Abstract
Drought stress provokes plants to change their growth pattern and biochemical contents to overcome adverse situations. Soybean was grown under 40 (drought) and 80% (control) of field capacity (FC) to determine the morpho-physiological and biochemical alterations that occur under drought conditions. The experiment was conducted following a randomized complete block design with three replications. The results showed that drought exerted detrimental effects on photosynthetic attributes, leaf production, pigment and water content, plant growth, and dry matter production of soybean. However, drought favored producing a higher amount of proline and malondialdehyde in soybean leaf than in the control. The pod and seed production, grain size, and seed yield of soybean were also adversely affected by the drought, where genotypic variations were conspicuous. Interestingly, the studied morpho-physiological and biochemical parameters of AGS383 were minimally affected by drought. This genotype was capable of maintaining healthier root and shoot growth, greater leaf area, preserving leaf greenness and cell membrane stability, higher photosynthesis, absorbing water and sustaining leaf water potential, and lower amount of proline and malondialdehyde production under drought conditions. The heavier grains of AGS383 make it out yielder under both growth conditions. Considering the changes in morpho-physiological, biochemical, and yield contributing parameters, the genotype AGS383 could be cultivated as a relatively drought-tolerant, high-yielding soybean variety. Further study is needed to uncover the genes responsible for the adaptation of AGS383 to drought-stress environments, and this genotype might be used as parent material in a breeding program to develop a high-yielding, drought-tolerant soybean variety.
1. Introduction
Soybean [Glycine max (L.) Merr.] seeds are an important source of protein, folic acid, vitamins, and minerals [1,2,3,4,5,6]. The wide adaptability of this crop makes it popular worldwide and its cultivation is increasing gradually. Annually, the majority of the world’s soybeans are produced in the USA, while a large percentage of soybean is also produced in Sub-Saharan Africa, Brazil, and Nigeria [7].
This crop has been cultivated since the early 1970s in Bangladesh by the Mennonite Central Committee; recently, the cultivation of soybean has been extended dramatically from only 5000 ha in 2005 [8] to 62,508.50 ha in 2018–2019 [9]. The consciousness about the high protein and nutrient content of soybean is increasing day by day [10,11]. Bangladesh has achieved almost self-sufficiency in cereal production, though the levels of malnutrition among children, adolescents, and women are amongst the highest in the world. Plants are natural sources of biochemicals with numerous phenolics, antioxidants, vitamins, flavonoids, minerals, numerous pigments, dietary fiber, protein, and carbohydrates [12,13,14,15,16,17]. Due to the high protein, oil, carbohydrate, sugar, dietary fiber, vitamin, and mineral content of soybean, it can be a good candidate crop for improving the nutrition of Bangladeshi people. Moreover, the isoflavones present in soybean seeds are beneficial for decreasing certain cancers, osteoporosis, cardiovascular diseases, and menopausal symptoms.
Three planting times may be recommended for soybean cultivation in Bangladesh, namely Rabi (started in mid-October and ended in mid-March), Kharif 1 (started in mid-March and ended in mid-July), and Kharif 2 (started in mid-July and ended in mid-October). However, most of the lands remain occupied with Aman rice in Kharif 2, while during Rabi, the land is used for growing winter crops. Therefore, Kharif 1 season may be a good option for growing soybean when only a few field crops are grown. However, it is difficult to harvest good crops in Kharif 1 season due to the shortage of water and prevailing high temperature. Another option to increase soybean production is to intensify its cultivation in char lands (land of a riverbank or any accretion in a river course or estuary), which comprised one million hectares. The soils of char lands are sandy or silty loam with low moisture-holding capacity. There is minimum crop diversity in chars compared to that of the mainland [18]. Moreover, there is no good variety of soybeans developed so far for the Kharif 1 season, and no significant attempt has been taken to include soybean in Kharif 1 for fitting into a rice-cropping pattern in the drought-prone areas.
Drought, a shortage of water in the plant root zone, is the most significant abiotic stress affecting food production and security worldwide [19]. It hampers farming, and changes the morphology of the plants, reducing seed quality and quantity [20,21]. Drought affects the physiological processes of plants that are related to crop growth, development, and economic yield [22,23,24]. Drought stress reduces the production of crops [25] by creating osmotic stress [26,27] and reactive oxygen species (ROS) [28], which eventually generate oxidative damage and change numerous physiological and biochemical activities such as membrane, DNA, and protein damages, nutrient imbalance [29,30], and diminution in photosynthetic rates and changes color pigments [31,32,33]. Plant cells lose their turgidity, which hampers cell enlargement and plant growth under drought conditions [34]. The most important physiological process of photosynthesis (Pn) reduces under drought conditions resulting in decreased productivity of plants [35]. Further, it also decreases the leaf area index (LAI) in various crops [36]. Reduction in LAI causes lower Pn in plants leading to less dry matter (DM) production. Reduction in plant growth, leaf size, root, and stem DM is a common phenomenon when plants are exposed to drought at any growth stage. Moreover, plants are severely affected when water stress occurs at the reproductive stages rather than at the vegetative stage [37]. Moradi et al. [38] stated that drought during reproductive stages significantly reduced flower and pod numbers, and consequently, crop yield. To mitigate stresses, the plant has enhanced both enzymatic and non-enzymatic antioxidants, such as tocopherols, betalain, ascorbic acids, carotenoids, betacyanin, betaxanthin, chlorophyll a (Chl a), Chl b, beta-carotene, phenolic and flavonoids [39,40,41,42,43,44,45] and detoxify the ROS. Under drought conditions, grain yield could be considered as suitable criteria for the selection of drought tolerant variety. The varieties that perform better in terms of yield loss in drought conditions could be considered drought tolerant.
The crop damage due to environmental stress, i.e., drought and high temperature, differs among crop species and within the genotypes of a single species. Several physiological changes occur during the prevailing stress; notably, changes in water relations, biochemical and enzymatic activities, etc. [46,47]. According to Zlatev and Lindon [48], the effect of drought is perceived in the decrease in growth and photosynthetic carbon assimilation. The changes in plant water content, physiological process, and biochemical attributes of the cell are the common changes during drought. However, changes in membrane structure and ultrastructure of subcellular organelles are also fundamental changes that occur under drought stress [49]. Moreover, those changes are situation-specific and thus, it is necessary to analyze those changes that occur in plants using a particular situation of environmental stress to understand the mechanisms of stress tolerance of the particular crop. In this study, the popular soybean varieties, including new lines, were cultivated under favorable as well as drought conditions. The findings of the study will help to identify some mechanisms of drought tolerance in soybean and identify some phenotypes tolerant under water-scarce conditions. Understanding drought tolerance potential in the plant is crucial to facilitate the genetic improvement of crop plants, especially for developing climate-smart crop varieties [50,51]. Given the importance of soybean production under changing climatic conditions, the specific objectives of this present study were (i.) to select drought-tolerant soybean genotypes which can be grown under field conditions with less water, and (ii.) to determine the effects of drought stress on various morpho-physiological and biochemical properties, as well as the yield of soybean genotypes.
2. Materials and Methods
2.1. Experimental Site
Two experiments were carried out in the research field of Bangabandhu Sheikh Mujibur Rahman Agricultural University (24°09′ N and 90°26′ E), Gazipur, Bangladesh. The soil has low organic matter (1.5–2.0%) and the metrological data are shown in Table 1. The air temperature and relative humidity were low in the early crop growth stage and increase gradually from January to June (Table 1). Total monthly precipitation was minimal up to March, but dramatically increases from April.
Table 1.
Temperature, precipitation, and relative humidity of the research site during the experiment period.
