Coordinated Decision-Making in Embedded Supply Chain from a Sustainable Development Perspective
Abstract
1. Introduction
2. Literature Review
2.1. Carbon Policy
2.2. Service Supply Chains
2.3. Contract Coordination
3. Methodology
3.1. Model Description
3.2. Model Assumptions and Parameter Interpretation
3.3. Model Construction
3.3.1. Centralized Decision-Making Model (C)
3.3.2. Two-Part Contract Model (T)
3.3.3. Revenue-Sharing Contract Model (RS)
4. Results
4.1. Analysis of Model Properties
4.1.1. Impact of Emission-Reduction Cost-Misreporting Proportion on Embedded Supply Chain
4.1.2. Impact of Consumers’ Low-Price Preferences on the Embedded Supply Chain
4.2. Numerical Simulation Analysis
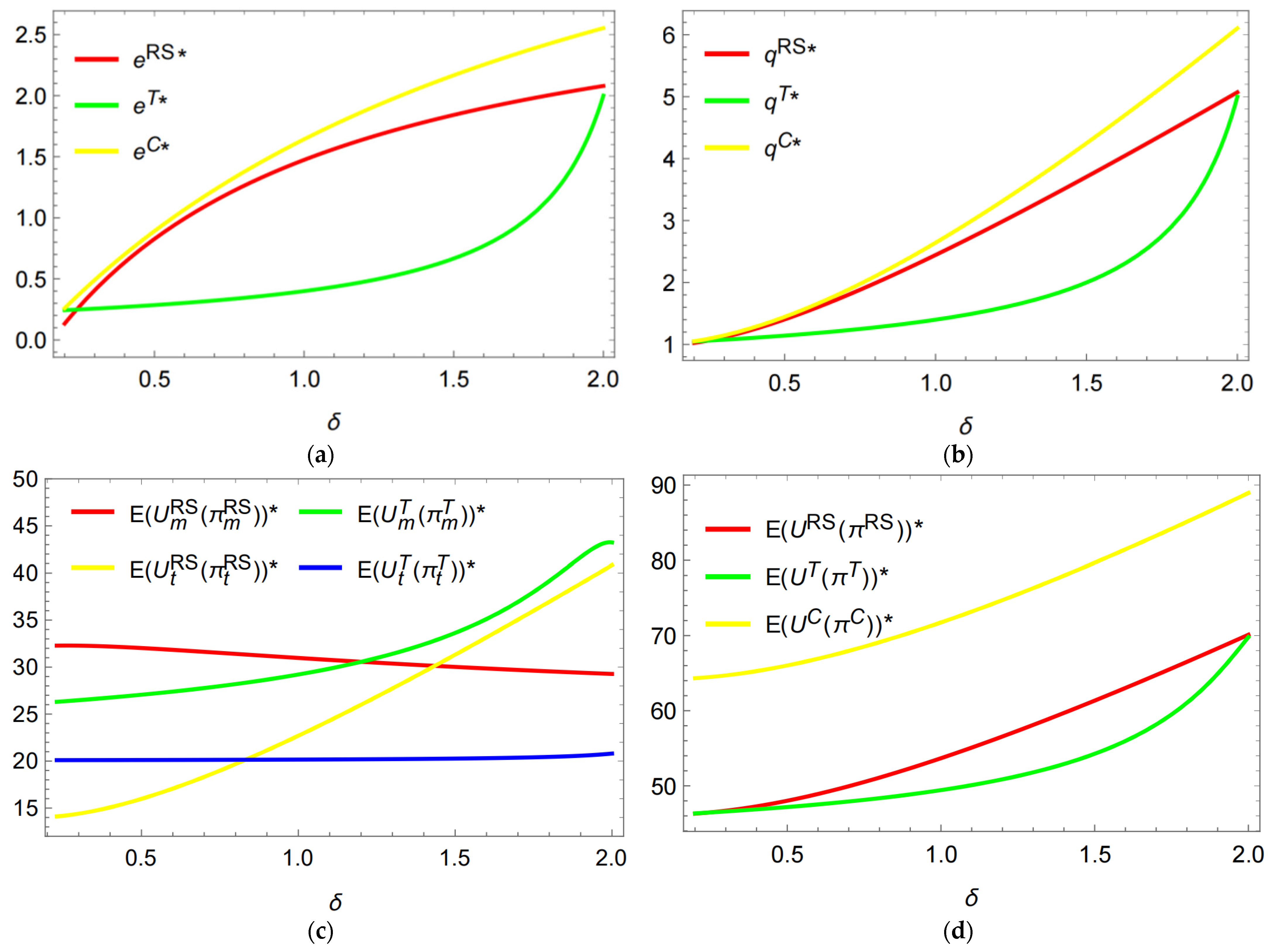
4.2.1. Sensitivity Analysis of Consumers’ Low-Carbon Preferences
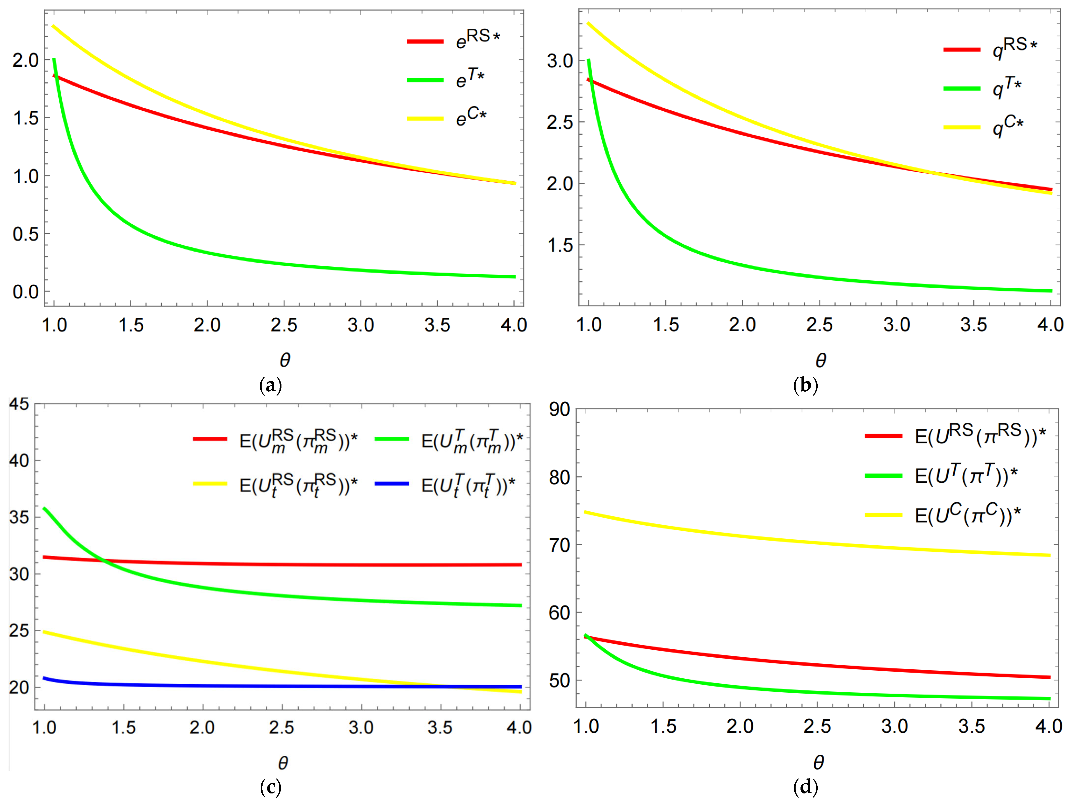
4.2.2. Sensitivity Analysis on Emission Reduction Investment Scale
5. Discussion
5.1. Main Results and Findings
- (1)
- The two-part and revenue-sharing contracts constructed in this paper enable an embedded low-carbon service supply chain to achieve Pareto optimality. This suggests that the problem of benefit distribution between manufacturers and ESCOs in embedded low-carbon service supply chains can be solved by choosing appropriate contracts, as demonstrated in the study by Liao et al. [19]. Similar to Qian and Guo [48], manufacturers can choose different contracts based on consumer preferences and the characteristics of ESCOs. In the context studied in this paper, the revenue-sharing contract has a broader scope of application;
- (2)
- The misreporting of reduction costs by ESCOs will not only make emission reduction targets unattainable but also reduce the economic benefits for the manufacturer, as also found by Yan et al. [64]. According to Zhou et al. [72], manufacturers should fully evaluate and investigate ESCOs’ emission reduction cost information to avoid misreporting as much as possible. In addition, the level of technology of ESCOs largely determines the carbon reduction for a product [73]. Manufacturers can choose the right contract according to the level of technology of ESCOs. When the ESCOs’ technology is strong, entering a two-part contract can bring more benefits to manufacturers. In the opposite situation, it is better to choose a revenue-sharing contract;
- (3)
- Most consumers tend to buy goods at good prices, and these consumer preferences are an important factor in determining the direction of business operations [74]. A lower carbon emission level for a product means that it has a higher price [75]. According to Ouyang and Fu [20], if consumers are more concerned about the price of the product, the manufacturer can sacrifice the low-carbon attributes of the product to some extent, making the product cheaper and catering to consumers’ low-price preferences. This is clearly not conducive to the development of low-carbon products. On the other hand, if consumers value the low carbon level of the product more, the manufacturer should choose a two-part contract, which will not only promote a reduction in the emission level of the product but also enable the manufacturer to gain more economic benefits.
