Next Article in Journal
Teaching in Secondary Education Teacher Training with a Hybrid Model: Students’ Perceptions
Previous Article in Journal
Experimental Francis Turbine Cavitation Performances of a Hydro-Energy Plant
 
 
Font Type:
Arial Georgia Verdana
Font Size:
Aa Aa Aa
Line Spacing:
Column Width:
Background:
Article

Thermal Resistance of 30° Sloped, Enclosed Airspaces Subjected to Upward Heat Flow

1
Prince Saud Bin Thuniyan Research Center, Mechanical Engineering Department, Jubail University College, Royal Commission for Jubail & Yanbu, P.O. Box 10074, Jubail Industrial City 31961, Saudi Arabia
2
Kuwait Institute for Scientific Research, P.O. Box 24885, Safat 13109, Kuwait
*
Author to whom correspondence should be addressed.
Sustainability 2022, 14(6), 3260; https://doi.org/10.3390/su14063260
Submission received: 9 January 2022 / Revised: 1 March 2022 / Accepted: 3 March 2022 / Published: 10 March 2022

Abstract

Heat transmission across an enclosed space is determined by the type of filling gas, the temperatures and long-wave emissivities of all surfaces that define the space, and the heat flow direction. The ASHRAE Handbook of Fundamentals provides the thermal resistances (R-values) of enclosed airspaces with only five effective emittance values (E) for vertical, horizontal, and 45° airspaces. ASHRAE R-values do not include the case of 30° sloped airspaces. In addition, ASHRAE R-values ignore the impact of the airspace aspect ratio (A) on R-values. However, many previous studies, as well as this study, have shown that A can have a significant effect on the R-value. Previously, correlations were developed for determining the R-values for vertical (90°) airspaces subjected to horizontal heat flow, horizontal (0°) airspaces subjected to up and down heat flow, 45° airspaces subjected to up and down heat flow, and 30° airspaces subjected to downward heat flow. To the authors’ knowledge, no such correlation existed for determining the R-value of 30° airspaces subjected to upward heat flow, which is developed in this paper. The potential increase in R-value by placing a thin layer of varied emittance on both sides in the middle of the airspace was also considered. Architects and building designers can use the developed correlation to compute the R-values of airspaces of various values for A and E and various operating conditions. This correlation along with the previous correlations can be included in the current energy models (e.g., EnergyPlus, ESP-r, DOE, and Design Builder).

1. Introduction

Sustainable development and building practices have acquired great importance due to the negative impact of various development projects on the environment. Buildings are the major electricity consumers in the world. Sustainable building envelopes that are designed with the goal of reducing energy consumption are likely to minimize building operating loads and, as a result, energy consumption over time [1,2,3]. Additionally, reducing energy consumption will also mitigate the greenhouse gas emissions from the fossil fuel power plants.
Continuous updates in the thermal resistances (R-values) of building components and building codes, and the implementation of state-of-the-art smart/green efficient technologies will improve the overall energy efficiency for different types of buildings. Blumberg, in 2018 [4], analyzed the effectiveness of local NYC building codes in promoting energy efficiency and regulating greenhouse gas emissions. He studied the importance of building efficiency and its effect on the global climate. The major challenge in achieving sustainable or green buildings is to design, construct, and operate these buildings in such a way to use a minimum of energy, produce a minimum of pollution, and reduce the cost of energy consumption to a minimum, while increasing the comfort, health, and safety of the people who live and work in these buildings [5].
Generally, sustainability considers the interrelationships between buildings, their components, including their energy and water use, their surroundings, and their occupants [6]. Among the strategies related to building sustainability is to explore methods to encourage and facilitate the recycling and reuse of building materials [5]. The reflective insulation materials, which are the focus of this study, are among of the building materials that can be recycled and reused.
The use of various thermal insulations is a practical solution toward designing high-energy efficiency buildings subjected to harsh climates. This is achievable by improving the effective thermal resistance (R-value) of building components. In walls and roofs, reflective insulations (RIs) with low-emissivity (low-e) are often utilized with mass insulation (e.g., glass fiber, EPS, etc.). RIs with low-e have been studied for over 100 years and have been used to reduce the thermal radiation inside airspaces of building components [7,8,9]. The Reflective Insulation Manufacturers Association International (RIMA-I) recommends installing RI materials with at least one low-e surface facing air or other gasses, e.g., Ar, Kr, and Xe [10]. RIs are currently used in walls, roofs, insulating glass units (IGUs), between joists, and in metallic structures [11,12].
Many computational and experimental studies have investigated the thermal performance of spaces facing low-e surfaces. Gross and Miller [13] reviewed the applications of RIs for minimizing the heat transmission through airspaces. Fricker and Yarbrough [14] reviewed four computer techniques for assessing enclosed reflective airspaces’ R-values. As all four techniques assumed 1D heat transmission between large parallel surfaces, the influence of airspace aspect ratio (A) on R-values was ignored [14]. Glicksman [15] demonstrated that the heat transmission between parallel surfaces and frames reduced overall the thermal resistance. Robinson et al. [16,17,18] estimated the R-values of airspaces using experimental data acquired from tests of panels of various thicknesses using the ASTM C236-53 [19].
ASHRAE [20] provides R-values of airspaces with inclination angles (θ) of 0° (horizontal), 45°, and 90° (vertical). These values were calculated using data from Robinson et al. [16,17,18]. These values are provided for airspaces with a variety of parameters, including: (a) thickness (D = 13, 20, 40, and 90 mm), (b) average temperature (Tavg = 32.2, 10, −17.8, and −45.6 °C), (c) temperature difference (ΔT = 5.6, 11.1, and 16.7 °C), and (d) effective emittance (E = 0.03, 0.05, 0.2, 0.5, and 0.82). It is worth noting that the ASHRAE R-values do not include R-values for airspaces of low slope. Additionally, ASHRAE does not account for the influence of A on the R-values [20].
Previously, correlations were developed for determining R-values of vertical (θ = 90°) airspace subjected to horizontal heat flow [21], horizontal (θ = 0°) airspace subjected to upward heat flow [22] and down [23], 45° airspace subjected to upward heat flow [24] and down [25], and 30° airspace subjected to downward heat flow [26]. Unlike the ASHRAE R-values [20], the findings of the previous studies demonstrated that the aspect ratio (A) can significantly affect the R-values. In addition, these studies looked into the increase in R-value due to placing thin layer with varying emissivity on both sides in the middle of airspace (e.g., see Figure 1b).
The findings revealed that, by adding this thin layer, the R-value can be doubled or tripled depending on the values of E, D, and θ as well as the heat flow direction [21,22,23,24,25,26]. Existing studies have not evaluated the thermal performance and determined the R-values of 30° airspace subjected to upward heat flow. Thus, the previous studies [21,22,23,24,25,26] are extended in this study to assess the thermal performance of 30° airspace of different dimensions and subjected to upward heat flow at various operation conditions.
By using a validated numerical model, briefly described next, the performance of 30° airspace subjected to upward heat flow is investigated in this paper. Hence, the main objectives of this research study are to:
  • Investigate the potential increase in R-value when thin layer of various emissivities is placed in the middle of airspace as shown in Figure 1b.
  • Investigate the effect of A on the R-value for various values for E, D, Tavg, and ΔT.
  • Finally, develop a correlation for calculating R-value that covers various values for E, D, A, Tavg, and ΔT.

2. Model Description, Simulation Parameters, and Boundary Conditions

The model that was used in previous several studies [21,22,23,24,25,26] as well as this study simultaneously solves the energy equation, surface-to-surface radiation equation in airspace, and the transport equations (i.e., continuity equation and momentum equation) for the air filling the space (see Figure 1). The full details of these equations are not provided in this paper as they are available in Appendix A of reference [27].
The numerical approach of the present model uses the finite element method (FEM) to discretize these equations. To assure that the numerical results were mesh-independent, a non-uniform mesh was selected with finer sizes near the boundaries in order to capture the thermal and momentum boundary layers (see Figure 1c,d). Typically, the numerical mesh was refined by doubling the number of nodes until the final results did not appreciably change.
In building applications, such as those related to this study, there are two standard test methods that are currently used, namely: (a) a guarded hot box in accordance with the test method of ASTM C-1363 [28] and (b) a heat flow meter in accordance with the test method of ASTM C-518 [29]. The present model was validated against the test data from these test methods as provided below.
On the other hand, for buoyancy driven flow inside an enclosed airspace (the subject of this research study), to the authors’ best knowledge, there is no such standard test method available that can be used to validate the model with respect to the temperature and/or air velocity distributions inside the enclosed airspaces. As such, a future research study is recommended in which a non-isothermal test method can be developed in order to conduct measurements for the temperature and air velocity distributions that are resulted in due to buoyancy driven flow inside the enclosed airspaces. Thereafter, these measurements will be used to conduct model validations.
The model was extensively benchmarked against test results obtained using the standard test method for the thermal performance of building assemblies by means of a hot box apparatus “ASTM C1365” [28] and the standard test method for steady-state heat flux measurements and thermal transmission properties by means of the heat flow meter apparatus “ASTM C518” [29].
The test R-value for a full-scale wall system (8 ft × 8 ft) with reflective insulation obtained using a Guarded Hot Box (GHB) was compared with the model R-value. This wall featured 2 × 6 in wood framing, stud cavities filled with friction-fit glass fiber batt insulation, and a layer of foil-lined fiberboard installed to the interior side of the framing, with the foil facing a furred-airspace. The results showed that the model R-value was in good agreement with the test R-value (within 1.2%, [30]).
The model was benchmarked against experimental data obtained from a number of sample stacks featuring different types of reflective insulations that were obtained using heat flow meters (in accordance with the ASTM C-518 test method). The calculated heat fluxes on the hot- and cold-surfaces of the sample stacks were compared with test data. The calculated heat fluxes were in good agreement with test data, within ± 1.0%, [31].
For various airspace thicknesses (13, 20, 40, and 90 mm), average temperatures (32.2, 10.0, −17.8, and −45.6 °C), temperature differences (5.6, 11.1, and 16.7 °C) and effective emittances (0.03, 0.05, 0.2, 0.5, and 0.82), the model R-values were compared with ASHRAE R-values [20] for vertical enclosed-airspaces with horizontal heat flow [21], horizontal enclosed-airspaces with upward heat flow [22] and downward heat flow [23], and 45° enclosed-airspaces with upward heat flow [24] and heat flow [25].
Most recently, for vertical single and double airspaces (θ = 90°) subjected to horizontal heat flow as well as horizontal single and double airspaces (θ = 0°) subjected to up and down heat flow, the model was also validated by comparing its predictions with the HRP 32 R-values [18]. For a wide range of E, both predicted and HRP 32 R-values for single- and double-airspaces with different heat flow directions were in good agreement (see [27] for more details).
In a recent study [32], the model was used to provide an economical way to evaluate potential design and detect areas for installation guidance of reflective insulations. In that study, the model was used to investigate the thermal performance of attic radiant barriers as well as the impact of the emittance of the roof deck and the emittance of the attic floor on the effective R-values. Additionally, for a variety of A, θ, operating conditions, and heat flow directions, the model was used to investigate the effects of cross-flow between adjacent reflective airspaces as well as the imperfect installation of low-e thin layers on the effective R-values of airspaces [32].
For the 30° airspace subjected to upward heat flow, Figure 1 shows that the boundary conditions used to solve the energy equation: (a) temperature conditions on top surface with low temperature of TL and the bottom surface with high temperature of TH, and (b) adiabatic conditions on the right surface and the left surface. In order to calculate the airspace R-values, both the right and left surfaces must be treated as thermally insulated/adiabatic [21,22,23,24,25,26]. The boundary conditions used to solve the transport equations for the air filling the space are no-slip conditions on all surfaces for 1-SP case (Figure 1a) and 2-SP case (Figure 1b). According to Figure 1, the surface-to-surface radiation equation was subjected to various emittance values (E1 and E2).
A prior paper [32]. examined the scenario of 30° airspace subjected to downward heat flow. For the 30° airspace subjected to upward heat flow, Figure 1a shows an illustration for an airspace with a low-e on one sloped surface (E1). The other airspace surfaces have high emissivity (E2). As most building materials have emissivity of 0.9 [20], the E2 value was set at 0.9. The numerical simulations in this work were performed for a range of E1 of 0–0.9.
Consequently, the effective emittance, E (see the E expression provided in Figure 1) ranged between 0 and 0.82. The E value of 0.82 denotes the scenario when all airspace surfaces have emissivity of 0.9 (i.e., no low-e material/coating exists in airspace), while E = 0.0 denotes the scenario of entirely reflecting surfaces (i.e., no heat transfer by radiation takes place in the airspace). For the full E range (0.0–0.82), the simulations were performed for the same parameters used in ASHRAE for D, ΔT, and Tavg [20].
The enclosed airspace thickness that is considered in this study includes 13, 20, 40, and 90 mm. The airspace thicknesses of 13 and 20 mm are needed for building components, such as double/triple glazing windows, curtain walls, and planner skylight systems. The airspace thickness of 20 and 40 mm are needed for the case of furred-airspace assemblies incorporating low-e foil facing the airspace in wall and roofing systems.
Additionally, the airspace thickness of 90 mm is needed for the case of 2 × 4 wood-framing systems in which low-e foil is installed on of the surface facing the airspace of either gypsum board or the structural sheathing (e.g., OSB). A wide range of airspace length, L (203 mm (8 inch)–2438 mm (8 ft)) was considered to cover most building applications and as well to study the effect of aspect ratio, A (A = L/D) on R-value, and then to develop correlations for calculating the airspace R-values.
Simulations were also performed to evaluate the increase in the airspace R-values when a low-e layer of 0.1 mm thick is incorporated in the airspace as shown in Figure 1b. This layer divides the main airspace into two airspaces of equal thickness. The case in which there is no thin layer (i.e., single-space) is referred to as “1-SP” (Figure 1a), whereas the case with the layer in middle of the airspace (i.e., double-space) is referred to as “2-SP” (Figure 1b).

3. Results and Discussions

This section discusses a comparison between R-values for 1-SP and 2-SP cases and the impact of the aspect ratio (A) on R-value. Considerations are given to investigate the effect of up and down heat flow on the R-values of 30° airspaces. Finally, a correlation for calculating R-value of 30° airspace with upward heat flow has been developed.

