Distribution of Phosphorus Fractions in Orchard Soils in Relation to Soil Properties and Foliar P Contents
Abstract
1. Introduction
2. Materials and Methods
2.1. Soil Sampling
2.2. Soil Analyses
2.3. Sequential P Fractionation
2.4. Statistical Analyses
3. Results
3.1. Soil Properties
3.2. Distribution of P Fractions in Soil
3.3. Soil Properties versus P Fractions
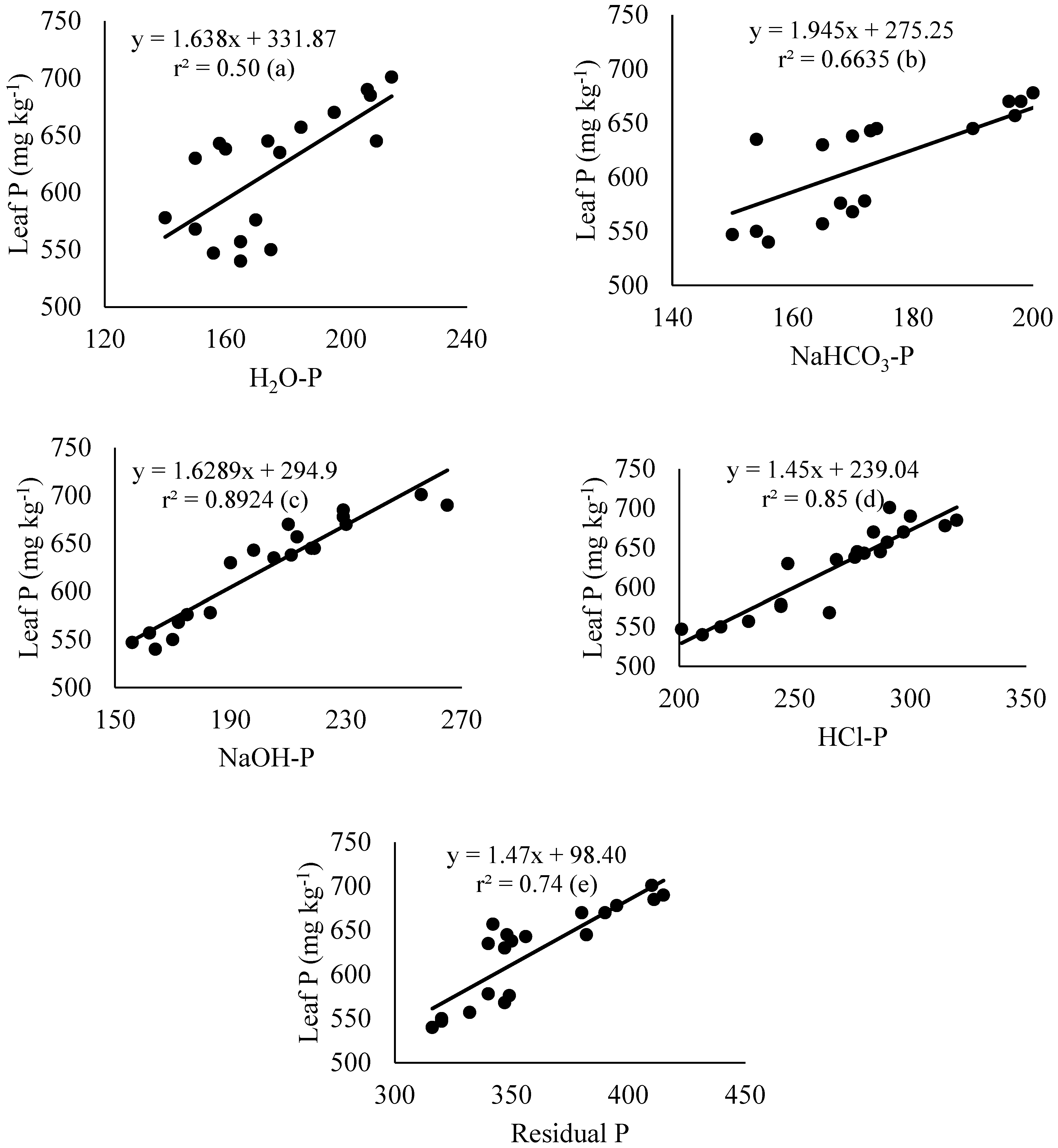
3.4. Soil P Fractions versus Foliar P Contents
4. Discussion
4.1. Relationship of Soil Properties and P Fractions
4.2. Phosphorus Fractions and Foliar P Contents
5. Conclusions
Author Contributions
Funding
Institutional Review Board Statement
Informed Consent Statement
Data Availability Statement
Conflicts of Interest
References
- Carter, M. Organic matter and aggregation interactions that maintain soil functions. Agron. J. 2002, 94, 38–47. [Google Scholar]
- Cataldo, E.; Salvi, L.; Sbraci, S.; Storchi, P.; Mattii, G.B. Sustainable viticulture: Effects of soil management in Vitis vinifera. Agronomy 2020, 10, 1949. [Google Scholar] [CrossRef]
- Cataldo, E.; Fucile, M.; Mattii, G.B. A Review: Soil management, sustainable strategies and approaches to improve the quality of modern viticulture. Agronomy 2021, 11, 2359. [Google Scholar] [CrossRef]
- Jiang, Y.; Zhang, Y.; Zhou, D.; Qin, Y.; Liang, W. Profile distribution of micronutrients in an aquic brown soil as affected by land use. Plant Soil Environ. 2009, 55, 468–476. [Google Scholar] [CrossRef]
- Hoying, S.; Fargione, M.; Iungerman, K. Diagnosing apple tree nutritional status: Leaf analysis interpretation and deficiency symptoms. N. Y. Fruit Q. 2004, 12, 16–19. [Google Scholar]
- Chaudhari, P.; Ahire, D.; Ahire, V.D. Correlation between Physico-chemical properties and available nutrients in sandy loam soils of Haridwar. J. Chem. Biol. Phys. Sci. 2012, 2, 1493. [Google Scholar]
- Urade, P.; Jadhav, A.; Dheware, R. Studies on Physico-chemical properties of tamarind orchard soils of Latur district. J. Pharmacogn. Phytochem. 2019, 8, 2738–2740. [Google Scholar]
- Kai, T.; Mukai, M.; Araki, K.S.; Adhikari, D.; Kubo, M. Analysis of chemical and biological soil properties in organically and conventionally fertilized apple orchards. J. Agric. Chem. Environ. 2016, 5, 92–99. [Google Scholar] [CrossRef][Green Version]
- Raghothama, K.; Karthikeyan, A. Phosphate acquisition. Plant Soil 2005, 274, 37–49. [Google Scholar] [CrossRef]
- Hountin, J.; Karam, A.; Couillard, D.; Cescas, M. Use of a fractionation procedure to assess the potential for P movement in a soil profile after 14 years of liquid pig manure fertilization. Agric. Ecosyst. Environ. 2000, 78, 77–84. [Google Scholar] [CrossRef]