5.2. Theoretical Contributions and Managerial Implications
6. Conclusions
Author Contributions
Funding
Institutional Review Board Statement
Informed Consent Statement
Data Availability Statement
Acknowledgments
Conflicts of Interest
Appendix A
References
- Cheng, P.; Ji, G.; Zhang, G.; Shi, Y. A Closed-Loop Supply Chain Network Considering Consumer’s Low Carbon Preference and Carbon Tax under the Cap-and-Trade Regulation. Sustain. Prod. Consum. 2022, 29, 614–635. [Google Scholar] [CrossRef]
- Yenipazarli, A. Managing New and Remanufactured Products to Mitigate Environmental Damage under Emissions Regulation. Eur. J. Oper. Res. 2016, 249, 117–130. [Google Scholar] [CrossRef]
- Zhang, J.; Zhang, Y. Carbon Tax, Tourism CO2 Emissions and Economic Welfare. Ann. Tour. Res. 2018, 69, 18–30. [Google Scholar] [CrossRef]
- Wei, Y.; Gong, P.; Zhang, J.; Wang, L. Exploring Public Opinions on Climate Change Policy in “Big Data Era”—A Case Study of the European Union Emission Trading System (EU-ETS) Based on Twitter. Energy Policy 2021, 158, 112559. [Google Scholar] [CrossRef]
- Rust, D.; Katharopoulos, I.; Vollmer, M.K.; Henne, S.; O’Doherty, S.; Say, D.; Emmenegger, L.; Zenobi, R.; Reimann, S. Swiss Halocarbon Emissions for 2019 to 2020 Assessed from Regional Atmospheric Observations. Atmos. Chem. Phys. 2022, 22, 2447–2466. [Google Scholar] [CrossRef]
- Grainger, C.; Ruangmas, T. Who Wins from Emissions Trading? Evidence from California. Environ. Resour. Econ. 2018, 71, 703–727. [Google Scholar] [CrossRef]
- Wang, Z.; Wang, C. How Carbon Offsetting Scheme Impacts the Duopoly Output in Production and Abatement: Analysis in the Context of Carbon Cap-and-Trade. J. Clean. Prod. 2015, 103, 715–723. [Google Scholar] [CrossRef]
- Esmaeili Avval, A.; Dehghanian, F.; Pirayesh, M. Auction Design for the Allocation of Carbon Emission Allowances to Supply Chains via Multi-Agent-Based Model and Q-Learning. Comput. Appl. Math. 2022, 41, 170. [Google Scholar] [CrossRef]
- Lin, B.; Xu, M. Exploring the Green Total Factor Productivity of China’s Metallurgical Industry under Carbon Tax: A Perspective on Factor Substitution. J. Clean. Prod. 2019, 233, 1322–1333. [Google Scholar] [CrossRef]
- Zou, H.; Qin, J.; Long, X. Coordination Decisions for a Low-Carbon Supply Chain Considering Risk Aversion under Carbon Quota Policy. Int. J. Environ. Res. Public. Health 2022, 19, 2656. [Google Scholar] [CrossRef]
- Daryanto, Y.; Wee, H.M.; Widyadana, G.A. Low Carbon Supply Chain Coordination for Imperfect Quality Deteriorating Items. Mathematics 2019, 7, 234. [Google Scholar] [CrossRef]
- Li, S.; Dong, C.; Yang, L.; Gao, X.; Wei, W.; Zhao, M.; Xia, W. Research on Evolutionary Game Strategy Selection and Simulation Research of Carbon Emission Reduction of Government and Enterprises under the “Dual Carbon” Goal. Sustainability 2022, 14, 12647. [Google Scholar] [CrossRef]
- Wang, J.; Ma, R.; Lu, X.; Yu, B. Emission Reduction Cooperation in a Dynamic Supply Chain with Competitive Retailers. Environ. Dev. Sustain. 2022, 24, 14261–14297. [Google Scholar] [CrossRef]
- Apple Now Globally Powered by 100 Percent Renewable Energy. Available online: https://www.apple.com/newsroom/2018/04/apple-now-globally-powered-by-100-percent-renewable-energy/ (accessed on 6 November 2022).
