Modeling Occupant Window Behavior in Hospitals—A Case Study in a Maternity Hospital in Beijing, China
Abstract
1. Introduction
2. Research Method
2.1. Case Study Building
2.2. Data Collection
2.3. Statistical Analysis
- (1)
- Sensor: defines the variable parameters (indoor temperature, indoor relative humidity, indoor CO2 concentration, outdoor temperature, outdoor humidity, outdoor PM2.5, outdoor wind speed, and wind direction) required for building the window model.
- (2)
- Actuator: defined as the name to determine the opening ratio of the dynamic windowing model. For example, the name of the opening ratio of the doctors’ office window is defined as W10W, where 1 represents a fully open case and 0 represents a fully closed case. Ventwin210 is the name of the opening rate defined in this model, and the opening rate is defined in Schedule: Constant, in which the opening rate is initially defined as 1.
- (3)
- Program calling manager: determines the time to run the dynamic window model. The model calling point selected in this study is ‘BeginNewEnvironment’. Hence, the dynamic window model is triggered before inputting new parameters.
- (4)
- Program: enters the dynamic window model. The model in EnergyPlus is defined such that when the result of the logistic regression model is greater than 0, the window opens; otherwise, the window is closed. The opening degree of this setting is half of the fully opened area. This is based on the feedback from the interviews with residents in the early stage of actual measurement, where they mentioned that half of the windows are usually open.
3. Results and Analysis
3.1. Preliminarily Statistical Analysis
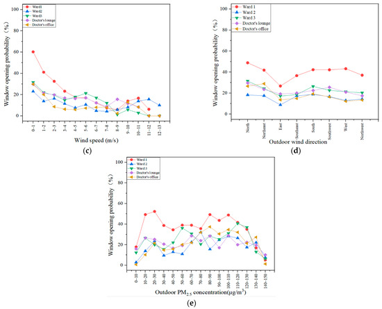
3.2. Outdoor Environmental Factors
3.3. Indoor Environmental Factors
- (1)
- Indoor air quality gradually deteriorates when CO2 concentrations are between 1000 and 2000 ppm [52]. However, 2000 ppm is insufficient to make individuals feel stuffy indoors. Therefore, occupants in the room are not motivated to open windows when the indoor CO2 content is below 2000 ppm. The window opening probability is higher in the range of 0–2000 ppm, indicating that frequent window opening for other reasons lowers the indoor CO2 concentration. Consequently, CO2 concentrations in the range of 0–2000 ppm constitute the effect of windowing behavior rather than its cause.
- (2)
- Previously reported statistical data also indicate that the highest CO2 concentration in the doctors’ office is far lower than in other rooms. More than 2000 ppm accounted for only 1% of the entire test period, which is far less than other rooms with rest functions. Furthermore, Table 3 presents that the indoor CO2 concentration exceeding 2000 ppm mainly occurs during sleep in other rooms. In particular, when the concentration exceeds 3000 ppm, 72.3% of the cases occur at night. A high CO2 level may make indoor employees drowsy throughout the day, but it does not wake them while sleeping at night. As a result, a high CO2 concentration cannot be considered to determine the window-opening behavior during this period.
3.4. Time Factor
3.5. Window-Opening Behavior Modeling
3.6. Evaluating Logistic Regression with EnergyPlus
3.7. Mutual Verification of Models
- 1.
- Window opening probability [43]
- 2.
- [55]
- 3.
- Number of window-opening actions [43]
- 4.
- Accuracy (ACC)
- 5.
4. Discussion
5. Limitation
6. Conclusions
- In spring, the operating frequency of ward windows is far more frequent than that of the doctor’s room, with an average of 1 to 2 times a day. The doctors’ room’s windows remain open or closed for a long time. Furthermore, in the spring, the window opening probability of all rooms increases on the day when the outdoor temperature is close to the peak of 20 °C, and after that, the phenomenon of window opening all day begins to appear.
- According to the statistics of window opening probability changing with the time of day, it was found that the window opening probability of all rooms except the doctors’ office increased by 5% to 10% in the morning and kept decreasing after 21:00. However, as the doctors’ office is a 24 h room, its window-opening behavior did not follow this rule. Hence, the doctors’ office needs a separate analysis and modeling.
- Doctors have different requirements for the environment under different conditions. The modeling and analysis results show that the main factors affecting the doctors’ office and the doctors’ lounge are different. The main factors affecting doctors’ office window-opening behavior are indoor environmental factors, including CO2 concentration, temperature, and relative humidity. The main factors affecting the doctors’ lounge’s window-opening behavior are indoor CO2 concentration and indoor and outdoor temperature. Therefore, two different rooms should be discussed in the hospital architecture research.
- Outdoor temperature affects the window-opening behavior for rooms with rest functions, such as wards and doctors’ lounge. Through the modeling results, the most relevant factor to the window-opening behavior in the three wards is the outdoor temperature. Among the critical factors that affect the doctors’ lounge’s window-opening behavior, besides the indoor CO2 concentration, the most relevant one is the outdoor temperature. Therefore, when studying the window-opening behavior in buildings with rest function, it is important to pay more attention to the influence of outdoor temperature.