- Sharpley, A.; Tunney, H. Phosphorus research strategies to meet agricultural and environmental challenges of the 21st century. J. Environ. Qual. 2000, 29, 158–166. [Google Scholar] [CrossRef]
- Turner, B.L.; Condron, L.M.; Richardson, S.J.; Peltzer, D.A.; Allison, V.J. Soil organic phosphorus transformations during pedogenesis. Ecosystems 2007, 10, 1166–1181. [Google Scholar] [CrossRef]
- Yang, J.; Wang, Z.; Zhou, J.; Jiang, H.; Zhang, J.; Pan, P.; Han, Z.; Lu, C.; Li, L.; Ge, C. Inorganic phosphorus fractionation and its translocation dynamics in a low-P soil. J. Environ. Radioact. 2012, 112, 64–69. [Google Scholar] [CrossRef]
- Azeez, J.; Van Averbeke, W. Fate of manure phosphorus in a weathered sandy clay loam soil amended with three animal manures. Bioresour. Technol. 2010, 101, 6584–6588. [Google Scholar] [CrossRef]
- Frossard, E.; Condron, L.M.; Oberson, A.; Sinaj, S.; Fardeau, J. Processes governing phosphorus availability in temperate soils. J. Environ. Qual. 2000, 29, 15–23. [Google Scholar] [CrossRef]
- Chen, C.; Condron, L.; Davis, M.; Sherlock, R. Seasonal changes in soil phosphorus and associated microbial properties under adjacent grassland and forest in New Zealand. For. Ecol. Manag. 2003, 177, 539–557. [Google Scholar] [CrossRef]
- Perrott, K.; Sarathchandra, S.; Waller, J. Seasonal storage and release of phosphorus and potassium by organic matter and the microbial biomass in a high producing pastoral soil. Soil Res. 1990, 28, 593–608. [Google Scholar] [CrossRef]
- Zeng, D.; Hu, Y.; Chang, S.; Fan, Z. Land cover change effects on soil chemical and biological properties after planting Mongolian pine (Pinus sylvestris var. mongolica) in sandy lands in Keerqin, northeastern China. Plant Soil 2009, 317, 121–133. [Google Scholar] [CrossRef]
- Farley, K.A.; Kelly, E.F. Effects of afforestation of a páramo grassland on soil nutrient status. For. Ecol. Manag. 2004, 195, 281–290. [Google Scholar] [CrossRef]
- Ilg, K.; Wellbrock, N.; Lux, W. Phosphorus supply and cycling at long-term forest monitoring sites in Germany. Eur. J. For. Res. 2009, 128, 483–492. [Google Scholar] [CrossRef]
- Ilg, K. Machbarkeitsstudie zur Bilanzierung von Phosphor Auf Level-II-Flächen und Ihre Übertragbarkeit auf Standorte der BZE II: Laufzeit: Juni-Oktober 2007; Inst. für Forstökologie und Walderfassung: Hamburg, Germany, 2007. [Google Scholar]
- Hedley, M.; Stewart, J.; Chauhan, B. Changes in inorganic and organic soil phosphorus fractions induced by cultivation practices and by laboratory incubations. Soil Sci. Soc. Am. J. 1982, 46, 970–976. [Google Scholar] [CrossRef]
- Throop, H.; Archer, S.; Monger, H.; Waltman, S. When bulk density methods matter: Implications for estimating soil organic carbon pools in rocky soils. J. Arid. Environ. 2012, 77, 66–71. [Google Scholar] [CrossRef]