2.2. Experimental Treatment and Design
The land of the experimental field was prepared by plowing with a tractor and then harrowing. At the final land preparation, nine soil samples were collected from 0–15 cm depth of the experimental plot. A composite soil sample was prepared by mixing the collected samples. The sample was air-dried, crushed, and passed through a 2 mm sieve. The pH of the experimental soil was 6.1, soil organic matter was 1.20%, and total N was 0.12%. The status of available P, exchangeable K, and available S were 6.33 μg g−1, 0.18 meq/100 g, and 12 μg g−1, respectively. The plot was fertilized with 55, 160, 110, 95, and 10 kg ha−1 urea, triple super phosphate, muriate of potash, gypsum, and zinc sulfate, respectively. All the fertilizers except half of the urea were applied as basal and the remaining half of the urea was applied 30 days after sowing (DAS). The fertilizers were uniformly incorporated into the plot before sowing seeds. The first experiment was conducted in 2015, while the second one was in 2018. In the first experiment, 50 soybean genotypes were used as planting material (Table 2) from which two genotypes (AGS383 and BD2336) were selected as drought tolerant and used in the second experiment. Seeds of soybean were sown by hand in mid-January maintaining 30 cm from line to line and 5 cm from plant to plant spacing, and the crop was harvested in mid-April each year. In both years, crops were grown in control (80% of field capacity, FC) and drought (40% FC) conditions. The findings of our previous study showed that soybean cultivars used in this experiment were tolerant up to 40% FC. BARI Soybean6 was used as a drought susceptible check variety. Each experiment was laid out in a randomized complete block design with three replications.
Table 2.
Drought tolerance indexes of agronomic parameters in soybean under drought conditions.
2.3. Water Stress Imposition
Light irrigation was given after the sowing of soybean seeds. Most of the seedlings emerged within 3–4 DAS. Excess seedlings were thinned out after one week of emergence. Regular irrigation was applied with a hosepipe attached to a water tape both in control and drought plots up to the trifoliate stage (15 DAS) of soybean for seed germination and establishment of the young seedling. Drought treatments were imposed after the trifoliate stage of the crop. One day before treatment imposition, irrigation was applied to each plot to maintain the soil moisture content of all plots equally. Water stress condition was induced by withholding water until the wilting symptom was observed in plants. The wilting symptom in plants was visually observed every day.
To maintain 40% of FC, water was applied in each plot at the first appearance of wilting symptoms in plants. In general, water was applied after 3–5 days of the previous application. Before applying water, soil moisture content was measured using a soil moisture meter. During soil moisture content, 15 cm soil depth was considered. The soil of the experimental plot contains 30% soil moisture at FC. Thus, about 12% of soil moisture content was ensured through irrigation for maintaining 40% FC of the experimental soil. In the control treatment, water was applied to ensure 80% of FC by maintaining 24% soil moisture in the experimental plot.
2.4. Intercultural Operation and Harvesting Crops
Weeding and other cultural operations were done uniformly for the proper growth of the crop. Plant protection measures were taken by spraying admire @ 0.5 mL L−1 (Syngenta, Dhaka, Bangladesh). The crop was harvested when the plants attained full maturity.
2.5. Sampling and Data Collection
Data were collected on plant height, stem DM, and yield attributes from ten plants, and means were determined. Data were collected from the center of each plot to maintain data accuracy. For growth and DM, estimation sampling was done at 30 and 60 DAS. Five plants from each plot were sampled at the base. The plant parts were segmented into different components, such as leaf, root, nodule, stem, pod, and seed. The plant height was measured by a measuring scale (100 cm). The height was measured from the base of the cut plants to the tip of the shoot and the height of five plants was averaged. The total leaves of the collected five plants were counted and averaged for leaves plant−1. The leaf area was measured by an automatic leaf area meter (model: AAM-8, Hayashi Denko, Tokyo, Japan). To record DM of leaf, nodule, stem, and root, the plant parts were dried at 70 °C for 72 h.
2.6. Estimation of Proline and Malondialdehyde
Proline and malondialdehyde (MDA) content in the leaf of all soybean varieties grown in two water regimes was estimated at 60 DAS [26]. Leaves were collected from each plot and immediately kept in an ice bag and brought to the laboratory. The 0.5 g of fresh weight (FW) of the leaf was taken for proline estimation and subsequently, proline was estimated. At first, a 0.5 g leaf sample was homogenized in 5 mL of 6% aqueous sulfosalicylic acid and centrifuged for 20 min at 4000 rpm. Two (2) mL supernatant was taken in a test tube with 2 mL of acid ninhydrin and 2 mL of glacial acetic acid and covered tightly with aluminum foil. The test tube was heated at 100 °C for 30 min and the reaction was terminated in an ice bath for 15 min. The reaction mixture was added with 4 mL toluene and mixed vigorously for 15–20 s. Keeping at room temperature for 10 min, the toluene layer was separated and absorbance was measured at 520 nm using a toluene blank. The proline concentration was determined from the standard curve and calculated on an FW basis as follows:
For MDA estimation, 0.5 g of fresh leaves are homogenized in 3 mL 5% trichloroacetic acid solution. The homogenate was centrifuged for 15 min at 15,500× g at 4 °C. Then, 1 mL supernatant was added with 4 mL reaction mixture to the test tube and heated at 95 °C for 30 min in a water bath. After cooling down, the solution was centrifuged again at 15,500× g for 10 min. Finally, the absorbance of the colored supernatant was measured at 532 nm and 600 nm. The MDA content was calculated on an FW basis as follows:
where A532 = Absorbance reading at 532 nm, A600 = Absorbance reading at 600 nm. The MDA concentration is calculated using the Lambert-Beer law with an extinction coefficient εM = 155 mM−1 cm−1.
MDA (nanomoles g−1 FW) = [{(A532 — A600)/155} × 103 × dilution factor]/0.5
2.7. Determination of Chlorophyll Content
At 60 DAS, Chl was determined on an FW basis extracted with 80% acetone using a double-beam spectrophotometer [30]. The formulae for computing Chl a, b and total Chl were—
where D (663, 645) = Optical density of the Chl extract at a wavelength of 663 and 645 nm, respectively. V = Final volume (mL) of the 80% acetone with Chl extract and W = Weight of fresh leaf sample in g.
Chl a (mg g−1 FW) = [12.7(D663) — 2.69(D645)] × [V/1000 × W]
Chl b (mg g−1 FW) = [22.9 (D645) — 4.68(D663)] × [V/1000 × W]
Total Chl (mg g−1 FW) = [20.2(D645) + 8.02(D663)] × [V/1000 × W]
2.8. Measurement of Photosynthetic Traits
Photosynthetic traits such as Pn, transpiration rate (Tr), stomatal conductance (Gs), and leaf temperature were measured on young, fully expanded leaves in the same position on 60 DAS at full sunshine. The measurement was taken using a portable Pn system (Li-COR-LI-6400) assembled with an infra-red gas analyzer (Li-COR-LI-6250).
2.9. Estimation of Water-Related Parameters
The FW, turgid weight (TW), dry weight (DW), and area of leaves were recorded at each sampling time. The segmented plant parts were then dried in an oven at 70 °C for 72 h and weighed. Relative water content (RWC) was measured using fully expanded leaves of each variety under both control and water deficit condition. Immediately after cutting at the base of the lamina, leaves were sealed within plastic bags and kept in the ice box and quickly transferred to the laboratory. The FW of the leaf from each treatment was recorded just after removal. The TW was obtained after soaking leaves in distilled water in beakers for 24 h at room temperature and under low light conditions in the laboratory. After soaking, leaves were quickly and carefully blotted and dried with tissue paper for determining TW. The DW of the leaf was obtained after oven drying the leaf samples for 72 h at 70 °C. The RWC was calculated in the following equation.
Water saturation deficit (WSD), water retention capacity (WRC), and water uptake capacity (WUC) were calculated as follows according to Sangakkara et al. [52].
The plant growth rate (PGR) was calculated by the following formula as
where W1 = DW at time T1 (30 DAS) and W2 = DW at time T2 (60 DAS).
