Density, Viscosity, and Distillation Temperatures of Binary Blends of Diesel Fuel Mixed with Oxygenated Components at Different Temperatures
Abstract
:1. Introduction
2. Materials and Methods
2.1. Materials
2.2. Preparation of Diesel Binary Blends
2.3. Apparatus for the Characterization of Binary Blends
2.4. Equations for Density and Viscosity Prediction
2.4.1. Blend Density Models
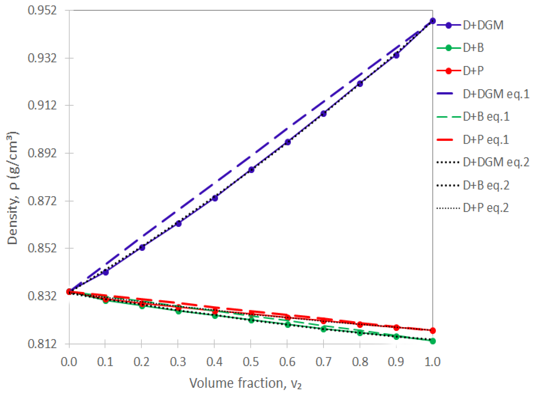
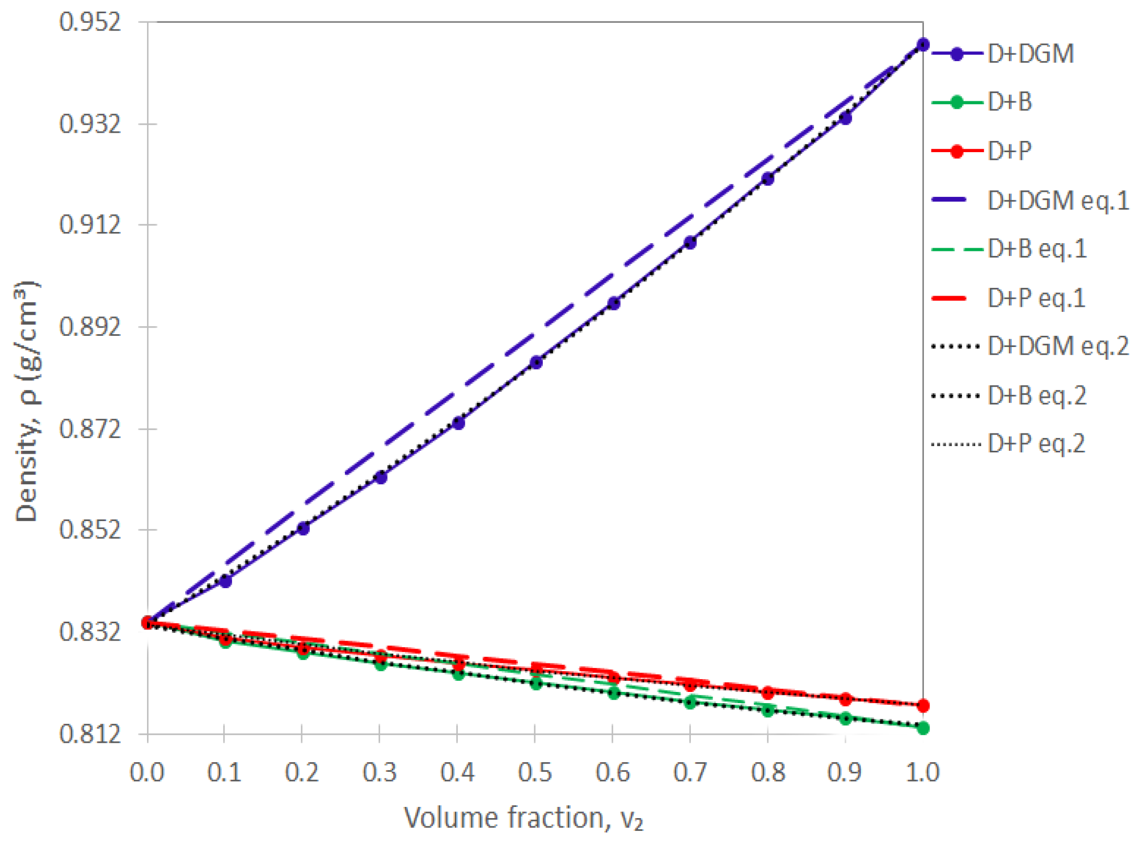
- Correlation with composition
- By using a second-degree polynomial equation obtained from the measured values correlated with the volume fraction [57], increased accuracy can be achieved:where a, b, and c are the regression parameters.
