Biological Response of Invasive Parthenium Weed to Elevated Concentration of Atmospheric Carbon Dioxide and Soil Salinity
Abstract
1. Introduction
2. Materials and Methods
2.1. Experimental Design and Setup
2.2. Experimental Observations and Analyses
2.3. Statistical Analysis
3. Results and Discussion
3.1. Effect of the Increased CO2 Level
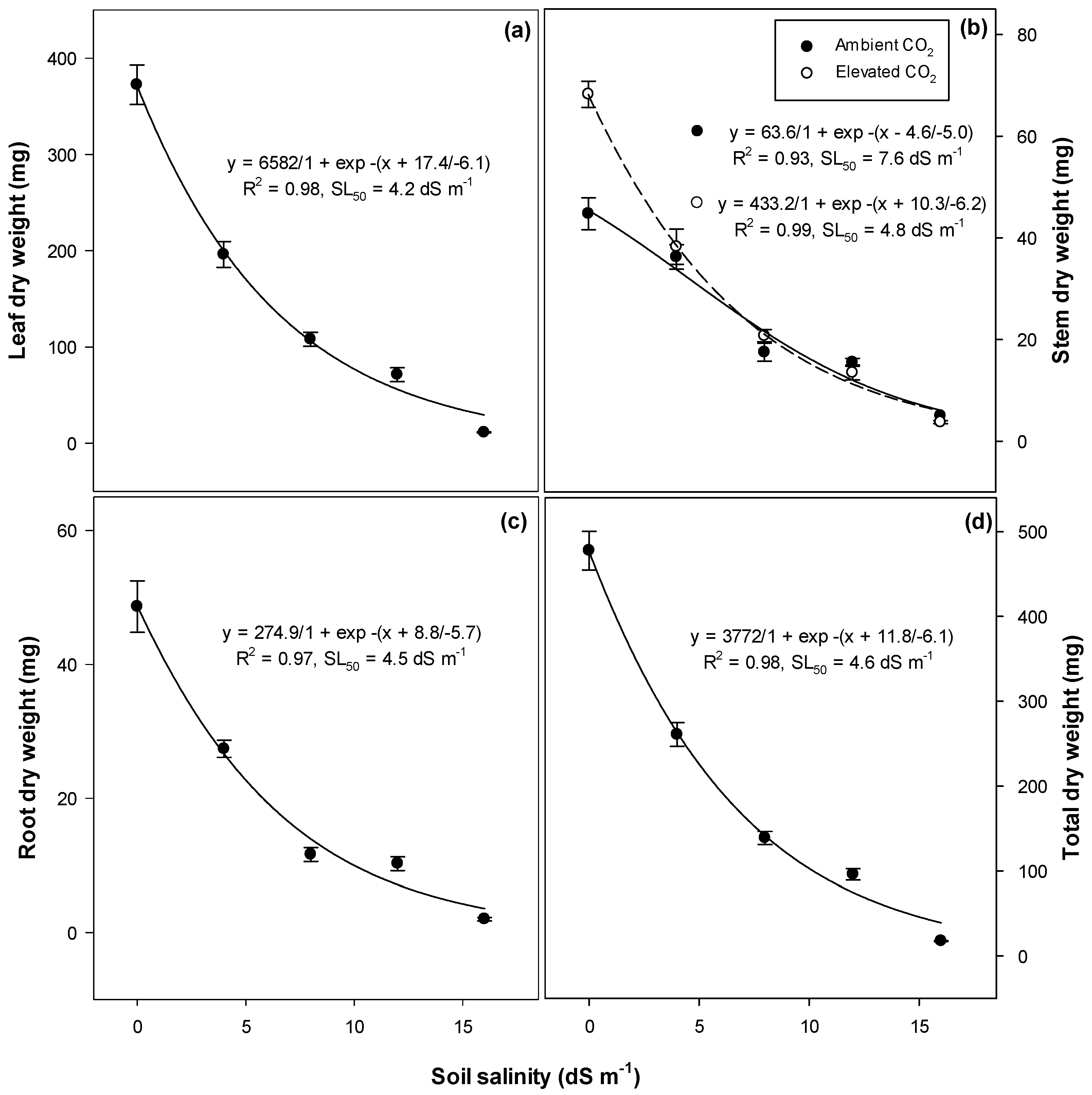
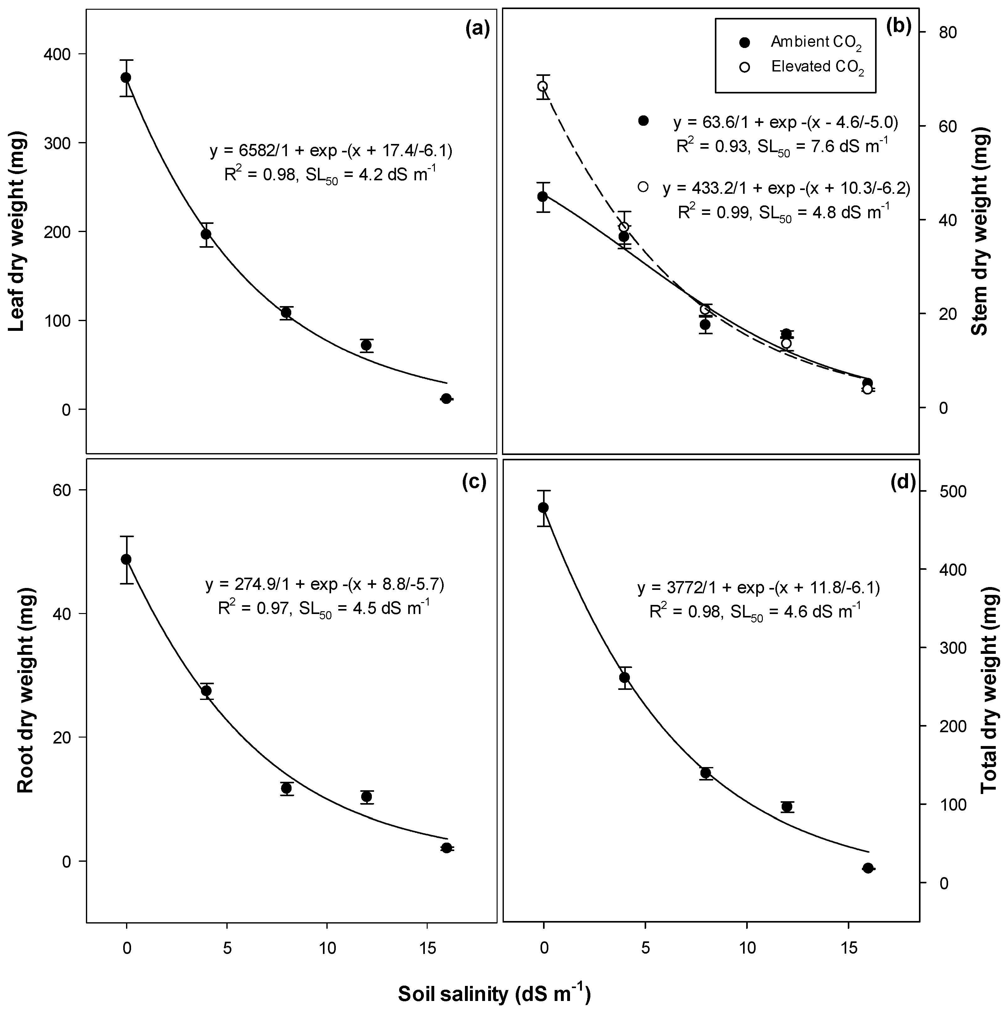
3.2. Effect of Soil Salinity Level
3.3. Interactive Effect of CO2 and Soil Salinity
4. Conclusions
Author Contributions
Funding
Institutional Review Board Statement
Data Availability Statement
Acknowledgments
Conflicts of Interest
References
- IPCC. 2014: Climate Change 2014: Synthesis Report. In Contribution of Working Groups I, II and III to the Fifth Assessment Report of the Intergovernmental Panel on Climate Change; Core Writing Team, Pachauri, R., Meyer, L., Eds.; IPCC: Geneva, Switzerland, 2014; p. 151. [Google Scholar]
- Rengasamy, P. World salinization with emphasis on Australia. J. Exp. Bot. 2006, 57, 1017–1023. [Google Scholar] [CrossRef]
- Varanasi, A.; Prasad, P.V.; Jugulam, M. Impact of climate change factors on weeds and herbicide efficacy. Adv. Agron. 2016, 135, 107–146. [Google Scholar]
- Fahad, S.; Bajwa, A.A.; Nazir, U.; Anjum, S.A.; Farooq, A.; Zohaib, A.; Sehrish, S.; Nasim, W.; Adkins, S.; Saud, S.; et al. Crop production under drought and heat stress: Plant responses and management options. Front. Plant Sci. 2017, 8, 1147. [Google Scholar] [CrossRef]
- Gornall, J.; Betts, R.; Burke, E.; Clark, R.; Camp, J.; Willett, K.; Wiltshire, A. Implications of climate change for agricultural productivity in the early twenty-first century. Philos. Trans. R. Soc. Lond. B Biol. Sci. 2015, 365, 2973–2989. [Google Scholar] [CrossRef]
- Dhankher, O.P.; Foyer, C.H. Climate resilient crops for improving global food security and safety. Plant Cell Environ. 2018, 41, 877–884. [Google Scholar] [CrossRef]
- Zhao, C.; Liu, B.; Piao, S.; Wang, X.; Lobell, D.B.; Huang, Y.; Huang, M.; Yao, Y.; Bassu, S.; Ciais, P.; et al. Temperature increase reduces global yields of major crops in four independent estimates. Proc. Natl. Acad. Sci. USA 2017, 114, 9326–9331. [Google Scholar] [CrossRef]
- Cinner, J.E.; Caldwell, I.R.; Thiault, L.; Ben, J.; Blanchard, J.L.; Coll, M.; Diedrich, A.; Eddy, T.D.; Everett, J.D.; Folberth, C.; et al. Potential impacts of climate change on agriculture and fisheries production in 72 tropical coastal communities. Nat. Commun. 2022, 13, 3530. [Google Scholar] [CrossRef]