- Stevenson, F.J.; Cole, M.A. Cycles of Soils: Carbon, Nitrogen, Phosphorus, Sulfur, Micronutrients; John Wiley & Sons: Hoboken, NJ, USA, 1999. [Google Scholar]
- Johnson, A.H.; Frizano, J.; Vann, D.R. Biogeochemical implications of labile phosphorus in forest soils determined by the Hedley fractionation procedure. Oecologia 2003, 135, 487–499. [Google Scholar] [CrossRef]
- Hooper, D.U.; Vitousek, P.M. Effects of plant composition and diversity on nutrient cycling. Ecol. Monogr. 1998, 68, 121–149. [Google Scholar] [CrossRef]
- Wright, A.L. Soil phosphorus stocks and distribution in chemical fractions for long-term sugarcane, pasture, turfgrass, and forest systems in Florida. Nutr. Cycl. Agroecosyst. 2009, 83, 223–231. [Google Scholar] [CrossRef]
- Alt, F.; Oelmann, Y.; Herold, N.; Schrumpf, M.; Wilcke, W. Phosphorus partitioning in grassland and forest soils of Germany as related to land-use type, management intensity, and land use-related pH. J. Plant Nutr. Soil Sci. 2011, 174, 195–209. [Google Scholar] [CrossRef]
- Cambardella, C.; Gajda, A.; Doran, J.; Wienhold, B.; Kettler, T.; Lal, R. Estimation of particulate and total organic matter by weight loss-on-ignition. Assess. Methods Soil Carbon 2001, 1, 349–359. [Google Scholar]
- Kirk, P.L. Kjeldahl Method for Total Nitrogen. Anal. Chem. 1950, 22, 354–358. [Google Scholar] [CrossRef]
- Huluka, G.; Miller, R. Particle size determination by hydrometer method. South. Coop. Ser. Bull. 2014, 419, 180–184. [Google Scholar]
- Miller, R.O.; Gavlak, R.; Horneck, D. Soil, plant and water reference methods for the western region. West. Reg. Ext. Publ. 2013, 125. [Google Scholar]
- Dou, Z.; Toth, J.; Galligan, D.; Ramberg, C., Jr.; Ferguson, J. Laboratory Procedures for Characterizing Manure Phosphorus; 0047-2425; Wiley Online Library: Hoboken, NJ, USA, 2000; Volume 29, pp. 508–514. [Google Scholar]
- Eneji, A.E.; Honna, T.; Yamamoto, S.; Masuda, T.; Endo, T.; Irshad, M. Changes in humic substances and phosphorus fractions during composting. Commun. Soil Sci. Plant Anal. 2003, 34, 2303–2314. [Google Scholar] [CrossRef]
- Murphy, J.; Riley, J.P. A modified single solution method for determination of phosphate in natural waters. Anal. Chim. Acta 1962, 27, 31–36. [Google Scholar] [CrossRef]
- Shuman, L.M. Effect of Phosphorus level on extractable micronutrients and their distribution among soil fractions. Soil Sci. Soc. Am. J. 1988, 52, 136–141. [Google Scholar] [CrossRef]
- Condron, L.M.; Newman, S. Revisiting the fundamentals of phosphorus fractionation of sediments and soils. J. Soils Sediments 2011, 11, 830–840. [Google Scholar] [CrossRef]
- Zhao, Q.; Zeng, D.; Lee, D.; He, X.; Fan, Z.; Jin, Y. Effects of Pinus sylvestris var. mongolica afforestation on soil phosphorus status of the Keerqin Sandy Lands in China. J. Arid. Environ. 2007, 69, 569–582. [Google Scholar] [CrossRef]