- Correlation with temperature
2.4.2. Blend Viscosity Models
- Correlation with composition
- Correlation with temperature
2.5. Calculation of Cetane Index (CCI)
T50N = T50 − 260
T90N = T90 − 310
2.6. Evaluation of Models
3. Results
3.1. Experimental Results
3.2. Modeling Results
4. Discussion
4.1. Discussion of the Experimental Results
4.2. Discussion of Modeling Results
5. Conclusions
Author Contributions
Funding
Institutional Review Board Statement
Informed Consent Statement
Data Availability Statement
Conflicts of Interest
References
- Atmanli, A.; Yilmaz, N. An experimental assessment on semi-low temperature combustion using waste oil biodiesel/C3-C5 alcohol blends in a diesel engine. Fuel 2020, 260, 116357. [Google Scholar] [CrossRef]
- Campos-Fernández, J.; Arnal, J.M.; Gómez, J.; Pilar Dorado, M. A comparison of performance of higher alcohols/diesel fuel blends in a diesel engine. Appl. Energy 2012, 95, 267–275. [Google Scholar] [CrossRef]
- Campos-Fernandez, J.; Arnal, J.M.; Gomez, J.; Lacalle, N.; Pilar Dorado, M. Performance tests of a diesel engine fueled with pentanol/diesel fuel blends. Fuel 2013, 107, 866–872. [Google Scholar] [CrossRef]
- Dogan, B.; Cakmak, A.; Yesilyurt, M.K.; Dervis, E. Investigation on 1-heptanol as an oxygenated additive with diesel fuel for compression-ignition engine applications: An approach in terms of energy, exergy, exergoeconomic, enviroeconomic, and sustainability analyses. Fuel 2020, 275, 117973. [Google Scholar] [CrossRef]
- Mujtaba, M.; Masjuki, H.; Kalam, M.; Noor, F.; Farooq, M.; Ong, H.C.; Gul, M.; Soudagar, M.E.M.; Bashir, S.; Rizwanul Fattah, I. Effect of additivized biodiesel blends on diesel engine performance, emission, tribological characteristics, and lubricant tribology. Energies 2020, 13, 3375. [Google Scholar] [CrossRef]
- Razzaq, L.; Mujtaba, M.A.; Soudagar, M.E.M.; Ahmed, W.; Fayaz, H.; Bashir, S.; Fattah, I.M.R.; Ong, H.C.; Shahapurkar, K.; Afzal, A.; et al. Engine performance and emission characteristics of palm biodiesel blends with graphene oxide nanoplatelets and dimethyl carbonate additives. J. Environ. Manag. 2021, 282, 111917. [Google Scholar]
- Mujtaba, M.A.; Kalam, M.A.; Masjuki, H.H.; Soudagar, M.E.M.; Khan, H.M.; Fayaz, H.; Farooq, M.; Gul, M.; Ahmed, W.; Ahmad, M.; et al. Effect of palm-sesame biodiesel fuels with alcoholic and nanoparticle additives on tribological characteristics of lubricating oil by four ball tribo-tester. Alex. Eng. J. 2021, 60, 4537–4546. [Google Scholar] [CrossRef]
- Bilgin, A.; Durgun, O.; Sahin, Z. The effects of diesel-ethanol blends on diesel engine performance. Energy Sources Part A 2002, 24, 431–440. [Google Scholar] [CrossRef]
- Lapuerta, M.; García-Contreras, R.; Campos-Fernandez, J.; Dorado, M.P. Stability, Lubricity, Viscosity, and Cold-Flow Properties of Alcohol-Diesel Blends. Energy Fuels 2010, 24, 4497–4502. [Google Scholar] [CrossRef]
- Agarwal, A.K.; Chaudhury, V.H. Spray characteristics of biodiesel/blends in a high-pressure constant volume spray chamber. Exp. Therm. Fluid Sci. 2012, 42, 212–218. [Google Scholar] [CrossRef]
- Moradi, G.R.; Dehghani, S.; Khosravian, F.; Arjmandzadeh, A. The optimized operational conditions for biodiesel production from soybean oil and application of artificial neural networks for estimation of the biodiesel yield. Renew. Energy 2013, 50, 915–920. [Google Scholar] [CrossRef]
- Dhar, A.; Agarwal, A.K. Effect of karanja biodiesel blend on engine wear in a diesel engine. Fuel 2014, 134, 81–89. [Google Scholar] [CrossRef]
- He, C.; Ge, Y.; Tan, J.; Han, X. Spray properties of alternative fuels: A comparative analysis of biodiesel and diesel. Int. J. Energy Res. 2008, 32, 1329–1338. [Google Scholar] [CrossRef]
- Rezaei, R.; Mohadesi, M.; Moradi, G.R. Optimization of biodiesel production using waste mussel shell catalyst. Fuel 2013, 109, 534–541. [Google Scholar] [CrossRef]
- Lopez, E.N.; Medina, A.R.; Moreno, P.A.G.; Cerdan, L.E.; Valverde, L.M.; Grima, E.M. Biodiesel production from Nannochloropsis gaditana lipids through transesterification catalyzed by Rhizopus oryzae lipase. Bioresour. Technol. 2016, 203, 236–244. [Google Scholar] [CrossRef]
- Serdari, A.; Lois, E.; Stournas, S. Tertiary fatty amides as diesel fuel substitutes. Int. J. Energy Res. 2000, 24, 455–466. [Google Scholar] [CrossRef]
- Li, H.; Shen, B.X.; Yu, P.H. The cold temperature fluidities of biodiesel prepared from vegetable oil. Energy Sources Part A 2010, 32, 1195–1200. [Google Scholar] [CrossRef]
- Putrasari, Y.; Lim, O. Dimethyl Ether as the Next Generation Fuel to Control Nitrogen Oxides and Particulate Matter Emissions from Internal Combustion Engines: A Review. ACS Omega 2022, 7, 32–37. [Google Scholar] [CrossRef] [PubMed]
- Tan, Y.R.; Zhu, Q.; Zong, Y.; Lai, J.; Salamanca, M.; Akroyd, J.; Yang, W.; Kraft, M. The influence of alcohol, carbonate and polyethers as oxygenated fuels on the soot characteristics from a CI engine. Fuel 2023, 338, 127296. [Google Scholar] [CrossRef]
- Shoar, F.H.; Najafi, B.; Amir, M. Effects of triethylene glycol mono methyl ether (TGME) as a novel oxygenated additive on emission and performance of a dual-fuel diesel engine fueled with natural gas-diesel/biodiesel. Energy Rep. 2021, 7, 1172–1189. [Google Scholar] [CrossRef]
- Akbarian, E.; Najafi, B. A novel fuel containing glycerol triacetate additive, biodiesel and diesel blends to improve dual-fuelled diesel engines performance and exhaust emissions. Fuel 2019, 236, 666–676. [Google Scholar] [CrossRef]
- Yage, D.; Cheung, C.S.; Zuohua, H. Experimental investigation of particulate emissions from a diesel engine fueled with ultralow-sulfur diesel fuel blended with diglyme. Atmos. Environ. 2010, 44, 55–63. [Google Scholar]
- Ren, Y.; Huang, Z.; Miao, H. Effect of the addition of diglyme in diesel fuel on combustion and emissions in a compression-ignition engine. Energy Fuels 2007, 21, 2573–2583. [Google Scholar] [CrossRef]
- Bertoli, C.; Alessio, J.D.; Giacomo, N.D.; Lazzaro, M.; Massoli, P.; Moccia, V. Running light-duty DI diesel engines with wood pyrolysis oil. SAE Trans. 2000, 1, 2975. [Google Scholar]
- Nabi, M.N.; Chowdhury, M.W. Improvement of engine performance using diethylene glycol dimethyl ether (DGM) as additive. J. Teknol. Univ. Teknol. Malays. 2006, 44A, 1–12. [Google Scholar] [CrossRef]
- Miyamoto, N.; Ogawa, H.; Nabi, M.N.; Obata, K.; Arima, T. Smokeless, Low NOx, High Thermal Efficiency, and Low Noise Diesel Combustion with Oxygenated Agents as Main Fuel. SAE Trans. 1998, 107, 171–177. [Google Scholar]
- Zhu, J.; Cao, X.-L.; Pigeon, R.; Mitchell, K. Comparison of Vehicle Exhaust Emissions from Modified Diesel Fuels. J. Air Waste Manag. Assoc. 2012, 53, 67–76. [Google Scholar] [CrossRef] [PubMed]
- Soo-Young, N. Utilization of Pentanol as Biofuels in Compression Ignition Engines. Front. Mech. Eng. 2020, 6, 15. [Google Scholar]
- Sarathy, S.M. Fuel class higher alcohols chap.2. In Biofuels from Lignocellulosic Biomass: Innovations Beyond Bioethanol, 1st ed.; Boot, M., Ed.; Wiley-VCH Verlag GmbH & CO. KGaA: Weinheim, Germany, 2016; pp. 29–57. [Google Scholar]
- Babu, V.; Murthy, M.; Rao, A.P. Butanol and pentanol: The promising biofuels for CI engines—A review. Renew. Sustain. Energy Rev. 2017, 78, 1068–1088. [Google Scholar]
- Huang, J.C.; Wang, Y.D.; Li, S.D.; Roskilly, A.P.; Yu, H.; Li, H. Experimental investigation on the performance and emissions of a diesel engine fuelled with ethanol-diesel blends. Therm. Eng. 2009, 29, 2484–2490. [Google Scholar] [CrossRef]
- Yao, M.F.; Wang, H.; Zheng, Z.Q.; Yue, Y. Experimental study of n-butanol additive and multi-injection on HD diesel engine performance and emissions. Fuel 2010, 89, 2191–2201. [Google Scholar] [CrossRef]
- Rakopoulos, D.C.; Rakopoulos, C.D.; Giakoumis, E.G.; Dimaratos, A.M.; Kyritsis, D.C. Effects of butanol-diesel fuel blends on the performance and emissions of a high-speed DI diesel engine. Energy Convers. Manag. 2010, 51, 1989–1997. [Google Scholar] [CrossRef]
- Tahiro, Y.; Takeda, K.; Kobayashi, G.; Sonomoto, K. High production of acetone–butanol–ethanol with high cell density culture by cell-recycling and bleeding. J. Biotechnol. 2005, 120, 197–206. [Google Scholar] [CrossRef] [PubMed]
- Qureshi, N.; Maddox, I.S. Continuous production of acetone-butanol-ethanol using immobilized cells of Clostridium acetobutylicum and integration with product removal by liquid–liquid extraction. J. Ferment. Bioeng. 1995, 80, 185–189. [Google Scholar] [CrossRef]
- Rashedul, H.; Masjuki, H.; Kalam, M.; Ashraful, A.; Rahman, S.A.; Shahir, S. The effect of additives on properties, performance and emission of biodiesel fuelled compression ignition engine. Energy Convers. Manag. 2014, 88, 348–364. [Google Scholar] [CrossRef]
- Rakopoulos, C.D.; Dimaratos, A.M.; Giakoumis, E.G.; Rakopoulos, D.C. Study of turbocharged diesel engine operation, pollutant emissions and combustion noise radiation during starting with bio-diesel or n-butanol diesel fuel blends. Appl. Energy 2011, 88, 3905–3916. [Google Scholar] [CrossRef]
- Verma, P.; Stevanovic, S.; Zare, A.; Dwivedi, G.; Van, T.C.; Davidson, M. An overview of the influence of biodiesel, alcohols, and various oxygenated additives on the particulate matter emissions from diesel engines. Energies 2019, 12, 1987. [Google Scholar] [CrossRef]
- Boudy, F.; Seers, P. Impact of physical properties of biodiesel on the injection process in a common-rail direct injection system. Energy Convers. Manag. 2009, 50, 2905–2912. [Google Scholar] [CrossRef]
- Alptekin, E.; Canakci, M. Determination of the density and the viscosities of biodiesel–diesel fuel blends. Renew. Energy 2008, 33, 2623–2630. [Google Scholar] [CrossRef]
