Next Article in Journal
Influence of Risky Driving Behavior and Road Section Type on Urban Expressway Driving Safety
Next Article in Special Issue
Influence of Passenger Capacity on Fatigue Life of Gearbox Suspender of the Traction Transmission System in Urban Railway Vehicles
Previous Article in Journal
Influence of Technical Parameters of the Pyrolysis Process on the Surface Area, Porosity, and Hydrophobicity of Biochar from Sunflower Husk Pellet
Previous Article in Special Issue
Patent Data Analytics for Technology Forecasting of the Railway Main Transformer
 
 
Font Type:
Arial Georgia Verdana
Font Size:
Aa Aa Aa
Line Spacing:
Column Width:
Background:
Article

A Hybrid Algorithm for Parameter Identification of Synchronous Reluctance Machines

1
The Key Laboratory of Road and Traffic Engineering, Ministry of Education, Shanghai 201804, China
2
College of Transportation Engineering, Tongji University, Shanghai 201804, China
3
Institute of Rail Transit, Tongji University, Shanghai 201804, China
4
National Maglev Transportation Engineering R&D Center, Tongji University, Shanghai 201804, China
*
Authors to whom correspondence should be addressed.
Sustainability 2023, 15(1), 397; https://doi.org/10.3390/su15010397
Submission received: 27 October 2022 / Revised: 27 November 2022 / Accepted: 22 December 2022 / Published: 26 December 2022
(This article belongs to the Special Issue Sustainability Optimisation of Electrified Railways)

Abstract

In rail transit traction, synchronous reluctance machines (SynRMs) are potential alternatives to traditional AC motors due to their energy-saving and low-cost characteristics. However, the nonlinearities of SynRMs are more severe than permanent magnet synchronous motors (PMSM) and induction motors (IM), which means the characteristics of SynRMs are challenging to model accurately. The parameter identification directly influences the modeling of nonlinearity, while the existing algorithms tend to converge prematurely. To overcome this problem, in this paper, a hybrid optimizer combining the SCA with the SSO algorithm is proposed to obtain the parameters of SynRMs, and the proposed Sine-Cosine self-adaptive synergistic optimization (SCSSO) algorithm preserves the self-adaptive characteristic of SSO and the exploration ability of SCA. Comprehensive numerical simulation and experimental tests have fully demonstrated that the proposed method has obviously improved parameter identification accuracy and robustness. In the dq-axis flux linkage, the mismatch between reference and estimated data of proposed algorithm is below 1% and 6%, respectively. Moreover, the best d-axis RMSE of SCSSO is 50% of the well-known algorithm CLPSO and 25% of BLPSO and its performance has improved by two orders of magnitude compared to traditional simple algorithms. In the q-axis, the best RMSE is 10% of CLPSO and 50% of Rao-3 and Jaya. Moreover, the performance of the proposed algorithm has improved nearly 90 times compared to traditional simple algorithms.

1. Introduction

Due to their high efficiency, simple structure, low cost, wide speed range, and high environmental adaptability, Synchronous Reluctance Machines (SynRMs) are good alternatives to induction motors (IM) in fans, pumps, and compressors [1] and powerful competitors of permanent magnet synchronous machines (PMSM) in traction applications [2]. SynRMs are a highly nonlinear and strongly coupled system due to their self- and cross-saturation effects, which directly affect the torque output, power factor, excitation level, and stable operation area. To control SynRMs effectively, it is critical to evaluate the actual nonlinear behaviors of magnetic circuits based on accurate models [3,4,5]. Therefore, a nonlinear magnetic model [6] that satisfies the reciprocity conditions and inherent properties is introduced. However, the accuracy of the model is still limited by the rationality of the parameter identification algorithm because of the multimodal problems.
Many researchers have contributed to the parameter identification algorithms to obtain optimal solutions in recent decades [7], such as genetic algorithm (GA) [8], ant colony optimizer (ACO) [9], particle swarm optimization (PSO) [10], monarch butterfly optimization (MBO) [11], and grey wolf optimization (GWO) [12]. These metaheuristic algorithms have achieved satisfactory results in single objective optimization. However, the multimodality of parameter identification places more stringent requirements on traditional metaheuristic algorithms. To cope with the problems mentioned above of traditional metaheuristic algorithms in multimodality, various algorithms have been developed. In [13], multistage ant colony optimization (MSACO) was raised for direct instantaneous torque control of switched reluctance motor drives. This algorithm considered the multi-dimension condition. However, it overemphasized the exploitation ability, similar to the original ant colony optimization, which induced the solution trapped into pause best solution. Paper [14] combined Harris Hawks optimization with a Sine-Cosine algorithm and applied it to a hybrid renewable energy system. Paper [15] mixed biogeography-based optimization with a Sine-Cosine algorithm to satisfy high-dimensional global optimization problems [16]. Mohamed I. Abdelwanis mixed Particle Swarm Optimization (PSO) with Jaya optimization to fit the rapid response demand of induction motors [17]. Rahimi, A. promoted a Bat-inspired algorithms by considering chaotic behavior of PMSM [18]. Dalia Yousri promoted Grey Wolf Optimization (GWO) by introducing a chao map for applications to PMSM [19].Moreover, researchers made many efforts to promote the stochastic optimization algorithms applied in the parameter identification for induction motors [20,21]. However, their mutation directions are uncertain, and their mutation strategies are based on gradient. Thus, their calculation speed is relatively slow, and they tend to converge prematurely when dealing with multimodal problems. Additionally, an uncomplicated but valid algorithm named the Rao algorithm is proposed [22]. The distinguishing feature of Rao algorithms from other metaheuristic algorithms is the novel update mechanism of the optimal solution search path. The interaction of the algorithm among individuals was guided by fitness evaluation, which enhanced the exploitability. However, the interaction process ignored diversity’s value, which also induced premature convergence.
To solve the problem of early convergence, a self-adaptive synergistic optimization (SSO) was proposed to identify the parameters of the SynRM magnetic model [23]. The mutation strategy of the algorithm is guided by introduced parameters based on probability, which could offer updated directions in the global scope and avoid falling into local optimums. However, when the current solutions are certainly not at the global optimum, the searchability is provided by algorithm Rao-3 [24]. The searchability of Rao-3 is relatively weak, so it is hard to get rid of the current worst solutions. Recently, a simple yet effective metaheuristics method named the Sine-Cosine algorithm (SCA) has attracted much attention [14] due to its strong exploration ability, simple structure and self-adaptive balance capability.
However, SCA tends to get stuck in adjacent optima and uneven exploitation [25], resulting from its weak exploitability. In [26], SCA was used in urban traffic light scheduling. In [27], SCA was applied to constrained engineering optimization problems. However, when the complexity of the problem increased, SCA will over-consume calculation resources in exploration, also inducing premature convergence.
Based on the above factors, a hybrid optimizer for the parameter identification of SynRM is proposed in this paper, with superior exploration and exploitation. The main contributions of this paper can be summarized as follows:
1)
An improved position updating mechanism with hybridized SCA, weighted fitness values, and personal historical best is designed in SSO search;
2)
A collaboration-based hybrid SSO-SCA optimizer (SCSSO) is developed.
The rest of the paper is organized as follows. Section 2 presents the magnetic model of SynRMs. Section 3 and Section 4 briefly introduced the SSO algorithm and SCA, respectively. The working principle of the proposed SCSSO algorithm has been illustrated in Section 5. Section 6 revealed the statistical results of SCSSO and other compared algorithms. Finally, the conclusions are drawn in Section 7.

