Gibberellic Acid Alleviates Cadmium-Induced Seed Germination Inhibition through Modulation of Carbohydrate Metabolism and Antioxidant Capacity in Mung Bean Seedlings
Abstract
1. Introduction
2. Materials and Methods
2.1. Plant Material, Germination Conditions and Treatments
2.2. Measurement of Tolerance Index (TI)
2.3. Measurements of Seed Germination Traits
2.4. Determination of Total Proteins and Lignin Content
2.5. Measurement of Endogenous Gibberellic Acid (GA3)
2.6. Measurement of Total Amylase Activity
2.7. Measurement of Total Soluble Sugars
2.8. Measurement of Reactive Oxygen Species (ROS)
2.9. Electrolyte Leakage (EL) in Seedlings
2.10. Antioxidant Enzymatic Assays
2.11. Fresh Biomass and Dry Biomass of Seedlings
2.12. Radicle and Plumule Length of Seedlings
2.13. Total Chlorophyll Content in Seedlings (Plumule)
2.14. Seed Water Uptake
2.15. Determination of Starch Content
2.16. Determination of Enzymes Involved in Carbohydrate Metabolism
2.17. Statistical Analyses
3. Results
3.1. First Set of Experiments
3.1.1. Seed Germination Characteristics under Different Regimes of Cd Stress
3.1.2. Tolerance Index under Different Regimes of Cd Stress
3.1.3. Seedling Growth Traits under Different Regimes of Cd Stress
3.1.4. Total Chlorophyll Content under Different Regimes of Cd Stress
3.1.5. Total Protein and Lignin Contents under Different Regimes of Cd Stress
3.1.6. Endogenous Gibberellin Content, Total Amylase Activity, and Total Soluble Sugar under Different Regimes of Cd Stress
3.1.7. Oxidative Stress Markers under Different Regimes of Cd Stress
3.1.8. Antioxidant Defense under Different Regimes of Cd Stress
3.2. Second set of Experiments
3.2.1. Exogenous GA3 Reduces Oxidative Stress via Upregulation of Antioxidant Enzymes under Cd Stress
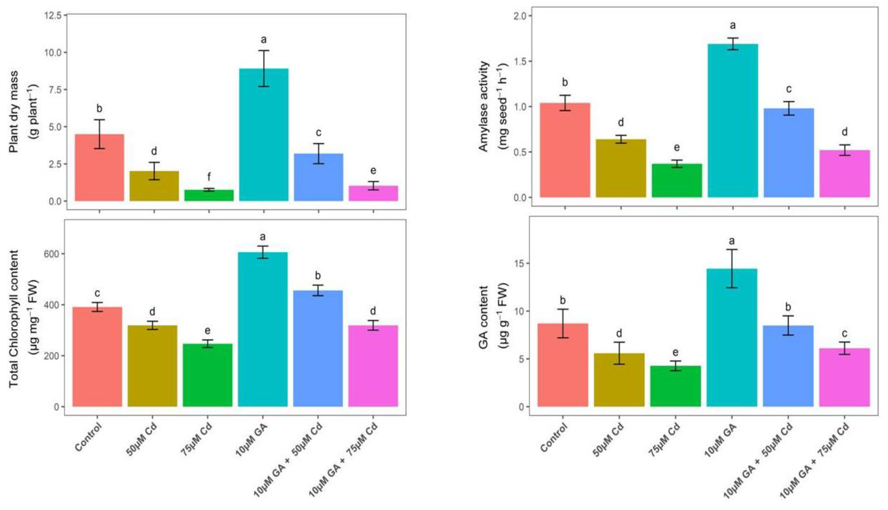
3.2.2. Exogenous GA3 Increases Plant Dry Matter (PDM), Chlorophyll, Endogenous GA3 Content, and Amylase Activity under Cd Stress
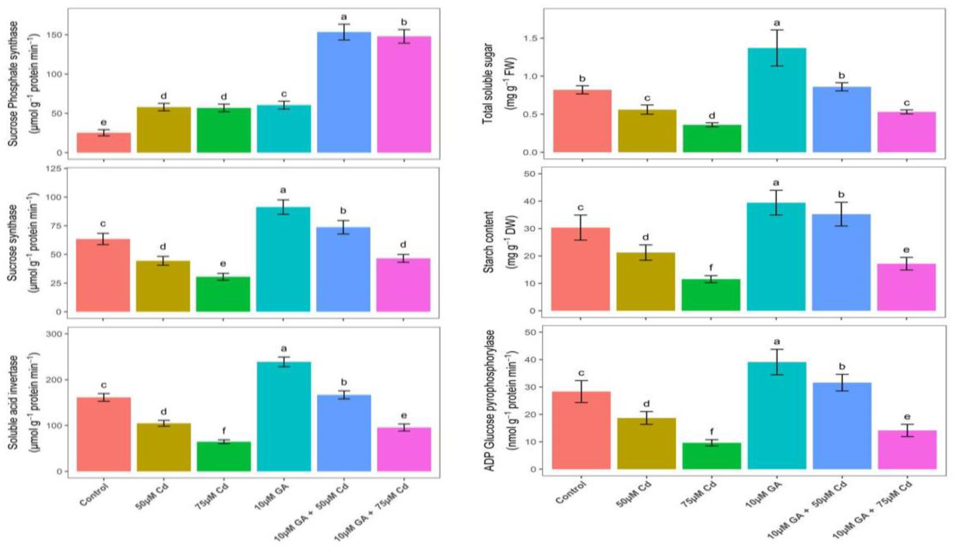
3.2.3. Exogenous GA3 Increases Starch Content and Activities of Carbohydrate-Metabolizing Enzymes under Cd Stress
3.3. Third Set of Experiments
Paclobutrazol Decreases PDM and Endogenous GA3 Content under Cd Stress
4. Discussion
5. Conclusions
Supplementary Materials
Author Contributions
Funding
Institutional Review Board Statement
Informed Consent Statement
Data Availability Statement
Acknowledgments
Conflicts of Interest
References
- Bücker-Neto, L.; Paiva, A.L.S.; Machado, R.D.; Arenhart, R.A.; Margis-Pinheiro, M. Interactions between plant hormones and heavy metals responses. Genet. Mol. Biol. 2017, 40, 373–386. [Google Scholar] [CrossRef]
- Chunhabundit, R. Cadmium exposure and potential health risk from foods in contaminated area, Thailand. Toxicol. Res. 2016, 32, 65–72. [Google Scholar] [CrossRef] [PubMed]
- Shah, A.A.; Ahmed, S.; Abbas, M.; Yasin, N.A. Seed priming with 3-epibrassinolide alleviates cadmium stress in Cucumis sativus through modulation of antioxidative system and gene expression. Sci. Hort. 2020, 265, 109203. [Google Scholar] [CrossRef]
- Agency for Toxic Substances and Disease Registry (ATSDR) CERCLA Priority List of Hazardous Substances 2017. Available online: http://www.atsdr.cdc.gov/spl/index.html (accessed on 12 January 2021).
- He, J.; Ren, Y.; Pan, X.; Yan, Y.; Zhu, C.; Jiang, D. Salicylic acid alleviates the toxicity effect of cadmium on germination, seedling growth, and amylase activity of rice. J. Plant Nutr. Soil Sci. 2010, 173, 300–305. [Google Scholar] [CrossRef]