- Ramírez-Verduzco, L.F.; García-Flores, B.E.; Rodríguez-Rodríguez, J.E.; del Rayo Jaramillo-Jacob, A. Prediction of the density and viscosity in biodiesel blends at various temperatures. Fuel 2011, 90, 1751–1761. [Google Scholar] [CrossRef]
- Barabás, I. Predicting the temperature dependent density of biodiesel–diesel-bioethanol blends. Fuel 2013, 109, 563–574. [Google Scholar] [CrossRef]
- Lapuerta, M.; Rodríguez-Fernández, J.; Fernández-Rodríguez, D.; Patiño-Camino, R. Modeling viscosity of butanol and ethanol blends with diesel and biodiesel fuels. Fuel 2017, 199, 332–338. [Google Scholar] [CrossRef]
- Mujtaba, M.A.; Kalam, M.A.; Masjuki, H.H.; Razzaq, L.; Khan, H.M.; Elahi, M.; Soudagar, M.; Gul, M.; Waqar, A.; Dhana Raju, V.; et al. Development of empirical correlations for density and viscosity estimation of ternary biodiesel blends. Renew. Energy 2021, 179, 1447–1457. [Google Scholar] [CrossRef]
- Zhu, C.; Yang, F.; Liu, X.; Afzalb, W.; Hea, M. Viscosity of oxygenated fuel: A model based on Eyring’s absolute rate theory. Fuel 2019, 241, 218–226. [Google Scholar] [CrossRef]
- Gülüm, M.; Onay, F.K.; Bilgin, A. Measurement and estimation of densities of different biodiesel-diesel-alcohol ternary blends. Environ. Prog. Sustain. Energy 2019, 38, 13248. [Google Scholar] [CrossRef]
- Benjumea, P.; Agudelo, J.; Agudelo, A. Basic properties of palm oil biodiesel-diesel blends. Fuel 2008, 87, 2069–2075. [Google Scholar] [CrossRef]
- Fasina, O.O.; Hallman, H.; Craig-Schmidt, M.; Clements, C. Predicting temperature-dependence viscosity of vegetable oils from fatty acid composition. J. Am. Oil Chem. Soc. 2006, 83, 899–903. [Google Scholar] [CrossRef]
- Gülüm, M.; Bilgin, A. Two-term power models for estimating kinematic viscosities of different biodiesel-diesel fuel blends. Fuel Process. Technol. 2016, 149, 121–130. [Google Scholar] [CrossRef]
- Gülüm, M.; Bilgin, A. A comprehensive study on measurement and prediction of viscosity of biodiesel-diesel-alcohol ternary blends. Energy 2018, 148, 341–361. [Google Scholar] [CrossRef]
- Tesfa, B.; Mishra, R.; Gu, F.; Powles, N. Prediction models for density and viscosity of biodiesel and their effects on fuel supply system in CI engines. Renew. Energy 2010, 35, 2752–2760. [Google Scholar] [CrossRef]
- Yuan, W.; Hansen, A.C.; Zhang, Q.; Tan, Z. Temperature-dependent kinematic viscosity of selected biodiesel fuels and blends with diesel fuel. J. Am. Oil Chem. Soc. 2005, 82, 195–199. [Google Scholar] [CrossRef]
- ASTM-D4052; Standard Test Method for Density, Relative Density, and API Gravity of Liquids by Digital Density Meter. ASTM—American Society for Testing and Materials: West Conshohocken, PA, USA, 2022.
- ASTM-D7042; Standard Test Method for Measuring Dynamic Viscosity of Liquids Using a Stabinger Viscometer (incl. the Calculation of Kinematic Viscosity). ASTM—American Society for Testing and Materials: West Conshohocken, PA, USA, 2021.
- ASTM-D86; Standard Test for Distillation of Petroleum Products at Atmospheric Pressure. ASTM—American Society for Testing and Materials: West Conshohocken, PA, USA, 2008.
- Clements, D.L. Proceedings of the Third Liquid Fuels. Conf. Am. Soc. Agric. Eng. 1996, 44. [Google Scholar]
- Nita, I.; Geacai, S.; Iulian, O. Measurements and correlations of physico-chemical properties to composition of pseudo-binary mixtures with biodiesel. Renew. Energ. 2011, 36, 3417–3423. [Google Scholar] [CrossRef]
- Nita, I.; Geacai, S. Study of density and viscosity variation with temperature for fuels used for Diesel engine. Ovidius Univ. Ann. Chem. 2011, 22, 57–61. [Google Scholar]
- Allen, C.A.W.; Watts, K.C.; Ackman, R.G.; Pegg, M.J. Predicting the viscosity of biodiesel fuels from their fatty acid ester composition. Fuel 1999, 78, 1319–1326. [Google Scholar] [CrossRef]
- Grunberg, L.; Nissan, A.H. Mixture Law for Viscosity. Nature 1949, 164, 799–802. [Google Scholar] [CrossRef]
- Hind, R.K.; McLaughlin, E.; Ubbelohde, A.R. Structure and Viscosity of Liquids. Camphor + Pyrene Mixtures. Trans. Faraday Soc. 1960, 56, 328–330. [Google Scholar] [CrossRef]
- Kendall, J.; Monroe, K.P. The viscosity of liquids. II. The viscosity-composition curve for ideal liquid mixtures. J. Am. Chem. Soc. 1917, 39, 1787–1802. [Google Scholar] [CrossRef]
- Irving, J.B. Viscosities of binary liquid mixtures: A survey of mixture equations. Natl. Eng. Lab. NEL Rep. 1977, 630. [Google Scholar]
- Andrade, E.N.C. The viscosity of liquids. Nature 1930, 125, 309–310. [Google Scholar] [CrossRef]
- Tat, M.; Van Gerpen, J.H. The kinematic viscosity of biodiesel and its blends with diesel fuel. J. Am. Oil Chem. Soc. 1999, 76, 1511–1513. [Google Scholar] [CrossRef]
- ASTM-D4737; Standard Test Method for Calculated Cetane Index by Four Variable Equation. ASTM—American Society for Testing and Materials: West Conshohocken, PA, USA, 2009.