- Ziska, L.H.; McConnell, L.L. Climate change, carbon dioxide, and pest biology: Monitor, mitigate, manage. J. Agric. Food Chem. 2015, 64, 6–12. [Google Scholar] [CrossRef]
- Bajwa, A.A.; Matzrafi, M.; Jugulam, M. Editorial: Biology and Management of weeds and invasive plant species under changing climatic and management regimes. Front. Agron. 2021, 3, 728144. [Google Scholar] [CrossRef]
- Blumenthal, D.M.; Kray, J.A. Climate change, plant traits and invasion in natural and agricultural ecosystems. In Invasive Species and Global Climate Change; Ziska, L., Dukes, J., Eds.; CABI: Oxfordshire, UK, 2014; Volume 4, pp. 62–74. [Google Scholar]
- Peters, K.; Breitsameter, L.; Gerowitt, B. Impact of climate change on weeds in agriculture: A review. Agron. Sustain. Dev. 2014, 34, 707–721. [Google Scholar] [CrossRef]
- Matzrafi, M.; Brunharo, C.; Tehranchian, P.; Hanson, B.D.; Jasieniuk, M. Increased temperatures and elevated CO2 levels reduce the sensitivity of Conyza canadensis and Chenopodium album to glyphosate. Sci. Rep. 2019, 9, 2228. [Google Scholar] [CrossRef]
- Mao, R.; Bajwa, A.A.; Adkins, S.W. A superweed in the making: Adaptations of Parthenium hysterophorus to a changing climate. A review. Agron. Sustain. Dev. 2021, 41, 47. [Google Scholar] [CrossRef]
- Adkins, S.; Shabbir, A. Biology, ecology and management of the invasive parthenium weed (Parthenium hysterophorous L.). Pest Manag. Sci. 2014, 70, 1023–1029. [Google Scholar] [CrossRef]
- Bajwa, A.A.; Chauhan, B.S.; Farooq, M.; Shabbir, A.; Adkins, S. What do we really know about alien plant invasion? A review of the invasion mechanism of one of the world’s worst weeds. Planta 2016, 244, 39–57. [Google Scholar] [CrossRef]
- Saravanane, P.; Poonguzhalan, R.; Chellamuthu, V. Parthenium (Parthenium hysterophorus L.) distribution and its bio-resource potential for rice production in Puducherry, India. Pak. J. Weed Sci. Res. 2012, 18, 551–555. [Google Scholar]
- Bajwa, A.A.; Farooq, M.; Nawaz, A.; Yadav, L.; Chauhan, B.S.; Adkins, S. Impact of invasive plant species on the livelihoods of farming households: Evidence from Parthenium hysterophorus invasion in rural Punjab, Pakistan. Biol. Invasions 2019, 21, 3285–3304. [Google Scholar] [CrossRef]