- He, J.; Ren, Y.; Chen, X.; Chen, H. Protective roles of nitric oxide on seed germination and seedling growth of rice (Oryza sativa L.) under cadmium stress. Ecotoxicol. Environ. Saf. 2014, 108, 114–119. [Google Scholar] [CrossRef] [PubMed]
- Piwowarczyk, B.; Tokarz, K.; Kamińska, I. Responses of grass pea seedlings to salinity stress in in vitro culture conditions. Plant Cell Tissue Organ Cult. (PCTOC) 2016, 124, 227–240. [Google Scholar] [CrossRef]
- Jaouani, K.; Karmous, I.; Ostrowski, M.; El Ferjani, E.; Jakubowska, A.; Chaoui, A. Cadmium effects on embryo growth of pea seeds during germination: Investigation of the mechanisms of interference of the heavy metal with protein mobilization-related factors. J. Plant Physiol. 2018, 226, 64–76. [Google Scholar] [CrossRef]
- Aoki, N.; Ishibashi, Y.; Kai, K.; Tomokiyo, R.; Yuasa, T.; Iwaya-Inoue, M. Programmed cell death in barley aleurone cells is not directly stimulated by reactive oxygen species produced in response to gibberellin. J. Plant Physiol. 2014, 171, 615–618. [Google Scholar] [CrossRef]
- Smiri, M.; Chaoui, A.; El Ferjani, E. Respiratory metabolism in the embryonic axis of germinating pea seed exposed to cadmium. J. Plant Physiol. 2009, 166, 259–269. [Google Scholar] [CrossRef]
- Hassan, M.; Israr, M.; Mansoor, S.; Hussain, S.A.; Basheer, F.; Azizullah, A.; Ur Rehman, S. Acclimation of cadmium-induced genotoxicity and oxidative stress in mung bean seedlings by priming effect of phytohormones and proline. PLoS ONE 2021, 16, e0257924. [Google Scholar] [CrossRef]
- Ahmad, F.; Kamal, A.; Singh, A.; Ashfaque, F.; Alamri, S.; Siddiqui, M.H.; Khan, M.I.R. Seed priming with gibberellic acid induces high salinity tolerance in Pisum sativum through antioxidants, secondary metabolites and up-regulation of antiporter genes. Plant Biol. 2021, 23, 113–121. [Google Scholar] [CrossRef] [PubMed]
- Mathur, P.; Tripathi, D.K.; Baluška, F.; Mukherjee, S. Auxin-mediated molecular mechanisms of heavy metal and metalloid stress regulation in plants. Environ. Exp. Bot. 2022, 196, 104796. [Google Scholar] [CrossRef]
- Della Rovere, F.; Piacentini, D.; Fattorini, L.; Girardi, N.; Bellanima, D.; Falasca, G.; Altamura, M.M.; Betti, C. Brassinosteroids mitigate cadmium effects in Arabidopsis root system without any cooperation with nitric oxide. Int. J. Mol. Sci. 2022, 23, 825. [Google Scholar] [CrossRef] [PubMed]
- Ahmad, P.; Raja, V.; Ashraf, M.; Wijaya, L.; Bajguz, A.; Alyemeni, M.N. Jasmonic acid (JA) and gibberellic acid (GA3) mitigated Cd-toxicity in chickpea plants through restricted Cd uptake and oxidative stress management. Sci. Rep. 2021, 11, 19768. [Google Scholar] [CrossRef] [PubMed]
- Nimir, N.E.A.; Lu, S.; Zhou, G.; Guo, W.; Ma, B.; Wang, Y. Comparative effects of gibberellic acid, kinetin and salicylic acid on emergence, seedling growth and the antioxidant defence system of sweet sorghum (Sorghum bicolor) under salinity and temperature stresses. Crop Past. Sci. 2015, 66, 145–157. [Google Scholar] [CrossRef]
- Zhu, G.; An, L.; Jiao, X.; Chen, X.; Zhou, G.; McLaughlin, N. Effects of gibberellic acid on water uptake and germination of sweet sorghum seeds under salinity stress. Chilean J. Agri. Res. 2019, 79, 415–424. [Google Scholar] [CrossRef]
- Amri, B.; Khamassi, K.; Ali, M.B.; da Silva, J.A.T.; Kaab, L.B.B. Effects of gibberellic acid on the process of organic reserve mobilization in barley grains germinated in the presence of cadmium and molybdenum. S. Afr. J. Bot. 2016, 106, 35–40. [Google Scholar] [CrossRef]