3.1. Effects of Heat Flow Direction on R-Values

For the 30° airspace, the scenario of downward heat flow through RIs represents the case of summer season and/or hot climates, whereas the scenario of upward heat flow represents the case of winter season and/or cold climates. Similar to other airspaces of varying inclination angles [21,22,23,24,25,26], the convective heat transfer rate inside the 30° airspace depends on the heat flow direction.
For the 30° airspace of L = 305 mm, Tavg = 10 °C, ΔT = 16.7 °C, E1 = 0.05, and E2 = 0.9, Figure 2a, Figure A1a, Figure A2a and Figure 3a for airspace of D = 90 mm and Figure 4a, Figure A3a, Figure A4a and Figure 5a for D = 40 mm, respectively, show the contours of the temperature (T), vertical velocity (Vy), horizontal velocity (Vx), and resultant velocity (Vr) in airspace with downward heat flow. The corresponding results for airspace for upward heat flow are provided in Figure 2b, Figure A1b, Figure A2b and Figure 3b for D = 90 mm and Figure 4b, Figure A3b, Figure A4b and Figure 5b for D = 40 mm. The airflow streamlines are also shown in these figures.
Same contouring levels are employed to present air velocities provided in these figures for the scenarios of up and down heat flow. Additionally, the Reynolds number at the mid length of the enclosed airspaces for the cases of “1-SP” and “2-SP” of both the upward heat flow and the downward heat flow are provided in Figure 2, Figure 3, Figure 4 and Figure 5. As shown in these figures, the highest values of the Reynolds number were 199 for D = 90 mm and 131 for D = 40 mm and occurred for the case of “1-SP” with upward heat flow.
To determine the type of airflow regime due to buoyancy driven flow inside the 30° enclosed-airspaces, the Rayleigh number, Ra ( Ra = ρ 2   g   β   Cp   abs ( T Wall T )   D 3 / ( μ λ ) , where T Wall is the airspace wall temperature) was calculated for enclosed-airspaces of 90 and 40 mm, and 305 mm long for 1-SP and 2-SP cases when they were subjected to up and down heat flow at an average temperature Tavg of 10.0 °C and a temperature difference ΔT of 16.7 °C (i.e., a cold wall temperature TL of 1.65 °C and a hot wall temperature TH of 18.35 °C).
As an example for the case of E1 = 0.05 and E2 = 0.9, the calculated Ra were obtained for two scenarios, namely: (a) T Wall is equal to the hot wall temperature ( Ra =   Ra HW ), and (b) T Wall is equal to the wall cold temperature ( Ra =   Ra CW ). The obtained results are provided in Appendix A for Ra HW (see Figure A5, Figure A7 and Figure A9) and Ra CW (see Figure A6, Figure A8 and Figure A10). The corresponding results for the temperature distributions and air velocity distributions are available in Figure 2 and Figure 4 and Figure 3 and Figure 5 and Figure A1, Figure A2, Figure A3 and Figure A4.
For the cases of 1-SP and 2-SP, the results provided in Figure A5, Figure A6, Figure A7, Figure A8, Figure A9 and Figure A10 were used to determine the area-weighted average Rayleigh number ( Ra HW , avg and Ra CW ,   avg ) and the line-weighted average Rayleigh number at the mid length of the airspaces ( Ra HW , L / 2 and Ra CW ,   L / 2 ). These results are listed in Table 1. The results of the Rayleigh number values provided in Figure A5, Figure A6, Figure A7, Figure A8, Figure A9 and Figure A10 and Table 1 are for the case of ΔT of 16.7 °C, which is the highest value of ΔT in this research study.
As such, the corresponding Rayleigh number values for other cases of various ΔT would be smaller than those provided in Figure A5, Figure A6, Figure A7, Figure A8, Figure A9 and Figure A10 and Table 1. As shown in Table 1, the highest values for the Rayleigh numbers (9.63 × 105 for D = 90 mm and 7.88 × 104 for D = 40 mm) are well below 109, indicating that the airflow regime inside the enclosed-airspaces of 1-SP and 2-SP is laminar.
The temperatures of the enclosed-airspace surfaces are low for building applications (e.g., walls, roofs, windows, curtain walls, and skylights) in relation to other applications. However, the effect of heat transfer by radiation still has a significant effect on the R-values of the enclosed-airspaces, for example, see the R-values shown in the Figure 6, Figure 7, Figure 8, Figure 9, Figure 10, Figure 11, Figure 12, Figure 13 and Figure 14 at effective emittance (E) = 0 (i.e., no heat transfer by radiation) and other values of E. As such, reflective insulations with low-emittance foils/coatings are widely used in building components incorporating enclosed-airspaces (walls, roofs, and multi-pane glazing systems, such as windows, curtain walls, and skylights) to increase their R-values.
For the given operating conditions and dimensions of airspace of various orientations in the absence of convection, the rates of heat transfer by both radiation and conduction must be same for both scenarios of up and down heat flow (see [27] for more details). However, the convection contribution is greatly dependent on both the airspace orientation and heat flow direction. In previous studies [21,22,23,24,25,26], the magnitude of air velocity as well as the number of convective cells (N) per unit airspace length, NL (NL = N/L), were shown to have interactive impacts on airspace R-values with 1-SP or 2-SP.
For the given values of L, D, E, ΔT, and Tavg, these impacts resulted in greater airspace R-values for the 2-SP case as compared to that for the 1-SP case. For the 30° airspace with up and down heat flow, many factors influence the R-value in an interactive and interrelated manner as follows:
  • Conduction and radiation should transport heat in both airspaces with up and down heat flow equally if there is no convectional heat transfer at the same D, E, ΔT, Tavg, and number of airspaces. This implies that the R-values of both airspaces must be equal.
  • Due to the buoyancy effect, an airspace subjected to downward heat flow would lead to relatively stable stratification of the air inside airspace. By comparing the temperature distributions provided in Figure 2a and Figure 4a for the scenario of downward heat flow with those provided in Figure 2b and Figure 4b for the scenario of upward heat flow, more air stratification in the airspace subjected to downward heat flow occurred in relation with that for upward heat flow.
  • Figure A1b, Figure A2b and Figure 3b for D = 90 mm, and Figure A3b, Figure A4b and Figure 5b for D = 40 mm, show that the velocity of the air in 30° airspace subjected to upward heat flow was higher than that in the same airspace subjected to downward heat flow (see Figure A1a, Figure A2a and Figure 3a for D = 90 mm, and Figure A3a, Figure A4a and Figure 5a for D = 40 mm). As provided in Table 2 for both situations of 1-SP and 2-SP subjected to upward heat flow, the highest resultant velocity, Vr,max, was 115.6 and 66.9 mm/s for D = 90 mm and 82.4 and 43.0 mm/s for D = 40 mm.
  • These air velocities were 97% and 62% higher than those for the case of downward heat flow (58.7 and 41.2 mm/s) for D = 90 mm and 13% and 29% higher than those with downward heat flow (72.9 and 33.3 mm/s) for D = 40 mm. As a result, the convective heat transfer rate in airspaces with downward heat flow would be lower than that in airspaces subjected to upward heat flow, leading to lower thermal conductance (i.e., higher R-value) for the downward heat flow scenario than that for the upward heat flow scenario.
  • As previously shown for airspace of the same L, D, E, Tavg, and ΔT [22,31], a larger NL value improved the thermal conductance, leading to a smaller R-value. For the 30° airspace of 90 mm thick, the 1-SP case contained one convective cell with two small vortices for the scenario of downward heat flow (Figure 3a) and one convective cell with four small vortices for the case of upward heat flow (Figure 3b). Furthermore, for the same thickness (D = 90 mm), each space in the 2-SP case had one convective cell for downward heat flow (Figure 3a) and three convective cells of varying sizes for upward heat flow (Figure 3b).
  • In addition, for the 30° airspace of 40 mm thick, the 1-SP scenario contained one convective cell for the scenario of downward heat flow (Figure 5a) and five convective cells of varying sizes for the scenario of upward heat flow (Figure 5b). However, for downward heat flow in the 2-SP case, each space had one convective cell, whereas for upward heat flow, the top airspace contained two convective cells of varying sizes, and the bottom airspace had one convective cell (Figure 5b).
For the same values for L, D, E, ΔT, and Tavg, the interaction effects of various parameters discussed above have led to greater R-values of 30° airspace for the scenario of downward heat flow than that for the scenario of upward heat flow. For a wide range of E (0–0.82), Figure 6 compares the R-values of the 30° airspace with 1-SP and 2-SP and subjected to up and down heat flow with respective dimensions of L = 305 mm and D = 90 mm and operating conditions of Tavg = 10 °C and ΔT = 16.7 °C.
As shown in this figure, at small E values (E < 0.4), the R-value for downward heat flow was much greater than that for upward heat flow. At large E values (E > 0.4), however, the R-values for downward heat flow was slightly greater than that for upward heat flow. For example, for the case of downward heat flow at a low E value of 0.03, the R-values for 1-SP and 2- SP were 0.60 and 1.22 m2·K/W, respectively, compared to 0.43 and 0.79 m2·K/W for the case of upward heat flow.
This resulted in 39% and 55% higher R-values for the scenario of downward heat flow than for the scenario of upward heat flow with 1-SP and 2-SP, respectively. However, at high E of 0.82, the R-values for 1- SP and 2-SP with downward heat flow (0.20 and 0.38 m2·K/W) were only 12% and 16% higher, respectively, than those for upward heat flow (0.18 and 0.32 m2·K/W).

3.2. Comparisons of the R-Values for 1-SP and 2-SP

For airspaces of various orientations subjected to different heat flow directions, Table 2 lists the resultant air velocity (Vr,max) in the simulated 1-SP scenario and 2-SP scenario (ΔT = 16.7 °C, Tavg = 10 °C, E1 = 0.05, E2 = 0.9, and L = 305 mm). As shown in this table for downward heat flow in the 30° airspace, the value of Vr,max for 1-SP was 1.4 and 2.2 times that for 2-SP for D = 90 and 40 mm, respectively. For horizontal airspace and 45° airspace with downward heat flow, respectively, the equivalent values were 1.7 and 2.7 [23], and 1.5 and 1.9 [25].
For upward heat flow in 30° airspace, Vr,max for 1-SP was 1.7 and 1.9 times that for 2-SP for D = 90 and 40 mm, respectively. Additionally, the equivalent values for upward heat flow for horizontal airspace and 45° airspace were 2.0 and 2.8 [22], and 1.8 and 1.9 [24], respectively. Consequently, the reduction in the R-value because of the convective heat transfer was larger in the 1-SP case compared with in the 2-SP case.
For the full range of E (0–0.82), Figure 7, Figure 8, Figure 9 and Figure 10 for airspace thicknesses of 13, 20, 40 and 90 mm, respectively, show comparisons between R-values for 1-SP case and 2-SP case for the 30° airspace of 305 mm long and with upward heat flow at various values of ΔT and Tavg. As shown in these figures, the R-values for 2-SP case were greater than those for the 1-SP case. At E = 0.03, 0.5, and 0.82, Table 3 provides the increase in R-value as a result of adding a layer of 0.1 mm thick in the middle of 30° airspace (Figure 1b).
This table shows that, for moderate airspace thicknesses (D = 20 and 40 mm), the increase in the R-value between 2-SP case and 1-SP case was larger than for small and large thicknesses (D = 13 and 90 mm). The ranges of the increase in R-value at E = 0.03 varied depending on the values of the operating conditions (ΔT and Tavg), which are 12–116% (D = 13 mm), 69–206% (D = 20 mm), 203–239% (D = 40 mm), and 79–93% (D = 90 mm).
At E = 0.5, the ranges of the increase in R-value were 42–119% (D = 13 mm), 96–182% (D = 20 mm), 159–183% (D = 40 mm), and 90–107% (D = 90 mm). In addition, at E = 0.82, the corresponding ranges were 46–108% (D = 13 mm), 85–153% (D = 20 mm), 121–138% (D = 40 mm), and 80–87% (D = 90 mm).
Similar to horizontal and 45° airspaces with upward heat flow [31], the results in Table 3 demonstrate that, by inserting a layer of low-e in the middle of 30° airspace with upward heat flow, it was possible to increase the R-value by three times. Additionally, for the cases of vertical airspace with horizontal heat flow [21], and horizontal, 30°, and 45° airspaces with downward heat flow [23,25,26], the R-value can be increased by a factor of two by installing thin layer of low-e the middle of airspace.
Overall, the findings from this research study along with the previous studies [21,22,23,24,25,26] could be useful in providing the order of magnitude regarding the increase in airspace R-values when a thin reflecting sheet is added in the middle of the airspace for different building applications (e.g., windows, skylights, curtain walls, and furred-airspace assemblies attached to mass insulation in walls and roofs).

3.3. Effects of the Airspace Aspect Ratio on R-Value

For a wide range of E of 0–0.82, the effect of the aspect ratio, A (A = L/D) on the R-values of 30° airspace with upward heat flow was investigated in this study for various airspace lengths ranging from L = 203 (8 inch) mm to L = 2438 mm (8 ft) and thicknesses of D = 13, 20, 40, and 90 mm at operating conditions of Tavg = 32.2, 10, −17.8, and −45.6 °C and ΔT = 5.6, 11.1, and 16.7 °C. Figure 11, Figure 12, Figure 13 and Figure 14 for D of 13, 20, 40, and 90 mm, respectively, provide the dependence of R-values on effective emittance. The effect of A on the ASHRAE R-values of various airspaces was not taken into consideration [20]. Additionally, the ASHRAE R-values do not include the scenario of 30° airspace up and down heat flow.
Due to the temperature differential across 30° airspace with upward heat flow, a buoyancy-driven flow occurred inside the airspace, resulting in forming mono- and multi-cellular airflows with varying number of convective cells (N) as shown in Figure 3b and Figure 5b. Note that, for given Tavg, and ΔT, the number and size of convective cells, as well as whether or not these cells include tiny vortices, are dependent not only on L and D but also on the airspace orientations and heat flow directions. Table 4 shows N in airspaces with D = 90 and 40 mm with varied orientations and heat flow directions for the simulated scenarios 1-SP and 2-SP for Tavg = 10 °C, ΔT = 16.7 °C, E = 0.05, and L = 305 mm. As shown in this table, N inside each space of a vertical enclosed airspace (θ = 90°) of a varied D values with horizontal heat flow is one for simulated scenarios of 1-SP and 2-SP [21]. For the 1-SP simulation case, Table 4 shows that N in airspaces with D = 90 mm with upward heat flow is two for θ = 0° (horizontal) [22], one for θ = 30°, and one for θ = 45° [24]; and N in airspaces with D = 40 mm is eight for θ = 0° [22], five for θ = 30°, and three for θ =45° [24].
For the simulation case of 2-SP, Table 4 shows that N in each space of airspace of D = 90 mm subjected to upward heat flow is four for θ = 0° [22], three for θ = 30°, and three for θ = 45° [24]; and the corresponding N in each space of airspace of D = 40 mm is fourteen for θ = 0° [22], two of different sizes in the top space and one in the bottom space for Ra = 30°, and one for θ = 45° [24]. With downward heat flow, for simulations of 1-SP and 2-SP in airspace of D = 90 mm, N in each space is two for θ = 0° [23], one for θ = 30° [26], and one for θ = 45° [25], which are the same as for airspace of D = 40 mm (Table 4).
As previously stated, both the air velocity and N inside the airspace have an effect on the R-value; where a larger N for a given air velocity results in a decrease in the R-value. More information about the effect of NL (NL = N/L) on airspace R-values is given in [22,24]. For the 30° airspace with upward heat flow and a small thickness (D = 13 mm), only one convective cell with varying lengths (L = 203–2438 mm) occurred inside the airspace.
Thus, the value of NL reduces as airspace length increases, resulting in a greater R-value for the longer airspace than that for the shorter airspace (Figure 11). For airspace of D = 20 mm (Figure 12), D = 40 mm (Figure 13) and D = 90 mm (Figure 14), a further increase in the airspace length beyond 914 mm resulted in insignificant changes in R-values. As such, no simulations were conducted at L greater than 914 mm.
For airspace thickness of 20, 40, and 90 mm, various N formed inside the airspace. For a given D, Tavg, ΔT, and E, the R-value depended mainly on N in each airspace length (L). In addition, different values of NL are obtained as a result of changing L; whereas the larger NL value is the smaller R-value. For example, for a given Tavg, ΔT, and E at D = 40 mm (Figure 13), increasing L from 610 to 914 mm resulted in higher R-value in the longer length than that in the shorter length due to smaller value of NL for the longer length than that in the shorter length.
Conversely, for a given Tavg, ΔT, and E for airspace at D = 90 mm (Figure 14), increasing L from 610 to 914 mm resulted in lower R-value for the longer length than that for the shorter length due to greater value of NL for the longer length than that for the shorter length. For the 30° airspace with upward heat flow at various values Tavg, ΔT, and D, the results provided in Figure 11, Figure 12, Figure 13 and Figure 14 show that L or A had an effect on R-values for low E values (E < 0.5).
In contrast, under similar circumstances but for large E values (E > 0.5), A had a negligible influence on the R-value. For example, for D = 13 mm at ΔT = 16.7 °C and Tavg = 10 °C, increasing L from 203 to 2438 mm resulted in an increase in R-value by 14% at E = 0.03 and only 2% at E = 0.82 (Figure 11b). Note that the effects of A on the R-value were studied in previous publications for other airspaces—namely, vertical airspace with horizontal heat flow [21], horizontal airspace with up and down heat flow [22,23], 30° airspace with downward heat flow [26], and 45° airspaces up and down heat flow [24,25].

3.4. Development of Correlation for R-Value

As in previous studies on vertical airspace subjected to horizontal heat flow [21], horizontal airspace with up and down heat flow [22,23], 30° airspace with downward heat flow [26], and 45° airspaces subjected to up and down heat flow [24,25], a correlation was developed for calculating the R-value for the last case of 30° airspace subjected to upward heat flow. The correlation was developed using R-values given in Figure 11, Figure 12, Figure 13 and Figure 14. This correlation determines the R-value in (ft2·h·°F/BTU) in terms of broad ranges of different parameters, namely Tavg, ΔT, A, and E. These ranges cover most building applications.
The developed correlation is given as:
R     value   =   R c ( T avg ) +   a 0 A α 1 T avg a 1 ( Δ T ) c 1 + aE β T avg a 2 ( Δ T ) c 2 i   = 1 4 g i A i +   A α 2 T avg a 3 ( Δ T ) c 3 i   = 1 4 b i E i
In Equation (1), Rc(Tavg) is the R-value in (ft2·h·°F/BTU) of the airspace due to conductive heat transfer only, which is given as:
  R c ( T avg ) = D / λ ( T avg )  
where λ(Tavg) is the thermal conductivity of air, which is given in W/(m·K) as:
λ ( T avg ) = i   = 0 4 f i T avg i ,   f 0 = 2.27584 × 10 3 ,   f 1 = 1.1548 × 10 4 ,   f 2 = 7.90253 × 10 8 , f 3 = 4.11703 × 10 11 , f 4 = 7.43864 × 10 15
In Equation (3), the value of λ(Tavg) should be determined at the airspace average temperature. Note that the calculated value of Rc(Tavg) from Equations (2) and(3) should be converted to (ft2·h·°F/BTU) in order to be used in Equation (1). The units of ΔT and Tavg should be in (K), and the other coefficients in Equation (1) are provided in Table 5.
Close examination of the correlation provided by Equation (1) reveals that the first term on the RHS represents the R-value due to conductive heat transfer only, the second term provides the reduction in R-value due to convective heat transfer, and the last two terms represent the reduction in R-value due to radiative heat transfer at various effective emittance values (E). For different airspace thicknesses, the R-values in Figure 11, Figure 12, Figure 13 and Figure 14 are compared with those determined using the developed correlation.
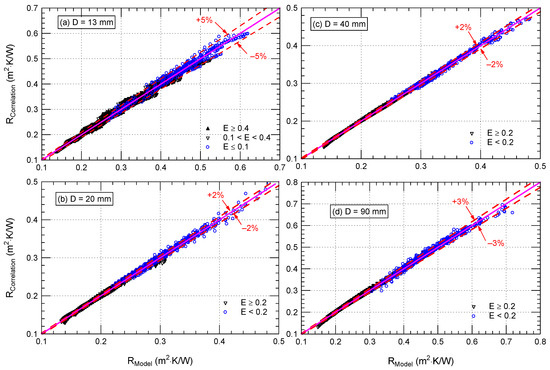
These comparisons are shown in Figure 15a (D = 13 mm), Figure 15b (D = 20 mm), Figure 15c (D = 40 mm), and Figure 15d (D = 90 mm). Figure 15 shows that the obtained R-values using the correlation given by Equation (1) agree well with R-values provided in Figure 11, Figure 12, Figure 13 and Figure 14; agreement was achieved within ±5% for D = 13 mm, ±2% for D = 20 mm, ±2% for D = 40 mm, and ±3% for D = 90 mm.

4. Summary and Conclusions

A series of previous studies were conducted to assess the performance of different airspaces and to develop correlations for determining the R-values for different building applications [21,22,23,24,25,26]. To complete this series, the last airspace with an inclination angle of 30° with upward heat flow was investigated in this study. Note that the 30° airspace R-values with up and down heat flow, which are needed for low-slope roofing systems, are not available in ASHRAE [20]. Additionally, the effect of the aspect ratio (A) of different airspaces on R-values is not included in ASHRAE.
In the first part of this research study, a validated model was used to estimate the R-values of 30° airspace of various effective emittance (E) values, dimensions, and operating conditions when they were subjected to upward heat flow. The dependence of the airspace R-values on A was investigated. Additionally, considerations were given to estimate the increase in R-value due to installing thin layer with various emissivity values in the middle of airspace.
The results of this study showed that, depending on the values of E and airspace thickness (D), the R-value could be tripled as a result of incorporating a thin layer in the middle of the airspace. In the last part of this study, a correlation was developed to calculate R-value of 30° airspace that covers various dimension, effective emittance, and operating conditions. This is provided in Equation (1). The results showed that the obtained R-values from this correlation agree well with the numerical simulation R-values (within ±5% for D = 13 mm, ±2% for D = 20 mm, ±2% for D = 40 mm, and ±3% for D = 90 mm).
In designing building envelopes and fenestration systems with airspaces, the accurate calculation of the R-value of the airspace of various aspect ratios, inclination angles, heat flow directions, and effective emittance under varied climates may assist in preventing oversized cooling and heating equipment. The developed correlation in this paper for the 30° airspace with upward heat flow and those previously developed for other airspace scenarios could be used by building designers and architects to calculate airspace R-values. Additionally, these correlations could be included in existing energy models—for example, ESP-r, Design Builder, and Energy+.

Author Contributions

Conceptualization, H.H.S.; methodology, H.H.S.; formal analysis, H.H.S. and A.E.H.; investigation, H.H.S. and A.E.H.; software, H.H.S.; validation, H.H.S.; resources, H.H.S. and A.E.H.; data curation, H.H.S. and A.E.H.; writing—original draft preparation, H.H.S.; writing—review and editing, H.H.S. and A.E.H.; visualization, H.H.S. and A.E.H.; supervision, H.H.S.; project administration, H.H.S. All authors have read and agreed to the published version of the manuscript.

Funding

This research received no external funding.

Data Availability Statement

Not applicable.

Conflicts of Interest

The authors declare no conflict of interest.

Nomenclature

AAspect ratio (L/D)
CpSpecific heat at constant pressure (J/(kg·K))
DAirspace thickness (m)
EEffective emittance
E1Low emissivity
E2High emissivity
ggravity of acceleration (9.81 m2/s)
LAirspace length (m)
REffective thermal resistance (m2·K/W)
Ra Rayleigh   number   ( Ra = ρ 2   g   β Cp   abs ( T wall T )   D 3 / ( μ λ ) )
Re Reynold   number   ( Re = ρ V ¯ D / μ )
TTemperature (K)
TwallWall temperature (K)
ΔTTemperature difference (K)
VrResultant velocity (m/s)
VxVelocity in x-direction (m/s)
VyVelocity in y-direction (m/s)
V ¯ Average resultant velocity (m/s)
θInclination angle (°)
ρDensity (kg/m3)
μDynamic viscosity (Pa·s)
λThermal conductivity (W/(m·K)
βThermal expansion coefficient (1/K)

Appendix A

This section contains the figures that show the horizontal velocity distributions (Vx) and vertical velocity distributions (Vy) as well as velocity streamlines for 30° enclosed-airspaces subjected to up and down heat flow (Figure A1, Figure A2, Figure A3 and Figure A4). Additionally, this section provides the Rayleigh number distributions for enclosed-airspaces of 1-SP and 2-SP when they are subjected to up and down heat flow (Figure A5, Figure A6, Figure A7, Figure A8, Figure A9 and Figure A10).
Figure A1. Vertical velocity distributions and velocity streamlines in 30° airspace of 90 mm thick for 1-SP and 2-SP subjected to heat flow: (a) down and (b) up.
Figure A1. Vertical velocity distributions and velocity streamlines in 30° airspace of 90 mm thick for 1-SP and 2-SP subjected to heat flow: (a) down and (b) up.
Sustainability 14 03260 g0a1
Figure A2. Horizontal velocity distributions and velocity streamlines in 30° airspace of 90 mm thick for 1-SP and 2-SP subjected to heat flow: (a) down and (b) up.
Figure A2. Horizontal velocity distributions and velocity streamlines in 30° airspace of 90 mm thick for 1-SP and 2-SP subjected to heat flow: (a) down and (b) up.
Sustainability 14 03260 g0a2
Figure A3. Vertical velocity distributions and velocity streamlines in 30° airspace of 40 mm thick for 1-SP and 2-SP subjected to heat flow: (a) down and (b) up.
Figure A3. Vertical velocity distributions and velocity streamlines in 30° airspace of 40 mm thick for 1-SP and 2-SP subjected to heat flow: (a) down and (b) up.
Sustainability 14 03260 g0a3
Figure A4. Horizontal velocity distributions and velocity streamlines in 30° airspace of 40 mm thick for 1-SP and 2-SP subjected to heat flow: (a) down and (b) up.
Figure A4. Horizontal velocity distributions and velocity streamlines in 30° airspace of 40 mm thick for 1-SP and 2-SP subjected to heat flow: (a) down and (b) up.
Sustainability 14 03260 g0a4
Figure A5. Local distribution of the Raleigh number based on hot wall temperature ( Ra HW ) in 30° airspace of 90 and 40 mm thick for 1-SP subjected to heat flow: (a) down and (b) up.
Figure A5. Local distribution of the Raleigh number based on hot wall temperature ( Ra HW ) in 30° airspace of 90 and 40 mm thick for 1-SP subjected to heat flow: (a) down and (b) up.
Sustainability 14 03260 g0a5
Figure A6. Local distribution of the Raleigh number based on the cold wall temperature ( Ra CW ) in 30° airspace of 90 and 40 mm thick for 1-SP subjected to heat flow: (a) down and (b) up.
Figure A6. Local distribution of the Raleigh number based on the cold wall temperature ( Ra CW ) in 30° airspace of 90 and 40 mm thick for 1-SP subjected to heat flow: (a) down and (b) up.
Sustainability 14 03260 g0a6
Figure A7. Local distribution of the Raleigh number based on hot wall temperature ( Ra HW ) in 30° airspace of 90 mm thick for 2-SP subjected to heat flow: (a) down and (b) up.
Figure A7. Local distribution of the Raleigh number based on hot wall temperature ( Ra HW ) in 30° airspace of 90 mm thick for 2-SP subjected to heat flow: (a) down and (b) up.
Sustainability 14 03260 g0a7
Figure A8. Local distribution of the Raleigh number based on the cold wall temperature ( Ra CW ) in 30° airspace of 90 mm thick for 2-SP subjected to heat flow: (a) down and (b) up.
Figure A8. Local distribution of the Raleigh number based on the cold wall temperature ( Ra CW ) in 30° airspace of 90 mm thick for 2-SP subjected to heat flow: (a) down and (b) up.
Sustainability 14 03260 g0a8
Figure A9. Local distribution of the Raleigh number based on hot wall temperature ( Ra HW ) in 30° airspace of 40 mm thick for 2-SP subjected to heat flow: (a) down and (b) up.
Figure A9. Local distribution of the Raleigh number based on hot wall temperature ( Ra HW ) in 30° airspace of 40 mm thick for 2-SP subjected to heat flow: (a) down and (b) up.
Sustainability 14 03260 g0a9
Figure A10. Local distribution of the Raleigh number based on the cold wall temperature ( Ra CW ) in 30° airspace of 40 mm thick for 2-SP subjected to heat flow: (a) down and (b) up.
Figure A10. Local distribution of the Raleigh number based on the cold wall temperature ( Ra CW ) in 30° airspace of 40 mm thick for 2-SP subjected to heat flow: (a) down and (b) up.
Sustainability 14 03260 g0a10