- Luo, R.; Chang, H.; Zhang, D. Carbon Emission Reduction and Pricing Decisions of Dual-Channel Closed-Loop Supply Chain with Fairness Concern Under Carbon Tax Policy. Int. J. Econ. Finance Manag. Sci. 2022, 10, 102. [Google Scholar] [CrossRef]
- Tang, J.; Zhong, S.; Xiang, G. Environmental Regulation, Directed Technical Change, and Economic Growth: Theoretic Model and Evidence from China. Int. Reg. Sci. Rev. 2019, 42, 519–549. [Google Scholar] [CrossRef]
- Shen, Q.; Song, X.; Mao, F.; Sun, N.; Wen, X.; Wei, W. Carbon Reduction Potential and Cost Evaluation of Different Mitigation Approaches in China’s Coal to Olefin Industry. J. Environ. Sci. 2020, 90, 352–363. [Google Scholar] [CrossRef]
- Mitsubishi to Spend $17.5 B by 2030 to Drive Decarbonization. Available online: https://www.hydrocarbonprocessing.com/news/2021/10/mitsubishi-to-spend-175-b-by-2030-to-drive-decarbonization (accessed on 8 November 2022).
- Liao, N.; Liang, P.; He, Y. Incentive Contract Design for Embedded Low-Carbon Service Supply Chain under Information Asymmetry of Carbon Abatement Efficiency. Energy Strategy Rev. 2022, 42, 100884. [Google Scholar] [CrossRef]
- Ouyang, J.; Fu, J. Optimal Strategies of Improving Energy Efficiency for an Energy-Intensive Manufacturer Considering Consumer Environmental Awareness. Int. J. Prod. Res. 2020, 58, 1017–1033. [Google Scholar] [CrossRef]
- Suhonen, N.; Okkonen, L. The Energy Services Company (ESCo) as Business Model for Heat Entrepreneurship-A Case Study of North Karelia, Finland. Energy Policy 2013, 61, 783–787. [Google Scholar] [CrossRef]
- Zheng, Y.; Zhou, W.; Chen, X.; Huang, W. The Effect of Emission Permit Allocation in an Early-Stage Cap-and-Trade for a Duopoly Market. Int. J. Prod. Res. 2021, 59, 909–925. [Google Scholar] [CrossRef]
- Xu, X.; Yu, Y.; Dou, G.; Ruan, X. The Choice of Cap-and-Trade and Carbon Tax Regulations in a Cap-Dependent Carbon Trading Price Setting. Kybernetes 2021, 51, 2554–2577. [Google Scholar] [CrossRef]
- Sun, H.; Yang, J. Optimal Decisions for Competitive Manufacturers under Carbon Tax and Cap-and-Trade Policies. Comput. Ind. Eng. 2021, 156, 107244. [Google Scholar] [CrossRef]
- Qi, Q.; Zhang, R.-Q.; Bai, Q. Joint Decisions on Emission Reduction and Order Quantity by a Risk-Averse Firm under Cap-and-Trade Regulation. Comput. Ind. Eng. 2021, 162, 107783. [Google Scholar] [CrossRef]
- Yang, M.; Zhang, T.; Zhang, Y. Optimal Pricing and Green Decisions in a Dual-Channel Supply Chain with Cap-and-Trade Regulation. Environ. Sci. Pollut. Res. 2022, 29, 28208–28225. [Google Scholar] [CrossRef] [PubMed]
- Li, Z.; Pan, Y.; Yang, W.; Ma, J.; Zhou, M. Effects of Government Subsidies on Green Technology Investment and Green Marketing Coordination of Supply Chain under the Cap-and-Trade Mechanism. Energy Econ. 2021, 101, 105426. [Google Scholar] [CrossRef]
- Chen, X.; Wang, X.; Xia, Y. Low-Carbon Technology Transfer between Rival Firms under Cap-and-Trade Policies. IISE Trans. 2022, 54, 105–121. [Google Scholar] [CrossRef]
- Toptal, A.; Özlü, H.; Konur, D. Joint Decisions on Inventory Replenishment and Emission Reduction Investment under Different Emission Regulations. Int. J. Prod. Res. 2014, 52, 243–269. [Google Scholar] [CrossRef]