- Shokat, S.; Großkinsky, D.K.; Roitsch, T.; Liu, F. Activities of leaf and spike carbohydrate-metabolic and antioxidant enzymes are linked with yield performance in three spring wheat genotypes grown under well-watered and drought conditions. BMC Plant Biol. 2020, 20, 400. [Google Scholar] [CrossRef]
- Hasan, S.; Sehar, Z.; Khan, N.A. Gibberellic acid and sulfur-mediated reversal of cadmium-inhibited photosynthetic performance in mungbean (Vigna radiata L.) involves nitric oxide. J. Plant Growth Regul. 2020, 39, 1605–1615. [Google Scholar] [CrossRef]
- Xia, X.; Tang, Y.; Wei, M.; Zhao, D. Effect of paclobutrazol application on plant photosynthetic performance and leaf greenness of herbaceous peony. Horticulturae 2018, 4, 5. [Google Scholar] [CrossRef]
- Kondhare, K.R.; Hedden, P.; Kettlewell, P.S.; Farrell, A.D.; Monaghan, J.M. Use of the hormone-biosynthesis inhibitors fluridone and paclobutrazol to determine the effects of altered abscisic acid and gibberellin levels on pre-maturity α-amylase formation in wheat grains. J. Cereal Sci. 2014, 60, 210–216. [Google Scholar] [CrossRef]
- Ahmad, E.; Zaidi, A.; Khan, M.S.; Oves, M. Heavy metal toxicity to symbiotic nitrogen fixing microorganism and host legumes. In Toxicity of Heavy Metals to Legumes and Bioremediation; Zaidi, A., Wani, P.A., Khan, M.S., Eds.; Springer: Vienna, Austria, 2012; pp. 29–44. [Google Scholar]
- Choudhary, M.; Jat, H.L.; Bijarniya, S.; Bhati, V. Adoption of mungbean production technology by the farmers in Jaipur district of Rajasthan, India. Int. J. Curr. Microbiol. Appl. Sci. 2017, 6, 739–743. [Google Scholar]
- Tang, D.; Dong, Y.; Ren, H.; Li, L.; He, C. A review of phytochemistry, metabolite changes, and medicinal uses of the common food mung bean and its sprouts (Vigna radiata). Chem. Cent. J. 2014, 8, 4. [Google Scholar] [CrossRef]
- Anjum, N.A.; Umar, S.; Iqbal, M.; Khan, N.A. Cadmium causes oxidative stress in mung bean by affecting the antioxidant enzyme system and ascorbate-glutathione cycle metabolism. Russ. J. Plant Physiol. 2011, 58, 92–99. [Google Scholar] [CrossRef]
- Nahar, K.; Rahman, M.; Hasanuzzaman, M.; Alam, M.; Rahman, A.; Suzuki, T.; Fujita, M. Physiological and biochemical mechanisms of spermine-induced cadmium stress tolerance in mung bean (Vigna radiata L.) seedlings. Environ. Sci. Poll. Res. 2016, 23, 21206–21218. [Google Scholar] [CrossRef] [PubMed]
- El Rasafi, T.; Nouri, M.; Bouda, S.; Haddioui, A. The effect of Cd, Zn and Fe on seed germination and early seedling growth of wheat and bean. Ekológia 2016, 35, 213. [Google Scholar] [CrossRef]
- Liu, S.; Yang, C.; Xie, W.; Xia, C.; Fan, P. The effects of cadmium on germination and seedling growth of Suaeda salsa. Proced. Environ. Sci. 2012, 16, 293–298. [Google Scholar] [CrossRef]
- Taghizadeh, M.; Solgi, E. Impact of heavy metal stress on in vitro seed germination and seedling growth indices of two turfgrass species. J. Rang. Sci. 2017, 7, 220–231. [Google Scholar]
- Jones, K.W.; Sanders, D.C. The influence of soaking pepper seed in water or potassium salt solutions on germination at three temperatures. J. Seed Technol. 1987, 11, 97–102. [Google Scholar]
- Moosavi, S.A.; Gharineh, M.H.; Afshari, R.T.; Ebrahimi, A. Effects of some heavy metals on seed germination characteristics of canola (Barassica napus), wheat (Triticum aestivum) and safflower (Carthamus tinctorious) to evaluate phytoremediation potential of these crops. J. Agri. Sci. 2012, 4, 11. [Google Scholar] [CrossRef]
- Li, C.X.; Feng, S.L.; Yun, S.; Jiang, L.N.; Lu, X.Y.; Hou, X.L. Effects of arsenic on seed germination and physiological activities of wheat seedlings. J. Environ. Sci. 2007, 19, 725–732. [Google Scholar] [CrossRef] [PubMed]