Ten plants from each plot were sampled randomly for collecting yield component data. All pods of collected plants were counted and averaged. Pods having at least one seed were considered in this measurement. The seeds of the collected pods were separated and counted to determine seeds plant−1. After counting the seeds, weight was taken to determine the 100-seed weight. Plants from a 4.5 m−2 area were harvested for taking yield data at harvest. The plant was cut at the soil surface level. Threshing, cleaning, and drying of seeds were done separately and the weight of seeds was recorded plot-wise and adjusted at 12% moisture content.
2.10. Data Analysis
Comparison of genotypes based on a single morphological character is often inaccurate, artificial, and cumbersome, especially when a large number of genotypes and multiple characters for each genotype must be screened. However, using cluster analysis, genotypes can be scored on multiple parameters simultaneously. In the first experiment, all the collected data were converted to relative values, i.e., drought tolerance indexes before cluster analysis. The drought tolerance index was defined as the observations under drought divided by the means of the controls. Cluster analysis followed the methods described by Khrais et al. [53]. Cluster group rankings were obtained based on Ward’s minimum variance cluster analysis on the means of the drought tolerance indexes for four parameters, i.e., stem DM per plant, pods per plant, seeds per plant, and seed yield. The cluster groups were identified in dendrograms. The cluster group rankings were obtained from the averages of means over multiple parameters in each cluster group, i.e., cluster mean, in order from highest to lowest averages. A sum was obtained by adding the numbers of cluster group ranking at each drought level in each genotype. The genotypes were finally ranked based on the sums so that those with the smallest sums were ranked as the most tolerant and those with the largest sums were ranked as the least tolerant in terms of relative drought tolerance. The collected data were analyzed location-wise each year. The ANOVA of different responses within the location was performed with the computer software package Crop Stat, version 7.2 [54]. The pairwise treatments mean was compared with t statistics at p < 0.05. Graphical analyses were done using Excel software (Microsoft Corporation, Redmond, WA, USA).
3. Results and Discussion
3.1. Selection of Drought-Tolerant Soybean Genotypes
Generally, relative drought tolerance in terms of plant height, shoot DM production, seeds, pod production, and grain yield parameters varied among genotypes in 2015 (Table 2). Among the soybean genotypes, the drought tolerance indices of plant height ranged from 0.62 to 0.95 under drought conditions. Similarly, the drought indices of the genotypes varied from 0.60 to 0.94 for stem DM, 0.60 to 0.99 for pods per plant, 0.50 to 0.93 for seeds per plant, and 0.44 to 0.94 for grain yield (Table 2). In the analysis of the relationships between seed yield and the other parameters, stem DM, pods, and seeds per plant contributed the most variation to seed yield when data from all genotypes were combined (Table 3). Based on simultaneous analysis of the means of drought tolerance indices in stem DM, pods, and seeds per plant using Ward’s minimum variance cluster analysis, the genotypes were divided into five cluster groups in drought treatments (Table 4). In the first study in 2015, the morpho-physiological and yield-contributing traits that contribute to drought tolerance were determined. Fifty soybean genotypes were subjected to drought during the first experimentation. The effects of drought on tested genotypes were compared with the control treatment. Plant elongation, DM accumulation, and yield and yield components were studied, which were negatively affected due to water stress. Stem DM yield, pods, and seeds-production plant−1 were the most important yield-contributing characteristics. These parameters were determined to be the most drought-sensitive that caused yield loss in soybean (Table 3). From the first trial, two genotypes, BD2336 and AGS383, were identified as the most drought tolerant while G00012 and BARI Soybean6 were the most drought-susceptible genotypes. The tolerant genotypes were (AGS383 and BD2336) included as planting materials in the second experiment in 2018.
Table 3.
Relationship between grain yield and other agronomic parameters under drought conditions based on a stepwise analysis. Regression equation determined by stepwise analysis: Grain yield = −2.15 + 0.85 (stem dry weight per plant) + 0.51 (pods per plant) + 0.31 (seeds per plant) + 0.24 (100-seed weight).
Table 4.
Ranking of soybean genotypes for relative drought tolerance based on yield components and grain yield in a cluster analysis.
3.2. Morphological Responses of Selected Soybean Genotypes to Water Deficit
In 2018, the plant height of soybean genotype BD2336 was 40.5 and 66.3 cm in control, which decreased to 37.3 and 59.7 cm in drought stress on 30 and 60 DAS, respectively (Table 5). A similar trend was also true for the other two genotypes. The water deficit caused a decrease in the number, area, and DM production of leaves to a large extent. On 30 DAS, BD2336 produced 41 leaves with 603.33 cm2 area and 4.34 g plant−1 dry mass in control, which decreased to 38 leaves with 445 cm2 area and 3.62 g plant−1 DM in drought conditions. AGS3838 and BARI Soybean6 also followed a similar trend regarding leaf number, area, and DM production. However, BD2336 was less affected by drought in nodule production compared to the other two genotypes. Water stress decreased stem and whole plant biomass to a large extent. When compared to the other two genotypes, AGS383 showed better morphological growth, and BARI Soybean6 was severely affected by drought stress.
Table 5.
Effect of drought on the growth of soybean at 30 and 60 DAS.
Water deficit-seized plant growth compared to control in all genotypes (Figure 1). The PGR of BD2336, AGS383, and BARI Soybean6 were 1.2, 1.4, and 1.1 g plant−1 day−1 in the control, which reduced to 0.88, 1.01, and 0.81 g plant−1 day−1 in drought conditions, respectively. The genotype AGS383 showed faster growth than the other two genotypes.
Figure 1.
Effect of drought stress on plant growth rate and height at harvest of soybean. Bar graphs indicate mean value ± standard error, Bars with similar letters did not differ significantly at p < 0.05 level.
Plant elongation, DM accumulation, and yield and yield components were studied which were negatively affected due to drought. Stem DM yield, pods, and seeds production per plant were the most important yield-contributing characteristics. These parameters were determined to be the most drought-sensitive that caused yield loss in soybean (Table 3). From the first trial, two genotypes BD2336 and AGS383 were identified as the most drought tolerant while G00012 and BARI Soybean6 were the most drought-susceptible genotypes.
The results of the first experiment showed that regardless of the soybean genotypes, drought dramatically reduced the growth parameters, including plant height, leaf number, leaf area, leaf DM, root DM, stem and whole plant biomass production, PGR, and plant height at maturity (Figure 1). This finding was in agreement with the previous results [55,56]. The quantity of plant growth depends on cell division, enlargement, and differentiation which are affected by drought [57,58]. Under dry conditions, plants try to reduce water loss and decrease their above-ground growth [59]. In contrast, plants in dry conditions often increase their root biomass to increase water uptake [60,61]. The adjustment of root and shoot growth may play a role in drought tolerance in plants. The cessation of the shoot but not root growth can be explained by the higher sensitivity to the water deficit of the shoot than the root [62].
3.3. Effect of Water Deficit on Water-Related Traits of Soybean
The RWC and WSD varied significantly due to water stress on 30 DAS but remain unaffected at 60 DAS (Figure 2). Under drought conditions, RWC content was higher in BD2336, but lower in other genotypes compared to the control on 30 DAS. On the contrary, compared to the control, the WSD was lower in BD2336 but higher in AGS383 and BARI Soybean6 under drought conditions on 30 DAS. Though RWC and WSD did not vary due to drought, significant variations were observed among the genotypes at 60 DAS. The RWC was significantly lower and WSD was higher in AGS383 compared to other genotypes during 60 DAS. The WRC and WUC of all the genotypes were higher in control than in drought conditions. The WRC and WUC of BD2336 and AGS383 were higher than BARI Soybean6 on both 30 and 60 DAS (Figure 2).
Figure 2.
Effect of drought on water-related characteristics of soybean. Bar graphs indicate mean value ± standard error; bars with similar letters did not differ significantly at p < 0.05 level.