- The dynamic logistic regression model can better simulate indoor air quality in actual cases. The correlation between the simulated results and the measured ones of indoor CO2 concentration by the logistic regression model in EnergyPlus software is more than 20% higher than that by the fixed timetable model.
- Due to the room particularity, the window-opening behavior characteristics of the doctors’ office cannot be accurately predicted by the models of other buildings. Even though they are all office buildings, accurate prediction results cannot be obtained due to the differences of staff type in the room or the working hours. Therefore, the research on the doctors’ office still needs to be measured to get a more accurate prediction model. However, it is necessary to further verify whether buildings with similar room functions, types and the same personnel in the room can be mutually verified.
Author Contributions
Funding
Institutional Review Board Statement
Informed Consent Statement
Data Availability Statement
Conflicts of Interest
References
- Nicol, J.F.; Humphreys, M.A. Thermal comfort as part of a self-regulating system. Build. Res. Pr. 1973, 1, 174–179. [Google Scholar] [CrossRef]
- Zhong, H.-Y.; Sun, Y.; Shang, J.; Qian, F.-P.; Zhao, F.-Y.; Kikumoto, H.; Jimenez-Bescos, C.; Liu, X. Single-sided natural ventilation in buildings: A critical literature review. Build. Environ. 2022, 212, 108797. [Google Scholar] [CrossRef]
- Li, N.; Li, J.; Fan, R.; Jia, H. Probability of occupant operation of windows during transition seasons in office buildings. Renew. Energy 2015, 73, 84–91. [Google Scholar] [CrossRef]
- Smedbold, H.T.; Ahlen, C.; Unimed, S.; Nilsen, M.; Norbäck, D. εtBj⊘rn Hilt, Relationships between indoor environments and nasal inflammation in nursing personnel. Arch. Environ. Health 2002, 57, 155–161. [Google Scholar] [CrossRef] [PubMed]
- Gu, Y.; Cui, T.; Liu, K.; Yang, F.; Wang, S.; Song, H.; Qi, Q.; Meng, Q.; Li, Y. Study on influencing factors for occupant window opening behavior: Case study of an office building in Xi’an during the transition season. Build. Environ. 2021, 2, 107977. [Google Scholar] [CrossRef]
- Li, H.; Guan, Y.; Feng, G.; Huang, K. Analysis on influence of winter opening windows for natural ventilation on indoor fresh air volume in northern residential building. Procedia Eng. 2017, 205, 3323–3327. [Google Scholar] [CrossRef]
- Qian, H.; Li, Y.; Seto, W.H.; Ching, P.; Ching, W.H.; Sun, H.Q. Natural ventilation for reducing airborne infection in hospitals. Build. Environ. 2010, 45, 559–565. [Google Scholar] [CrossRef]
- Cao, Y.; Pan, S.; Liu, Y.; Yu, H.; Wang, X.; Chang, L.; Ni, M.; Liu, H. The window opening behavior of infant families: A case study during transition season in the cold region of China. Energy Build. 2022, 254, 111588. [Google Scholar] [CrossRef]
- Hong, T.; Yan, D.; D’Oca, S.; Chen, C.-F. Ten questions concerning occupant behavior in buildings: The big picture. Build. Environ. 2017, 114, 518–530. [Google Scholar] [CrossRef]
- Warren, P.R.; Parkins, L.M. Window-opening behaviour in office buildings. Build. Serv. Eng. Res. Technol. 1984, 5, 89. [Google Scholar] [CrossRef]
- Brundett, G.W. Ventilation: A behavioural approach. Energy Res. 1977, 1, 289–298. [Google Scholar] [CrossRef]
- RaJa, I.A.A.; Nicol, J.F.; McCartney, K.J. Natural ventilation buildings: Use of controls for changing indoor climate. Renew. Energy 1998, I5, 391–394. [Google Scholar] [CrossRef]
- Raja, I.A.; Nicol, J.F.; McCartney, K.J.; Humphreys, M.A. Thermal comfort: Use of controls in naturally ventilated buildings. Energy Build. 2001, 33, 235–244. [Google Scholar] [CrossRef]