- Ghosh, P. Predicting the effect of cetane improvers on diesel fuels. Energy Fuel 2008, 22, 1073–1079. [Google Scholar] [CrossRef]
- Aguado-Deblas, L.; Hidalgo-Carrillo, J.; Bautista, F.M.; Luna, C.; Calero, J.; Posadillo, A.; Romero, A.A.; Luna, D.; Estévez, R. Evaluation of Dimethyl Carbonate as Alternative Biofuel. Performance and Smoke Emissions of a Diesel Engine Fueled with Diesel/Dimethyl Carbonate/Straight Vegetable Oil Triple Blends. Sustainability 2021, 13, 1749. [Google Scholar] [CrossRef]
- Kumar, B.R.; Saravanan, S.; Rajaram, K. Combined effect of oxygenates and injection timing for low emissions and high performance in a diesel engine using multi-response optimization. Alex. Eng. J. 2019, 58, 625–636. [Google Scholar] [CrossRef]
- Torres-Jimenez, E.; Jerman, M.S.; Gregorc, A.; Lisec, I.; Dorado, M.P.; Kegl, B. Physical and chemical properties of ethanol–diesel fuel blends. Fuel 2011, 90, 795–802. [Google Scholar] [CrossRef]
- Hajba, L.; Eller, Z.; Nagy, E.; Hancsok, J. Properties of diesel-alcohol blends, Hung. J. Ind. Chem. 2011, 39, 349–352. [Google Scholar]
- Hernández, E.A.; Sánchez-Reyna, G.; Ancheyta, J. Evaluation of mixing rules to predict viscosity of petrodiesel and biodiesel blends. Fuel 2021, 283, 118941. [Google Scholar] [CrossRef]
- Todoruț, A.; Molea, A.; Barabás, I. Predicting the Temperature and Composition—Dependent Density and Viscosity of Diesel Fuel—Ethanol Blends. Period. Polytech. Chem. Eng. 2020, 64, 213–220. [Google Scholar] [CrossRef]
- Geacai, E.; Nita, I.; Osman, S.; Iulian, O. Effect of n-butanol addition on density and viscosity of biodiesel. UPB Sci. Bull. 2017, 79, 11–24. [Google Scholar]
- Dikio, E.D.; Nelana, S.M.; Isabirye, D.A.; Ebenso, E.E. Density, dynamic viscosity and derived properties of binary mixtures of methanol, ethanol, n-propanol, and n-butanol with pyridine at T = (293.15, 303.15, 313.15 and 323.15) K. Int. J. Electrochem. Sci. 2012, 7, 11101–11122. [Google Scholar] [CrossRef]
- Ileri, E.; Atmanli, A.; Yilmaz, N. Comparative analyses of n-butanol-rapeseed oil-diesel blend with biodiesel, diesel and biodiesel-diesel fuels in a turbocharged direct injection diesel engine. J. Energy Inst. 2016, 89, 586–593. [Google Scholar] [CrossRef]
- Yang, P.-M.; Lin, Y.-C.; Lin, K.C.; Jhang, S.-R.; Chen, S.-C.; Wang, C.-C.; Lin, Y.-C. Comparison of carbonyl compound emissions from a diesel engine generator fueled with blends of n-butanol, biodiesel and diesel. Energy 2015, 90, 266–273. [Google Scholar] [CrossRef]
- Razzaq, L.; Farooq, M.; Mujtaba, M.A.; Sher, F.; Farhan, M.; Hassan, M.T.; Soudagar, M.E.M.; Atabani, A.E.; Kalam, M.A.; Imran, M. Modeling Viscosity and Density of Ethanol-Diesel-Biodiesel Ternary Blends for Sustainable Environment. Sustainability 2020, 12, 5186. [Google Scholar] [CrossRef]
- MuDíková, Z.; ŠimáIek, P.; Pospíšil, M.; Šebor, G. Density, Viscosity and Water Phase Stability of 1-Butanol-Gasoline Blends. J. Fuels 2014, 7, 1–7. [Google Scholar] [CrossRef]
- Gustavo, A.; Iglesias-Silva, J.; Cano-Gómez, J.; Vargas-Ibáñez, L.T.; Amezquita-Garcia, H.J.; Cerino-Córdova, F.D.J. Densities and Viscosities for Binary Liquid Mixtures of Pentanol Isomers from (288.15 to 328.15) K at 0.1 MPa. J. Chem. Eng. 2019, 64, 1922–1936. [Google Scholar]
- Wang, X.; Wang, X.; Wang, D. Volumetric and Viscometric Properties of Ethyl Caprate + 1-Propanol, +1-Butanol, and +1-Pentanol from 283.15 to 318.15 K. J. Mol. Liq. 2017, 225, 311–319. [Google Scholar] [CrossRef]
- Iglesias-Silva, G.A.; Guzmán-López, A.; Pérez-Durán, G.; Ramos-Estrada, M. Densities and Viscosities for Binary Liquid Mixtures of n-Undecane + 1-Propanol, +1-Butanol, +1-Pentanol, and +1-Hexanol from 283.15 to 363.15 K at 0.1 MPa. J. Chem. Eng. Data 2016, 61, 2682–2699. [Google Scholar] [CrossRef]
- Romano, E.; Trenzado, J.L.; González, E.; Matos, J.S.; Segade, L.; Jiménez, E. Thermophysical Properties of Four Binary Dimethyl Carbonate + 1-Alcohol Systems at 288.15−313.15 K. Fluid Phase Equilibria 2003, 211, 219–240. [Google Scholar] [CrossRef]
- ASTM-D5453; Standard Test Method for Determination of Total Sulfur in Light Hydrocarbons, Spark Ignition Engine Fuel, Diesel Engine Fuel, and Engine Oil by Ultraviolet Fluorescence. ASTM—American Society for Testing and Materials: West Conshohocken, PA, USA, 2019.
- Xiaohui, Y.; Xin, H.; Wei, Z.; Peng, W.; Shaoping, X. Comparisons of the Emissions of Ethanol/Diesel and n-Pentanol/Diesel Fuel Blends: Engine Test and Kinetic Modeling Study. IEEE Access 2019, 7, 106213–106224. [Google Scholar]
- ASTM-D613; Standard Test Method for Cetane Number of Diesel Fuel Oil. ASTM—American Society for Testing and Materials: West Conshohocken, PA, USA, 2018.
- ASTM-D93; Standard Test Methods for Flash Point by Pensky-Martens Closed Cup Tester. ASTM—American Society for Testing and Materials: West Conshohocken, PA, USA, 2020.