Drought decreased leaf RWC, WRC, and WUC of the tested soybean genotypes, but increased WSD. However, leaf water potential, RWC, and WSD of soybean are reduced under drought [63]. In our experiment, the soil water content of drought treatment was 40% FC which was much lower than the control. Thus, plants uptake less water under drought, resulting in the dehydration of leaf tissue [64]. Under drought conditions, the RWC and leaf water potential of plant leaves are reduced [65,66,67,68]. The reduced WRC under drought conditions indicated higher destruction of plant tissues due to scarcity of water [69]. In this experiment, a higher WSD was measured under drought, which indicated that the plants are subjected to a greater degree of water deficit. The increasing trend of WSD under water deficit conditions was also reported by Islam [70] in the mungbean. Drought-tolerant species maintain water use efficiency by reducing water loss. Moreover, a higher WUC of AGS383 indicated that plants are subjected to a greater degree of moisture stress as these plants would absorb a greater amount of water to reach TW [71].
3.4. Physiological Responses of Soybean to Water Deficit
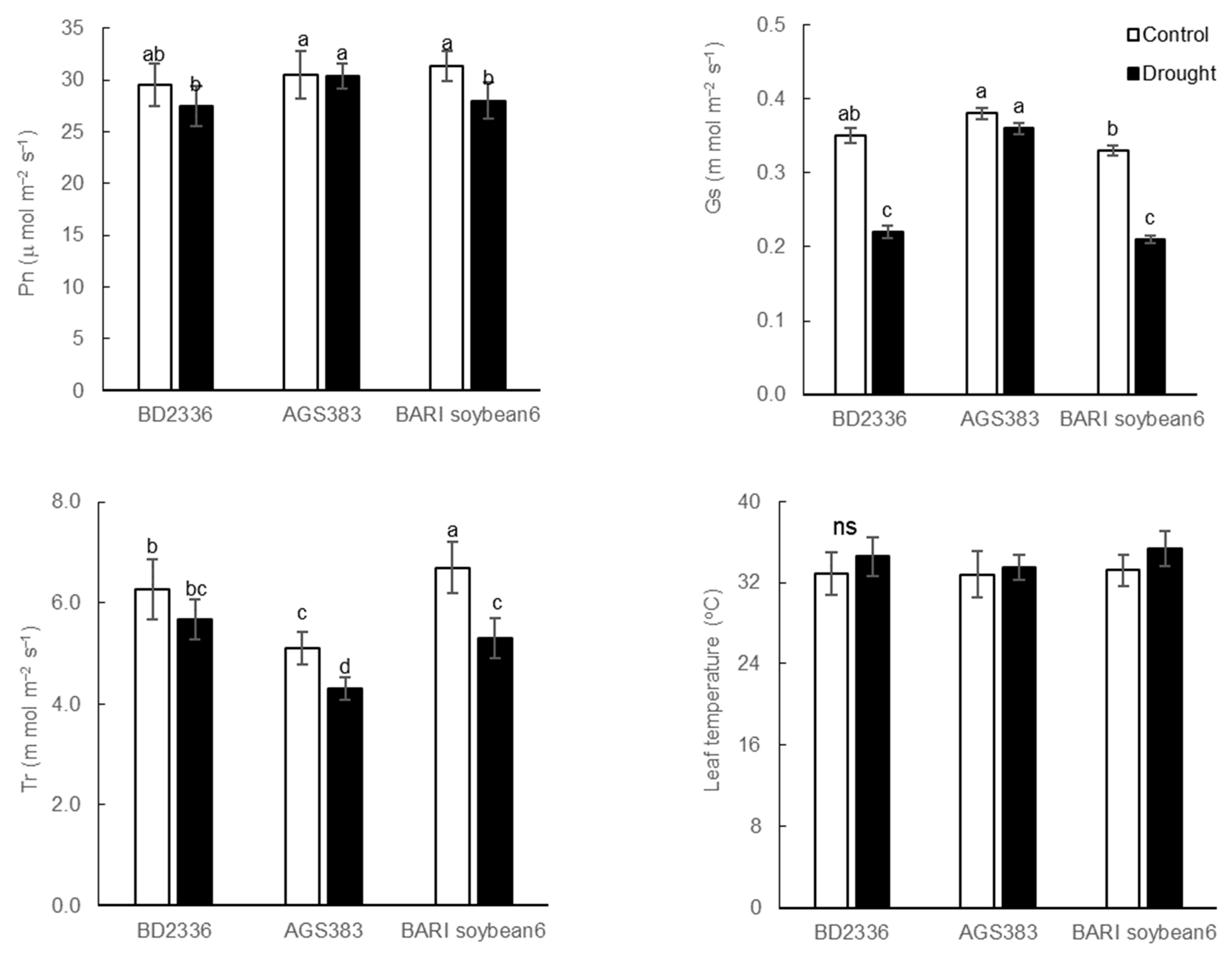
The Pn and Gs were negatively affected by drought BD2336 and BARI Soybean6 (Figure 3). Similarly, Tr was also significantly reduced under drought in all soybean genotypes. Drought reduced Pn, Gs, and Tr by 6.97, 45, and 10%, respectively for BD2336. Though Pn, Gs, and Tr were slightly reduced by drought, the effect was not statistically significant for AGS383. The leaf temperature of BD2336 and BARI Soybean6 was comparatively higher than that of AGS383 under drought conditions. The opening and closing of stomata in leaves are regaled by RWC and tend to close with decreasing RWC resulting in lower Gs under drought. Thus, the stomatal closure is the primary cause of lower Pn under drought [72,73]. Similarly, Tr in leaves decreased under drought also reported by Zhang et al. [74]. Leaf temperatures in drought-stressed plants were comparatively higher than in control plants. An increase in leaf temperature due to drought might be attributed to low transpiration under drought. Chowdhury et al. [75] also found significantly higher leaf temperatures under drought-stressed plants compared to irrigated ones.
Figure 3.
Effect of drought on physiological characteristics of soybean. Bar graphs indicate mean value ± standard error, Bars with similar letter did not differ significantly at p < 0.05 level. ns = not significant.
3.5. Biochemical Responses of Soybean to Water Deficit
Drought decreased Chl a, b, and total Chl content of the leaf to a large extent. Among the three genotypes, AGS383 showed a minimum decrease in Chl content (Figure 4). Under control conditions, these genotypes did not show much variation in Chl a though BD2336 showed the maximum amount of Chl a followed by BARI Soybean6, while AGS383 showed the minimum. The same genotype BD2336 also showed the highest Chl a under drought conditions, followed by AGS383, and BARI Soybean6 showed the lowest amount of Chl. The three genotypes showed a similar Chl b content under the control condition. However, under drought, AGS383 showed the highest, and BD2336 had the lowest amount of Chl b. Total Chl was found the maximum in BD2336 followed by BARI Soybean6 and the minimum in AGS383 under control conditions. Interestingly, the genotype AGS383 showed the maximum total Chl (2.17 mg g−1 FW), though it showed the least amount under the control condition. BD2336 followed AGS383, while BARI Soybean6 had the minimum total Chl.
Figure 4.
Effect of drought on Chl content of soybean. Bar graphs indicate mean value ± standard error; bars with similar letters did not differ significantly at p < 0.05 level.
Proline and MDA in the leaves on 60 DAS increased significantly by drought in all soybean genotypes. In the case of AGS383, it accumulated the lowest amount of proline in leaves under drought (Figure 5). The BD2336 was more active towards drought and showed the maximum accumulation of proline and MDA in leaves. Under control conditions, the genotypes did not show much variations in MDA content, though the content was the highest (6.0 n mole g−1 FW) in AGS 2336, followed by BARI Soybean6, while AGS383 had the lowest amount of MDA. On the other hand, under drought, the genotype BD2336 had the highest amount of MDA (35.93 n mole g−1 fresh weight), which was closely followed by AGS383, while BARI Soybean6 had the lowest MDA content (31.78 n mole g−1 FW).
Figure 5.
Effect of drought on proline and MDA content of soybean at 60 DAS. Bar graphs indicate mean value ± standard error; bars with similar letters did not differ significantly at p < 0.05 level.
Photosynthetic pigments like Chl a and Chl b capture sunlight. In this experiment, drought reduced Chl a, Chl b, and total Chl content in leaves of soybean genotypes (Figure 4). However, Chl b was reduced more than Chl a. Under water deficit conditions, the chloroplast of plant cells is damaged by active oxygen species resulting in decreased Chl content [58]. Proline and MDA contents in the leaves were increased under water deficit conditions (Figure 5). The findings also coincide with the report of previous work [58,76,77]. Accumulation of proline and MDA in the plant body may be an adaptation to overcome the stress condition.
3.6. Effect of Water Deficit on Yield and Yield Components of Soybean
Yield and yield-contributing characters were also affected by the drought, and genotypic variations were conspicuous (Table 6 and Figure 6). Under control conditions, the highest number of pods plant−1 (32) was found in BD2336, which was closely followed by BARI Soybean6, and the least was produced by AGS383. Like the control condition, a similar trend was also observed under drought. Under drought conditions, however, BD2336 had the significantly highest number of pods (21), while AGS383 had the minimum (17), which was closely followed by BARI Soybean6.
Table 6.
Effect of drought on yield components of soybean at harvest.
Figure 6.
Effect of drought on yield seed yield of soybean. Bar graphs indicate mean value ± standard error, Bars with similar letters did not differ significantly at p < 0.05 level.
The highest number of pods per plant was found in BD2336 under both control and drought. Drought affected the seeds number plant−1 where the variety BARI Soybean6 produced the lowest number of seeds, i.e., 43 and 28 seeds plant−1 under control and drought conditions, respectively. The seed production was minimally affected by drought in AGS383. The 1000-seed weight was significantly heavier in AGS383 under both control (17.78 g) and drought conditions (17.35 g) compared to BARI Soybean6 (12.54 and 11.10 g) and BD2336 (7.60 and 6.13 g). Drought decreased the seed yield significantly in all the genotypes (Figure 6). BD2336 produced 2.4 and 2.19 t ha−1 seeds in control and drought, respectively. Similarly, AGS383 and BARI Soybean6 yielded 2.7 and 2.4 t ha−1 seeds in control, which were reduced to 2.32 and 2.1 t ha−1 under drought, respectively.
Drought significantly reduced yield and yield components of soybean genotypes. The reduction in the number of pods might be due to water shortage at the flowering stage. The scarcity at this stage increases pollen abortion as reported by Teran and Singh [78]. It seems that a shortage of water in the reproductive phase leads to the reduction of the Pn rate. The reduction in seeds plant−1 might be due to the reduction in pollen fertility under drought as reported by Omae et al. [79]. The weight of 100-seed was unaffected by drought. The stable grain size under drought indicated that this character is rather genetically controlled as reported by Yoshida [80]. The lower reduction in 100-seed weight indicated the higher partitioning of DM towards the seeds under water deficit conditions. Lizana et al. [81] did not find any effect of water deficit on seed size in French beans. However, seed size varied among the soybean genotypes and a relatively heavier-sized seed was produced by AGS383 compared to the other two. This result indicated that genotypic differences existed with seed size under water deficit conditions. The seed yield of the soybean reduced significantly under drought. The yield of BD2336, AGS383, and BARI Soybean6 was reduced by 10, 14, and 12%, respectively, under drought conditions in comparison with the control. However, under both control and drought conditions, AGS383 was the top yielder. The heavier grain size in AGS383 mostly contributed to the higher grain yield as compared to the other two genotypes. Akand et al. [82] also reported that AGS383 performed better under both control and water deficit conditions. Reduction of leaf area under drought is an important cause of reduced crop yield through reduction of Pn [77]. The drought reduces grain yield by reducing the number of pods plant−1 and seed size. The drought reduces the number of pods plant−1 and seed size resulting in lower grain yield. The results of this study concerning the effect of water stress on grain yield are also comparable with the findings of other researchers [83,84,85,86,87].
4. Conclusions
The results of these studies revealed that drought strongly affected the morpho-physiological attributes, yield, and yield-contributing characteristics of soybean. However, the proline and malondialdehyde content in soybean leaves increased under drought conditions. The soybean genotype AGS383 was minimally affected by water deficit stress by maintaining better root and shoot growth, higher growth rate, more photosynthesis, and lower amount of proline and malondialdehyde production. This genotype produced heavier grains and gave maximum grain yield. Considering the yield performance and other attributes, our results showed that AGS383 could be considered preferentially for cultivation in drought-prone areas, and it will improve the economic and social conditions of soybean growers. In addition, AGS383 could be exploited as valuable genetic material for comparative genomics to uncover molecular mechanisms underlying soybean adaptation to drought, and this genotype might be used as parent material in a breeding program to develop a high-yielding drought-tolerant soybean variety.
Author Contributions
Conceptualization, M.A.A.M. and M.A.K.; methodology, M.A.A.M. and U.S.; software, M.A.A.M.; validation, M.K.F., U.S., M.S.H., R.R., S.E., R.A.M. and O.O.B.; formal analysis, M.A.A.M.; investigation, M.K.F., M.A.A.M. and M.A.K.; resources, M.A.A.M. and O.O.B. data curation, M.K.F.; writing—original draft preparation, M.A.A.M.; writing—review and editing, M.A.A.M., M.A.B.M., M.A.K., U.S., R.R., S.E., R.A.M. and O.O.B.; visualization, M.A.A.M. and U.S.; supervision, M.A.K. All authors have read and agreed to the published version of the manuscript.
Funding
This research received no external funding.
Institutional Review Board Statement
Not applicable.
Informed Consent Statement
Not applicable.
Data Availability Statement
Data recorded in the current study are available in all tables and figures of the manuscript.
Acknowledgments
The authors would like to extend their sincere appreciation to the research management committee of Bangabandhu Sheikh Mujibur Rahman Agricultural University, Gazipur-1706, Bangladesh for funding this research work.
Conflicts of Interest
The authors declare no conflict of interest.