- Bradford, M.M. A rapid and sensitive method for the quantitation of microgram quantities of protein utilizing the principle of protein-dye binding. Anal Biochem. 1976, 72, 248–254. [Google Scholar] [CrossRef]
- Gutsch, A.; Sergeant, K.; Keunen, E.; Prinsen, E.; Guerriero, G.; Renaut, J.; Hausman, J.F.; Cuypers, A. Does long-term cadmium exposure influence the composition of pectic polysaccharides in the cell wall of Medicago sativa stems? BMC Plant Biol. 2019, 19, 271. [Google Scholar] [CrossRef] [PubMed]
- Tansupo, P.; Suwannasom, P.; Luthria, D.L.; Chanthai, S.; Ruangviriyachai, C. Optimised separation procedures for the simultaneous assay of three plant hormones in liquid biofertilisers. Phytochem. Anal.: Int. J. Plant Chem. Biochem. Tech. 2010, 21, 157–162. [Google Scholar] [CrossRef] [PubMed]
- Yan, S.J.; Guo, L.W.; Wu, C.E.; Liang, L.Y.; Wang, J.D.; Zhang, L.N. Simultaneous determination of three kinds of endogenous hormones content in seeds of post-harvest Yali pear by high performance liquid chromatography. Chin. J. Anal. Chem. 2010, 38, 843–847. [Google Scholar]
- Ge, W.; Bu, H.; Wang, X.; Xia, Y.; Martinez, S.A.; Wang, X.; Qi, W.; Liu, K.; Du, G. Changes in endogenous hormone contents during seed germination of Anemone rivularis var. flore-minore. Glob. Ecol. Conserv. 2020, 24, e01200. [Google Scholar] [CrossRef]
- Asahina, M.; Yamauchi, Y.; Hanada, A.; Kamiya, Y.; Kamada, H.; Satoh, S.; Yamaguchi, S. Effects of the removal of cotyledons on endogenous gibberellin levels in hypocotyls of young cucumber and tomato seedlings. Plant Biotechnol. 2007, 24, 99–106. [Google Scholar] [CrossRef]
- He, J.Y.; Ren, Y.F.; Cheng, Z.H.; Jiang, D.A. Effects of cadmium stress on seed germination, seedling growth and seed amylase activities in rice (Oryza sativa). Rice Sci. 2008, 15, 319–325. [Google Scholar] [CrossRef]
- Irigoyen, J.J.; Einerich, D.W.; Sánchez-Díaz, M. Water stress induced changes in concentrations of proline and total soluble sugars in nodulated alfalfa (Medicago sativa) plants. Physiol. Plant. 1992, 84, 55–60. [Google Scholar] [CrossRef]
- Choudhury, S.; Panda, S.K. Toxic effects, oxidative stress and ultrastructural changes in moss Taxithelium nepalense (Schwaegr.) Broth. under chromium and lead phytotoxicity. Wat. Air Soil Poll. 2005, 167, 73–90. [Google Scholar] [CrossRef]
- Velikova, V.; Yordanov, I.; Edreva, A. Oxidative stress and some antioxidant systems in acid rain-treated bean plants: Protective role of exogenous polyamines. Plant Sci. 2000, 151, 59–66. [Google Scholar] [CrossRef]
- Dhindsa, R.A.; Plumb, D.P.; Thorpe, T.A. Leaf senescence: Correlated with increased permeability and lipid peroxidation, and decreased levels of superoxide dismutase and catalase. J. Exp. Bot. 1981, 32, 93–101. [Google Scholar] [CrossRef]
- Aebi, H. Catalase in vitro. In Methods in Enzymology, 105th ed.; Packer, L., Ed.; Academic Press: Orlando, FL, USA, 1984; pp. 121–126. [Google Scholar]
- Castillo, F.J.; Penel, C.; Greppin, H. Peroxidase release induced by ozone in Sedum album leaves: Involvement of Ca2+. Plant Physiol. 1984, 74, 846–851. [Google Scholar] [CrossRef]
- Nakano, Y.; Asada, K. Hydrogen peroxide is scavenged by ascorbate-specific peroxidase in spinach chloroplasts. Plant Cell Physiol. 1981, 22, 867–880. [Google Scholar]
- Foyer, C.H.; Halliwell, B. The presence of glutathione and glutathione reductase in chloroplasts: A proposed role in ascorbic acid metabolism. Planta. 1976, 133, 21–25. [Google Scholar] [CrossRef] [PubMed]