2. Problem Formulation

This section introduces a magnetic model of SynRMs expressed only by currents to simplify the equation. Objective functions considering self-saturation and cross-saturation are introduced. We focus on the model in the d-q reference frame (the d-axis aligns to the direction of maximum permeance) synchronous to the rotor. Additionally, the magnetic energy change caused by the iron loss change is minimal compared to that caused by the current change. Thus, the magnetic model is established under three hypotheses: (1) The iron loss has been omitted. (2) The stator flux linkages only relate to the stator current. (3) The effect of temperature on stator resistance is neglected.

2.1. Nonlinear Model of SynRMs Magnetic Behaviors

The electromagnetic torque of SynRMs is generated by an anisotropic rotor with a magnetic barrier in the coupled magnetic field [28]. The main rotor topologies are axial lamination (ALA) and transverse lamination (TLA). In general, the two rotor structures’ internal mechanism of the torque generated is the same. As shown in Figure 1, due to the material properties of the rotor, there is inevitably a self-saturation effect in the d-axis and q-axis magnetic circuits. In addition, due to the sharing of magnetic circuits, there is a cross-coupling effect between the d- and q-axis magnetic linkages. The nonlinear behavior mechanism of the two rotors is the same, and the following general modeling method can be used.
As Hypothesis (2), the stator flux linkages can be expressed by stator currents, which means the mapping can characterize magnetic circuit nonlinearity among magnetic linkages ( ψ s ) and stator currents ( i s ) as follows [29]:
{ ψ d = ψ d ( i d , i q ) ψ q = ψ q ( i d , i q )
where i s = ( i d , i q ) T , ψ s = ( ψ d , ψ q ) T are stator currents and flux linkages, respectively. The subscripts d and q represent the d- and q-axis.
The energy conversion mechanism determines the nonlinearity for modeling the magnetic model. As illustrated in Figure 2, SynRMs is a typical singly excited electromechanical energy conversion device. It can be observed that the electrical and mechanical systems are coupled by the magnetic energy (Wm) transformation.
The mechanical work of SynRMs merely originates from electric energy, while electric energy transfers to three main parts: stator resistance loss, electronic-magnetic resistance, and mechanical. Thus, energy conserved in SynRMs can be expressed as follows:
i s T u s = R s i s 2 + d W m d t + T e ( i s ) ω m
where u s = ( u d , u q ) T , R s , T e ( i s ) , W m , ω m are stator voltage, stator winding resistance, electromagnetic torque, magnetic energy and mechanical velocity of the motor, respectively.
In the coupling field, the change of magnetic energy mediates energy conversion. For simplifying the calculation, the variation of magnetic energy can be expressed equivalently by the co-magnetic energy (Wc) [30].
d W c d t = ψ d ( i d , i q ) d i q d t + ψ q ( i d , i q ) d i d d t
Resulting from a shared magnetic circuit, the flux linkage on the d- and q-axis has a redistribution in the working process, which is the main reason for self-saturation and cross-saturation [23]. In other words, the saturation phenomenon is from the magnetic field, a typical conservative field. Under the concept of the traditional field, the relationship between ψ s and i s can be formulated as
ψ d ( i d , i q ) i q = ψ q ( i d , i q ) i d
Combining (2) and (3), the cross saturation-flux linkage is as follows:
{ ψ d ( i d , i q ) = ψ d ( i d ) Δ W c i d ψ q ( i d , i q ) = ψ q ( i q ) Δ W c i q
where ψ d ( i d ) , ψ q ( i q ) are merely the flux linkage under self-saturation, and Δ W represents co-magnetic energy converted between the d- and q-axis [31]. Under restrictions (4) and (3), the flux linkage model based on the Gaussian’s function is established as
{ ψ d ( i d , i q ) = α d ( 2 e γ d i d e γ d 1 i d 2 ) + β d i d k ( 2 W i d e W i d 2 ) ( V 1 i q 2 i q e V i q + κ q i q e V i q ) ψ q ( i d , i q ) = α q ( 2 e γ q i q e γ q 1 i q 2 ) + β q i q k ( 1 e W i d 2 ) ( 2 V 1 i q + V i q e V i q + κ q )
where {α, γ, β} are non-negative self-saturation coefficients for the d-, and q-axis, and {k, W, V, V1, κq} are cross-saturation coefficients. The subscripts d and q represent the d-axis and the q-axis. Based on (3), (4), and (5), the reciprocity condition and ΔWc are expressed as
ψ d ( i d , i q ) i q = ψ q ( i d , i q ) i d = k ( 2 W i d e W i d 2 ) ( 2 V 1 i q + V i q e V i q + κ q )
Δ W c = k ( e W i d 2 1 ) ( V 1 i q 2 i q e V i q + κ q i q e V i q )
Therefore, the analytical expressions of apparent inductances and incremental inductances can be obtained as
{ L d a i ( i d , i q ) = α d ( 2 e γ d i d e γ d 1 i d 2 ) i d + β d k ( 2 W e W i d 2 ) ( V 1 i q 2 i q e V i q + κ q i q e V i q ) L q a i ( i d , i q ) = α q ( 2 e γ q i q e γ q 1 i q 2 ) i q + β q k ( 1 e W i d 2 ) ( 2 V 1 + V e V i q + κ q i q )
{ L d i i ( i d , i q ) = α d ( γ d e γ d i d + 2 γ d 1 i d e γ d 1 i d 2 ) + β d 2 k W ( e W i d 2 2 W i d 2 e W i d 2 ) ( V 1 i q 2 i q e V i q + κ q i q e V i q ) L q i i ( i d , i q ) = α q ( γ q e γ q i q + 2 γ q 1 i q e γ q 1 i q 2 ) + β q k ( 1 e W i d 2 ) ( 2 V 1 + V e V i q V 2 i q e V i q ) L d q i i ( i d , i q ) = L q d i i ( i d , i q ) = k ( 2 W i d e W i d 2 ) ( 2 V 1 i q + V i q e V i q + κ q )
where L a i and L i i are apparent inductance and incremental inductances, respectively.

2.2. Objective Function

To extract model parameters effectively, parameter extraction needs to be transformed into an optimization problem by solving the objective function between the proposed model and the flux linkage-current dataset. The cross-saturation parameters shared by the d- and the q-axis model are the premise of the optimization problem. The algorithm should be able to identify the no-load characteristics, self-saturation and cross-saturation characteristics cooperatively. Some researchers applied the least square (LS) method in the extraction of magnetic model parameters [29], but it is sensitive to initial solution and dataset noise. Alternatively, Root Mean Square Error (RMSE) is introduced for this objective function.
In this paper, the reference dataset was d- and q-axis flux linkage. As deduced above, ψ d ( i d ) , ψ q ( i q ) are set as an intermediate function, as in following:
{ f k d ( ψ F E d , i F E d , i F E q , x d ) = α d ( 2 e γ d i F E d e γ d 1 ( i F E d ) 2 ) + β d i F E d k ( 2 W i F E d e W ( i F E d ) 2 ) ( V 1 ( i F E q ) 2 i F E q e V ( i F E q ) 2 + κ q i F E q e V i F E q ) ψ F E d x d = { α d , γ d , β d , k , W , V , V 1 , κ d }
{ f k q ( ψ F E q , i F E d , i F E q , x q ) = α q ( 2 e γ q i F E q e γ q 1 ( i F E q ) 2 ) + β q i F E q k ( 1 e W ( i F E d ) 2 ) ( 2 V i F E q + V i F E q e V i F E q + κ q ) ψ F E q x q = { α q , γ q , β q , k , W , V , V 1 , κ q }
The objective function was transferred to RMSE
RMSE d ( x d ) = 1 N k = 1 N f d k ( ψ d F E , i d F E , i d F E , x d ) 2
RMSE q ( x q ) = 1 N k = 1 N f q k ( ψ q F E , i q F E , i q F E , x q ) 2
where x is the decision variable, N is the sample number, ψFE, iFE are stator flux linkages and currents in the collected FEA dataset. xd, xq are the obtained parameter vectors, where xd = [xd1, xc], and xq = [xq1, xc]. xd1 and xq1 are the unique parameters involved in xd and xq, respectively, and xc = [k, W, V, κd, κq] is the common parameter sub-vector. Here, the subscripts “d” and “q” represent d- and q-axis respectively. N is the number of FEA data.