- Haldi*, K.; Robinson, D. Interactions with window openings by office occupants. Build. Environ. 2009, 44, 2378–2395. [Google Scholar] [CrossRef]
- Pan, S.; Xiong, Y.; Han, Y.; Zhang, X.; Xia, L.; Wei, S.; Wu, J.; Han, M. A study on influential factors of occupant window opening behavior in an office building in China. Build. Environ. 2018, 133, 41–50. [Google Scholar] [CrossRef]
- Wei, S.; Buswell, R.; Loveday, D. Factors affecting ‘end-of-’day’ window position in a non-air-conditioned office building. Energy Build. 2013, 62, 87–96. [Google Scholar] [CrossRef]
- Yun, G.Y.; Steemers, K. Time-dependent occupant behaviour models of window control in summer. Building and Environ. 2008, 43, 1471–1482. [Google Scholar] [CrossRef]
- Zhang, Y.; Barrett, P. Factors influencing the occupants’ window opening behaviour in a naturally ventilated office building. Build. Environ. 2012, 50, 125–134. [Google Scholar] [CrossRef]
- Yun, G.Y.; Steemers, K. Night-time naturally ventilated offices: Statistical simulations of window-use patterns from field monitoring. Sol. Energy 2010, 84, 1216–1231. [Google Scholar] [CrossRef]
- Herkel, S.; Knapp, U.; Pfafferott, J. Towards a model of user behaviour regarding the manual control of windows in office buildings. Build. Environ. 2008, 43, 588–600. [Google Scholar] [CrossRef]
- Haldi, F.; Robinson, D. On the behaviour and adaptation of office occupants. Build. Environ. 2008, 43, 2163–2177. [Google Scholar] [CrossRef]
- D’Oca, S.; Hong, T. A data-mining approach to discover patterns of window opening and closing behavior in offices. Build. Environ. 2014, 82, 726–739. [Google Scholar] [CrossRef]
- Zhou, X.; Ren, J.; An, J.J.; Yan, D.; Shi, X.; Jin, X. Predicting open-plan office window operating behavior using the random forest algorithm. J. Build. Eng. 2021, 42, 102514. [Google Scholar] [CrossRef]
- Lai, D.; Jia, S.; Qi, Y.; Liu, J. Window opening behavior in Chinese residential buildings across different climate zones. Build. Environ. 2018, 142, 234–243. [Google Scholar] [CrossRef]
- Jeong, B.; Jeong, J.-W.; Park, J.S. Occupant behavior regarding the manual control of windows in residential buildings. Energy Build. 2016, 127, 206–216. [Google Scholar] [CrossRef]
- Andersen, R.V.; Toftum, J.; Andersen, K.K.; Olesen, B.W. Survey of occupant behaviour and control of indoor environment in Danish dwellings. Energy Build. 2009, 41, 11–16. [Google Scholar] [CrossRef]
- Du, C.; Yu, W.; Ma, Y.; Cai, Q.; Li, B.; Li, N.; Wang, W.; Yao, R. A holistic investigation into the seasonal and temporal variations of window opening behavior in residential buildings in Chongqing, China. Energy Build. 2021, 231, 110522. [Google Scholar] [CrossRef]
- Fabi, V.; Andersen, R.V.; Corgnati, S.; Olesen, B.W. Occupants’ window opening behaviour: A literature review of factors influencing occupant behaviour and models. Build. Environ. 2012, 58, 188–198. [Google Scholar] [CrossRef]
- Zhou, P.; Wang, H.; Li, F.; Dai, Y.; Huang, C. Development of window opening models for residential building in hot summer and cold winter climate zone of China. Energy Built Environ. 2021, 3, 363–372. [Google Scholar] [CrossRef]
- Fabi, V.; Andersen, R.K.; Corgnati, S. Verification of stochastic behavioural models of occupants’ interactions with windows in residential buildings. Build. Environ. 2015, 94, 371–383. [Google Scholar] [CrossRef]
- Barthelmes, V.M.; Heo, Y.; Fabi, V.; Corgnati, S.P. Exploration of the Bayesian Network framework for modelling window control behaviour. Build. Environ. 2017, 126, 318–330. [Google Scholar] [CrossRef]