References
- Banaszkiewicz, T. Nutritional value of soybean meal. Soybean Nutr. 2011, 12, 1–20. [Google Scholar]
- Bellaloui, N.; Smith, J.R.; Ray, J.D.; Gillen, A.M. Effect of maturity on seed composition in the early soybean production system as measured on near-isogenic soybean lines. Crop Sci. 2009, 4, 608–620. [Google Scholar] [CrossRef]
- García-Rebollar, P.; Cámara, L.; Lázaro, R.P.; Dapoza, C.; Pérez-Maldonado, R.; Mateos, G.G. Influence of the origin of the beans on the chemical composition and nutritive value of commercial soybean meals. Ani. Feed Sci. Technol. 2016, 221, 245–261. [Google Scholar] [CrossRef]
- USDA (The United States Department of Agriculture). USDA Nutrient Lists from Standard Reference Legacy; USDA-ARS Nutrient Data Laboratory: Beltsville, MD, USA, 2018. [Google Scholar]
- Mamun, M.A.A.; Julekha; Sarker, U.; Mannan, M.A.; Rahman, M.M.; Karim, M.A.; Ercisli, S.; Marc, R.A.; Golokhvast, K.S. Application of Potassium after Waterlogging Improves Quality and Productivity of Soybean Seeds. Life 2022, 12, 1816. [Google Scholar] [CrossRef] [PubMed]
- Dola, D.B.; Mannan, M.A.; Sarker, U.; Mamun, M.A.A.; Islam, T.; Ercisli, S.; Saleem, M.H.; Ali, B.; Pop, O.L.; Marc, R.A. Nano-iron oxide accelerates growth, yield, and quality of Glycine max seed in water deficits. Front. Plant Sci. 2022, 13, 992535. [Google Scholar] [CrossRef] [PubMed]
- Ayilara, M.S.; Adeleke, B.S.; Babalola, O.O. Bioprospecting and challenges of plant microbiome research for sustainable agriculture, a review on soybean endophytic bacteria. Microb Ecol. 2022, 1–23. [Google Scholar] [CrossRef]
- Satter, M.A.; Rahman, M.A.; Rashid, H.U.; Ali, M.S.; Alom, M.S. Krishi Projukti Hatboi (Handbook on Agro-technology). Bangladesh Agric. Res. Inst. 2005, 25, 144–151. [Google Scholar]
- BBS (Bangladesh Bureau of Statistics). Statistical Year of Bangladesh; Ministry of Planning, Government of the People’s Republic of Bangladesh: Dhaka, Bangladesh, 2020; pp. 20–105. [Google Scholar]
- Mannan, M.A.; Karim, M.A.; Haque, M.M.; Khaliq, Q.A.; Higuchi, H.; Nawata, E. Response of soybean to salinity. Trop. Agri. Develop. 2012, 56, 117–122. [Google Scholar]
- Hossain, M.S.; Mamun, M.A.A.; Akter, M.; Karim, A.J.M.S.; Khaliq, Q.A.; Khan, M.A.R.; Karim, M.A. Effect of waterlogging stress on yield and yield contributing trait of soybean. Bangladesh J. Ecol. 2019, 1, 83–89. [Google Scholar]
- Sarker, U.; Oba, S. Polyphenol and Flavonoid Profiles and Radical Scavenging Activity in Selected Leafy Vegetable Amaranthus gangeticus. BMC Plant Biol. 2020, 20, 499. [Google Scholar] [CrossRef]
- Sarker, U.; Oba, S. Nutritional and Bioactive Constituents and Scavenging Capacity of Radicals in Amaranthus hypochondriacus. Sci. Rep. 2020, 10, 19962. [Google Scholar] [CrossRef]
- Sarker, U.; Oba, S.; Ercisli, S.; Assouguem, A.; Alotaibi, A.; Ullah, R. Bioactive Phytochemicals and Quenching Activity of Radicals in Selected Drought-Resistant Amaranthus tricolor Vegetable Amaranth. Antioxidants 2022, 11, 578. [Google Scholar] [CrossRef]
- Sarker, U.; Oba, S. Antioxidant Constituents of Three Selected Red and Green Color Amaranthus Leafy Vegetable. Sci. Rep. 2019, 9, 18233. [Google Scholar] [CrossRef]
- Sarker, U.; Oba, S.; Daramy, M.A. Nutrients, Minerals, Antioxidant Pigments and Phytochemicals, and Antioxidant Capacity of the Leaves of Stem Amaranth. Sci. Rep. 2020, 10, 3892. [Google Scholar] [CrossRef]
- Sarker, U.; Oba, S. Nutrients, Minerals, Pigments, Phytochemical, and Radical Scavenging Activity in Amaranthus blitum Leafy Vegetable. Sci. Rep. 2020, 10, 3868. [Google Scholar] [CrossRef] [PubMed]
- Karim, M.A.; Higuchi, H.; Nawata, E. A Participatory research experience on the introduction of mungbean and short duration aman rice as summer crops in the char lands of northern Bangladesh. Trop. Agr. Develop. 2018, 6, 14–23. [Google Scholar]
- Farshadfar, E. Application of integrated selection index and rank sum for screening drought tolerant genotypes in bread wheat. Int. J. Agric. Crop Sci. 2012, 4, 325–332. [Google Scholar]
- Ku, Y.S.; Au-Yeung, W.K.; Yung, Y.L.; Li, M.W. Drought Stress and Tolerance in Soybean. In A Comprehensive Survey of International Soybean Research—Genetics, Physiology, Agronomy and Nitrogen Relationships; James, E., Ed.; IntechOpen: London, UK, 2013; pp. 209–238. [Google Scholar]
- Motha, R. Monitoring, Assessment and Combat of Drought and Desertification in Commission for Agricultural Meteorology Reports; World Meteorological Organization: Geneva, Switzerland, 1992. [Google Scholar]
- Allahmoradi, P.; Ghobadi, M.; Taherabadi, S.; Taherabadi, S. Physiological aspects of mungbean (Vigna radiata L.) in response to drought stress. Intl. Conf. Food Engin. Biotechnol. 2011, 9, 272–275. [Google Scholar]
- Wijewardana, C.; Henry, W.B.; Reddy, K.R. Evaluation of drought tolerant maize germplasm to induced drought stress. J. Miss. Aca. Sci. 2017, 62, 316–329. [Google Scholar]
- Toscano, S.; Ferrante, A.; Romano, D. Response of Mediterranean ornamental plants to drought stress. Horticulturae 2019, 5, 6. [Google Scholar] [CrossRef]
- Sarker, U.; Oba, S. Salinity Stress Enhances Color Parameters, Bioactive Leaf Pigments, Vitamins, Polyphenols, Flavonoids and Antioxidant Activity in Selected Amaranthus Leafy Vegetables. J. Sci. Food Agric. 2019, 99, 2275–2284. [Google Scholar] [CrossRef] [PubMed]
- Sarker, U.; Oba, S. Catalase, Superoxide Dismutase and Ascorbate-Glutathione Cycle Enzymes Confer Drought Tolerance of Amaranthus tricolor. Sci. Rep. 2018, 8, 16496. [Google Scholar] [CrossRef] [PubMed]
- Sarker, U.; Oba, S. The Response of Salinity Stress-Induced A. tricolor to Growth, Anatomy, Physiology, Non-Enzymatic and Enzymatic Antioxidants. Front. Plant Sci. 2020, 11, 559876. [Google Scholar] [CrossRef]
- Sarker, U.; Oba, S. Drought Stress Effects on Growth, ROS Markers, Compatible Solutes, Phenolics, Flavonoids, and Antioxidant Activity in Amaran. Tricolor. Appl. Biochem. Biotechnol. 2018, 186, 999–1016. [Google Scholar] [CrossRef] [PubMed]