3. SSO Algorithm

Yuanzhe Zhao and Linjie Ren proposed SSO in 2021.The basic idea is to introduce a self-adaptive mechanism to balance the exploration and exploitation [23]. In this section, the framework of SSO algorithm is briefly provided. P. Guglielmi concludes that in the evolution of a population, exploitation and exploration are often in a trade-off relationship [32]. For evaluating the probability of exploration and exploitation, a probability-based synergistic performance (SP) for the kth candidate solution xk is defined as
P s ( x k , N P ) = P d ( x k , N P ) c k , s + P f ( x k , N P ) ( 1 c k , s )
where, P s ( x k , N P ) , P f ( x k , N P ) , P d ( x k , N P ) , represent the SP, fitness performance (FP) and diversity performance (DP) for the candidate, respectively. ck,s is a random number in the range [0, 1].

3.1. Core Parameters Calculation

The objective function ( f ( x k ) ) is selected as the fitness function ( f f i t n e s s ( x k ) ) for each candidate solution.
f fitness ( x k ) = f ( x k )
Then the candidates are sorted in ascending order according to the value of f fitness ( x k ) , and finally we calculate probability by the sorting results.
R fitness   ( x k , N ) = N P + 1 i k , i k = 1 , 2 , , N P
P k , f   ( x k , N P ) = ( R fitness   ( x k , N P ) N P ) 2
where ik represents the fitness ranking of xk in the population.
On the other hand, owing to avoiding local optima, diversity should guarantee the ability to search a wider range. Therefore, the diversity function based on Euclidean distance between candidates [27] is defined as
f diversity ( x k ) = w = 1 N P x k x w , w = 1 , 2 , , N P
where x k x w represents the Euclidean distance between xk and xw. The diversity ranking and DP are presented as follows.
R diversity   ( x k , N P ) = N P + 1 j k , j k = 1 , 2 , , N P
P k , d   ( x k , N P ) = ( R diversity   ( x k , N P ) N P ) 2
where jk represents the fitness ranking of xk in the population.
The way to select best candidate needs to be redesigned, as Algorithm 1 shows.
Algorithm 1 The Synergistic performance comparison method
1: if  P s ( x k , N P ) P s ( x l , N P ) then
2:    if  P s ( x k , N P ) > P s ( x l , N P ) then
3:     return xk
4:   else
5:     return xl
6:   end if
7: else
8:    if  P d ( x k , N P ) P d ( x l , N P ) then
9:     if  P d ( x k , N P ) > P d ( x l , N P ) then
10:      return xk
11:     else
12:      return xl
13:    end if
14:   else
15:     if  P f ( x k , N P ) P f ( x l , N P ) then
16:      if  P f ( x k , N P ) > P f ( x l , N P ) then
17:       return xk
18:     else
19:       return xl
20:     end if
21:    else
22:      return xk
23:     end if
24:   end if
25: end if

3.2. Framework of SSO

SSO’s evolutionary strategy comes from three Rao Algorithms [22]. The mutation processes are
x f b e s t , v = x f b e s t , v + r 1 , f b e s t , v ( x f b , v R x f w , v R )
where the superscript “R” represents the randomly selected candidate. xfb,v, xfw,v represent the vth variable for the better and worse candidate, respectively. xfbest,v is the updated value of xk,v. r1,fbest,v is random numbers for the vth variable in the range [0, 1].
x k , v = x k , v + r 1 , k , v ( x b e s t , v s x w o r s t , v s )
x k , v = x k , v + r 1 , k , v ( | x b e s t , v | | x w o r s t , v | ) + r 2 , k , v ( | x k , v or   x l , v | | x l , v or   x k , v | )
where the superscript “s” represents the candidate for quantitative selection based on SP. xbest,v, xworst,v represent the vth variable for the best and worst candidate, respectively. xk,v is the updated value of xk,v. r1,k,v and r2,k,v are the two random numbers for the vth variable in the range [0, 1].
The pseudo code of SSO algorithm is shown in Algorithm 2.
The SSO algorithm has a simple structure and removes algorithm-specific parameters. In the searching process, exploration and exploitation are dynamically balanced.
Algorithm 2 Pseudo code of SSO algorithm
1: Initialize population size (NP) and maximum number of
  function evaluations (Max_FES);
2: Generate the initial population randomly,
  evaluate the objective function value of each individual;
3: FES = NP;
4: While FES < Max_FES do
5:  Compute fitness performance Pf of each individual xk;
6:  Compute diversity performance Pd of each individual xk;
7:  Get fitness best individual xfbestand fitness worst individual xfworst;
8:  For k = 1 to NP do
9:    if k = fbest  then
10:      Modify the best solution by using (21);
11:   else
12:     Randomly select ck,s∈{0, 1};
13:     Compute Ps each individual according to (14);
14:     Get Ps bestindividual x b e s t s and Ps wrost individual x w o r s t s ;
15:     Select xl1, xl2 from population randomly (l1l2);
16:     Ps comparison of xl1and xl2by using Algorithm 1;
17:     if rand > Ps(k)
18:      Modify candidate solution by using (23);
19:     else
20:      Modify candidate solution by using (22);
21:     end if
22:   end if
23:   Compute Pf of the updated individual;
24:   FES = FES + 1;
25:   Accept the new solution if it is better than the old one;
26:  end for
27: End while

4. Sine-Cosine Algorithm

Seyedali Mirjalili proposed the Sine-Cosine algorithm in 2016. The algorithm introduced a trigonometric function to stochastic population-based optimization [14] and realized a wide range search and gradually approaching solutions in the exploitation process. The working principle of SCA is introduced.
Its mutation strategy is as follow:
x k , v = { x k , v + r 1 , k , v sin ( r 2 ) × | r 3 x b e s t , v x k , v | , i f r 4 < 0.5 x k , v + r 1 , k , v cos ( r 2 ) × | r 3 x b e s t , v x k , v | , i f r 4 0.5
r 1 , k , v = a a t T
where x k , v , x k , v , x b e s t , v are the same as ones in (21) to (23), a, t, T represents constant, the current number of iteration and the maximum number of iteration, respectively. The range of r 1 , k , v and search detail of SCA are as Figure 3 shows.
As Figure 3 shows, the value of r 1 , k , v decided the search direction of the SCA algorithm. Additionally, four parameters decide the search path of SCA. r 1 , k , v defines the direction. r 2 dictates how far the movement should be towards or outwards the destination. r 3 provides a random weight for the destination in order to stochastically emphasize ( r 3 > 1 ) or deemphasize ( r 3 < 1 ) the effect of destination in defining the distance. Finally, the parameter r 4 equally switches between the sine and cosine components. As mentioned above, SCA holds much randomness. Algorithm 3 shows the pseudo code of SCA.
Algorithm 3 Pseudo code of Sine-Cosine algorithm
1: Initialize a set of serach agents (solutions)(X);
2: Do
3: Evaluate each of the search agents by the objective function;
4: Update the best solution obtained so far (P = X*);
5: Update r1, r2, r3, and r4;
6: Update the position of search agents using (24);
7: While (t < maximum number of iterations)
8: Return the best solution obtained so far as the global optimum.
In Algorithm 3, X* represents the best individual in current searching process. The Sine-Cosine algorithm’s search process is adaptive. There is not another parameter that needs to be trained. Moreover, it has a wider search range.