- Condron, L.M.; Turner, B.L.; Cade-Menun, B.J. Chemistry and dynamics of soil organic phosphorus. Phosphorus Agric. Environ. 2005, 46, 87–121. [Google Scholar]
- Zhang, M.; Wright, R.; Heaney, D.; Vanderwel, D. Comparison of different phosphorus extraction and determination methods using manured Soils. Can. J. Soil Sci. 2004, 84, 469–475. [Google Scholar]
- Jobbágy, E.G.; Jackson, R.B. The vertical distribution of soil organic carbon and its relation to climate and vegetation. Ecol. Appl. 2000, 10, 423–436. [Google Scholar] [CrossRef]
- Bungau, S.; Behl, T.; Aleya, L.; Bourgeade, P.; Aloui-Sossé, B.; Purza, A.L.; Abid, A.; Samuel, A.D. Expatiating the impact of anthropogenic aspects and climatic factors on long term soil monitoring and management. Environ. Sci. Pollut. Res. 2021, 202, 30528–30550. [Google Scholar] [CrossRef]
- Gitea, M.A.; Gitea, D.; Tit, D.M.; Purza, L.; Samuel, A.D.; Bungău, S.; Badea, G.E.; Aleya, L. Orchard management under the effects of climate change: Implications for apple, plum, and almond growing. Environ. Sci. Pollut. Res. 2019, 26, 9908–9915. [Google Scholar] [CrossRef]
- Samuel, A.D.; Tit, D.M.; Melinte, C.E.; Iovan, C.; Purza, L.; Gitea, M.; Bungau, S. Enzymological and physicochemical evaluation of the effects of soil management practices. Rev. Chim. 2019, 68, 2243–2247. [Google Scholar] [CrossRef]
- Sugihara, S.; Funakawa, S.; Nishigaki, M.; Kilasara, M.; Kosaki, T. Dynamics of fractionated P and P budget in soil under different land management in two Tanzanian croplands with contrasting soil textures. Agric. Ecosyst. Environ. 2012, 162, 101–107. [Google Scholar] [CrossRef]
- Chirino-Valle, I.; Davis, M.; Condron, L.M. Impact of different tree species on soil phosphorus immediately following grassland afforestation. J. Soil Sci. Plant Nutr. 2016, 16, 477–489. [Google Scholar] [CrossRef]
- Zheng, Z.; Zhang, T. Soil phosphorus tests and transformation analysis to quantify plant availability: A review. Soil Fertil. Improv. Integr. Nutr. Manag. Glob. Perspect. 2011, 1, 19–36. [Google Scholar]
- Augusto, L.; Achat, D.L.; Jonard, M.; Vidal, D.; Ringeval, B. Soil parent material—A major driver of plant nutrient limitations in terrestrial ecosystems. Glob. Change Biol. 2017, 23, 3808–3824. [Google Scholar] [CrossRef]
- Zederer, D.P.; Talkner, U. Organic P in temperate forest mineral soils as affected by humus form and mineralogical characteristics and its relationship to the foliar P content of European beech. Geoderma 2018, 325, 162–171. [Google Scholar] [CrossRef]
- Perakis, S.S.; Pett-Ridge, J.C.; Catricala, C.E. Nutrient feedbacks to soil heterotrophic nitrogen fixation in forests. Biogeochemistry 2017, 134, 41–55. [Google Scholar] [CrossRef]
