Over-Current Relays Coordination Including Practical Constraints and DGs: Damage Curves, Inrush, and Starting Currents
Abstract
:1. Introduction
2. Optimization Model Formulation
2.1. Boundary Constraints
2.2. Selectivity Constraints
2.3. