 11, 667. [Google Scholar] [CrossRef]
Disclaimer/Publisher’s Note: The statements, opinions and data contained in all publications are solely those of the individual author(s) and contributor(s) and not of MDPI and/or the editor(s). MDPI and/or the editor(s) disclaim responsibility for any injury to people or property resulting from any ideas, methods, instructions or products referred to in the content. |
© 2023 by the authors. Licensee MDPI, Basel, Switzerland. This article is an open access article distributed under the terms and conditions of the Creative Commons Attribution (CC BY) license (https://creativecommons.org/licenses/by/4.0/).