- Daddi, T.; Heras-Saizarbitoria, I.; Marrucci, L.; Rizzi, F.; Testa, F. The Effects of Green Supply Chain Management Capability on the Internalisation of Environmental Management Systems and Organisation Performance. Corp. Soc. Responsib. Environ. Manag. 2021, 28, 1241–1253. [Google Scholar] [CrossRef]
- Meng, Q.; Li, M.; Liu, W.; Li, Z.; Zhang, J. Pricing Policies of Dual-Channel Green Supply Chain: Considering Government Subsidies and Consumers’ Dual Preferences. Sustain. Prod. Consum. 2021, 26, 1021–1030. [Google Scholar] [CrossRef]
- Du, S.; Ma, F.; Fu, Z.; Zhu, L.; Zhang, J. Game-Theoretic Analysis for an Emission-Dependent Supply Chain in a ‘Cap-and-Trade’ System. Ann. Oper. Res. 2015, 228, 135–149. [Google Scholar] [CrossRef]
- Qu, S.; Yang, H.; Ji, Y. Low-Carbon Supply Chain Optimization Considering Warranty Period and Carbon Emission Reduction Level under Cap-and-Trade Regulation. Environ. Dev. Sustain. 2021, 23, 18040–18067. [Google Scholar] [CrossRef]
- Cheng, F.; Yang, S.; Ma, X. Equilibrium Conditions In Service Supply Chain. Procedia Eng. 2011, 15, 5100–5104. [Google Scholar] [CrossRef][Green Version]
- Peng, L.; Tong, Z.; Li, Q. An Analysis of the Third Party Payment System Based on Service Supply Chain. In Proceedings of the 2009 IEEE International Conference on Information Reuse & Integration, Las Vegas, NV, USA, 10–12 August 2009; pp. 63–67. [Google Scholar] [CrossRef]
- Wang, Y.; Wallace, S.W.; Shen, B.; Choi, T.-M. Service Supply Chain Management: A Review of Operational Models. Eur. J. Oper. Res. 2015, 247, 685–698. [Google Scholar] [CrossRef]
- Ren, T.; Wang, D.; Zeng, N.; Yuan, K. Effects of Fairness Concerns on Price and Quality Decisions in IT Service Supply Chain. Comput. Ind. Eng. 2022, 168, 108071. [Google Scholar] [CrossRef]
- Fernando, Y.; Chidambaram, R.R.M.; Wahyuni-TD, I.S. The Impact of Big Data Analytics and Data Security Practices on Service Supply Chain Performance. Benchmarking Int. J. 2018, 25, 4009–4034. [Google Scholar] [CrossRef]
- Lillrank, P.; Groop, J.; Venesmaa, J. Processes, Episodes and Events in Health Service Supply Chains. Supply Chain Manag. Int. J. 2011, 16, 194–201. [Google Scholar] [CrossRef]
- Farsi, M.; Bailly, A.; Bodin, D.; Penella, V.; Pinault, P.-L.; Thien Nghia, E.T.; Sibson, J.; Erkoyuncu, J.A. An Optimisation Framework for Improving Supply Chain Performance: Case Study of a Bespoke Service Provider. Procedia Manuf. 2020, 49, 185–192. [Google Scholar] [CrossRef]
- Maull, R.; Smart, A.; Liang, L. A Process Model of Product Service Supply Chains. Prod. Plan. Control 2014, 25, 1091–1106. [Google Scholar] [CrossRef]
- Mustafee, N.; Taylor, S.J.E.; Katsaliaki, K.; Brailsford, S. Facilitating the Analysis of a UK National Blood Service Supply Chain Using Distributed Simulation. Simulation 2009, 85, 113–128. [Google Scholar] [CrossRef]
- Jia, J.; Chen, S.; Li, Z. Dynamic Pricing and Time-to-Market Strategy in a Service Supply Chain with Online Direct Channels. Comput. Ind. Eng. 2019, 127, 901–913. [Google Scholar] [CrossRef]
- Choi, T.-M. Facing Market Disruptions: Values of Elastic Logistics in Service Supply Chains. Int. J. Prod. Res. 2021, 59, 286–300. [Google Scholar] [CrossRef]