- Mo, H.; Sun, H.; Liu, J.; Wei, S. Developing window behavior models for residential buildings using XGBoost algorithm. Energy Build. 2019, 205, 109564. [Google Scholar] [CrossRef]
- Jones, R.V.; Fuertes, A.; Gregori, E.; Giretti, A. Stochastic behavioural models of occupants’ main bedroom window operation for UK residential buildings. Build. Environ. 2017, 118, 144–158. [Google Scholar] [CrossRef]
- Hassan, A.; Zeeshan, M. Microbiological indoor air quality of hospital buildings with different ventilation systems, cleaning frequencies and occupancy levels. Atmos. Pollut. Res. 2022, 13, 101382. [Google Scholar] [CrossRef]
- Sham, N.M.; Ahmad, N.I.; Pahrol, M.A.; Leong, Y.-H. Fungus and mycotoxins studies in hospital environment: A scoping review. Build. Environ. 2021, 193, 107626. [Google Scholar] [CrossRef]
- Cheong, K.W.D.; Phua, S.Y. Development of ventilation design strategy for effective removal of pollutant in the isolation room of a hospital. Build. Environ. 2006, 41, 1161–1170. [Google Scholar] [CrossRef]
- Shi, Z.; Qian, H.; Zheng, X.; Lv, Z.; Li, Y.; Liu, L.; Nielsen, P.V. Seasonal variation of window opening behaviors in two naturally ventilated hospital wards. Build. Environ. 2018, 130, 85–93. [Google Scholar] [CrossRef]
- Hou, J.; Sun, Y.; Wang, P.; Zhang, Q.; Kong, X.; Sundell, J. Associations between ventilation and ‘children’s asthma and allergy in naturally ventilated Chinese homes. Indoor Air 2021, 31, 383–391. [Google Scholar] [CrossRef]
- Liu, H.; Wang, L.-L.; Zhao, S.-J.; Kwak-Kim, J.; Mor, G.; Liao, A.-H. Why are pregnant women susceptible to COVID-19? An immunological viewpoint. J. Reprod. Immunol. 2020, 139, 103122. [Google Scholar] [CrossRef]
- Humphreys, M.A. Classroom temperature, clothing and thermal comfort—A study of secondary school children in summertime. J. Inst. Heat. Vent. Eng. 1973, 41, 191–202. [Google Scholar]
- Dai, X.; Liu, J.; Zhang, X. A review of studies applying machine learning models to predict occupancy and window-opening behaviours in smart buildings. Energy Build. 2020, 223, 110159. [Google Scholar] [CrossRef]
- Stoltzfus, J.C. Logistic Regression: A Brief Primer. Acad. Emerg. Med. 2011, 18, 1099–1104. [Google Scholar] [CrossRef] [PubMed]
- Schweiker, M.; Haldi, F.; Shukuya, M.; Robinson, D. Verification of stochastic models of window opening behaviour for residential buildings. J. Build. Perform. Simul. 2012, 5, 55–74. [Google Scholar] [CrossRef]
- Yao, M.; Zhao, B. Factors affecting ‘occupants’ interactions with windows in residential buildings in Beijing, China. Procedia Eng. 2017, 205, 3428–3434. [Google Scholar] [CrossRef]
- Rijal, H.B.; Tuohy, P.; Nicol, F.; Humphreys, M.A.; Samuel, A.; Clarke, J. Development of an adaptive window-opening algorithm to predict the thermal comfort, energy use and overheating in buildings. J. Build. Perform. Simul. 2008, 1, 17–30. [Google Scholar] [CrossRef]
- Aqistudy. Available online: https://www.aqistudy.cn (accessed on 10 January 2023).
- Carlucci, S.; De Simone, M.; Firth, S.K.; Kjærgaard, M.B.; Markovic, R.; Rahaman, M.S.; Annaqeeb, M.K.; Biandrate, S.; Das, A.; Dziedzic, J.W.; et al. Modeling occupant behavior in buildings. Build. Environ. 2020, 174, 106768. [Google Scholar] [CrossRef]
- Stazi, F.; Naspi, F.; D’Orazio, M. Modelling window status in school classrooms. Results from a case study in Italy. Build. Environ. 2017, 111, 24–32. [Google Scholar] [CrossRef]
- Breiman, L. Random Forests. Mach. Lcarning 2001, 45, 5–32. [Google Scholar] [CrossRef]