- Sarker, U.; Oba, S. Drought Stress Enhances Nutritional and Bioactive Compounds, Phenolic Acids and Antioxidant Capacity of Amaranthus Leafy Vegetable. BMC Plant Biol. 2018, 18, 258. [Google Scholar] [CrossRef]
- Sarker, U.; Islam, M.T.; Oba, S. Salinity Stress Accelerates Nutrients, Dietary Fiber, Minerals, Phytochemicals and Antioxidant Activity in Amaranthus tricolor Leaves. PLoS ONE 2018, 13, 0206388. [Google Scholar] [CrossRef]
- Sarker, U.; Oba, S. Response of Nutrients, Minerals, Antioxidant Leaf Pigments, Vitamins, Polyphenol, Flavonoid and Antioxidant Activity in Selected Vegetable Amaranth under Four Soil Water Content. Food Chem. 2018, 252, 72–83. [Google Scholar] [CrossRef]
- Sarker, U.; Oba, S. Augmentation of Leaf Color Parameters, Pigments, Vitamins, Phenolic Acids, Flavonoids and Antioxidant Activity in Selected Amaranthus tricolor under Salinity Stress. Sci. Rep. 2018, 8, 12349. [Google Scholar] [CrossRef]
- Hossain, M.N.; Sarker, U.; Raihan, M.S.; Al-Huqail, A.A.; Siddiqui, M.H.; Oba, S. Influence of Salinity Stress on Color Parameters, Leaf Pigmentation, Polyphenol and Flavonoid Contents, and Antioxidant Activity of Amaranthus lividus Leafy Vegetables. Molecules 2022, 27, 1821. [Google Scholar] [CrossRef]
- Srivalli, B.; Sharma, G.; Khanna-Chopra, R. Antioxidative defense system in an upland rice cultivar subjected to increasing intensity of water stress followed by recovery. Physiol. Plant. 2003, 119, 503–512. [Google Scholar] [CrossRef]
- Athar, H.R.; Ashraf, H. Photosynthesis under Drought Stress. In Handbooks of Photosynthesis, 2nd ed.; Pessarakli, M., Ed.; Taylor and Francis, Inc.: New York, NY, USA, 2005; pp. 793–809. [Google Scholar]
- Jordan, W.R.; Ritichie, J.T. Influence of soil water stress on evaporation, root absorption and internal water status of cotton. Plant Physiol. 2002, 48, 783–788. [Google Scholar] [CrossRef] [PubMed]
- Sharma, N. Effect of Brassinosteroid [Brassinolide] on Morpho-Physiological, Biochemical Attributes and Antioxidant Enzyme Activity in Tomato (Lycopersicon esculentum L.) under Drought Stress. Master’s Thesis, Institute of Agricultural Sciences, Banaras Hindu University, Varanasi, India, 2016. [Google Scholar]
- Moradi, A.B.; Conesa, H.M.; Robinson, B.H.; Lehmann, E.; Kaestner, A.; Schulin, R. Root responses to soil Ni heterogeneity in a hyperaccumulator and a non-accumulator species. Environ. Pollut. 2009, 157, 2189–2196. [Google Scholar] [CrossRef] [PubMed]
- Sarker, U.; Lin, Y.P.; Oba, S.; Yoshioka, Y.; Ken, H. Prospects and potentials of underutilized leafy Amaranths as vegetable use for health-promotion. Plant Physiol. Biochem. 2022, 182, 104–123. [Google Scholar] [CrossRef]
- Sarker, U.; Rabbani, M.G.; Oba, S.; Eldehna, W.M.; Al-Rashood, S.T.; Mostafa, N.M.; Eldahshan, O.A. Phytonutrients, Colorant Pigments, Phytochemicals, and Antioxidant Potential of Orphan Leafy Amaranthus Species. Molecules 2022, 27, 2899. [Google Scholar] [CrossRef] [PubMed]
- Sarker, U.; Oba, S.; Alsanie, W.F.; Gaber, A. Characterization of Phytochemicals, Nutrients, and Antiradical Potential in Slim Amaranth. Antioxidants 2022, 11, 1089. [Google Scholar] [CrossRef]
- Sarker, U.; Iqbal, M.A.; Hossain, M.N.; Oba, S.; Ercisli, S.; Muresan, C.C.; Marc, R.A. Colorant Pigments, Nutrients, Bioactive Components, and Antiradical Potential of Danta Leaves (Amaranthus lividus). Antioxidants 2022, 11, 1206. [Google Scholar] [CrossRef]
- Hassan, J.; Rajib, M.R.; Sarker, U.; Akter, M.; Khan, N.-E.; Khandaker, S.; Khalid, F.; Rahman, G.K.M.M.; Ercisli, S.; Muresan, C.C.; et al. Optimizing textile dyeing wastewater for tomato irrigation through physiochemical, plant nutrient uses and pollution load index of irrigated soil. Sci. Rep. 2022, 12, 10088. [Google Scholar] [CrossRef]
- Sarker, U.; Azam, M.G.; Talukder, M.Z.A. Genetic Variation in Mineral Profiles, Yield Contributing Agronomic Traits, and Foliage Yield of Stem Amaranth. Genetika 2022, 54, 91–108. [Google Scholar] [CrossRef]
- Sarker, U.; Ercisli, S. Salt Eustress Induction in Red Amaranth (Amaranthus gangeticus) Augments Nutritional, Phenolic Acids and Antiradical Potential of Leaves. Antioxidants 2022, 11, 2434. [Google Scholar] [CrossRef]
- Islam, Z.; Jacobs, B.C.; van Belkum, A.; Mohammad, Q.D.; Islam, M.B.; Herbrink, P.; Diorditsa, S.; Luby, S.P.; Talukder, K.A.; Endtz, H.P. Axonal variant of Guillain-Barré syndrome associated with Campylobacter infection in Bangladesh. Neurology 2010, 74, 581–587. [Google Scholar] [CrossRef]
- Liu, Y.; Gai, J.Y.; Lu, H.N.; Wang, Y.J.; Chen, S.Y. Identification of drought tolerant germplasm and inheritance and QTL mapping of related root traits in soybean (Glycine max (L.) Merr.). Acta Gene. Sin. 2005, 32, 855–863. [Google Scholar]
- Zlatev, Z.; Lindon, F.C. An overview on drought-induced changes in plant growth, water relations and photosynthesis. Em. J. Food Agric. 2012, 24, 57–72. [Google Scholar]
- Yordanov, I.; Velikova, V.; Tsonev, T. Plant responses to drought and stress tolerance. Bulg. J. Plant Physiol. 2003, 187–206. [Google Scholar]
- Ning, L.H.; Du, W.K.; Song, H.N.; Shao, H.B.; Qi, W.C.; Sheteiwy, M.S.A.; Yu, D.Y. Identification of responsive miRNAs involved in combination stresses of phosphate starvation and salt stress in soybean root. Environ. Exptl. Bot. 2019, 167, 103823. [Google Scholar] [CrossRef]
- Qi, Y.; Weng, J.K. Editorial overview: Advancing basic plant research and crop improvement through cutting-edge biotechnologies. Cur. Opin. Plant Bio. 2021, 60, 102069. [Google Scholar] [CrossRef]
- Sangakkara, U.R.; Hartwig, U.A.; Nosberger, J. Soil moisture and potassium affect the performance of symbiotic nitrogen fixation in faba bean and common bean. Plant Soil 1996, 184, 123–130. [Google Scholar] [CrossRef]
- Khrais, T.; Leclerc, Y.; Donnelly, D.J. Relative salinity tolerance of potato cultivars assessed by in vitro screening. Am. J. Potato Res. 1998, 75, 207–210. [Google Scholar] [CrossRef]
- IRRI (International Rice Research Institute). CropStat, version 7.2; Biometric Unit of International Rice Research Institute: Manilla, Philippines, 2007; Available online: https://cropstat.software.informer.com/7.2/ (accessed on 1 December 2022).