- Pandey, N.; Pathak, G.C.; Pandey, D.K.; Pandey, R. Heavy metals, Co, Ni, Cu, Zn and Cd, produce oxidative damage and evoke differential antioxidant responses in spinach. Braz. J. Plant Physiol. 2009, 21, 103–111. [Google Scholar] [CrossRef]
- Arnon, D.I. Copper enzymes in isolated chloroplasts. Polyphenoloxidase in Beta vulgaris. Plant Physiol. 1949, 24, 1. [Google Scholar] [CrossRef]
- Lian, J.; Wu, J.; Xiong, H.; Zeb, A.; Yang, T.; Su, X.; Su, L.; Liu, W. Impact of polystyrene nanoplastics (PSNPs) on seed germination and seedling growth of wheat (Triticum aestivum L.). J. Hazrd. Mat. 2020, 385, 121620. [Google Scholar] [CrossRef]
- Kuai, J.; Liu, Z.; Wang, Y.; Meng, Y.; Chen, B.; Zhao, W.; Zhao, Z.; Oosterhuis, D.M. Waterlogging during flowering and boll forming stages affects sucrose metabolism in the leaves subtending the cotton boll and its relationship with boll weight. Plant Sci 2014, 223, 79–98. [Google Scholar] [CrossRef]
- Kleczkowski, L.A.; Villand, P.; Luthi, E.; Olsen, O.A.; Preiss, J. Insensitivity of barley endosperm ADP-glucose pyrophosphorylase to 3-phosphoglycerate and orthophosphate regulation. Plant Physiol. 1993, 101, 179–186. [Google Scholar] [CrossRef] [PubMed]
- Fattahi, B.; Arzani, K.; Souri, M.K.; Barzegar, M. Effects of cadmium and lead on seed germination, morphological traits, and essential oil composition of sweet basil (Ocimum basilicum L.). Ind. Crops Prod. 2019, 138, 111584. [Google Scholar] [CrossRef]
- Siddiqui, S.; Meghvansi, M.K.; Wani, M.A.; Jabee, F. Evaluating cadmium toxicity in the root meristem of Pisum sativum L. Acta Physiol. Plant. 2009, 31, 531–536. [Google Scholar] [CrossRef]
- Milone, M.T.; Sgherri, C.; Clijsters, H.; Navari-Izzo, F. Antioxidative responses of wheat treated with realistic concentration of cadmium. Environ. Exp. Bot. 2003, 50, 265–276. [Google Scholar] [CrossRef]
- Kranner, I.; Colville, L. Metals and seeds: Biochemical and molecular implications and their significance for seed germination. Environ. Exp. Bot. 2011, 72, 93–105. [Google Scholar] [CrossRef]
- Kuriakose, S.V.; Prasad, M.N.V. Cadmium stress affects seed germination and seedling growth in Sorghum bicolor (L.) Moench by changing the activities of hydrolyzing enzymes. Plant Growth Regul. 2008, 54, 143–156. [Google Scholar] [CrossRef]
- Rahoui, S.; Chaoui, A.; Ferjani, E.E. Differential sensitivity to cadmium in germinating seeds of three cultivars of faba bean (Vicia faba L.). Acta Physiol. Plant. 2008, 30, 451–456. [Google Scholar] [CrossRef]
- Muccifora, S.; Bellani, L.M. Effects of copper on germination and reserve mobilization in Vicia sativa L. seeds. Environ. Poll. 2013, 179, 68–74. [Google Scholar] [CrossRef]
- Subin, M.P.; Francis, S. Phytotoxic effects of cadmium on seed germination, early seedling growth and antioxidant enzyme activities in Cucurbita maxima Duchesne. Int. Res. J. Biol. Sci. 2013, 2, 40–47. [Google Scholar]
- Chowardhara, B.; Borgohain, P.; Saha, B.; Awasthi, J.P.; Moulick, D.; Panda, S.K. Phytotoxicity of Cd and Zn on three popular Indian mustard varieties during germination and early seedling growth. Biocatal. Agri. Biotechnol. 2019, 21, 101349. [Google Scholar] [CrossRef]
- Ghani, A. Effect of cadmium toxicity on the growth and yield components of mungbean [Vigna radiata (L.) Wilczek]. World Appl. Sci. J. 2010, 8, 26–29. [Google Scholar]
- Slepecka, K.; Kalwa, K.; Wyrostek, J.; Pankiewicz, U. Evaluation of cadmium, lead, zinc and copper levels in selected ecological cereal food products and their non-ecological counterparts. Med. Sci. 2017, 30, 147–150. [Google Scholar] [CrossRef]