- Li, W.; Shao, L.; Wang, W.; Li, H.; Wang, X.; Li, Y.; Li, W.; Jones, T.; Zhang, D. Air quality improvement in response to intensified control strategies in Beijing during 2013–2019. Sci. Total Environ. 2020, 744, 140776. [Google Scholar] [CrossRef]
- GB3095-2012; Ambient Air Quality Standards. Standardization Administration of China: Beijing, China, 2012. (In Chinese)
- Jin, M.; Bekiaris-Liberis, N.; Weekly, K.; Spanos, C.; Bayen, A. Sensing by proxy: Occupancy detection based on indoor CO2 concentration. UBICOMM 2015, 2015, 14. [Google Scholar]
- Brys, G.; Hubert, M.; Struyf, A. A Robust Measure of Skewness. J. Comput. Graph. Stat. 2004, 13, 996–1017. [Google Scholar] [CrossRef]
- Pisică, D.; Dammers, R.; Boersma, E.; Volovici, V. Tenets of Good Practice in Regression Analysis. A Brief Tutorial. World Neurosurg. 2022, 161, 230–239. [Google Scholar] [CrossRef] [PubMed]
- Chang, L.; Zhang, X.; Wang, S.; Gao, J. Control Room Contaminant Inleakage Produced by Door Opening and Closing: Dynamic Simulation and Experiments. Build. Environ. 2016, 98, 11–20. [Google Scholar] [CrossRef]
- Zhou, X.; Tian, S.; An, J.; Yang, J.; Zhou, Y.; Yan, D.; Wu, J.; Shi, X.; Jin, X. Comparison of different machine learning algorithms for predicting air-conditioning operating behavior in open-plan offices. Energy Build. 2021, 251, 111347. [Google Scholar] [CrossRef]
















| Environmental Parameters | Monitoring Instruments | Model | Range | Accuracy | Recording Interval |
|---|---|---|---|---|---|
| Indoor temperature | Indoor-monitoring instruments | WSZY-1 | −20–55 °C | 0.1 °C | 10 min |
| Indoor relative humidity | 0–100% | 0.1% | 10 min | ||
| Indoor CO2 concentration | CO2 self-recording instrument | WEZY-1 | 0–5000 ppm | ±75 ppm | 10 min |
| Outdoor temperature | FSR-4 portable meteorological station | —— | −50–150 °C | ±0.1 °C | 10 min |
| Outdoor relative humidity | 0–100% RH | 0.1% RH | 10 min | ||
| Wind speed | 0–60 m·s–1 | 0.1 m·s–1 | 10 min | ||
| Wind direction | 0–360° | ±3° | 10 min | ||
| Outdoor PM2.5 concentration | Meteorological station in Tongzhou New Town [46] | —— | —— | —— | 1 h |
| Window status | Magnetic field strength sensor | CKJM-1 | —— | —— | 10 min |
| Room | Index | Tin (°C) | RHin (%) | CO2in (ppm) | Tout (°C) | RHout (%) | PM2.5out (μg·m−3) | Wout (m·s−1) |
|---|---|---|---|---|---|---|---|---|
| Ward 1 | Max | 28.4 | 69.1 | 3467 | 28.3 | 96 | 168 | 15.4 |
| Min | 18.1 | 12.2 | 351 | −1.9 | 2 | 0 | 0 | |
| Mean | 24.8 | 37.6 | 1209.5 | 12.1 | 36.8 | 45.8 | 3.4 | |
| Median | 24.9 | 36.8 | 1067 | 11.8 | 31 | 36.67 | 2.8 | |
| Ward 2 | Max | 30.2 | 65.7 | 4080 | 28.3 | 96 | 168 | 15.4 |
| Min | 18 | 11.6 | 351 | −1.9 | 2 | 0 | 0 | |
| Mean | 25.1 | 37.1 | 1222.6 | 12.1 | 36.8 | 45.8 | 3.4 | |
| Median | 25 | 35.7 | 1096 | 11.8 | 31 | 36.67 | 2.8 | |
| Ward 3 | Max | 28.5 | 74.2 | 5026 | 28.3 | 96 | 168 | 15.4 |
| Min | 19.8 | 14.6 | 293 | −1.9 | 2 | 0 | 0.0 | |
| Mean | 24.7 | 43.1 | 1456 | 12.1 | 36.8 | 45.8 | 3.4 | |
| Median | 24.8 | 40.8 | 1425 | 11.8 | 31 | 36.7 | 2.8 | |
| Doctors’ office | Max | 31.9 | 68.4 | 2357 | 32 | 98 | 158 | 15.4 |
| Min | 19.3 | 11.6 | 305 | −1.9 | 1.1 | 0.0 | 0.0 | |
| Mean | 23.5 | 33.9 | 721.5 | 15.2 | 40.7 | 45.7 | 2.3 | |
| Median | 23.6 | 31.9 | 698 | 15.2 | 34.4 | 37 | 1.6 | |
| Doctors’ lounge | Max | 31.9 | 68.4 | 4977 | 28.3 | 96 | 168 | 15.4 |
| Min | 19.3 | 11.6 | 352 | −1.9 | 2 | 0 | 0.0 | |
| Mean | 23.5 | 34.1 | 733.8 | 12.1 | 36.8 | 45.8 | 3.4 | |
| Median | 23.6 | 31.8 | 655 | 11.8 | 31 | 36.67 | 2.8 |
| Time | Occurrence Time of CO2 High Concentration (h) | |||||