- Shabbir, A.; Dhileepan, K.; Khan, N.; Adkins, S.W. Weed-pathogen interactions and elevated CO2: Growth changes in favour of the biological control agent. Weed Res. 2014, 54, 217–222. [Google Scholar] [CrossRef]
- Khan, N.; George, D.; Shabbir, A.; Hanif, Z.; Adkins, S.W. Rising CO2 can alter fodder-weed interactions and suppression of Parthenium hysterophorus. Weed Res. 2015, 55, 113–117. [Google Scholar] [CrossRef]
- Bajwa, A.A.; Wang, H.; Chauhan, B.S.; Adkins, S.W. Effect of elevated carbon dioxide concentration on growth, productivity and glyphosate response of parthenium weed (Parthenium hysterophorus L.). Pest Manag. Sci. 2019, 75, 2934–2941. [Google Scholar] [CrossRef]
- Rice, C.; Wolf, J.; Fleisher, D.H.; Acosta, S.M.; Adkins, S.W.; Bajwa, A.A.; Ziska, L.H. Recent CO2 levels promote increased production of the toxin parthenin in an invasive Parthenium hysterophorus biotype. Nat. Plants 2021, 7, 725–729. [Google Scholar] [CrossRef]
- Ziska, L.H.; Caulfield, F.A. Rising CO2 and pollen production of common ragweed (Ambrosia artemisifolia), a known allergy-inducing species: Implications for public health. Aust. J. Plant Physiol. 2000, 27, 893–898. [Google Scholar]
- Ziska, L.H.; Bunce, J.A.; Caulfield, F.A. Rising atmospheric carbon dioxide and seed yield of soybean genotypes. Crop Sci. 2001, 41, 385–391. [Google Scholar] [CrossRef]
- Moore, B.D.; Franceschi, V.R.; Cheng, S.; Wu, J.; Ku, M.S.B. Photosynthetic characteristics of the C3-C4 intermediate Parthenium hysterophorus. Plant Physiol. 1987, 85, 984–989. [Google Scholar] [CrossRef]
- Ziska, L.H. The impact of elevated CO2 on yield loss from a C3 and C4 weed in field-grown soybean. Glob. Change Biol. 2000, 6, 899–905. [Google Scholar] [CrossRef]
- Khurshid, S.; Nasim, G.; Bajwa, R.; Adkins, S.W. Growth responses of Parthenium hysterophorus L. growing under salt stress. Pak. J. Weed Sci. Res. 2012, 18, 51–64. [Google Scholar]
- Ahmad, J.; Bashir, H.; Bagheri, R.; Baig, M.A.; Al-Huqail, A.; Ibrahim, M.M.; Qureshi, I. Drought and salinity induced changes in ecophysiology and proteomic profile of Parthenium hysterophorus. PLoS ONE 2017, 12, e0185118. [Google Scholar] [CrossRef]
- Bajwa, A.; Chauhan, B.; Adkins, S. Germination ecology of two Australian biotypes of ragweed parthenium (Parthenium hysterophorus) relates to their invasiveness. Weed Sci. 2018, 66, 62–70. [Google Scholar] [CrossRef]