- Theißen, S.; Spinler, S. Strategic Analysis of Manufacturer-Supplier Partnerships: An ANP Model for Collaborative CO2 Reduction Management. Eur. J. Oper. Res. 2014, 233, 383–397. [Google Scholar] [CrossRef]
- Shang, T.; Zhang, K.; Liu, P.; Chen, Z.; Li, X.; Wu, X. What to Allocate and How to Allocate?—Benefit Allocation in Shared Savings Energy Performance Contracting Projects. Energy 2015, 91, 60–71. [Google Scholar] [CrossRef]
- Li, Q.; Xiao, Y.; Qiu, Y.; Xu, X.; Chai, C. Impact of Carbon Permit Allocation Rules on Incentive Contracts for Carbon Emission Reduction. Kybernetes 2019, 49, 1143–1167. [Google Scholar] [CrossRef]
- Qian, D.; Guo, J. Research on the Energy-Saving and Revenue Sharing Strategy of ESCOs under the Uncertainty of the Value of Energy Performance Contracting Projects. Energy Policy 2014, 73, 710–721. [Google Scholar] [CrossRef]
- Wang, Q.; He, L. Managing Risk Aversion for Low-Carbon Supply Chains with Emission Abatement Outsourcing. Int. J. Environ. Res. Public. Health 2018, 15, 367. [Google Scholar] [CrossRef]
- Yu, J.; Zhao, J.; Zhou, C.; Ren, Y. Strategic Business Mode Choices for E-Commerce Platforms under Brand Competition. J. Theor. Appl. Electron. Commer. Res. 2022, 17, 1769–1790. [Google Scholar] [CrossRef]
- Chen, L.; Nan, G.; Liu, Q.; Peng, J.; Ming, J. How Do Consumer Fairness Concerns Affect an E-Commerce Platform’s Choice of Selling Scheme? J. Theor. Appl. Electron. Commer. Res. 2022, 17, 1075–1106. [Google Scholar] [CrossRef]
- Hou, Q.; Guan, Y.; Yu, S. Stochastic Differential Game Model Analysis of Emission-Reduction Technology Under Cost-Sharing Contracts in the Carbon Trading Market. IEEE Access 2020, 8, 167328–167340. [Google Scholar] [CrossRef]
- Yi, Y.; Li, J. Cost-Sharing Contracts for Energy Saving and Emissions Reduction of a Supply Chain under the Conditions of Government Subsidies and a Carbon Tax. Sustainability 2018, 10, 895. [Google Scholar] [CrossRef]
- Zhang, W.; Xiao, J.; Cai, L. Joint Emission Reduction Strategy in Green Supply Chain under Environmental Regulation. Sustainability 2020, 12, 3440. [Google Scholar] [CrossRef]
- Carvallo, J.P.; Murphy, S.P.; Stuart, E.; Larsen, P.H.; Goldman, C. Evaluating Project Level Investment Trends for the U.S. ESCO Industry: 1990–2017. Energy Policy 2019, 130, 139–161. [Google Scholar] [CrossRef]
- Yang, Y.; Goodarzi, S.; Bozorgi, A.; Fahimnia, B. Carbon Cap-and-Trade Schemes in Closed-Loop Supply Chains: Why Firms Do Not Comply? Transp. Res. Part E Logist. Transp. Rev. 2021, 156, 102486. [Google Scholar] [CrossRef]
- Fiez, T.; Chasnov, B.; Ratliff, L.J. Convergence of Learning Dynamics in Stackelberg Games. arXiv 2019, arXiv:1906.01217. [Google Scholar] [CrossRef]
- Wei, Y.; Choi, T.-M. Mean–Variance Analysis of Supply Chains under Wholesale Pricing and Profit Sharing Schemes. Eur. J. Oper. Res. 2010, 204, 255–262. [Google Scholar] [CrossRef]
- Kalakbandi, V.K. Managing the Misbehaving Retailer under Demand Uncertainty and Imperfect Information. Eur. J. Oper. Res. 2018, 269, 939–954. [Google Scholar] [CrossRef]
- Che, C.; Zhang, Z.; Zhang, X.; Chen, Y. Two-Stage Pricing Decision for Low-Carbon Products Based on Consumer Strategic Behaviour. Complexity 2021, 2021, e6633893. [Google Scholar] [CrossRef]