|---|---|---|---|---|---|---|
| 2000–2500 (ppm) | 2500–3000 (ppm) | 3000–3500 (ppm) | 3500–4000 (ppm) | 4000–4500 (ppm) | 4500–5000 (ppm) | |
| 0:00–1:00 | 66.8 | 32 | 6.8 | 1.7 | 0 | 0 |
| 1:00–2:00 | 24.7 | 12 | 2.1 | 2.1 | 0.3 | 0 |
| 2:00–3:00 | 23.7 | 13.7 | 3.8 | 1.5 | 1.5 | 0 |
| 3:00–4:00 | 24.1 | 10.8 | 9.5 | 1.1 | 0.8 | 0.7 |
| 4:00–5:00 | 17.5 | 14 | 10.8 | 1.3 | 0 | 1 |
| 5:00–6:00 | 19.5 | 17 | 4.7 | 1.3 | 0.1 | 1 |
| 6:00–7:00 | 18.7 | 12 | 2 | 1 | 0 | 0.8 |
| 7:00–8:00 | 13 | 12 | 2 | 1 | 0 | 0.8 |
| 8:00–9:00 | 6.1 | 5.1 | 1.3 | 0.7 | 0 | 1 |
| 9:00–10:00 | 3.1 | 3.1 | 0.3 | 0 | 0.7 | 0.3 |
| 10:00–11:00 | 25 | 3 | 0 | 0 | 1 | 0 |
| 11:00–12:00 | 2 | 2.1 | 0 | 0 | 1 | 0 |
| 12:00–13:00 | 6.1 | 2.7 | 0.1 | 0.3 | 0.7 | 0 |
| 13:00–14:00 | 5.8 | 0.5 | 0.1 | 0 | 0 | 0 |
| 14:00–15:00 | 6.3 | 0.1 | 0 | 0 | 0 | 0 |
| 15:00–16:00 | 5.3 | 1.3 | 0.1 | 0 | 0 | 0 |
| 16:00–17:00 | 7.1 | 1.5 | 0 | 0 | 0 | 0 |
| 17:00–18:00 | 10.5 | 1 | 0 | 0 | 0 | 0 |
| 18:00–19:00 | 8.8 | 0.8 | 0.1 | 0.3 | 0.1 | 0 |
| 19:00–20:00 | 4.5 | 0 | 0 | 0 | 0.1 | 0.8 |
| 20:00–21:00 | 10.8 | 2 | 0 | 0 | 0 | 1 |
| 21:00–22:00 | 9.1 | 3.7 | 0.3 | 0.7 | 0.3 | 0 |
| 22:00–23:00 | 8.1 | 3.5 | 2.1 | 0 | 0 | 0 |
| 23:00–24:00 | 9.8 | 3.5 | 2.1 | 0 | 0 | 0 |
| Room | F | Df1 | Df2 | Sig. |
|---|---|---|---|---|
| Doctors’ office | 2253.430 | 1 | 8039 | 0.000 |
| Doctors’ lounge | 620.967 | 1 | 7946 | 0.000 |
| Ward Ⅰ | 1451.652 | 1 | 16,278 | 0.000 |
| Ward Ⅱ | 961.546 | 1 | 7107 | 0.000 |
| Room | Outdoor Temperature | Outdoor Relative Humidity | Wind Speed | Outdoor PM2.5 Concentration | Indoor Temperature | Indoor Relative Humidity | Indoor CO2 Concentration | Wind Direction | Time |
|---|---|---|---|---|---|---|---|---|---|
| Doctors’ office | 5.547 | 7.659 | 1.589 | 1.788 | 1.712 | 7.326 | 1.521 | 1.091 | 1.665 |
| Doctors’ lounge | 4.228 | 6.084 | 1.498 | 1.755 | 1.659 | 5.926 | 1.16 | 1.08 | 1.434 |
| Ward Ⅰ | 3.801 | 4.872 | 1.518 | 1.645 | 1.373 | 3.924 | 1.767 | 1.086 | 1.464 |
| Ward Ⅱ | 2.703 | 3.764 | 1.511 | 1.689 | 1.26 | 2.535 | 1.341 | 1.072 | 1.444 |
| Room | R | R2 | Adjusted R2 | Std. Error of the Estimate |
|---|---|---|---|---|
| Doctors’ office | 0.989 | 0.979 | 0.979 | 0.27089 |
| Doctors’ lounge | 0.992 | 0.985 | 0.985 | 0.19156 |
| Ward Ⅰ | 0.984 | 0.967 | 0.967 | 0.42048 |
| Ward Ⅱ | 0.980 | 0.960 | 0.960 | 0.34384 |
| Classification | Wards | Doctors’ Office | ||
|---|---|---|---|---|
| Τ | 20:00–6:00 | Night | 00:00–6:00 | Early morning |
| τ(1) | 6:00–9:00 | Morning | 6:00–12:00 | Forenoon |
| τ(2) | 9:00–14:00 | Noon | 12:00–18:00 | Afternoon |
| τ(3) | 14:00–20:00 | Afternoon | 18:00–00:00 | Night |
| Doctors’ Office | Doctors’ Lounge | |||||
|---|---|---|---|---|---|---|
| Variable | B | Sig. P | Exp(B) | B | Sig. P | Exp(B) |
| τ | 0.000 | 0.000 | ||||
| τ(1) | 0.600 | 0.000 | 1.823 | 0.647 | 0.000 | 0.749 |
| τ(2) | 0.327 | 0.012 | 1.387 | 0.266 | 0.006 | 0.853 |
| τ(3) | −0.354 | 0.001 | 0.702 | −0.094 | 0.324 | 0.686 |
| Wind direction | 0.000 | 0.000 | 0.402 | |||
| Wind direction (1) | 0.299 | 0.051 | 1.348 | −0.290 | 0.051 | 0.446 |
| Wind direction (2) | −0.360 | 0.028 | 0.698 | −0.159 | 0.271 | 0.413 |
| Wind direction (3) | −0.391 | 0.007 | 0.676 | −0.377 | 0.004 | 0.624 |
| Wind direction (4) | −0.221 | 0.085 | 0.802 | −0.911 | 0.000 | |
| Wind direction (5) | −0.326 | 0.020 | 0.721 | −0.808 | 0.000 | 1.910 |
| Wind direction (6) | −0.543 | 0.004 | 0.581 | −0.883 | 0.000 | 1.304 |
| Wind direction (7) | −0.147 | 0.303 | 0.863 | −0.472 | 0.000 | 0.910 |
| Outdoor temperature | 2.961 | 0.000 | 19.325 | 4.729 | 0.000 | 113.193 |