References

  1. Al-Homoud, M.S. Performance characteristics and practical applications of common building thermal insulation materials. J. Build. Environ. 2005, 40, 353–366. [Google Scholar] [CrossRef]
  2. Vrachopoulos, M.G.; Koukou, M.K.; Stavlas, D.G.; Stamatopoulos, V.N.; Gonidis, A.F.; Kravvaritis, E.D. Testing reflective insulation for improvement of buildings energy efficiency. Cent. Eur. J. Eng. 2012, 2, 83–90. [Google Scholar] [CrossRef]
  3. Pourghorban, A.; Kari, B.M.; Asoodeh, H. Holistic survey of reflective insulation systems (RISs) in vertical applications in building envelopes under various climatic conditions. Energy 2022, 242, 122959. [Google Scholar] [CrossRef]
  4. Blumberg, I. Building Codes and Energy Efficiency: How New York City’s Building Codes Succeed and Fail in Regulating GHG Emissions. Environ. Claims J. 2018, 30, 201–215. [Google Scholar] [CrossRef]
  5. AboulNaga, M.M.; Elsheshtawy, Y.H. Environmental sustainability assessment of buildings in hot climates: The case of the UAE. Renew. Energy 2001, 24, 553–563. [Google Scholar] [CrossRef]
  6. Boyd, G.A.; Pang, J.X. Estimating the linkage between energy efficiency and productivity. Energy Policy 2000, 28, 289–296. [Google Scholar] [CrossRef]
  7. Escudero, C.; Martin, K.; Erkoreka, A.; Floresb, I.; Sala, J.M. Experimental thermal characterization of radiant barriers for building insulation. J. Energy Build. 2013, 59, 62–72. [Google Scholar] [CrossRef]
  8. Tenpierik, M.J.; Hasselaar, E. Reflective multi-foil insulations for buildings: A review. J. Energy Build. 2013, 56, 233–243. [Google Scholar] [CrossRef]
  9. International Energy Agency. Energy Conservation in Buildings and Community Systems Programme, Annex XII, Windows and Fenestration, Step 2, Thermal and Solar Properties of Windows, Expert Guide; IEA Annex XII; International Energy Agency: Paris, France, 1987. [Google Scholar]
  10. Reflective Insulation Manufacturers Association International (RIMA-I). Reflective Insulation, Radiant Barriers and Radiation Control Coatings; RIMA-I: Olathe, KS, USA, 2002. [Google Scholar]
  11. CMHC. Glass and Metal Curtain Walls, Best Practice Guide Building Technology; Cat. No. NH15-428/2004E; Canada Mortgage and Housing Corporation (CMHC): Ottawa, ON, Canada, 2004; ISBN 0-660-19394-9. [Google Scholar]
  12. Van Den Bergh, S.; Hart, R.; Jelle, B.P.; Gustavsen, A. Window spacers and edge seals in insulating glass units: A state-of-the-art review and future perspectives. Energy Build. 2013, 58, 263–280. [Google Scholar] [CrossRef]
  13. Gross, W.P.; Miller, R.G. Literature review of measurement and predictions of reflective building insulation system performance. ASHRAE Trans. 1989, 95, 651–664. [Google Scholar]
  14. Fricker, J.M.; Yarbrough, D. W Review of reflective insulation estimation methods. In Proceedings of the Building Simulation, 12th Conference of International Building Performance Simulation Association, Sydney, Australia, 14–16 November 2011; pp. 1989–1996. [Google Scholar]
  15. Glicksman, L.R. Two-dimensional heat transfer effects on vacuum and reflective insulations. J. Therm. Insul. 1991, 14, 281–294. [Google Scholar] [CrossRef]
  16. Robinson, H.E.; Cosgrove, L.A.; Powell, F.J. Thermal Resistance of Airspaces and Fibrous Insulations Bounded by Reflective Airspace; Building Material and Structures Report 151; United States National Bureau of Standards: Gaithersburg, MD, USA, 1956. [Google Scholar]
  17. Robinson, H.E.; Powlitch, F.J. The Thermal Insulating Value of Airspaces; Housing Research Paper No. 32; National Bureau of Standards Project ME-12; U.S. Government Printing Office: Washington, DC, USA, 1954. [Google Scholar]
  18. Robinson, H.E.; Powlitch, F.J.; Dill, R.S. The Thermal Insulation Value of Airspaces; Housing Research Paper 32; Housing and Home Finance Agency: Washington, DC, USA, 1954. [Google Scholar]
  19. ASTM C236-53; Test Method for Thermal Conductance and Transmittance of Built-Up Sections by Means of a Guarded Hot Box. American Society for Testing and Materials: West Conshohocken, PA, USA, 1953.
  20. American Society of Heating. Refrigerating and Air-Conditioning Engineers (ASHRAE). Heat, Air, and Moisture Control in Building Assemblies-Material Properties. In ASHRAE Handbook of Fundamentals; Chapter 26, Table 3; ASHRAE: Peachtree Corners, GA, USA, 2017. [Google Scholar]
  21. Saber, H.H. Practical correlations for the thermal resistance of vertical enclosed airspaces for building applications. J. Build. Environ. 2013, 59, 379–396. [Google Scholar] [CrossRef][Green Version]
  22. Saber, H.H. Practical correlation for thermal resistance of horizontal enclosed airspaces with upward heat flow for building applications. J. Build. Environ. 2013, 61, 169–187. [Google Scholar] [CrossRef]
  23. Saber, H.H. Practical correlation for thermal resistance of horizontal enclosed airspaces with downward heat flow for building applications. J. Build. Phys. 2014, 37, 403–435. [Google Scholar] [CrossRef]
  24. Saber, H.H. Practical correlation for thermal resistance of 45° sloped-enclosed airspaces with upward heat flow for building applications. J. Build. Phys. 2022, 45, 649–674. [Google Scholar] [CrossRef]
  25. Saber, H.H. Practical correlation for thermal resistance of 45° sloped enclosed airspaces with downward heat flow for building applications. J. Build. Environ. 2013, 65, 154–169. [Google Scholar] [CrossRef]
  26. Saber, H.H. Practical correlation for thermal resistance of low-sloped enclosed airspaces with downward heat flow for building applications. HVACR Res. J. 2014, 20, 92–112. [Google Scholar] [CrossRef]
  27. Saber, H.H.; Yarbrough, D.W. Advanced modeling of enclosed-airspaces to determine thermal resistance for building applications. J. Energy 2021, 14, 7772. [Google Scholar] [CrossRef]
  28. ASTM C1363; Standard Test Method for the Thermal Performance of Building Assemblies by Means of a Hot Box Apparatus. ASTM: Philadelphia, PA, USA, 2006; pp. 717–759.
  29. ASTM C518; Standard Test Method for Steady-State Heat Flux Measurements and Thermal Transmission Properties by Means of the Heat Flow Meter Apparatus. ASTM: Philadelphia, PA, USA, 2003; pp. 153–164.
  30. Saber, H.H.; Maref, W.; Swinton, M.C.; St-Onge, C. Thermal analysis of above-grade wall assembly with low emissivity materials and furred-airspace. J. Build. Environ. 2011, 46, 1403–1414. [Google Scholar] [CrossRef]