5. Sine-Cosine Self-Adaptive Synergistic Optimization

As stated above, when the current candidate is absolutely not the best solution, and the value of P f ( x k , N P ) is small, SSO uses Equation (24) to update the direction of exploration. The searching process is shown as Figure 4.
The next position region is restricted by two reasons. One is the worst solutions. Another is the last candidates. Resulting from the two factors, the next position region is the Rhombic region.
As stated above, the search region of SCA is relatively narrow. However, the search range of SCA is a circle around current candidate, as shown in Figure 3. Moreover, SCA and SSO both automatically balance exploration and exploitation, and SCA has a much wider search range. Thus, if we combine SSO with SCA, the new SC-SSO remains self-adaptive. In addition, SCA replaced Rao-3, offering stronger searching ability. Figure 5 shows the framework of SC-SSO.
As shown in Figure 5, Rao-3 was replaced after the random selection process. When two individuals are randomly selected, a random number decides the equal to modify the solution. If Ps > rand, it proves that current solutions are still valuable and thus continue to exploit around the solution. However, Ps < rand proves that current solutions are worse than surrounding candidates. Then, we use a method to explore.
The standard SSO uses the Rao-3 algorithm to explore, while Rao-3’s search ability is relatively weak. Therefore, SCA is a better alternative.
As shown in Figure 5, the structure of the self-organization mechanism is simple and clear and has no extra parameters. During the operation of the algorithm, the direction of evolution is automatically balanced, which means the convergence strength is self-adaptively managed.
In SCSSO, Ps remains the index of evaluating the capability of current candidates. When the xk is the best individual, the next searching direction is decided by Equation (21), as Figure 6 shows.
When the xk is not the best solution, a method of comparing Ps with random numbers has been carried out. If Ps is greater than a random number, we could use Equation (23) to search the best solution around current solutions, but if Ps is smaller than a random number, a much larger search region should be carried out. The search region of SCA is a circle around the destination, as shown in Figure 3, so it could help to get rid of the current worst solution.

6. Experimental Results

In the field of optimization using meta-heuristics and evolutionary algorithms, several tests and experiments should be carried out in order to test the efficiency, accuracy, and robustness of proposed algorithms. In these experiments, FEA data are selected as a benchmark, while the error between the calculation results of object functions and reference data are inferred to RMSE, so that the accuracy and robustness could be evaluated. The analysis software used in this paper is MATLAB. Algorithms are compared by the best RMSE values in 30 populations. Through the best (B), and worst (W) values, we can evaluate the accuracy of them, and the standard deviation (SD) and mean (M) represent the stability of them.

6.1. Reference Data

The reference data come from the finite element analysis of the designed 2 kW prototype SynRMs. The design parameters of the prototype are summarized in Table 1.
The result of FEA illustrated the nonlinearity of SynRMs flux linkage. As is increases, the nonlinearity of ψs becomes increasingly obvious. As shown in Figure 7a, when id reaches 10A, the curve of ψd rising becomes slower. The same phenomena appeared in ψq. This is so-called self-saturation. Additionally, when id is fixed, the value of ψd decreases as iq increases. In Figure 7b, the ψq decreases more rapidly than ψd in (a). This id, iq influencing mutual flux linkage phenomena is called cross-saturation.
To prove the performance metrics of the enhanced SC-SSO, comparative experiments are carried out with other well-performed algorithms, including original Rao algorithms, Ant Lion Optimization (ALO) algorithm [33], differential evolution with biogeography-based optimization (DE/BBO) [34] and JAYA algorithm [35]. For the sake of fairness, different algorithms retain the same parameter configurations, as Table 2 shows.

6.2. Results on q-Axis Flux Linkage Model

For the q-axis flux linkage model, 11 algorithms are independently implemented 30 times to obtain their self-saturation and cross-saturation parameters. RMSEq is taken as the index of accuracy evaluation. The best parameters and best RMSE are shown to compare in Table 3.
In Table 4, B M and W mean the best mean and worst RMSE values in 30 populations. SD represents standard deviation of 30 RMSE values for each algorithm. As Table 4 shows, the SCSSO offered the best RMSEq value (2.2339 × 10−4); the second-best value (2.2443 × 10−4) was offered by RAO-1; and the worst value (0.0022) was offered by CLPSO, which was ten times that of SCSSO. The best RMSEq of SSO and SCA was 1.56 times and 10 times that. of SCSSO. Compared with other well-known algorithms, SCSSO is highly performed. To further illustrate the excellent results of the parameter identification, the q-axis flux linkage map is reconstructed using the best results of the SCSSO algorithm. Table 4 explains the statistical results, and SCSSO ranks first in the comparison. Moreover, the RAO-1 was the second best RMSE, but its mean value was 0.0017, nearly 20 times that of SCSSO. The second-best mean value (4.8678 × 10−4) was provided by BLPSO, 1.76 times that of the proposed algorithms. Additionally, SCSSO is superior to SCA in statistical results. Although the standard deviation of SCSSO is inferior to SSO, the best RMSEq, worst RMSEq and mean value are superior.
Figure 8 is the plots of the best RMSEq of the proposed algorithm and other compared ones. As indicated above, the standard deviation of the new algorithm was the smallest in the 11 algorithms, and the best value was the smallest in this comparison.
It can be seen in Table 3 and Table 4 that the best value, mean value and worst value of traditional simple algorithms are one hundred times larger than other improved algorithms. The standard deviation is at least ten times larger than the other 13 algorithms. This proved that the traditional algorithms are not suitable for multidimensional problems.
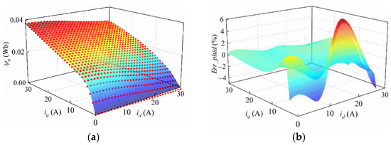
Figure 9a takes FEA data as a surface and uses the SCSSO algorithm data as the fitting ball to illustrate the accuracy of the SCSSO algorithm. Figure 9b illustrates the mismatch between estimated data and FEA data.
As shown in Figure 9b, the calculation results of the proposed algorithm have only a 6% mismatch with the reference data in the edge of the model, which is attributed to the modeling method and the calculation error of FEA at the model boundary. Under many circumstances, the error of mismatch does not exceed 1%, which means the model with the identified parameters can be applied in actual engineering.