| Outdoor relative humidity | 0.312 | 0.511 | 1.367 | −2.642 | 0.000 | 0.071 |
| Wind speed | −1.476 | 0.000 | 0.229 | −0.906 | 0.000 | 0.404 |
| Outdoor PM2.5 concentration | −0.487 | 0.041 | 0.615 | −1.714 | 0.000 | 0.180 |
| Indoor temperature | 7.180 | 0.000 | 1313.473 | 2.906 | 0.000 | 18.291 |
| Indoor relative humidity | 4.443 | 0.000 | 85.015 | 1.444 | 0.001 | 4.240 |
| Indoor CO2 concentration | −8.108 | 0.000 | 0.000 | −17.392 | 0.000 | 0.000 |
| Constant | −6.362 | 0.000 | 0.002 | −2.379 | 0.000 | 0.093 |
| Ward Ⅰ | Ward Ⅱ | |||||
|---|---|---|---|---|---|---|
| Variable | B | Sig. P | Exp(B) | B | Sig. P | Exp(B) |
| τ | 0.000 | 0.000 | ||||
| τ(1) | −0.026 | 0.701 | 0.974 | 0.657 | 0.000 | 1.928 |
| τ(2) | −0.320 | 0.000 | 0.726 | 0.428 | 0.000 | 1.535 |
| τ(3) | −0.396 | 0.000 | 0.673 | −0.250 | 0.022 | 0.778 |
| Wind direction | 0.000 | 0.000 | ||||
| Wind direction (1) | −0.190 | 0.042 | 0.827 | −0.278 | 0.077 | 0.757 |
| Wind direction (2) | −0.419 | 0.000 | 0.658 | −0.204 | 0.199 | 0.815 |
| Wind direction (3) | 0.052 | 0.531 | 1.053 | −0.615 | 0.000 | 0.541 |
| Wind direction (4) | −0.122 | 0.107 | 0.885 | −0.572 | 0.000 | 0.564 |
| Wind direction (5) | −0.252 | 0.002 | 0.778 | −1.005 | 0.000 | 0.366 |
| Wind direction (6) | 0.115 | 0.274 | 1.122 | −0.837 | 0.000 | 0.433 |
| Wind direction (7) | 0.313 | 0.000 | 1.368 | −0.203 | 0.155 | 0.816 |
| Outdoor temperature | 7.424 | 0.000 | 1675.606 | 12.850 | 0.000 | 380,715.060 |
| Outdoor relative humidity | 3.386 | 0.000 | 29.541 | 7.109 | 0.000 | 1223.009 |
| Wind speed | −3.585 | 0.000 | 0.028 | −0.804 | 0.015 | 0.447 |
| Outdoor PM2.5 concentration | 0.102 | 0.430 | 1.108 | −1.394 | 0.000 | 0.248 |
| Indoor temperature | 1.902 | 0.000 | 6.696 | −3.356 | 0.000 | 0.035 |
| Indoor relative humidity | −5.633 | 0.000 | 0.004 | −8.847 | 0.000 | 0.000 |
| Indoor CO2 concentration | −1.050 | 0.000 | 0.350 | −3.929 | 0.000 | 0.020 |
| Constant | −4.062 | 0.000 | 0.017 | −3.590 | 0.000 | 0.028 |
| Room | Time | Window |
|---|---|---|
| Doctors’ office | 00:00–09:00 | 0 |
| 9:00–15:00 | 1 | |
| 15:00–24:00 | 0 | |
| Doctors’ lounge | 24:00–08:00 | 0 |
| 8:00–20:00 | 1 | |
| 20:00–21:00 | 0 | |
| 21:00–24:00 | 1 | |
| Ward 1 | 00:00–07:00 | 0 |
| 7:00–16:00 | 1 | |
| 16:00–17:00 | 0 | |
| 17:00–23:00 | 1 | |
| 23:00–24:00 | 0 | |
| Ward 2 | 00:00–10:00 | 0 |
| 10:00–11:00 | 1 | |
| 11:00–13:00 | 0 | |
| 13:00–17:00 | 1 | |
| 17:00–18:00 | 0 | |
| 18:00–23:00 | 1 | |
| 23:00–24:00 | 0 | |
| Ward 3 | 00:00–11:00 | 0 |
| 11:00–19:00 | 1 | |
| 19:00–24:00 | 0 |
| Room | Logistic Regression | Fixed Schedule | ||
|---|---|---|---|---|
| Correlation | Sig. | Correlation | Sig. | |
| Doctors’ office | −0.311 | 0.000 | −0.0058 | 0.000 |
| Doctors’ lounge | −0.272 | 0.000 | −0.083 | 0.000 |
| Ward 1 | −0.318 | 0.000 | 0.249 | 0.000 |
| Ward 2 | −0.218 | 0.000 | −0.028 | 0.029 |
| Ward 3 | −0.290 | 0.000 | 0.020 | 0.121 |
| Variable | Minimum | Maximum | Average Value | |
|---|---|---|---|---|
| School office | Indoor temperature (°C) | 17.1 | 30.7 | 24.3 |
| Outdoor temperature (°C) | 8.5 | 25.39 | 17.9 | |
| Outdoor PM2.5 concentration (µg/m3) | 8.0 | 202.0 | 66.5 | |
| Outdoor relative humidity (%) | 9.9 | 95.6 | 40.6 | |
| Wind speed (m/s) | 0.0 | 4.1 | 0.91 | |
| Wind direction (°) | - | - | - | |
| Number of valid cases | 5943 | |||
| Infant’s family residence | Indoor temperature (°C) | 19 | 32.8 | 24.3 |
| Indoor relative humidity | 17 | 56 | 37.9 | |
| Indoor CO2 concentration (ppm) | 400 | 3400 | 667.0 | |
| Outdoor temperature (°C) | 0 | 35 | 17.4 | |