- Al-Rumaih, M.M.; Rushdy, S.A.; Warsy, A.S. Effect of cadmium chloride on seed germination and growth characteristics of cowpea (Vigna unguiculata L.) plants in the presence and absence of gibberellic acid. Saud. J. Biol. Sci. 2001, 8, 41–50. [Google Scholar]
- Küpper, H.; Andresen, E. Mechanisms of metal toxicity in plants. Metallomics 2016, 8, 269–285. [Google Scholar] [CrossRef] [PubMed]
- Parmar, P.; Kumari, N.; Sharma, V. Structural and functional alterations in photosynthetic apparatus of plants under cadmium stress. Bot. Stud. 2013, 54, 45. [Google Scholar] [CrossRef]
- Akhtar, M.J.; Ullah, S.; Ahmad, I.; Rauf, A.; Nadeem, S.M.; Khan, M.Y.; Hussain, S.; Bulgariu, L. Nickel phytoextraction through bacterial inoculation in Raphanus sativus. Chemosphere 2018, 190, 234–242. [Google Scholar] [CrossRef]
- Dong, Y.J.; Chen, W.F.; Liu, F.Z.; Wan, Y.S. Physiological responses of peanut seedlings to exposure to low or high cadmium concentration and the alleviating effect of exogenous nitric oxide to high cadmium concentration stress. Plant Biosyst.-Int. J. Deal. Asp. Plant Biol. 2020, 154, 405–412. [Google Scholar] [CrossRef]
- Nair, S.R.; Rajani, V. Effects of heavy metals on seed germination and protein content of Vigna radiata (L) Wilczek. Int. J. Adv. Res. 2015, 3, 1306–1317. [Google Scholar]
- Pawlak-Sprada, S.; Arasimowicz-Jelonek, M.; Podgórska, M.; Deckert, J. Activation of phenylpropanoid pathway in legume plants exposed to heavy metals. Part I. Effects of cadmium and lead on phenylalanine ammonia-lyase gene expression, enzyme activity and lignin content. Acta Biochim. Polo. 2011, 58, 211–216. [Google Scholar] [CrossRef]
- Yang, Y.J.; Cheng, L.M.; Liu, Z.H. Rapid effect of cadmium on lignin biosynthesis in soybean roots. Plant Sci. 2007, 172, 632–639. [Google Scholar] [CrossRef]
- Zhang, S.; Zhang, H.; Qin, R.; Jiang, W.; Liu, D. Cadmium induction of lipid peroxidation and effects on root tip cells and antioxidant enzyme activities in Vicia faba L. Ecotoxicology 2009, 18, 814–823. [Google Scholar] [CrossRef] [PubMed]
- Afzal, J.; Hu, C.; Imtiaz, M.; Elyamine, M.; Rana, M.S.; Imran, M.; Farag, M.A. Cadmium tolerance in rice cultivars associated with antioxidant enzymes activities and Fe/Zn concentrations. Int. J. Environ. Sci. Technol. 2019, 16, 4241–4252. [Google Scholar] [CrossRef]
- Mihoub, A.; Chaoui, A.; El Ferjani, E. Biochemical changes associated with cadmium and copper stress in germinating pea seeds (Pisum sativum L.). Comp. Rend. Boil. 2005, 328, 33–41. [Google Scholar] [CrossRef]
- Liu, Y.S.; Tao, Y.; Yang, X.Z.; Liu, Y.N.; Shen, R.F.; Zhu, X.F. Gibberellic acid alleviates cadmium toxicity in rice by regulating NO accumulation and cell wall fixation capacity of cadmium. J. Hazard. Mat. 2022, 439, 129597. [Google Scholar] [CrossRef]
- Munzuroglu, O.; Zengin, F.K. Effect of cadmium on germination, coleoptile and root growth of barley seeds in the presence of gibberellic acid and kinetin. J. Environ. Biol. 2006, 27, 671–677. [Google Scholar]
- Muralikrishna, G.; Nirmala, M. Cereal α-amylases—An overview. Carb. Poly. 2005, 60, 163–173. [Google Scholar] [CrossRef]
- Dua, A.; Sawhney, S.K. Effect of chromium on activities of hydrolytic enzymes in germinating pea seeds. Environ. Exp. Bot. 1991, 31, 133–139. [Google Scholar] [CrossRef]
- Van Harsselaar, J.K.; Lorenz, J.; Senning, M.; Sonnewald, U.; Sonnewald, S. Genome-wide analysis of starch metabolism genes in potato (Solanum tuberosum L.). BMC Genom. 2017, 18, 37. [Google Scholar] [CrossRef]