- Chandra, R. Fuel Properties of Some Stable Alcohol–Diesel Microemulsions for Their Use in Compression Ignition Engines. Energy Fuel 2007, 21, 3410–3414. [Google Scholar] [CrossRef]
- Chen, Z.; Liu, J.; Hau, Z.; Dee, B.; Liu, Y.; Lee, C. Study on performance and emissions of a passenger-car diesel engine fueled with butanol-diesel blends. Energy 2013, 55, 638–646. [Google Scholar] [CrossRef]
- Dong-Myeong, H.; Sung-Jin, L.; Keesin, J. The Measurement and Estimation of Lower Flash Point for o-Xylene + n-Pentanol and m-Xylene + n-Hexanol Systems Using Tag Open-Cup Tester. J. Korean Inst. Gas 2010, 14, 19–25. [Google Scholar]









| Property | Method | Diesel Fuel | DGM | n-Butanol | n-Pentanol | ||||
|---|---|---|---|---|---|---|---|---|---|
| Exp. | Lit. | Exp. | Lit. | Exp. | Lit. | Exp. | Lit. | ||
| Oxygen content (wt.%) | 0 | 0 [68] | - | 36 [69] | - | 21.59 [21] | - | 18.15 [2] | |
| Kinematic viscosity at 40 °C (mm2·s−1) | ASTM D7042 [54] | 2.9870 | 2.78 [70] 2.86 [71] 2.8821 [72] 2.7532 [73] | 0.9368 | - | 2.3369 | 2.2362 [74] 2.2216 [75] 2.23 [76] 2.24 [77] | 2.9622 | 2.89 [28] |
| Density at 15 °C (g·cm−3) | ASTM D4052 [53] | 0.8339 | 0.8364 [71] 0.8351 [72] 0.836 [78] | 0.9477 | 0.937 [69] | 0.8134 | 0.8115 [43] 0.8141 [79] | 0.8175 | 0.81856 [80] 0.8187 [81] 0.8183 [82] 0.8183 [83] |
| Sulfur content (mg·kg−1) | ASTM D5453 [84] | 8 | 8 [71] | - | 0 [22] | - | 0 [74] | - | 0 [85] |
| Cetane number | ASTM D613 [86] | 52 | 51 [68] 52 [22] | - | 126 [69] | - | 17 [2] | - | 20 [2] |
| Flash point (°C) | ASTM D93 [87] | 59 | 60.0 [88] 52 [71] | - | 30 [69] | - | 33 [74] 35 [89] | - | 53.0 [90] 49 [28] |
| Molecular weight (g·mol−1) | 204 | 148.3 [69] 197.21 [2] | - | 134.17 [69] | - | 74.12 [2] | - | 88.15 [2] | |
| Parameter | Temperature, K | |||||||
|---|---|---|---|---|---|---|---|---|
| 288.15 | 293.15 | 298.15 | 303.15 | 308.15 | 313.15 | 318.15 | 323.15 | |
| Diesel + DGM | ||||||||
| a | 0.0224 | 0.0218 | 0.0214 | 0.0221 | 0.0224 | 0.0228 | 0.0232 | 0.0231 |
| b | 0.0917 | 0.0912 | 0.0901 | 0.0880 | 0.0862 | 0.0843 | 0.0823 | 0.0808 |
| c | 0.8334 | 0.8294 | 0.8259 | 0.8224 | 0.8189 | 0.8154 | 0.8120 | 0.8085 |
| R2 | 0.9999 | 0.9999 | 0.9999 | 0.9999 | 0.9999 | 0.9999 | 0.9999 | 0.9999 |
| SD | 0.0005 | 0.0004 | 0.0004 | 0.0004 | 0.0004 | 0.0004 | 0.0004 | 0.0003 |
| Diesel + n-butanol | ||||||||
| a | 0.0062 | 0.0055 | 0.0059 | 0.0062 | 0.0067 | 0.0074 | 0.0085 | 0.0093 |
| b | −0.0258 | −0.0250 | −0.0257 | −0.0264 | −0.0271 | −0.0283 | −0.0299 | −0.0310 |
| c | 0.8333 | 0.8292 | 0.8257 | 0.8221 | 0.8186 | 0.8151 | 0.8117 | 0.8081 |
| R2 | 0.9978 | 0.9990 | 0.9990 | 0.9988 | 0.9985 | 0.9987 | 0.9988 | 0.9982 |
| SD | 0.0003 | 0.0002 | 0.0002 | 0.0003 | 0.0003 | 0.0003 | 0.0003 | 0.0003 |
| Diesel + n-pentanol | ||||||||
| a | 0.0045 | 0.0040 | 0.0046 | 0.0051 | 0.0055 | 0.0062 | 0.0068 | 0.0075 |
| b | −0.0201 | −0.0193 | −0.0200 | −0.0207 | −0.0212 | −0.0221 | −0.0230 | −0.0240 |
| c | 0.8333 | 0.8293 | 0.8257 | 0.8222 | 0.8187 | 0.8151 | 0.8117 | 0.8082 |
| R2 | 0.9963 | 0.9987 | 0.9985 | 0.9986 | 0.9982 | 0.9978 | 0.9975 | 0.9973 |
| SD | 0.0004 | 1.98−15 | 0.0002 | 0.0002 | 0.0003 | 0.0003 | 0.0003 | 0.0003 |
| Parameter | Composition v2 | ||||||||||
|---|---|---|---|---|---|---|---|---|---|---|---|
| 0.0 | 0.1 | 0.2 | 0.3 | 0.4 | 0.5 | 0.6 | 0.7 | 0.8 | 0.9 | 1.0 | |
| Diesel + DGM | |||||||||||
| a | 2·10−6 | −1·10−7 | 2·10−7 | 4·10−7 | 2·10−7 | −3·10−7 | −1·10−7 | −2·10−7 | −6·10−7 | −1·10−7 | −4·10−7 |
| b | −0.0008 | −0.0007 | −0.0008 | −0.0008 | −0.0008 | −0.0008 | −0.0009 | −0.0009 | −0.0009 | −0.001 | −0.001 |
| c | 0.8455 | 0.8532 | 0.864 | 0.8748 | 0.8859 | 0.8978 | 0.9101 | 0.9225 | 0.935 | 0.9476 | 0.9623 |