| Outdoor relative humidity (%) | 11 | 99 | 59.4 | |
| Outdoor PM2.5 concentration (µg/m3) | 3 | 190 | 43.9 | |
| Wind speed (m/s) | 0 | 7 | 1.5 | |
| Wind direction (°) | - | - | - | |
| Number of valid cases | 34,241 | |||
| Measured Result | |||
|---|---|---|---|
| 0 | 1 | ||
| Predicted result | 0 | True negative (TN) | False negative (FN) |
| 1 | False positive (FP) | True positive (TP) | |
| Building Type | The Binary Logistic Regression Model | |
|---|---|---|
| School office | ||
| Doctors’ office | For school office | |
| For residence | ||
| For infant’s family residence | ||
| Residence | ||
| Infant’s family residence | ||
| Measured Data | Verification Model | Window Opening Probability (%) | OR (%) | Window Opening Times | Acc (%) | Precision (%) | Recall (%) | F1-Score (%) |
|---|---|---|---|---|---|---|---|---|
| School offices | Doctors’ office | 13.64 | −67.98 | 391 | 63.1 | 71.16 | 22.77 | 34.50 |
| 38.77 | −9.00 | 611 | 68.7 | 64.62 | 58.77 | 61.56 | ||
| Error (%) | 25.13 | 58.99 | 220 | −5.6 | −6.54 | −36.00 | −27.06 | |
| Doctors’ office | School offices | 10.83 | −40.48 | 46 | 78.9 | 36.51 | 21.75 | 27.26 |
| 8.46 | −53.53 | 20 | 83.6 | 60.59 | 28.18 | 38.47 | ||
| Error (%) | 2.38 | 13.05 | 26 | −4.7 | −24.08 | −6.43 | −11.21 | |
| Doctors’ office | Residence | 43.09 | 136.74 | 117 | 64.3 | 29.64 | 70.20 | 41.68 |
| 13.39 | −26.41 | 35 | 87.9 | 72.89 | 53.69 | 61.84 | ||
| Error (%) | 29.69 | 163.15 | 82 | −23.6 | −43.25 | −16.50 | −20.16 | |
| Doctors’ office | Infant’s family residence | 43.00 | 136.29 | 584 | 66.05 | 31.67 | 74.90 | 44.51 |
| 13.67 | −24.90 | 80 | 88.1 | 72.98 | 54.86 | 62.63 | ||
| Error (%) | 29.34 | −161.19 | 504 | −22.05 | −41.31 | 20.04 | −18.12 | |
| Infant’s family residence | Doctors’ office | 47.20 | −12.75 | 162 | 68.8 | 79.51 | 59.04 | 67.77 |
| 60.60 | 12.02 | 157 | 78 | 77.64 | 84.84 | 81.08 | ||
| Error (%) | −13.40% | 24.78 | 5 | −9.2 | 1.87 | −25.80 | −13.32 | |
Disclaimer/Publisher’s Note: The statements, opinions and data contained in all publications are solely those of the individual author(s) and contributor(s) and not of MDPI and/or the editor(s). MDPI and/or the editor(s) disclaim responsibility for any injury to people or property resulting from any ideas, methods, instructions or products referred to in the content. |
© 2023 by the authors. Licensee MDPI, Basel, Switzerland. This article is an open access article distributed under the terms and conditions of the Creative Commons Attribution (CC BY) license (https://creativecommons.org/licenses/by/4.0/).
Share and Cite
Jia, Z.; Pan, S.; Yu, H.; Liu, Y.; Wei, S.; Qin, M.; Chang, L.; Cui, Y. Modeling Occupant Window Behavior in Hospitals—A Case Study in a Maternity Hospital in Beijing, China. Sustainability 2023, 15, 8606. https://doi.org/10.3390/su15118606
Jia Z, Pan S, Yu H, Liu Y, Wei S, Qin M, Chang L, Cui Y. Modeling Occupant Window Behavior in Hospitals—A Case Study in a Maternity Hospital in Beijing, China. Sustainability. 2023; 15(11):8606. https://doi.org/10.3390/su15118606
Chicago/Turabian StyleJia, Zhuo, Song Pan, Haowei Yu, Yiqiao Liu, Shen Wei, Mingyuan Qin, Li Chang, and Ying Cui. 2023. "Modeling Occupant Window Behavior in Hospitals—A Case Study in a Maternity Hospital in Beijing, China" Sustainability 15, no. 11: 8606. https://doi.org/10.3390/su15118606
APA StyleJia, Z., Pan, S., Yu, H., Liu, Y., Wei, S., Qin, M., Chang, L., & Cui, Y. (2023). Modeling Occupant Window Behavior in Hospitals—A Case Study in a Maternity Hospital in Beijing, China. Sustainability, 15(11), 8606. https://doi.org/10.3390/su15118606