6.3. Results on d-Axis Flux Linkage Model

As the second stage of SynRMs magnetic model parameter identification, the extraction of the d-axis model parameters is similar to the process mentioned in the previous subsection. The best cross-saturation coefficients are obtained in the previous process. Therefore, only four self-saturation parameters need to be identified.
It can be seen from Figure 10 that the estimated data suit the reference perfectly. Moreover, the errors of d-axis flux linkage are below 1%. Table 5 lists the best estimated parameters and the best RMSEd (4.0816 × 10−4) of different algorithms. The SCSSO keeps the best RMSEd value (4.0816 × 10−4). Table 6 illustrates that the best RMSE values of the 11 algorithms are resultant, but the mean value, the worst RMSE and standard deviation of the 11 compared algorithms are orders of magnitude larger than the proposed algorithm. Especially with DE\BBO, its mean value was almost 10 times that of SCSSO. The worst RMSE value of GWO was nearly 20 times that of the proposed algorithms. Additionally, the standard deviation of GWO was nearly 60 times that of SCSSO. The SCSSO has superior performance to SCA and SSO in any aspect.
Figure 11 shows the plots of the best RMSEd of the proposed algorithm and other compared algorithms. As shown above, the best and worst RMSE, mean value and standard deviation were the smallest of all.
An experiment in an SynRM prototype was carried out based on the 2 kW SynRM prototype and MicroLabBox dSPACE experimental platform, as shown in Figure 12. Its parameters are shown in Table 1. The hysteresis brake is used as the brake load. The torque sensor is installed on the shaft between the SynRM prototype and the hysteresis brake to measure the torque generated by the SynRM; the customized 55 kW three-phase inverter is powered by the 9 kW DC power supply to drive the motor; a MicroLabBox dSPACE ds1202 with a 2 GHz dual-core real-time processor and programmable FPGA is used as the system controller for implementing the control algorithm, sending pulses to the inverter, and sampling and analyzing information of the measured currents, position and torque of the motor. In the experiment tests, the sampling time is chosen as 100 μs.
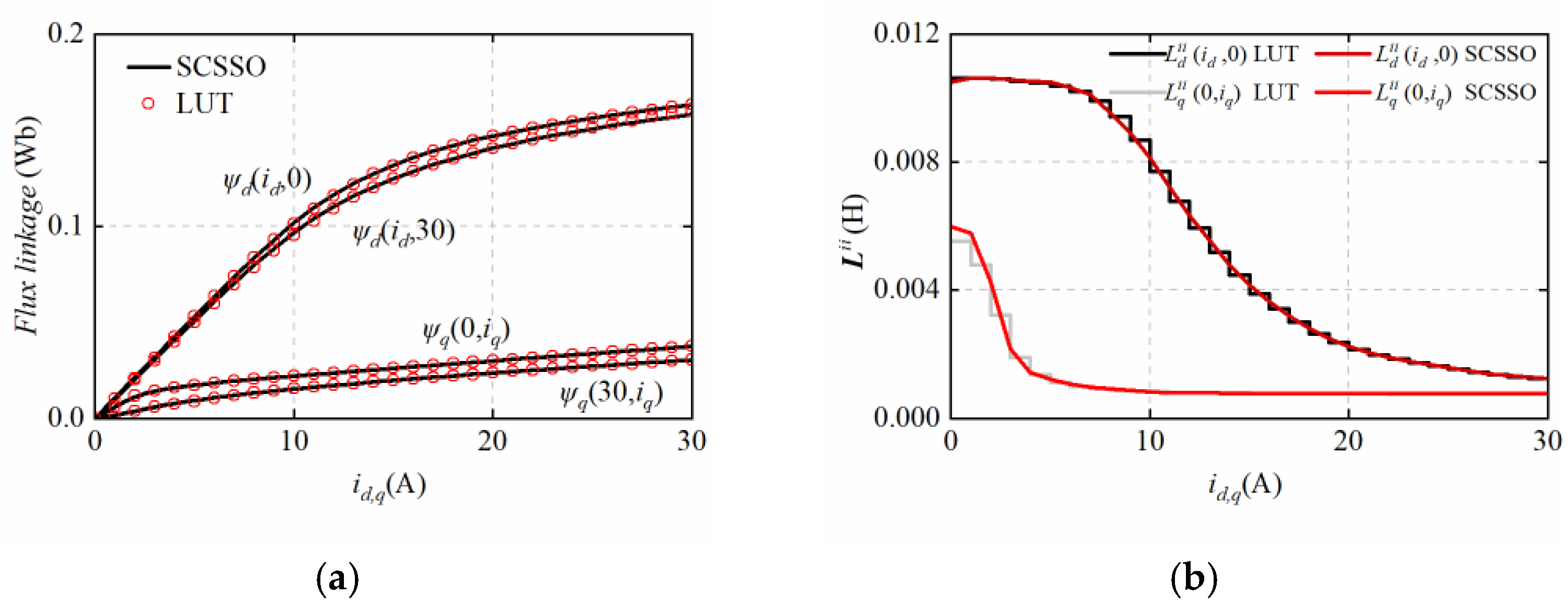
To verify the applicability of the proposed algorithm, the results of the proposed algorithm obtained were compared with the traditional look-up table method.
The experimental results are shown in Figure 13.
It can be seen from Figure 13 that the flux linkages and incremental inductances can highly fit the traditional method. Additionally, because of the differentiability of objective function, the incremental inductances are continuous.

6.4. Results Discussion

The comparison results demonstrate that the proposed SCSSO algorithm has much better accuracy and effectiveness for solving the parameters identification problem of the SynRMs magnetic model, and its performance is competitive in contrast with all compared algorithms. The difference between the best RMSEd and the best RMSEq provided by the proposed SCSSO algorithm can be clearly observed. On one hand, the accuracy of the experimental results in the q-axis model is considerable, and the algorithm error is inevitably introduced into the d-axis model with the application of cross-saturation parameters. On the other hand, the energy loss of the rotor region corresponding to the d- and q-axis is different. Those losses are not reflected in the cross-saturation parameters under conservative field assumptions. This makes the influence of the loss contained in the standard datasets equivalent to a kind of noise, which is accumulated and introduced into the identification result of the d-axis self-saturation parameters. Fortunately, the values of best RMSEd and RMSEq are in the same order of magnitude. Thus, the superior accuracy and robustness of the proposed SCSSO algorithm can be explained in one aspect, while its stability was contrasted by itself under a different NP. Thus, an experiment was carried out to test the robustness and stability of SCSSO. In this experiment, the SCSSO algorithm with NP = 10, 20, 30, 40 and 50 was tested and compared, maintaining the Max_FES at 30,000. The statistical results are presented in Table 7.
It can be clearly seen that due to the different dimensions of the problem, the optimal population size for different problems is also different. Hence, the most appropriate population size for the parameter identification of d- and q-axis flux models is set to 30.

7. Conclusions

In this paper, an SCSSO algorithm based on SSO and SCA is proposed to extract the parameters of the SynRMs nonlinear magnetic model. Compared with traditional and simple algorithms, the proposed algorithm has improved more than 80 times. Additionally, the proposed algorithm has improved by 10% (even by 50% compared to some outstanding algorithms). Experiment results elaborated that the SCSSO algorithm is effective enough to solve the parameter identification problems of the SynRMs nonlinear magnetic model. Moreover, through the verification of the proposed SynRMs model parameter identification, it can be inferred that the proposed algorithm can be extended to the solution of the multi-parameter and multi-peak problem. Furthermore, through the verification of SynRM prototype, the practicability of the proposed method could better describe the nonlinearity of the magnetic circle than the traditional method. In our future work, the iron loss and the variation of resistance could be taken into consideration. On the basis of the research in this study, in view of the noise characteristics of the measured reference data, it is necessary to further study the evolution strategy of metaheuristic algorithms with higher robustness to further improve the accuracy of SynRMs magnetic model parameter identification.