  31. Saber, H.H. Investigation of thermal performance of reflective insulations for different applications. J. Build. Environ. 2012, 55, 32–44. [Google Scholar] [CrossRef]
  32. Saber, H.H.; Yarbrough, D.W. Advancements in the evaluation of reflective insulation assemblies. Constr. Specif. 2022, 75, 20–27. [Google Scholar]
Figure 1. 30° enclosed-airspace with one space (1-SP) and two spaces (2-SP) and boundary conditions subjected to upward heat flow.
Figure 1. 30° enclosed-airspace with one space (1-SP) and two spaces (2-SP) and boundary conditions subjected to upward heat flow.
Sustainability 14 03260 g001
Figure 2. Temperature distributions in 30° airspace of 90 mm thick for 1-SP and 2-SP subjected to heat flow: (a) down and (b) up.
Figure 2. Temperature distributions in 30° airspace of 90 mm thick for 1-SP and 2-SP subjected to heat flow: (a) down and (b) up.
Sustainability 14 03260 g002
Figure 3. Resultant velocity distributions and velocity streamlines in 30° airspace of 90 mm thick for 1-SP and 2-SP subjected to heat flow: (a) down and (b) up.
Figure 3. Resultant velocity distributions and velocity streamlines in 30° airspace of 90 mm thick for 1-SP and 2-SP subjected to heat flow: (a) down and (b) up.
Sustainability 14 03260 g003
Figure 4. Temperature distributions in 30° airspace of 40 mm thick for 1-SP and 2-SP subjected to heat flow: (a) down and (b) up.
Figure 4. Temperature distributions in 30° airspace of 40 mm thick for 1-SP and 2-SP subjected to heat flow: (a) down and (b) up.
Sustainability 14 03260 g004
Figure 5. Resultant velocity distributions and velocity streamlines in 30° airspace of 40 mm thick for 1-SP and 2-SP subjected to heat flow: (a) down and (b) up.
Figure 5. Resultant velocity distributions and velocity streamlines in 30° airspace of 40 mm thick for 1-SP and 2-SP subjected to heat flow: (a) down and (b) up.
Sustainability 14 03260 g005
Figure 6. Effects of heat flow direction and effective emittance on R-values for the 30° airspaces for: (a) 1-SP, and (b) 2-SP.
Figure 6. Effects of heat flow direction and effective emittance on R-values for the 30° airspaces for: (a) 1-SP, and (b) 2-SP.
Sustainability 14 03260 g006
Figure 7. Effects of E-value on the R-values of 30° airspace of 13 mm thick and 305 mm long for 1-SP and 2-SP cases with upward heat flow at various operating conditions.
Figure 7. Effects of E-value on the R-values of 30° airspace of 13 mm thick and 305 mm long for 1-SP and 2-SP cases with upward heat flow at various operating conditions.
Sustainability 14 03260 g007
Figure 8. Effects of E-value on the R-values of 30° airspace of 20 mm thick and 305 mm long for 1-SP and 2-SP cases with upward heat flow at various operating conditions.
Figure 8. Effects of E-value on the R-values of 30° airspace of 20 mm thick and 305 mm long for 1-SP and 2-SP cases with upward heat flow at various operating conditions.
Sustainability 14 03260 g008
Figure 9. Effects of E-value on the R-values of 30° airspace of 40 mm thick and 305 mm long for 1-SP and 2-SP with upward heat flow at various operating conditions.
Figure 9. Effects of E-value on the R-values of 30° airspace of 40 mm thick and 305 mm long for 1-SP and 2-SP with upward heat flow at various operating conditions.
Sustainability 14 03260 g009
Figure 10. Effects of E-value on the R-values of 30° airspace of 90 mm thick and 305 mm long for 1-SP and 2-SP cases with upward heat flow at various operating conditions.
Figure 10. Effects of E-value on the R-values of 30° airspace of 90 mm thick and 305 mm long for 1-SP and 2-SP cases with upward heat flow at various operating conditions.
Sustainability 14 03260 g010
Figure 11. Effects of E-value and L on the R-values of 30° airspace of 13 mm thick subjected to upward heat flow at various operating conditions.
Figure 11. Effects of E-value and L on the R-values of 30° airspace of 13 mm thick subjected to upward heat flow at various operating conditions.
Sustainability 14 03260 g011
Figure 12. Effects of E-value and L on the R-values of 30° airspace of 20 mm thick subjected to upward heat flow at various operating conditions.
Figure 12. Effects of E-value and L on the R-values of 30° airspace of 20 mm thick subjected to upward heat flow at various operating conditions.
Sustainability 14 03260 g012
Figure 13. Effects of E-value and L on the R-values of 30° airspace of 40 mm thick subjected to upward heat flow at various operating conditions.
Figure 13. Effects of E-value and L on the R-values of 30° airspace of 40 mm thick subjected to upward heat flow at various operating conditions.
Sustainability 14 03260 g013
Figure 14. Effects of E-value and L on the R-values of 30° airspace of 90 mm thick subjected to upward heat flow at various operating conditions.
Figure 14. Effects of E-value and L on the R-values of 30° airspace of 90 mm thick subjected to upward heat flow at various operating conditions.
Sustainability 14 03260 g014
Figure 15. Comparison of model R-values with the correlated R-values for the 30° airspace with upward heat flow at different operation conditions.
Figure 15. Comparison of model R-values with the correlated R-values for the 30° airspace with upward heat flow at different operation conditions.
Sustainability 14 03260 g015
Table 1. Rayleigh number (Ra) of the air inside 30° enclosed-airspaces subjected to up and down heat flow for 1-SP and 2-SP cases (ΔT = 16.7 °C, Tavg = 10 °C, E1 = 0.05, E2 = 0.9, and L = 305 mm).
Table 1. Rayleigh number (Ra) of the air inside 30° enclosed-airspaces subjected to up and down heat flow for 1-SP and 2-SP cases (ΔT = 16.7 °C, Tavg = 10 °C, E1 = 0.05, E2 = 0.9, and L = 305 mm).
Rayleigh Number, Ra1-SP2-SP
Heat FlowHeat Flow
DownUpDownUp
Top AirspaceBottom AirspaceTop AirspaceBottom Airspace
D = 90 mm
Ra HW , L / 2 9.63 × 1057.39 × 1053.05 × 1045.51 × 1041.93 × 1043.05 × 104
Ra CW , L / 2 5.83 × 1057.54 × 1054.58 × 1044.31 × 1046.80 × 1045.57 × 104
Ra HW , avg 8.94 × 1057.04 × 1053.65 × 1045.32 × 1044.58 × 1044.36 × 104
Ra CW , avg 6.34 × 1057.80 × 1054.29 × 1044.79 × 1044.23 × 1044.42 × 104
D = 40 mm
Ra HW , L / 2 7.88 × 1047.00 × 1043.24 × 1034.33 × 1033.88 × 1033.66 × 103
Ra CW , L / 2 5.56 × 1046.23 × 1043.70 × 1034.05 × 1033.65 × 1034.14 × 103
Ra HW , avg 7.18 × 1046.44 × 1043.47 × 1034.46 × 1033.94 × 1033.88 × 103
Ra CW , avg 6.07 × 1046.65 × 1043.66 × 1034.11 × 1033.69 × 1034.06 × 103
Table 2. The maximum resultant velocities (Vr,max) in airspaces of various thicknesses and orientations, and subjected to different heat flow directions for 1-SP and 2-SP cases (ΔT = 16.7 °C, Tavg = 10 °C, E1 = 0.05, E2 = 0.9, and L = 305 mm).
Table 2. The maximum resultant velocities (Vr,max) in airspaces of various thicknesses and orientations, and subjected to different heat flow directions for 1-SP and 2-SP cases (ΔT = 16.7 °C, Tavg = 10 °C, E1 = 0.05, E2 = 0.9, and L = 305 mm).
Inclination Angle, θ (°)Heat Flow DirectionVr,max (mm/s)* VRatioReference
D (mm)1-SP2-SP
900Up130.163.62.0[22]
0Down14.98.71.7[23]
30Up115.666.91.7Present study
30Down58.741.21.4[26]
45Up112.863.81.8[24]
45Down81.653.41.5[25]
90Horizontal 112.370.61.6[21]
400Up85.230.92.8[22]
0Down10.94.02.7[23]
30Up82.443.01.9Present study
30Down72.933.32.2[26]
45Up94.851.11.9[24]
45Down89.545.91.9[25]
90Horizontal 114.564.21.8[21]
* VRatio = Vr,max,1-SP/Vr,max,2-SP.
Table 3. Increase in the 30° airspace R-value between 2-SP and 1-SP with upward heat flow (L = 305 mm).
Table 3. Increase in the 30° airspace R-value between 2-SP and 1-SP with upward heat flow (L = 305 mm).
D (mm)Increase in the R-Value between 2-SP and 1-SP for Specified E Values (%)Operating Conditions: Tavg (°C) and ΔT (°C), RespectivelyRelated Figures
E = 0.05E = 0.5E = 0.82
1312.955.757.932.2 and 5.6Figure 7a
17.754.856.810 and 16.7Figure 7b
12.050.954.010 and 5.6Figure 7c
16.648.952.0−17.8 and 11.1Figure 7d
12.145.649.5−17.8 and 5.6Figure 7e
115.5119.0108.0−45.6 and 11.1Figure 7f
14.141.845.8−45.6 and 5.6Figure 7g
2068.996.084.732.2 and 5.6Figure 8a
165.5150.7123.910 and 16.7Figure 8b
97.0109.494.810 and 5.6Figure 8c
170.4155.2129.5−17.8 and 11.1Figure 8d
126.7127.4109.117.8 and 5.6Figure 8e
205.6181.8152.6−45.6 and 11.1Figure 8f
161.7151.0128.9−45.6 and 5.6Figure 8g
40205.4159.3120.832.2 and 5.6Figure 9a
239.0182.9138.110 and 16.7Figure 9b
221.0169.6129.210 and 5.6Figure 9c
202.5162.7132.4−17.8 and 11.1Figure 9d
204.4164.8131.217.8 and 5.6Figure 9e
205.1159.5130.0−45.6 and 11.1Figure 9f
211.7165.6136.5−45.6 and 5.6Figure 9g
9092.9107.287.132.2 and 5.6Figure 10a
85.198.483.710 and 16.7Figure 10b
87.8102.385.210 and 5.6Figure 10c
82.194.382.1−17.8 and 11.1Figure 10d
82.996.282.817.8 and 5.6Figure 10e
79.389.580.3−45.6 and 11.1Figure 10f
79.490.580.5−45.6 and 5.6Figure 10g
Table 4. Number of convective cells (N) in airspaces of various thicknesses, inclination angles, and heat flow directions (E = 0.05, Tavg = 10 °C, ΔT = 16.7 °C, and L = 305 mm).
Table 4. Number of convective cells (N) in airspaces of various thicknesses, inclination angles, and heat flow directions (E = 0.05, Tavg = 10 °C, ΔT = 16.7 °C, and L = 305 mm).
D (mm)Simulation CaseN for Different Inclination Angles (θ)
θ = 0° (Horizontal)θ = 30°θ = 45°θ = 90° (Vertical)
Heat Flow Heat Flow Heat Flow Heat Flow
Up [22]Down [23]Up (Present Study)Down [26]Up [24]Down [25]Horizontal [21]
901-SP221 *1 *1 *11
2-SP423 *13 *11
423 *13 *11
401-SP825 *13 *11
2-SP14221111
14211111
* Convective cell contains small vortices.
Table 5. Values of the coefficients for the correlation given by Equation (1) for the 30° airspace subjected to upward heat flow.
Table 5. Values of the coefficients for the correlation given by Equation (1) for the 30° airspace subjected to upward heat flow.
D (mm)13204090
EE ≤ 0.10.1 < E < 0.4E ≥ 0.4E < 0.2E ≥ 0.2E < 0.2E ≥ 0.2E < 0.2E ≥ 0.2
a0−1.992 × 1036−1.466 × 1029−2.485 × 1018−1.108 × 104−9.252 × 102−3.318 × 103−1.715 × 103−4.022 × 103−2.857 × 103
a−1.493 × 105−1.493 × 105−1.052 × 1052.619 × 10−7−1.297 × 106−1.653 × 10−6−2.939 × 10−3−1.088 × 10−5−7.407 × 10−4
b1−1.250 × 10−2−6.237 × 10−1−10.80−5.071 × 10−52.722 × 10−3−5.075 × 10−5−2.532 × 10−2−1.058 × 10−5−3.157 × 10−2
b23.206 × 10−12.81820.982.826 × 10−5−1.444 × 10−22.825 × 10−5−1.978 × 10−3−1.005 × 10−4−1.065 × 10−3
b3−4.053−7.099−21.103.318 × 10−42.141 × 10−23.318 × 10−43.214 × 10−28.487 × 10−43.948 × 10−2
b417.496.8048.215−1.037 × 10−3−1.060 × 10−2−1.037 × 10−3−2.098 × 10−2−1.936 × 10−3−2.675 × 10−2
α1−4.649 × 10−2−4.476 × 10−24.027 × 10−4−3.432 × 10−2−1.614 × 10−21.466 × 10−28.323 × 10−36.496 × 10−39.495 × 10−4
α2−1.765 × 10−1−2.847 × 10−21.276 × 10−21.169 × 10−18.324 × 10−21.829 × 10−1−1.087 × 10−31.391 × 10−14.823 × 10−2
β2.267 × 10−42.269 × 10−41.700 × 10−4−2.435 × 10−11.418−1.379 × 10−3−5.636 × 10−1−1.437 × 10−2−8.777 × 10−1
a1−17.24−14.33−9.210−1.518−1.027−1.121−9.933 × 10−1−9.695 × 10−1−9.046 × 10−1
a2−10.44−10.44−4.11610.38−6.9281.590 × 10−1−1.453−1.883 × 10−1−1.891
a31.6136.266 × 10−11.095 × 10−22.0191.3342.0588.776 × 10−12.3798.682 × 10−1
c14.4334.5573.1331.466 × 10−18.291 × 10−26.392 × 10−24.994 × 10−22.776 × 10−22.281 × 10−2
c2−6.955 × 10−31.6351.132 × 10−1−33.891.025 × 10−1−1.961 × 10−11.998 × 10−2−1.907 × 10−1−1.854 × 10−2
c3−5.032 × 10−1−2.842 × 10−1−2.179 × 10−1−3.518 × 10−1−3.532 × 10−1−3.854 × 10−1−2.675 × 10−1−3.670 × 10−1−2.767 × 10−1
g1−88.42−88.42−1.464 × 102−8.419 × 10−1−8.353 × 10−1−8.487 × 10−1−8.352 × 10−1−8.490 × 10−1−8.602 × 10−1
g26.334 × 10−16.334 × 10−18.896 × 10−11.907 × 103−1.010 × 104−3.269 × 1027.354 × 102−2.495 × 104−2.982 × 105
g3−1.035 × 10−3−1.035 × 10−3−1.036 × 10−3−80.953.027 × 102−19.31−92.892.786 × 1031.569 × 104
g41.5611.561−3.686 × 10−69.300 × 10−1−1.8548.762 × 10−12.385−53.111.205 × 103
Publisher’s Note: MDPI stays neutral with regard to jurisdictional claims in published maps and institutional affiliations.

Share and Cite

MDPI and ACS Style

Saber, H.H.; Hajiah, A.E. Thermal Resistance of 30° Sloped, Enclosed Airspaces Subjected to Upward Heat Flow. Sustainability 2022, 14, 3260. https://doi.org/10.3390/su14063260

AMA Style

Saber HH, Hajiah AE. Thermal Resistance of 30° Sloped, Enclosed Airspaces Subjected to Upward Heat Flow. Sustainability. 2022; 14(6):3260. https://doi.org/10.3390/su14063260

Chicago/Turabian Style

Saber, Hamed H., and Ali E. Hajiah. 2022. "Thermal Resistance of 30° Sloped, Enclosed Airspaces Subjected to Upward Heat Flow" Sustainability 14, no. 6: 3260. https://doi.org/10.3390/su14063260

APA Style

Saber, H. H., & Hajiah, A. E. (2022). Thermal Resistance of 30° Sloped, Enclosed Airspaces Subjected to Upward Heat Flow. Sustainability, 14(6), 3260. https://doi.org/10.3390/su14063260

Note that from the first issue of 2016, this journal uses article numbers instead of page numbers. See further details here.

Article Metrics

Back to TopTop