- Li, C.; Liu, Y.; Tian, J.; Zhu, Y.; Fan, J. Changes in sucrose metabolism in maize varieties with different cadmium sensitivities under cadmium stress. PLoS One 2020, 15, e0243835. [Google Scholar] [CrossRef]
- Kuhn, N.; Ponce, C.; Arellano, M.; Time, A.; Sagredo, B.; Donoso, J.M.; Meisel, L.A. Gibberellic acid modifies the transcript abundance of ABA pathway orthologs and modulates sweet cherry (Prunusavium) fruit ripening in early-and mid-season varieties. Plants 2020, 9, 1796. [Google Scholar] [CrossRef]
- Yuxi, Z.; Yanchao, Y.; Zejun, L.; Tao, Z.; Feng, L.; Chunying, L.; Shupeng, G. GA3 is superior to GA4 in promoting bud endodormancy release in tree peony (Paeoniasuf fruticosa) and their potential working mechanism. BMC Plant Biol. 2021, 21, 323. [Google Scholar] [CrossRef]
- Shahzad, K.; Hussain, S.; Arfan, M.; Hussain, S.; Waraich, E.A.; Zamir, S.; Saddique, M.; Rauf, A.; Kamal, K.Y.; Hano, C.; et al. Exogenously applied gibberellic acid enhances growth and salinity stress tolerance of maize through modulating the morpho-physiological, biochemical and molecular attributes. Biomolecules 2021, 11, 1005. [Google Scholar] [CrossRef]
- Fang, S.; Hu, W.; Wang, S.; Chen, B.; Zhou, Z. Exogenous application of 6-BA and GA3 collaboratively improves cottonseed yield and seed quality via altering production of carbohydrates in the embryo. Arch. Agron. Soil Sci. 2021, 67, 329–341. [Google Scholar] [CrossRef]
- Mukarram, M.; Mohammad, F.; Naeem, M.; Khan, M. Exogenous gibberellic acid supplementation renders growth and yield protection against salinity induced oxidative damage through upregulating antioxidant metabolism in fenugreek (Trigonellafoenum-graceum L.). In Fenugreek; Springer: Singapore, 2021; pp. 99–117. [Google Scholar]
- Ślesak, I.; Libik, M.; Karpinska, B.; Karpinski, S.; Miszalski, Z. The role of hydrogen peroxide in regulation of plant metabolism and cellular signalling in response to environmental stresses. Acta Biochim. Pol. 2009, 54, 39–50. [Google Scholar] [CrossRef]
- Wakeel, A.; Xu, M.; Gan, Y. Chromium-induced reactive oxygen species accumulation by altering the enzymatic antioxidant system and associated cytotoxic, genotoxic, ultrastructural, and photosynthetic changes in plants. Int. J. Mol. Sci. 2020, 21, 728. [Google Scholar] [CrossRef]
- Kaya, C.; Sarıoğlu, A.; Ashraf, M.; Alyemeni, M.N.; Ahmad, P. Gibberellic acid-induced generation of hydrogen sulfide alleviates boron toxicity in tomato (Solanum lycopersicum L.) plants. Plant Physiol. Biochem. 2020, 153, 53–63. [Google Scholar] [CrossRef] [PubMed]
- Banerjee, A.; Roychoudhury, A. Gibberellic acid-priming promotes fluoride tolerance in a susceptible indica rice cultivar by regulating the antioxidant and phytohormone homeostasis. J. Plant Growth Regul. 2020, 39, 1476–1487. [Google Scholar] [CrossRef]
- Wanderley, C.D.S.; Faria, R.T.D.; Ventura, M.U.; Vendrame, W. The effect of plant growth regulators on height control in potted Arundina graminifolia orchids (Growth regulators in Arundina graminifolia). Acta Sci. Agron. 2014, 36, 489–494. [Google Scholar] [CrossRef]
- Jabir, O.; Mohammed, B.; BenardKinuthia, K.; AlmahadiFaroug, M.; NureldinAwad, F.; Muleke, E.M.; Ahmadzai, Z.; Liu, L. Effects of gibberellin and gibberellin biosynthesis inhibitor (paclobutrazol) applications on radish (Raphanus sativus) taproot expansion and the presence of authentic hormones. Int. J. Agri. Biol. 2017, 19, 779–786. [Google Scholar]
- Ajmi, A.; Larbi, A.; Morales, M.; Fenollosa, E.; Chaari, A.; Munné-Bosch, S. Foliar paclobutrazol application suppresses olive tree growth while promoting fruit set. J. Plant Growth Regul. 2020, 39, 1638–1646. [Google Scholar] [CrossRef]