Author Contributions

Methodology, H.W.; Software, Y.Z.; Validation, H.W.; Investigation, H.W. and Y.Z.; Resources, G.L. and F.D.; Data curation, Y.Z.; Writing—original draft, H.W.; Writing—review and editing, Y.Z.; Visualization, H.W.; Supervision, Y.Z. and S.R.; Project administration, G.L. All authors have read and agreed to the published version of the manuscript.

Funding

This research was supported by the National Natural Science Foundation of China under Grant 52202449.

Institutional Review Board Statement

Not applicable.

Informed Consent Statement

Not applicable.

Data Availability Statement

Not applicable.

Conflicts of Interest

The authors declare no conflict of interest.

References

  1. Magnetics. ABB SynRM Motors Without Rare Earth Magnets Deliver Ultra-Premium Energy Effificiency. Available online: https://magneticsmag.com/abb-synrm-motors-without-rare-earth-magnets-deliver-ultra-premium-energy-effificiency/ (accessed on 17 August 2020).
  2. de Pancorbo, S.M.; Ugalde, G.; Poza, J.; Egea, A. Comparative study between induction motor and Synchronous Reluctance Motor for electrical railway traction applications. In Proceedings of the 2015 5th International Electric Drives Production Conference (EDPC), Nuremberg, Germany, 15–16 September 2015. [Google Scholar] [CrossRef]
  3. Wiedemann, S.; Hall, S.; Kennel, R.M.; Alakula, M. Dynamic testing characterization of a synchronous reluctance machine. IEEE Trans. Ind. Appl. 2018, 54, 1370–1378. [Google Scholar] [CrossRef]
  4. Song, Y.; Zhang, M.; Øiseth, O.; Rønnquist, A. Wind deflection analysis of railway catenary under crosswind based on nonlinear finite element model and wind tunnel test. Mech. Mach. Theory 2022, 168, 104608. [Google Scholar] [CrossRef]
  5. Li, C.; Wang, G.; Zhang, G.; Zhao, N.; Xu, D. Review of parameter identification and sensorless control methods for synchronous reluctance machines. Chin. J. Electr. Eng. 2020, 6, 7–18. [Google Scholar] [CrossRef]
  6. Accetta, A.; Cirrincione, M.; Pucci, M.; Sferlazza, A. Feedback Linearization Based Nonlinear Control of SynRM Drives Accounting for Self- and Cross-Saturation. IEEE Trans. Ind. Appl. 2022, 58, 3637–3651. [Google Scholar] [CrossRef]
  7. Rath, M.; Darwish, A.; Pati, B.; Pattanayak, B.K.; Panigrahi, C.R. Swarm intelligence as a solution for technological problems associated with Internet of Things. In Intelligent Data-Centric Systems; Academic Press: Cambridge, MA, USA, 2020; pp. 21–45. [Google Scholar] [CrossRef]
  8. Suer, G.; Gen, M. Genetic Algorithms in Optimization. Blood Coagul. Fibrinolysis Int. J. Haemost. Thromb. 2012, 13, 2–13. [Google Scholar]
  9. Dorigo, M. Optimization, Learning and Natural Algorithms. Ph.D. Thesis, Politecnico Di Milano, Milan, Italy, 1992. [Google Scholar]
  10. Kennedy, J.; Eberhart, R. Particle Swarm Optimization. In Proceedings of the ICNN95-international Conference on Neural Networks IEEE, Perth, WA, Australia, 27 November–1 December 1995. [Google Scholar]
  11. Arora, S.; Singh, S. Butterfly optimization algorithm: A novel approach for global optimization. Soft Comput. 2019, 23, 715–734. [Google Scholar] [CrossRef]
  12. Mirjalili, S.; Mirjalili, S.M.; Lewis, A. Grey wolf optimizer. Adv. Eng. Softw. 2014, 69, 46–61. [Google Scholar] [CrossRef]
  13. Al-Amyal, F.; Számel, L.; Hamouda, M. An enhanced direct instantaneous torque control of switched reluctance motor drives using ant colony optimization. Ain Shams Eng. J. 2022, in press. [Google Scholar] [CrossRef]
  14. Mirjalili, S. SCA: A Sine Cosine Algorithm for Solving Optimization Problems. Knowl.-Based Syst. 2016, 96, 120–133. [Google Scholar] [CrossRef]
  15. Rao, R.V. Rao algorithms: Three metaphor-less simple algorithms for solving optimization problems. Int. J. Ind. Eng. Comput. 2020, 11, 107–130. [Google Scholar] [CrossRef]
  16. Hussain, K.; Neggaz, N.; Zhu, W.; Houssein, E.H. An efficient hybrid sine-cosine Harris hawks optimization for low and high-dimensional feature selection. Expert Syst. Appl. 2021, 176, 114778. [Google Scholar] [CrossRef]
  17. Zhang, Z.; Gao, Y.; Zuo, W. A Dual Biogeography-Based Optimization Algorithm for Solving High-Dimensional Global Optimization Problems and Engineering Design Problems. IEEE Access 2022, 10, 55988–56016. [Google Scholar] [CrossRef]
  18. Rahimi, A.; Bavafa, F.; Aghababaei, S.; Khooban, M.H.; Naghavi, S.V. The online parameter identification of chaotic behavior in permanent magnet synchronous motor by Self-Adaptive Learning Bat-inspired algorithm. Int. J. Electr. Power Energy Syst. 2016, 78, 285–291. [Google Scholar] [CrossRef]
  19. Yousri, D.; Allam, D.; Eteiba, M. Parameters Identification of Fractional Order Permanent Magnet Synchronous Motor Models Using Chaotic Meta-Heuristic Algorithms. In Mathematical Techniques of Fractional Order Systems; Elsevier: Amsterdam, The Netherlands, 2018; pp. 529–558. [Google Scholar] [CrossRef]
  20. Ursem, R.K.; Vadstrup, P. Parameter identification of induction motors using stochastic optimization algorithms. Appl. Soft Comput. 2004, 4, 49–64. [Google Scholar] [CrossRef]
  21. Abdelwanis, M.I.; Sehiemy, R.A.; Hamida, M.A. Hybrid Optimization algorithm for parameter estimation of poly-phase induction motors with experimental verification. Energy AI 2021, 5, 100083. [Google Scholar] [CrossRef]
  22. Rao, R.V.; Keesari, H.S. Rao algorithms for multi-objective optimization of selected thermodynamic cycles. Eng. Comput. 2020, 37, 3409–3437. [Google Scholar] [CrossRef]
  23. Zhao, Y.; Ren, L.; Lin, G.; Liao, Z.; Liu, S. Self-Adaptive Synergistic Optimization for Parameters Extraction of Synchronous Reluctance Machine Nonlinear Magnetic Model. IEEE Access 2021, 9, 101741–101754. [Google Scholar] [CrossRef]
  24. Kalemci, E.N.; Ikizler, S.B. Rao-3 algorithm for the weight optimization of reinforced concrete cantilever retaining wall. Geomech. Eng. 2020, 20, 527–536. [Google Scholar]
  25. Saha, A.K. Multi-population-based adaptive sine cosine algorithm with modified mutualism strategy for global optimization. Knowl.-Based Syst. 2022, 251, 109326. [Google Scholar] [CrossRef]
  26. Gupta, S.; Zhang, Y.; Su, R. Urban traffic light scheduling for pedestrian–vehicle mixed-flow networks using discrete sine–cosine algorithm and its variants. Appl. Soft Comput. 2022, 120, 108656. [Google Scholar] [CrossRef]
  27. Yang, X.; Wang, R. An adaptive quadratic interpolation and rounding mechanism sine cosine algorithm with application to constrained engineering optimization problems. Expert Syst. Appl. 2023, 213, 119041. [Google Scholar] [CrossRef]
  28. Guglielmi, P.; Pastorelli, M.; Vagati, A. Impact of cross-saturation in sensorless control of transverse-laminated synchronous reluctance motors. IEEE Trans. Ind. Electron. 2006, 53, 429–439. [Google Scholar] [CrossRef]
  29. Qu, Z.; Tuovinen, T.; Hinkkanen, M. Inclusion of magnetic saturation in dynamic models of synchronous reluctance motors. In Proceedings of the 2012 XXth International Conference on Electrical Machines, Marseille, France, 2–5 September 2012. [Google Scholar] [CrossRef]
  30. Mingardi, D.; Morandin, M.; Bolognani, S.; Bianchi, N. On the Proprieties of the Differential Cross-Saturation Inductance in Synchronous Machines. IEEE Trans. Ind. Appl. 2016, 53, 991–1000. [Google Scholar] [CrossRef]
  31. Odhano, S.A.; Pescetto, P.; Awan, H.A.A.; Hinkkanen, M.; Pellegrino, G.; Bojoi, R. Parameter Identification and Self-Commissioning in AC Motor Drives: A Technology Status Review. IEEE Trans. Power Electron. 2018, 34, 3603–3614. [Google Scholar] [CrossRef]
  32. Chalermchaiarbha, S.; Ongsakul, W. Stochastic weight trade-off particle swarm optimization for nonconvex economic dispatch. Energy Convers. Manag. 2013, 70, 66–75. [Google Scholar] [CrossRef]
  33. Mirjalili, S. The ant lion optimizer. Adv. Eng. Softw. 2015, 83, 80–98. [Google Scholar] [CrossRef]
  34. Gong, W.; Cai, Z.; Ling, C.X. DE/BBO: A hybrid differential evolution with biogeography-based optimization for global numerical optimization. Soft Comput. 2010, 15, 645–665. [Google Scholar] [CrossRef]
  35. Rao, R.V. Jaya: A simple and new optimization algorithm for solving constrained and unconstrained optimization problems. Int. J. Ind. Eng. Comput. 2016, 7, 19–34. [Google Scholar] [CrossRef]
Figure 1. The magnetic circuit of the SynRMs rotor.
Figure 1. The magnetic circuit of the SynRMs rotor.
Sustainability 15 00397 g001
Figure 2. The electromechanical energy conversion process of SynRMs.
Figure 2. The electromechanical energy conversion process of SynRMs.
Sustainability 15 00397 g002
Figure 3. The range of r 1 , k , v sin ( r 2 ) and search detail of SCA.
Figure 3. The range of r 1 , k , v sin ( r 2 ) and search detail of SCA.
Sustainability 15 00397 g003
Figure 4. The search detail of SSO.
Figure 4. The search detail of SSO.
Sustainability 15 00397 g004
Figure 5. Framework of SCSSO.
Figure 5. Framework of SCSSO.
Sustainability 15 00397 g005
Figure 6. Searching direction when the the xk is the best individual.
Figure 6. Searching direction when the the xk is the best individual.
Sustainability 15 00397 g006
Figure 7. Flux linkage results of FEA. (a) Nonlinear flux linkage of d-axis. (b) Nonlinear flux linkage of q-axis.
Figure 7. Flux linkage results of FEA. (a) Nonlinear flux linkage of d-axis. (b) Nonlinear flux linkage of q-axis.
Sustainability 15 00397 g007
Figure 8. Best boxplot over 30 runs of different algorithms for q-axis flux linkage model.
Figure 8. Best boxplot over 30 runs of different algorithms for q-axis flux linkage model.
Sustainability 15 00397 g008
Figure 9. FEA data vs estimated data of q-axis. (a) Comparation between FEA and estimated data. (b) Mismatch of q-axis flux linkage, estimated vs. FEA.
Figure 9. FEA data vs estimated data of q-axis. (a) Comparation between FEA and estimated data. (b) Mismatch of q-axis flux linkage, estimated vs. FEA.
Sustainability 15 00397 g009
Figure 10. FEA data vs estimated data of d-axis. (a) Comparation between FEA and estimated data. (b) Mismatch of d-axis flux linkage, estimated vs. FEA.
Figure 10. FEA data vs estimated data of d-axis. (a) Comparation between FEA and estimated data. (b) Mismatch of d-axis flux linkage, estimated vs. FEA.
Sustainability 15 00397 g010
Figure 11. Best boxplot over 30 runs of different algorithms for d-axis flux linkage model.
Figure 11. Best boxplot over 30 runs of different algorithms for d-axis flux linkage model.
Sustainability 15 00397 g011
Figure 12. Experimental platform of SynRM prototype: (a) PC with software of dSPACE ControlDesk; (b) Torquemeter; (c) 9 kW DC power supply; (d) MicroLabBox dSPACE ds1202; (e) Customized three-phase inverter; (f) Oscilloscope; (g) 2 kW SynRM prototype with resolver; (h) Torque sensor; (I) Hysteresis brake.
Figure 12. Experimental platform of SynRM prototype: (a) PC with software of dSPACE ControlDesk; (b) Torquemeter; (c) 9 kW DC power supply; (d) MicroLabBox dSPACE ds1202; (e) Customized three-phase inverter; (f) Oscilloscope; (g) 2 kW SynRM prototype with resolver; (h) Torque sensor; (I) Hysteresis brake.
Sustainability 15 00397 g012
Figure 13. Comparison between LUT and SCSSO. (a) Flux linkages between LUT VS SCSSO. (b) Incremental inductances LUT VS SCSSO.
Figure 13. Comparison between LUT and SCSSO. (a) Flux linkages between LUT VS SCSSO. (b) Incremental inductances LUT VS SCSSO.
Sustainability 15 00397 g013
Table 1. Parameters of prototype.
Table 1. Parameters of prototype.
ParametersValuesParametersValues
Rated Power (kw)2Rated Voltage (V)60
Rated Speed (r·min−1)1500Rated Current (A)30
Rated Torque (N·m)12.7Number of pole pairs2
Stator resistance (Ω)0.3Moment of inertia (kg·m−2)0.025
Table 2. Parameter configurations.
Table 2. Parameter configurations.
ModelPopulation SizeRun TimesMax_FESParameters Range
LowerUpper
q-axis flux linkage modelNP = 303030,00002
d-axis flux linkage modelNP = 303030,00002
Table 3. Comparison Among Different Algorithms on q-axis Flux Linkage Model.
Table 3. Comparison Among Different Algorithms on q-axis Flux Linkage Model.