- Wu, S.; Mickley, L.J.; Jacob, D.J.; Rind, D.; Streets, D.G. Effects of 2000–2050 changes in climate and emissions on global tropospheric ozone and the policy-relevant background surface ozone in the United States. J. Geoph. Res. Atmos. 2008, 113, 18312. [Google Scholar] [CrossRef]
- Igiehon, N.O.; Babalola, O.O.; Cheseto, X.; Torto, B. Effects of rhizobia and arbuscular mycorrhizal fungi on yield, size distribution and fatty acid of soybean seeds grown under drought stress. Microbiol. Res. 2021, 242, 126640. [Google Scholar] [CrossRef]
- Sairam, R.K.; Rao, K.V.; Srivastava, G.C. Differential response of wheat genotypes to long term salinity stress in relation to oxidative stress, antioxidant activity and osmolyte concentration. Plant Sci. 2002, 163, 1037–1046. [Google Scholar] [CrossRef]
- Manivannan, P.; Jaleel, C.A.; Sankar, B.; Kishorekumar, A.; Somasundaram, R.; Lakshmanan, G.A.; Panneerselvam, R. Growth, biochemical modifications and proline metabolism in Helianthus annuus L. as induced by drought stress. Coll. Surf. B Biointer. 2007, 59, 141–149. [Google Scholar] [CrossRef] [PubMed]
- Yin, C.Y.; Duan, B.L.; Luo, J.X.; Li, C.Y. Early growth, dry matter allocation and water use efficiency of two sympatric Populus species as affected by water stress. Environ. Exptl. Bot. 2005, 53, 315–322. [Google Scholar] [CrossRef]
- Martin, P.J.; Stephens, W. Willow growth in response to nutrients and moisture on a clay landfill cap soil. I. Growth and biomass production. Biores. Technol. 2006, 97, 437–448. [Google Scholar] [CrossRef] [PubMed][Green Version]
- Villagra, P.E.; Cavagnaro, J.B. Water stress effects on the seedling growth of Prosopis Argentina and Prosopis alpataco. J. Arid Environ. 2006, 64, 390–400. [Google Scholar] [CrossRef]
- Wu, Y.; Cosgrove, D.J. Adaptation of roots to low water potentials by changes in cell wall extensibility and cell wall proteins. J. Exptl. Bot. 2000, 51, 1543–1553. [Google Scholar] [CrossRef]
- Fadiji, A.E.; Santoyo, G.; Yadav, A.N.; Babalola, O.O. Efforts toward overcoming drought stress on crops: Revisiting the potential mechanisms employed by plant growth-promoting bacteria. Front. Microbiol. 2022, 13, 962427. [Google Scholar] [CrossRef]
- Nicolas, E.; Torrecillas, A.; DellAmico, J.; Alarcon, J.J. Sap flow, gas exchange and hydraulic conductance of young apricot trees growing under a shading net and different water supplies. J. Plant Physiol. 2005, 162, 439–447. [Google Scholar] [CrossRef]
- Mamun, M.A.A.; Akand, M.M.H.; Akter, M.; Khan, M.A.R. Drought effects and survival mechanisms of crop plants. Bangladesh J. Ecol. 2019, 1, 101–106. [Google Scholar]
- Dekov, V.M.; Damyanov, Z.K.; Kamenov, G.D.; Bonev, I.K.; Rajta, I.; Grime, G.W. Sorosite (η-Cu6Sn5)-bearing native tin and lead assemblage from the Mir zone (Mid-Atlantic Ridge, 26° N). Oceanol. Acta 2001, 24, 205–220. [Google Scholar] [CrossRef]
- Nayyar, H.; Singh, S.; Kaur, S.; Kumar, S.; Upadhyaya, H.D. Differential sensitivity of macrocarpa and microcarpa types of chickpea (Cicer arietinum L.) to water stress: Association of contrasting stress response with oxidative injury. J. Integrat. Plant Biol. 2006, 48, 1318–1329. [Google Scholar] [CrossRef]
- Fadiji, A.E.; Orozco-Mosqueda, M.C.; Santos-Villalobos, S.; Santoyo, G.; Babalola, O.O. Recent developments in the application of plant growth promoting-drought adaptive rhizobacteria for drought mitigation. Plants 2022, 11, 3090. [Google Scholar] [CrossRef] [PubMed]
- Sangakkara, U.R.; Frehner, M.; Nosberger, J. Influence of soil moisture and fertilizer potassium on the vegetative growth of mungbean (Vigna radiata L. Wilczek) and cowpea (Vigna unguiculata L. Walp). J. Agron. Crop Sci. 2001, 186, 73–81. [Google Scholar] [CrossRef]
- Islam, S.N. Cultural Landscapes Changing Due to Anthropogenic Influences on Surface Water and Threats to Mangrove Wetlands Ecosystems: A Case Study on the Sundarbans, Bangladesh. Ph.D. Dissertation, Brandenburg University of Technology, Cottbus, Germany, 2008; pp. 1–179. [Google Scholar]
- Rima, I.A.; Mannan, M.A.; Mamun, M.A.A.; Kamal, Z.U. Morpho-physiological traits of soybean as affected by drought. Bangladesh Agron. J. 2019, 22, 41–54. [Google Scholar] [CrossRef]
- Mahajan, S.; Tuteja, N. Cold, salinity and drought stresses: An overview. Arch. Biochem. Biophys. 2005, 444, 139–158. [Google Scholar] [CrossRef] [PubMed]
- Mutuva, R.N.; Prince, S.J.K.; Syed, N.H.; Song, L.; Valliyodan, B.; Chen, W.; Nguyen, H.T. Understanding abiotic stress tolerance mechanisms in soybean: A comparative evaluation of soybean response to drought and flooding stress. Plant Physiol. Biochem. 2015, 86, 109–120. [Google Scholar] [CrossRef]
- Zhang, J.; Terrones, M.; Park, C.R.; Mukherjee, R.; Monthioux, M.; Koratkar, N.; Chen, Y. Carbon science in (2016) Status, challenges and perspectives. Carbon 2016, 98, 708–732. [Google Scholar] [CrossRef]
- Chowdhury, J.A.; Karim, M.A.; Khaliq, Q.A.; Ahmed, A.U.; Mondol, A.M. Effect of drought stress on water relation traits of four soybean genotypes. SAARC J. Agric. 2017, 15, 163–175. [Google Scholar] [CrossRef]
- Ferdous, J.; Mannan, M.A.; Haque, M.M.; Mamun, M.A.A.; Alam, M.S. Chlorophyll content, water relation traits and mineral ions accumulation in soybean as influenced by organic amendments under salinity stress. Aust. J. Crop Sci. 2018, 12, 1806–1812. [Google Scholar] [CrossRef]
- Dong, C.D.; Chen, C.W.; Hung, C.M. Synthesis of magnetic biochar from bamboo biomass to activate persulfate for the removal of polycyclic aromatic hydrocarbons in marine sediments. Biores. Technol. 2017, 245, 188–195. [Google Scholar] [CrossRef]
- Teran, H.; Singh, S.P. Comparison of sources and lines selected for drought resistance in common bean. Crop Sci. 2002, 42, 64–70. [Google Scholar] [CrossRef]
- Omae, H.; Kumar, A.; Egawa, Y.; Kashiwaba, K.; Shono, M. Midday drop of leaf water content related to drought tolerance in snap bean (Phaseolus vulgaris L.). Plant Prod. Sci. 2005, 8, 465–467. [Google Scholar] [CrossRef]
- Yoshida, S. Fundamentals of Rice Crop Science; The International Rice Research Institute: Los Banos, Philippines, 1981; pp. 211–233. [Google Scholar]
- Lizana, C.; Wentworth, M.; Martinez, J.P.; Villegas, D.; Meneses, R.; Murchie, E.; Pinto, M. Differential adaptation of two varieties of common bean to abiotic stress: I. Effects of drought on yield and photosynthesis. J. Exptl. Bot. 2006, 57, 685–697. [Google Scholar] [CrossRef]
- Akand, M.M.H.; Mamun, M.A.A.; Ivy, N.A.; Karim, M.A. Genetic variability of soybean genotypes under drought stress. Ann. Bangladesh Agric. 2018, 22, 79–93. [Google Scholar]
- Taiz, L.; Zeiger, E. Photosynthesis: Physiological and ecological considerations. Plant Physiol. 2002, 9, 172–174. [Google Scholar]
- Wahid, A.; Rasul, E. Photosynthesis in leaf, stem, flower and fruit. In Handbook of Photosynthesis, 2nd ed.; Pessarakli, M., Ed.; CRC Press: Boca Raton, FL, USA, 2000; pp. 479–497. [Google Scholar]
- Liu, F.; Andersen, M.N.; Jensen, C.R. Loss of pod set caused by drought stress is associated with water status and ABA content of reproductive structures in soybean. Funct. Plant Biol. 2003, 30, 271–280. [Google Scholar] [CrossRef]
- Agunbiade, V.; Babalola, O.O. Endophytic and rhizobacteria functionalities in alleviating drought stress in maize plants—A Review. Plant Prot. Sci. 2022, 61, 2022-PPS. [Google Scholar]
- Ojuederie, O.B.; Olanrewaju, O.S.; Babalola, O.O. Plant growth-promoting rhizobacterial mitigation of drought stress in crop plants: Implications for sustainable agriculture. Special issue mechanism of rhizosphere microorganisms promoting crop growth. Agronomy 2019, 9, 712. [Google Scholar] [CrossRef]
Disclaimer/Publisher’s Note: The statements, opinions and data contained in all publications are solely those of the individual author(s) and contributor(s) and not of MDPI and/or the editor(s). MDPI and/or the editor(s) disclaim responsibility for any injury to people or property resulting from any ideas, methods, instructions or products referred to in the content. |
© 2023 by the authors. Licensee MDPI, Basel, Switzerland. This article is an open access article distributed under the terms and conditions of the Creative Commons Attribution (CC BY) license (https://creativecommons.org/licenses/by/4.0/).