- Tuna, A.L.; Kaya, C.; Dikilitas, M.; Higgs, D. The combined effects of gibberellic acid and salinity on some antioxidant enzyme activities, plant growth parameters and nutritional status in maize plants. Environ. Exp. Bot. 2008, 62, 1–9. [Google Scholar] [CrossRef]
- Baninasab, B.; Ghobadi, C. Influence of paclobutrazol and application methods on high-temperature stress injury in cucumber seedlings. J. Plant Growth Regul. 2011, 30, 213–219. [Google Scholar] [CrossRef]









| Treatments | Total Protein Content Radicle | Total Protein Content Plumule | Total Chlorophyll Content Plumule | Amylase Activity Plumule | Total Soluble Sugars Plumule | Endogenous Gibberellic Acid Content | Lignin Content Radical |
|---|---|---|---|---|---|---|---|
| Control | 0.220 ± 0.02 a | 0.330 ± 0.017 a | 391 ± 16.71 a | 1.04 ± 0.05 a | 0.820 ± 0.015 aa | 8.70 ± 1.08 a | 0.141 ± 0.022 e |
| 25 µM Cd | 0.189 ± 0.026 a | 0.290 ± 0.023 a | 363 ± 15.89 a | 0.86 ± 0.06 b | 0.713 ± 0.023 b | 7.22 ± 0.85 b | 0.162 ± 0.012 d |
| 50 µM Cd | 0.132 ± 0.019 b | 0.231 ± 0.037 b | 320 ± 11.91 b | 0.64 ± 0.10 c | 0.565 ± 0.025 c | 5.65 ± 0.72 c | 0.233 ± 0.031 c |
| 75 µM Cd | 0.081 ± 0.036 c | 0.161 ± 0.044 c | 246 ± 12.73 c | 0.37 ± 0.04 d | 0.352 ± 0.023 d | 4.26 ± 0.31 d | 0.282 ± 0.046 b |
| 100 µM Cd | 0.041 ± 0.031 d | 0.060 ± 0.024 d | 156 ± 13.57 d | 0.10 ± 0.01 e | 0.164 ± 0.017 e | 1.91 ± 0.97 e | 0.365 ± 0.033 a |
Disclaimer/Publisher’s Note: The statements, opinions and data contained in all publications are solely those of the individual author(s) and contributor(s) and not of MDPI and/or the editor(s). MDPI and/or the editor(s) disclaim responsibility for any injury to people or property resulting from any ideas, methods, instructions or products referred to in the content. |
© 2023 by the authors. Licensee MDPI, Basel, Switzerland. This article is an open access article distributed under the terms and conditions of the Creative Commons Attribution (CC BY) license (https://creativecommons.org/licenses/by/4.0/).
Share and Cite
Kaur, H.; Nazir, F.; Hussain, S.J.; Kaur, R.; Rajurkar, A.B.; Kumari, S.; Siddiqui, M.H.; Mahajan, M.; Khatoon, S.; Khan, M.I.R. Gibberellic Acid Alleviates Cadmium-Induced Seed Germination Inhibition through Modulation of Carbohydrate Metabolism and Antioxidant Capacity in Mung Bean Seedlings. Sustainability 2023, 15, 3790. https://doi.org/10.3390/su15043790
Kaur H, Nazir F, Hussain SJ, Kaur R, Rajurkar AB, Kumari S, Siddiqui MH, Mahajan M, Khatoon S, Khan MIR. Gibberellic Acid Alleviates Cadmium-Induced Seed Germination Inhibition through Modulation of Carbohydrate Metabolism and Antioxidant Capacity in Mung Bean Seedlings. Sustainability. 2023; 15(4):3790. https://doi.org/10.3390/su15043790
Chicago/Turabian StyleKaur, Harmanjit, Faroza Nazir, Sofi Javed Hussain, Rupinder Kaur, Ashish B. Rajurkar, Sarika Kumari, Manzer H. Siddiqui, Moksh Mahajan, Sayeda Khatoon, and M. Iqbal R. Khan. 2023. "Gibberellic Acid Alleviates Cadmium-Induced Seed Germination Inhibition through Modulation of Carbohydrate Metabolism and Antioxidant Capacity in Mung Bean Seedlings" Sustainability 15, no. 4: 3790. https://doi.org/10.3390/su15043790
APA StyleKaur, H., Nazir, F., Hussain, S. J., Kaur, R., Rajurkar, A. B., Kumari, S., Siddiqui, M. H., Mahajan, M., Khatoon, S., & Khan, M. I. R. (2023). Gibberellic Acid Alleviates Cadmium-Induced Seed Germination Inhibition through Modulation of Carbohydrate Metabolism and Antioxidant Capacity in Mung Bean Seedlings. Sustainability, 15(4), 3790. https://doi.org/10.3390/su15043790