AlgorithmSelf-Saturation CoefficientsCross-Saturation CoefficientsRMSEq
αqβqγqγq1kWVV1κq
SCSSO0.00710.87120.13367.8411 × 10−40.02550.00190.0121840.25286.18852.2339 × 10−4
SSO0.00710.77380.13457.8854 × 10−40.00600.00210.01060.37561.03113.5053 × 10−4
SCA0.00710.87120.13367.8411 × 10−40.02550.18040.0799040.001200.0021
GWO0.00711.06100.12517.8437 × 10−40.01980.00210.01120.26850.10832.3034 × 10−4
ALO0.01400.00140.31337.7888 × 10−40.01970.00330.01090.21510.00416.9356 × 10−4
BLPSO0.00700.43070.41667.9459 × 10−40.01800.00210.01210.29150.13932.9613 × 10−4
CLPSO0.01270.02180.67776.2413 × 10−40.01051.11940.00490.45720.14980.0022
DE/BBO0.00720.43290.33687.7735 × 10−40.02120.00230.04500.21572.00002.6629 × 10−4
CMM-DE/BBO0.00700.86310.29837.9557 × 10−40.02260.00200.011500.28080.06402.4377 × 10−4
Rao-10.00711.02970.12387.8393 × 10−40.02150.00200.01150.26330.07512.2443 × 10−4
Rao-20.00790.26320.64537.0144 × 10−40.02150.00200.01150.26330.07515.8524 × 10−4
Rao-30.00721.66910.05977.6864 × 10−40.00420.001602.00002.00007.0207 × 10−4
JAYA0.01410.467107.6524 × 10−40.00500.00120.00720.95331.78206.9965 × 10−4
PSO0.02140.50250.45110.01080.18470.45740.04310.03060.07500.1971
GA0.00290.00260.00220.00130.00431.11 × 10−52.39 × 10−55.20 × 10−112.99 × 10−60.0052
Table 4. Statistical Results of RMSE of Different Algorithms for q-axis Model.
Table 4. Statistical Results of RMSE of Different Algorithms for q-axis Model.
ModelPopulation SizeAlgorithmRMSE
BMWSD
q-axis flux linkage modelNP = 30SCSSO2.2339 × 10−42.7572 × 10−46.5841 × 10−45.7682 × 10−4
SSO3.5053 × 10−44.7825 × 10−49.1071 × 10−41.2444 × 10−4
SCA0.00210.00360.00860.0015
GWO2.3034 × 10−40.00180.00500.0012
ALO6.9356 × 10−40.00220.00490.0010
BLPSO2.9613 × 10−44.8678 × 10−48.5550 × 10−46.3891 × 10−4
CLPSO0.00220.00590.04200.0077
DE/BBO2.6629 × 10−40.00120.01210.0024
CMM-DE/BBO2.4377 × 10−47.4912 × 10−40.00246.7630 × 10−4
Rao-12.2443 × 10−40.00170.02380.0043
Rao-25.8524 × 10−40.00530.02380.0074
Rao-37.0207 × 10−40.00730.02380.0093
JAYA6.9965 × 10−40.00310.00740.0016
PSO0.19350.23460.90400.1270
GA0.00520.19370.38330.1106
Table 5. Comparison among different algorithms for d-axis flux linkage model.
Table 5. Comparison among different algorithms for d-axis flux linkage model.
AlgorithmSelf-Saturation CoefficientsRMSEd
αdβdγdγd1
SCSSO0.06160.14950.01000.00134.0816 × 10−4
SSO0.06150.14980.01000.00134.0854 × 10−4
SCA0.06020.15870.01120.00154.8188 × 10−4
GWO0.06150.14980.01000.00134.0818 × 10−4
ALO0.06230.14840.00980.00134.2398 × 10−4
BLPSO0.05950.14910.01080.00155.2488 × 10−4
CLPSO0.06130.16650.00860.00149.0099 × 10−4
DE/BBO0.06020.15090.01040.00144.5824 × 10−4
CMM-DE/BBO0.06150.14980.01000.00134.0818 × 10−4
Rao-10.06150.15000.009950.00134.0866 × 10−4
Rao-20.06160.14970.01000.00134.0821 × 10−4
Rao-30.06150.14980.01000.00134.0817 × 10−4
JAYA0.06190.14990.00990.00134.0828 × 10−4
PSO0.03780.07450.37310.00330.0384
GA0.01310.06751.99450.07040.0140
Table 6. Statistical results of RMSE of different algorithms for d-axis model.
Table 6. Statistical results of RMSE of different algorithms for d-axis model.
ModelPopulation SizeAlgorithmRMSE
BMWSD
d-axis flux linkage modelNP = 30SCSSO4.0816 × 10−44.6754 × 10−47.5682 × 10−49.1699 × 10−5
SSO4.0854 × 10−47.0770 × 10−40.00224.2779 × 10−4
SCA4.8188 × 10−40.00120.00204.2928 × 10−4
GWO4.0818 × 10−40.00290.02320.0056
ALO4.2398 × 10−40.00320.01800.0017
BLPSO5.2488 × 10−40.00120.00204.2742 × 10−4
CLPSO9.0099 × 10−40.00360.01000.0018
DE/BBO4.5824 × 10−40.00360.00790.0022
CMM-DE/BBO4.0818 × 10−40.00210.00580.0016
Rao-14.0866 × 10−40.00100.00340.0014
Rao-24.0821 × 10−40.00280.02320.0041
Rao-34.0817 × 10−40.00230.00340.0012
JAYA4.0828 × 10−40.00180.00360.0013
PSO0.03840.07870.37280.0781
GA0.01400.07840.69840.1395
Table 7. Statistical results of SCSSO algorithm with varying NP for SynRMs magnetic model (30,000 function evaluations).
Table 7. Statistical results of SCSSO algorithm with varying NP for SynRMs magnetic model (30,000 function evaluations).
ModelRMSEPopulation Size
NP = 10NP = 20NP = 30NP = 40NP = 50
q-axis flux linkage modelB3.15164 × 10−43.4644 × 10−42.2339 × 10−46.4685 × 10−48.7220 × 10−4
M5.1534 × 10−44.5315 × 10−42.7572 × 10−40.00310.0045
W0.00450.00536. 5841 × 10−40.00340.0045
SD1.4531 × 10−31.4153 × 10−45.7682 × 10−46.4845 × 10−46.6546 × 10−4
d-axis flux linkage modelB4.0828 × 10−44.0925 × 10−44.0816 × 10−44.1557 × 10−45.4685 × 10−4
M9.3769 × 10−44.9046 × 10−44.6754 × 10−46.4842 × 10−49.4531 × 10−4
W0.00766.9249 × 10−47.5682 × 10−40.00480.0081
SD1.5883 × 10−37.3260 × 10−49.1698 × 10−54.5151 × 10−40.0048
Disclaimer/Publisher’s Note: The statements, opinions and data contained in all publications are solely those of the individual author(s) and contributor(s) and not of MDPI and/or the editor(s). MDPI and/or the editor(s) disclaim responsibility for any injury to people or property resulting from any ideas, methods, instructions or products referred to in the content.

Share and Cite

MDPI and ACS Style

Wang, H.; Lin, G.; Zhao, Y.; Ren, S.; Duan, F. A Hybrid Algorithm for Parameter Identification of Synchronous Reluctance Machines. Sustainability 2023, 15, 397. https://doi.org/10.3390/su15010397

AMA Style

Wang H, Lin G, Zhao Y, Ren S, Duan F. A Hybrid Algorithm for Parameter Identification of Synchronous Reluctance Machines. Sustainability. 2023; 15(1):397. https://doi.org/10.3390/su15010397

Chicago/Turabian Style

Wang, Huan, Guobin Lin, Yuanzhe Zhao, Sizhe Ren, and Fuchuan Duan. 2023. "A Hybrid Algorithm for Parameter Identification of Synchronous Reluctance Machines" Sustainability 15, no. 1: 397. https://doi.org/10.3390/su15010397

APA Style

Wang, H., Lin, G., Zhao, Y., Ren, S., & Duan, F. (2023). A Hybrid Algorithm for Parameter Identification of Synchronous Reluctance Machines. Sustainability, 15(1), 397. https://doi.org/10.3390/su15010397

Note that from the first issue of 2016, this journal uses article numbers instead of page numbers. See further details here.

Article Metrics

Back to TopTop