- Perez-Lopez, U.; Robredo, A.; Lacuesta, M.; Sgherri, C.; Munoz-Rueda, A.; Navari-Izzo, F.; Mena-Petite, A. The oxidative stress caused by salinity in two barley cultivars is mitigated by elevated CO2. Plant Physiol. 2009, 135, 29–42. [Google Scholar] [CrossRef]
- Perez-Lopez, U.; Miranda-Apodaca, J.; Mena-Petite, A.; Muñoz-Rueda, A. Responses of nutrient dynamics in barley seedlings to the interaction of salinity and carbon dioxide enrichment. Environ. Exp. Bot. 2014, 99, 86–99. [Google Scholar] [CrossRef]
- Tavakkoli, E.; Rengasamy, P.; McDonald, G.K. High concentrations of Na+ and Cl− ions in soil solution have simultaneous detrimental effects on growth of faba bean under salinity stress. J. Exp. Bot. 2010, 61, 4449–4459. [Google Scholar] [CrossRef]
- Bajwa, A.A.; Chauhan, B.S.; Adkins, S.W. Morphological, physiological, and biochemical responses of two Australian biotypes of Parthenium hysterophorus to different soil moisture regimes. Environ. Sci. Pollut. Res. 2017, 24, 16186–16194. [Google Scholar] [CrossRef]
- Smart, R.E.; Bingham, G.E. Rapid Estimates of relative water content. Plant Physiol. 1974, 53, 258–260. [Google Scholar] [CrossRef]
- Julkenen-Titto. Phenolic constituents in the leaves of northern willows: Methods for the analysis of certain phenolics. J. Agric. Food Chem. 1985, 33, 213–217. [Google Scholar] [CrossRef]
- Zasoski, R.J.; Burau, R.G. A rapid nitrate- perchloric acid digestion method for multi-element tissue analysis. Commun. Soil Sci. Plant Anal. 1977, 8, 425–436. [Google Scholar] [CrossRef]
- Drake, B.G.; Gonzàlez-Meler, M.A.; Long, S.P. More efficient plants: A consequence of rising atmospheric CO2? Annu. Rev. Plant Physiol. Plant Mol. Biol. 1997, 48, 609–639. [Google Scholar] [CrossRef]
- Sage, R.F.; Sharkey, T.D.; Seemann, J.R. Acclimation of photosynthesis to elevated CO2 in five C3 species. Plant Physiol. 1989, 89, 590–596. [Google Scholar] [CrossRef]
- Nguyen, T.; Bajwa, A.A.; Navie, S.; O’Donnell, C.; Adkins, S.W. Parthenium weed (Parthenium hysterophorus L.) and climate change: The effect of CO2 concentration, temperature, and water deficit on growth and reproduction of two biotypes. Environ. Sci. Pollut. Res. 2017, 24, 10727–10739. [Google Scholar] [CrossRef]
- Bowes, G. Photosynthetic responses to changing atmospheric carbon dioxide. In Photosynthesis and the Environment. Advances in Photosynthesis and Respiration; Baker, N.R., Ed.; Springer: Dordrecht, NL, USA, 1996; pp. 387–407. [Google Scholar]