- Ouyang, J.; Shen, H. The Choice of Energy Saving Modes for an Energy-Intensive Manufacturer Considering Non-Energy Benefits. J. Clean. Prod. 2017, 141, 83–98. [Google Scholar] [CrossRef]
- Entezaminia, A.; Gharbi, A.; Ouhimmou, M. A Joint Production and Carbon Trading Policy for Unreliable Manufacturing Systems under Cap-and-Trade Regulation. J. Clean. Prod. 2021, 293, 125973. [Google Scholar] [CrossRef]
- Bai, Q.; Xu, J.; Chauhan, S.S. Effects of Sustainability Investment and Risk Aversion on a Two-Stage Supply Chain Coordination under a Carbon Tax Policy. Comput. Ind. Eng. 2020, 142, 106324. [Google Scholar] [CrossRef]
- Yan, B.; Wang, T.; Liu, Y.; Liu, Y. Decision Analysis of Retailer-Dominated Dual-Channel Supply Chain Considering Cost Misreporting. Int. J. Prod. Econ. 2016, 178, 34–41. [Google Scholar] [CrossRef]
- Chen, Y.; Liu, X.; Huang, K.; Tang, H. Pricing and Service Effort Decisions of Book Dual-Channel Supply Chains with Showrooming Effect Based on Cost-Sharing Contracts. Sustainability 2022, 14, 11278. [Google Scholar] [CrossRef]
- Xiao, H.; Xu, Y.; Li, S. A Building-Material Supply Chain Sustainable Operations under Fairness Concerns and Reference Price Benefits. Complexity 2021, 2021, e5555307. [Google Scholar] [CrossRef]
- Wu, P.; Yin, Y.; Li, S.; Huang, Y. Low-Carbon Supply Chain Management Considering Free Emission Allowance and Abatement Cost Sharing. Sustainability 2018, 10, 2110. [Google Scholar] [CrossRef]
- Li, J.; Wang, Z.; Jiang, B.; Kim, T. Coordination Strategies in a Three-Echelon Reverse Supply Chain for Economic and Social Benefit. Appl. Math. Model. 2017, 49, 599–611. [Google Scholar] [CrossRef]
- Zhu, J.; Gao, Y.; Shi, Y.; Paul, S.K. Green Investment Mechanism Considering Supply Chain Risk Aversion and Negotiating Power. Comput. Ind. Eng. 2022, 171, 108484. [Google Scholar] [CrossRef]
- Xu, X.; Xu, X.; He, P. Joint Production and Pricing Decisions for Multiple Products with Cap-and-Trade and Carbon Tax Regulations. J. Clean. Prod. 2016, 112, 4093–4106. [Google Scholar] [CrossRef]
- Li, Q.; Long, R.; Chen, H. Empirical Study of the Willingness of Consumers to Purchase Low-Carbon Products by Considering Carbon Labels: A Case Study. J. Clean. Prod. 2017, 161, 1237–1250. [Google Scholar] [CrossRef]
- Zhou, R.; Liao, Y.; Shen, W.; Yang, S. Channel Selection and Fulfillment Service Contracts in the Presence of Asymmetric Service Information. Int. J. Prod. Econ. 2020, 222, 107504. [Google Scholar] [CrossRef]
- Zheng, S.; Lam, C.-M.; Hsu, S.-C.; Ren, J. Evaluating Efficiency of Energy Conservation Measures in Energy Service Companies in China. Energy Policy 2018, 122, 580–591. [Google Scholar] [CrossRef]
- Bogers, M.; Hadar, R.; Bilberg, A. Additive Manufacturing for Consumer-Centric Business Models: Implications for Supply Chains in Consumer Goods Manufacturing. Technol. Forecast. Soc. Chang. 2016, 102, 225–239. [Google Scholar] [CrossRef]
- Peng, W.; Xin, B.; Xie, L. Optimal Strategies for Product Price, Customer Environmental Volunteering, and Corporate Environmental Responsibility. J. Clean. Prod. 2022, 364, 132635. [Google Scholar] [CrossRef]
- Ikram, M.; Zhou, P.; Shah, S.A.A.; Liu, G.Q. Do Environmental Management Systems Help Improve Corporate Sustainable Development? Evidence from Manufacturing Companies in Pakistan. J. Clean. Prod. 2019, 226, 628–641. [Google Scholar] [CrossRef]