| R2 | 0.9997 | 1.0000 | 1.0000 | 1.0000 | 1.0000 | 0.9999 | 1.0000 | 1.0000 | 1.0000 | 1.0000 | 1.0000 |
| SD | 0.0013 | 0.0011 | 0.0010 | 0.0010 | 0.0017 | 0.0019 | 0.0007 | 0.0004 | 0.0004 | 0.0017 | 0.0013 |
| Diesel + n-butanol | |||||||||||
| a | 2·10−6 | 2·10−8 | 5·10−8 | −4·10−7 | −4·10−7 | −4·10−7 | −5·10−7 | −1·10−6 | −6·10−7 | −5·10−7 | −2·10−7 |
| b | −0.0008 | −0.0007 | −0.0007 | −0.0007 | −0.0007 | −0.0007 | −0.0007 | −0.0007 | −0.0007 | −0.0007 | −0.0008 |
| c | 0.8455 | 0.8411 | 0.8391 | 0.8369 | 0.835 | 0.8333 | 0.8314 | 0.8293 | 0.8279 | 0.8263 | 0.8249 |
| R2 | 0.9997 | 0.9999 | 0.9999 | 1.0000 | 1.0000 | 1.0000 | 1.0000 | 1.0000 | 1.0000 | 1.0000 | 1.0000 |
| SD | 0.0013 | 0.0012 | 0.0019 | 0.0013 | 0.0016 | 0.0019 | 0.0018 | 0.0006 | 0.0018 | 0.0020 | 0.0016 |
| Diesel + n-pentanol | |||||||||||
| a | 2·10−6 | 5·10−8 | 7·10−8 | −2·10−7 | −2·10−7 | −2·10−7 | −1·10−7 | −1·10−7 | −4·10−7 | −7·10−7 | −4·10−7 |
| b | −0.0008 | −0.0007 | −0.0007 | −0.0007 | −0.0007 | −0.0007 | −0.0007 | −0.0007 | −0.0007 | −0.0007 | −0.0007 |
| c | 0.8455 | 0.8418 | 0.8400 | 0.8384 | 0.837 | 0.8356 | 0.8343 | 0.8328 | 0.8312 | 0.8295 | 0.8284 |
| R2 | 0.9997 | 1.0000 | 1.0000 | 1.0000 | 1.0000 | 1.0000 | 1.0000 | 1.0000 | 1.0000 | 1.0000 | 1.0000 |
| SD | 0.0013 | 0.0013 | 0.0016 | 0.0013 | 0.0016 | 0.0017 | 0.0020 | 0.0019 | 0.0012 | 0.0001 | 0.0009 |
| Eq. | Parameter/SD | Temperature, K | |||||||
|---|---|---|---|---|---|---|---|---|---|
| 288.15 | 293.15 | 298.15 | 303.15 | 308.15 | 313.15 | 318.15 | 323.15 | ||
| Diesel + DGM | |||||||||
| (5) | G12 | −0.9712 | −0.8091 | −0.7383 | −0.7171 | −0.6413 | −0.5741 | −0.5756 | −0.5474 |
| SD | 0.0955 | 0.0418 | 0.0321 | 0.0278 | 0.0190 | 0.0192 | 0.0161 | 0.0190 | |
| (6) | H12 | 0.9854 | 1.0885 | 1.0745 | 1.0213 | 0.9973 | 0.9804 | 0.9213 | 0.8818 |
| SD | 0.2903 | 0.1553 | 0.1251 | 0.1017 | 0.0872 | 0.0706 | 0.0604 | 0.0564 | |
| Diesel + n-butanol | |||||||||
| (5) | G12 | −0.6334 | −0.5313 | −0.5149 | −0.5435 | −0.5566 | −0.6127 | −0.5805 | −0.5883 |
| SD | 0.1840 | 0.1167 | 0.1030 | 0.0855 | 0.0764 | 0.0553 | 0.0588 | 0.0600 | |
| (6) | H12 | 3.4266 | 3.0810 | 2.7437 | 2.4044 | 2.1315 | 1.8722 | 1.6982 | 1.5258 |
| SD | 0.2150 | 0.1348 | 0.1196 | 0.1008 | 0.0909 | 0.0682 | 0.0718 | 0.0732 | |
| Diesel + n-pentanol | |||||||||
| (5) | G12 | −0.5459 | −0.5030 | −0.4948 | −0.5278 | −0.5265 | −0.5350 | −0.5379 | −0.5595 |
| SD | 0.1234 | 0.1194 | 0.1006 | 0.0875 | 0.0815 | 0.0699 | 0.0628 | 0.0573 | |
| (6) | H12 | 4.0362 | 3.6657 | 3.2533 | 2.8207 | 2.5042 | 2.2242 | 1.9902 | 1.7789 |
| SD | 0.1166 | 0.1157 | 0.0976 | 0.0861 | 0.0816 | 0.0710 | 0.0654 | 0.0609 | |
| Eq. | Parameter/SD | Composition v2 | ||||||||||
|---|---|---|---|---|---|---|---|---|---|---|---|---|
| 0.0 | 0.1 | 0.2 | 0.3 | 0.4 | 0.5 | 0.6 | 0.7 | 0.8 | 0.9 | 1.0 | ||
| Diesel + DGM | ||||||||||||
| (8) | a′ | 0.0037 | 0.0064 | 0.0095 | 0.0104 | 0.0126 | 0.0144 | 0.0151 | 0.0149 | 0.0183 | 0.0164 | 0.0163 |
| b′ | 2097.94 | 1875.57 | 1693.96 | 1620.86 | 1523.84 | 1444.28 | 1393.76 | 1369.3102 | 1279.8552 | 1289.47 | 1270.79 | |
| SD | 1.6368 | 0.0299 | 0.0178 | 0.0166 | 0.0206 | 0.0164 | 0.0075 | 0.0089 | 0.0086 | 0.0027 | 0.0072 | |
| (9) | a′ | −5.6446 | −5.0507 | −4.6524 | −4.5576 | −4.3707 | −4.2357 | −4.1892 | −4.2002 | −3.9943 | −4.1035 | −4.1123 |
| b′ | 2112.24 | 1875.40 | 1691.68 | 1618.01 | 1523.37 | 1442.77 | 1392.83 | 1367.66 | 1278.06 | 1286.99 | 1268.83 | |
| c′ | 14.7917 | 13.2473 | 12.0475 | 11.5702 | 10.9563 | 10.4278 | 10.1035 | 9.9405 | 9.3542 | 9.4116 | 8.2987 | |
| SD | 0.1462 | 0.0328 | 0.0197 | 0.0184 | 0.0226 | 0.0180 | 0.0083 | 0.0098 | 0.0094 | 0.0029 | 0.0079 | |