- Shang, C.; Stewart, J.; Huang, P. pH effect on kinetics of adsorption of organic and inorganic phosphates by short-range ordered aluminum and iron precipitates. Geoderma 1992, 53, 1–14. [Google Scholar] [CrossRef]
- Turner, B.; Blackwell, M. Isolating the influence of pH on the amounts and forms of soil organic phosphorus. Eur. J. Soil Sci. 2013, 64, 249–259. [Google Scholar] [CrossRef]
- Manghabati, H.; Kohlpaintner, M.; Ettl, R.; Mellert, K.; Blum, U.; Göttlein, A. Correlating phosphorus extracted by simple soil extraction methods with foliar phosphorus concentrations of Picea abies (L.) H. Karst. and Fagus sylvatica (L.). J. Plant Nutr. Soil Sci. 2018, 181, 547–556. [Google Scholar] [CrossRef]
- Prietzel, J.; Stetter, U. Long-term trends of phosphorus nutrition and topsoil phosphorus stocks in unfertilized and fertilized Scots pine (Pinus sylvestris) stands at two sites in Southern Germany. For. Ecol. Manag. 2010, 259, 1141–1150. [Google Scholar] [CrossRef]
- Lang, F.; Krüger, J.; Amelung, W.; Willbold, S.; Frossard, E.; Bünemann, E.K.; Bauhus, J.; Nitschke, R.; Kandeler, E.; Marhan, S. Soil phosphorus supply controls P nutrition strategies of beech forest ecosystems in Central Europe. Biogeochemistry 2017, 136, 5–29. [Google Scholar] [CrossRef]
- Mo, Q.; Li, Z.A.; Sayer, E.J.; Lambers, H.; Li, Y.; Zou, B.; Tang, J.; Heskel, M.; Ding, Y.; Wang, F. Foliar phosphorus fractions reveal how tropical plants maintain photosynthetic rates despite low soil phosphorus availability. Funct. Ecol. 2019, 33, 503–513. [Google Scholar] [CrossRef]








| Sites | Soil Depth | pH | EC dS/m | SOM (%) | CaCO3 (%) | Clay (%) | Texture | CEC meq/100 g |
|---|---|---|---|---|---|---|---|---|
| Citrus control | 00–25 | 7.8 | 0.24 | 1.8 | 6.4 | 23 | Sandy clay loam | 16.2 |
| 25–50 | 7.6 | 0.25 | 1.5 | 6.5 | 28 | Sandy clay loam | 14.3 | |
| Citrus orchard | 00–25 | 8.2 | 1.28 | 4.6 | 6.6 | 34 | Sandy clay | 18.9 |
| 25–50 | 7.9 | 1.29 | 4.8 | 5.9 | 36 | Sandy clay | 18.5 | |
| Guava control | 00–25 | 8.3 | 0.28 | 1.6 | 5.7 | 16 | Sandy loam | 17.0 |
| 25–50 | 7.8 | 0.38 | 1.4 | 6.2 | 18 | Sandy loam | 16.5 | |
| Guava orchard | 00–25 | 8.5 | 1.29 | 3.0 | 5.8 | 20 | Sandy loam | 22.5 |
| 25–50 | 8.4 | 1.23 | 3.3 | 5.1 | 32 | Sandy clay loam | 14.3 | |
| Loquat control | 00–25 | 7.8 | 0.27 | 1.6 | 6.5 | 28 | Sandy clay loam | 14.8 |
| 25–50 | 8.2 | 0.26 | 1.1 | 6.6 | 26 | Sandy clay loam | 13.3 | |
| Loquat orchard | 00–25 | 8.7 | 1.33 | 4.9 | 5.7 | 36 | Sandy clay loam | 27.6 |
| 25–50 | 8.4 | 1.37 | 4.3 | 5.9 | 35 | Sandy clay loam | 24.6 | |
| Tukey (0.05) | 0.2 | 0.02 | 0.1 | 0.3 | 1.6 | 1.3 | ||
| Sites | Soil Depth (cm) | N | P | Ca | Mg | K |
|---|---|---|---|---|---|---|
| Citrus control | 00–25 | 224 ± 12 | 1299 ± 23 | 1284 ± 10 | 1093 ± 16 | 5282 ± 35 |
| 25–50 | 202 ± 15 | 1133 ± 30 | 1127 ± 12 | 1100 ± 18 | 5520 ± 30 | |
| Citrus orchard | 00–25 | 279 ± 18 | 1347 ± 33 | 1444 ± 10 | 1065 ± 24 | 6649 ± 40 |
| 25–50 | 294 ± 10 | 1259 ± 22 | 1430 ± 17 | 1062 ± 22 | 6532 ± 32 | |
| Guava control | 00–25 | 226 ± 17 | 1358 ± 21 | 1317 ± 18 | 878 ± 12 | 4311 ± 32 |
| 25–50 | 226 ± 21 | 1112 ± 14 | 1390 ± 20 | 899 ± 10 | 4395 ± 26 | |
| Guava orchard | 00–25 | 318 ± 16 | 1433 ± 21 | 1847 ± 11 | 1108 ± 18 | 5147 ± 26 |
| 25–50 | 294 ± 16 | 1183 ± 26 | 1744 ± 13 | 1089 ± 12 | 5440 ± 25 | |
| Loquat control | 00–25 | 221 ± 24 | 1016 ± 27 | 1319 ± 13 | 1087 ± 22 | 4316 ± 34 |
| 25–50 | 252 ± 13 | 1026 ± 22 | 1147 ± 19 | 977 ± 25 | 4147 ± 29 | |
| Loquat orchard | 00–25 | 459 ± 12 | 1557 ± 24 | 2440 ± 21 | 1475 ± 20 | 6440 ± 31 |
| 25–50 | 434 ± 10 | 1333 ± 20 | 2391 ± 22 | 1398 ± 20 | 6280 ± 30 | |
| Tukey (0.05) | 3.8 | 19.2 | 15.6 | 13.8 | 32.7 | |
| P Fractions (mg kg−1) | SOM | Clay | CEC | pH |
|---|---|---|---|---|
| (%) | (%) | (meq/100 g) | …… | |
| H2O | 0.65 | 0.56 | 0.56 | −0.34 |
| NaHCO3 | 0.86 | 0.57 | 0.77 | −0.47 |
| NaOH | 0.69 | 0.60 | 0.65 | −0.27 |
| HCl | 0.66 | 0.57 | 0.59 | 0.13 |
| Residual | 0.77 | 0.63 | 0.68 | 0.36 |
Publisher’s Note: MDPI stays neutral with regard to jurisdictional claims in published maps and institutional affiliations. |
© 2022 by the authors. Licensee MDPI, Basel, Switzerland. This article is an open access article distributed under the terms and conditions of the Creative Commons Attribution (CC BY) license (https://creativecommons.org/licenses/by/4.0/).
Share and Cite
Bibi, S.; Irshad, M.; Mohiuddin, M.; Sher, S.; Tariq, M.A.U.R.; Ng, A.W.M. Distribution of Phosphorus Fractions in Orchard Soils in Relation to Soil Properties and Foliar P Contents. Sustainability 2022, 14, 3966. https://doi.org/10.3390/su14073966
Bibi S, Irshad M, Mohiuddin M, Sher S, Tariq MAUR, Ng AWM. Distribution of Phosphorus Fractions in Orchard Soils in Relation to Soil Properties and Foliar P Contents. Sustainability. 2022; 14(7):3966. https://doi.org/10.3390/su14073966
Chicago/Turabian StyleBibi, Sumera, Muhammad Irshad, Muhammad Mohiuddin, Sadaf Sher, Muhammad Atiq Ur Rehman Tariq, and Anne Wai Man Ng. 2022. "Distribution of Phosphorus Fractions in Orchard Soils in Relation to Soil Properties and Foliar P Contents" Sustainability 14, no. 7: 3966. https://doi.org/10.3390/su14073966
APA StyleBibi, S., Irshad, M., Mohiuddin, M., Sher, S., Tariq, M. A. U. R., & Ng, A. W. M. (2022). Distribution of Phosphorus Fractions in Orchard Soils in Relation to Soil Properties and Foliar P Contents. Sustainability, 14(7), 3966. https://doi.org/10.3390/su14073966