- Pattara, C.; Raggi, A.; Cichelli, A. Life Cycle Assessment and Carbon Footprint in the Wine Supply-Chain. Environ. Manag. 2012, 49, 1247–1258. [Google Scholar] [CrossRef]
- Savita, K.S.; Dominic, P.D.D.; Ramayah, T. The Drivers, Practices and Outcomes of Green Supply Chain Management: Insights from ISO14001 Manufacturing Firms in Malaysia. Int. J. Inf. Syst. Supply Chain Manag. 2016, 9, 35–60. [Google Scholar] [CrossRef][Green Version]



| Related Studies | Market Demand | Coordinated Contract | Carbon Policy | Consumers’ Preferences | Low-Carbon Services | ||||
|---|---|---|---|---|---|---|---|---|---|
| Certain | Uncertain | Revenue Sharing | Two-Part | Cap-and-Trade | Carbon Taxes | Low-Carbon Preferences | Low-Price Preferences | ||
| Qu et al. [33] | √ | √ | √ | √ | |||||
| Liao et al. [19] | √ | √ | √ | √ | |||||
| Qian and Guo [48] | √ | √ | √ | √ | |||||
| Sun and Yang [24] | √ | √ | √ | √ | |||||
| Shang et al. [46] | √ | √ | √ | ||||||
| Wang and He [49] | √ | √ | √ | ||||||
| Zhang et al. [54] | √ | √ | √ | ||||||
| Ouyang and Fu [20] | √ | √ | √ | √ | |||||
| This study | √ | √ | √ | √ | √ | √ | √ | √ | |
| Parameters | Definition |
|---|---|
| Basic market size | |
| Output of low-carbon products | |
| Unit price of low-carbon products | |
| Carbon emissions per unit of product before reduction | |
| Production cost per unit of low-carbon product | |
| Carbon emission reduction per unit of product | |
| Manufacturer’s carbon allowance | |
| Consumers’ low-carbon preferences | |
| Consumers’ low-price preferences | |
| Reference price of low-carbon products | |
| Revenue-sharing rate for the manufacturer and ESCO, | |
| Service fee per unit of carbon emission reduction | |
| Fixed service fee |
Disclaimer/Publisher’s Note: The statements, opinions and data contained in all publications are solely those of the individual author(s) and contributor(s) and not of MDPI and/or the editor(s). MDPI and/or the editor(s) disclaim responsibility for any injury to people or property resulting from any ideas, methods, instructions or products referred to in the content. |
© 2022 by the authors. Licensee MDPI, Basel, Switzerland. This article is an open access article distributed under the terms and conditions of the Creative Commons Attribution (CC BY) license (https://creativecommons.org/licenses/by/4.0/).
Share and Cite
Dong, F.; Shi, C.; Yu, W. Coordinated Decision-Making in Embedded Supply Chain from a Sustainable Development Perspective. Sustainability 2023, 15, 443. https://doi.org/10.3390/su15010443
Dong F, Shi C, Yu W. Coordinated Decision-Making in Embedded Supply Chain from a Sustainable Development Perspective. Sustainability. 2023; 15(1):443. https://doi.org/10.3390/su15010443
Chicago/Turabian StyleDong, Fang, Chengdong Shi, and Weitong Yu. 2023. "Coordinated Decision-Making in Embedded Supply Chain from a Sustainable Development Perspective" Sustainability 15, no. 1: 443. https://doi.org/10.3390/su15010443
APA StyleDong, F., Shi, C., & Yu, W. (2023). Coordinated Decision-Making in Embedded Supply Chain from a Sustainable Development Perspective. Sustainability, 15(1), 443. https://doi.org/10.3390/su15010443