- Peterhansel, C.; Horst, I.; Niessen, M.; Blume, C.; Kebeish, R.; Kürkcüoglu, S.; Kreuzaler, F. Photorespiration. Arab. Book 2010, 8, e0130. [Google Scholar] [CrossRef]
- Kim, S.G.; Park, C.M. Gibberellic acid-mediated salt signaling in seed germination. Plant Signal. Behav. 2008, 3, 877–879. [Google Scholar] [CrossRef]
- Farooq, M.; Hussain, M.; Wakeel, A.; Siddique, K.M.H. Salt stress in maize: Effects, resistance mechanisms, and management. A review. Agron. Sustain. Dev. 2015, 35, 461–481. [Google Scholar] [CrossRef]
- Djanaguiraman, M.; Sheeba, J.A.; Shanker, A.K.; Devi, D.D.; Bangarusamy, U. Rice can acclimate to lethal level of salinity by pretreatment with sublethal level of salinity through osmotic adjustment. Plant Soil 2006, 284, 363–373. [Google Scholar] [CrossRef]
- Akram, N.A.; Ashraf, M.; Al-Qurainy, F. Aminolaevulinic acid-induced changes in yield and seed-oil characteristics of sunflower (Helianthus annuus L.) plants under salt stress. Pak. J. Bot. 2011, 43, 2845–2852. [Google Scholar]
- Navie, S.C.; McFadyen, R.E.; Panetta, F.D.; Adkins, S.W. The effect of CO2 enrichment on the growth of a C3 weed (Parthenium hysterophorus L.) and its competitive interaction with a C4 grass (Cenchrus ciliaris L.). Plant Prot. Q. 2005, 20, 61–66. [Google Scholar]
- Nie, G.Y.; Long, S.P.; Garcia, R.L.; Kimball, B.A.; Lamorte, R.L.; Pinter, P.J., Jr.; Wall, G.W.; Webber, A.N. Effects of free-air CO2 enrichment on the development of the photosynthetic apparatus in wheat, as indicated by changes in leaf proteins. Plant Cell Environ. 1995, 18, 855–886. [Google Scholar] [CrossRef]
- Estiarte, M.; Filella, I.; Serra, J.; Peñuelas, J. Effects of nutrient and water stress on leaf phenolic content of peppers and susceptibility to a generalist herbivore Helicoverpa armigera (Hubner). Oecologia 1994, 99, 273–278. [Google Scholar] [CrossRef]
- Bowman, W.; Strain, B.R. Interaction between CO2 enrichment and salinity stress in the C4 non-halophyte Andropogon glomeratus (Walter) BSP. Plant Cell Environ. 1987, 10, 267–270. [Google Scholar]
- Ziska, L.H.; Goins, E.W. Elevated atmospheric carbon dioxide and weed populations in glyphosate treated soybean. Crop Sci. 2006, 46, 1354–1359. [Google Scholar] [CrossRef]





| Source of Variation | p Values for Different Treatment Factors | ||
|---|---|---|---|
| CO2 | Salinity Level | Interaction | |
| Germination (%) | 0.255 | <0.001 | 0.969 |