| Diesel + n-butanol | ||||||||||||
| (8) | a′ | 0.0037 | 0.0033 | 0.0031 | 0.0029 | 0.0024 | 0.0024 | 0.0024 | 0.0017 | 0.0017 | 0.0019 | 0.0020 |
| b′ | 2097.95 | 2097.91 | 2097.90 | 2097.93 | 2150.36 | 2150.39 | 2150.79 | 2241.99 | 2241.99 | 2212.13 | 2208.38 | |
| SD | 0.1368 | 0.0542 | 0.0405 | 0.0519 | 0.0384 | 0.0285 | 0.0501 | 0.0171 | 0.0116 | 0.0299 | 0.0326 | |
| (9) | b′ | −5.6446 | −5.7660 | −5.7555 | −5.9029 | −5.9970 | −6.0449 | −6.2716 | −6.3404 | −6.2973 | −6.2723 | −6.2037 |
| b′ | 2112.24 | 2110.65 | 2086.94 | 2121.08 | 2143.86 | 2156.45 | 2218.53 | 2239.03 | 2226.36 | 2218.79 | 2200.65 | |
| c′ | 14.7917 | 14.7737 | 14.6192 | 14.8414 | 14.9878 | 15.0690 | 15.4698 | 15.6040 | 15.5183 | 15.4697 | 15.3468 | |
| SD | 1.7922 | 0.0565 | 0.0461 | 0.0515 | 0.0430 | 0.0300 | 0.0351 | 0.0193 | 0.0095 | 0.0319 | 0.0357 | |
| Diesel + n-pentanol | ||||||||||||
| (8) | b′ | 0.0056 | 0.0041 | 0.0037 | 0.0032 | 0.0026 | 0.0022 | 0.0019 | 0.0019 | 0.0017 | 0.0017 | 0.0014 |
| b′ | 1968.91 | 2037.22 | 2056.88 | 2097.21 | 2165.89 | 2218.63 | 2263.01 | 2275.35 | 2312.53 | 2323.26 | 2406.15 | |
| SD | 0.0232 | 0.0198 | 0.0251 | 0.0286 | 0.0250 | 0.0259 | 0.0301 | 0.0327 | 0.0364 | 0.0296 | 0.0187 | |
| (9) | b′ | −5.1816 | −5.4881 | −5.5871 | −5.7352 | −5.9624 | −6.1046 | −6.2711 | −6.2983 | −6.3574 | −6.4561 | −6.5912 |
| b′ | 1967.52 | 2033.64 | 2055.61 | 2095.64 | 2166.42 | 2214.71 | 2271.19 | 2287.20 | 2314.33 | 2352.68 | 2403.57 | |
| c′ | 13.8436 | 14.2702 | 14.4135 | 14.6718 | 15.1328 | 15.4447 | 15.8099 | 15.9129 | 16.0857 | 16.3360 | 16.6667 | |
| SD | 0.0255 | 0.0216 | 0.0275 | 0.0311 | 0.0274 | 0.0279 | 0.0337 | 0.0370 | 0.0403 | 0.0340 | 0.0199 | |
| Composition v2 | Density, g·cm−3 | Cetane Index | |
|---|---|---|---|
| Diesel + DGM | 0.0 | 0.8339 | 53.4979 |
| 0.1 | 0.8423 | 46.8771 | |
| 0.2 | 0.8524 | 41.4752 | |
| Diesel + n-butanol | 0.0 | 0.8339 | 53.4979 |
| 0.1 | 0.8303 | 50.2080 | |
| 0.2 | 0.8280 | 48.9343 | |
| Diesel + n-pentanol | 0.0 | 0.8339 | 53.4979 |
| 0.1 | 0.8309 | 50.3290 | |
| 0.2 | 0.8290 | 48.7642 |
Disclaimer/Publisher’s Note: The statements, opinions and data contained in all publications are solely those of the individual author(s) and contributor(s) and not of MDPI and/or the editor(s). MDPI and/or the editor(s) disclaim responsibility for any injury to people or property resulting from any ideas, methods, instructions or products referred to in the content. |
© 2023 by the authors. Licensee MDPI, Basel, Switzerland. This article is an open access article distributed under the terms and conditions of the Creative Commons Attribution (CC BY) license (https://creativecommons.org/licenses/by/4.0/).
Share and Cite
Osman, S.; Stefaniu, A. Density, Viscosity, and Distillation Temperatures of Binary Blends of Diesel Fuel Mixed with Oxygenated Components at Different Temperatures. Sustainability 2023, 15, 15460. https://doi.org/10.3390/su152115460
Osman S, Stefaniu A. Density, Viscosity, and Distillation Temperatures of Binary Blends of Diesel Fuel Mixed with Oxygenated Components at Different Temperatures. Sustainability. 2023; 15(21):15460. https://doi.org/10.3390/su152115460
Chicago/Turabian StyleOsman, Sibel, and Amalia Stefaniu. 2023. "Density, Viscosity, and Distillation Temperatures of Binary Blends of Diesel Fuel Mixed with Oxygenated Components at Different Temperatures" Sustainability 15, no. 21: 15460. https://doi.org/10.3390/su152115460
APA StyleOsman, S., & Stefaniu, A. (2023). Density, Viscosity, and Distillation Temperatures of Binary Blends of Diesel Fuel Mixed with Oxygenated Components at Different Temperatures. Sustainability, 15(21), 15460. https://doi.org/10.3390/su152115460