| Plant height (cm) | 0.022 | <0.001 | 0.347 |
| Numbers of leaves per plant | 0.250 | <0.001 | 0.543 |
| Chlorophyll index (SPAD units) | <0.001 | <0.001 | 0.029 |
| Leaf area per plant (cm2) | 0.003 | <0.001 | 0.233 |
| Leaf dry weight per plant (mg) | 0.034 | <0.001 | 0.654 |
| Stem dry weight per plant (mg) | 0.020 | <0.001 | 0.003 |
| Root dry weight per plant (mg) | 0.306 | <0.001 | 0.219 |
| Total dry weight per plant (mg) | 0.009 | <0.001 | 0.195 |
| Root length per plant (cm) | 0.769 | <0.001 | 0.704 |
| Relative water content (%) | 0.519 | 0.002 | 0.538 |
| Total soluble phenolics (mg g−1 of fresh weight) | 0.056 | <0.001 | <0.001 |
| Sodium (%) | 0.817 | 0.012 | 0.999 |
| Potassium (%) | 0.169 | 0.346 | 0.959 |
Disclaimer/Publisher’s Note: The statements, opinions and data contained in all publications are solely those of the individual author(s) and contributor(s) and not of MDPI and/or the editor(s). MDPI and/or the editor(s) disclaim responsibility for any injury to people or property resulting from any ideas, methods, instructions or products referred to in the content. |
© 2023 by the authors. Licensee MDPI, Basel, Switzerland. This article is an open access article distributed under the terms and conditions of the Creative Commons Attribution (CC BY) license (https://creativecommons.org/licenses/by/4.0/).
Share and Cite
Saravanane, P.; Bajwa, A.A.; Djanaguiraman, M.; Adkins, S.W. Biological Response of Invasive Parthenium Weed to Elevated Concentration of Atmospheric Carbon Dioxide and Soil Salinity. Sustainability 2023, 15, 1025. https://doi.org/10.3390/su15021025
Saravanane P, Bajwa AA, Djanaguiraman M, Adkins SW. Biological Response of Invasive Parthenium Weed to Elevated Concentration of Atmospheric Carbon Dioxide and Soil Salinity. Sustainability. 2023; 15(2):1025. https://doi.org/10.3390/su15021025
Chicago/Turabian StyleSaravanane, Pasoubady, Ali Ahsan Bajwa, Maduraimuthu Djanaguiraman, and Steve W. Adkins. 2023. "Biological Response of Invasive Parthenium Weed to Elevated Concentration of Atmospheric Carbon Dioxide and Soil Salinity" Sustainability 15, no. 2: 1025. https://doi.org/10.3390/su15021025
APA StyleSaravanane, P., Bajwa, A. A., Djanaguiraman, M., & Adkins, S. W. (2023). Biological Response of Invasive Parthenium Weed to Elevated Concentration of Atmospheric Carbon Dioxide and Soil Salinity. Sustainability, 15(2), 1025. https://doi.org/10.3390/su15021025

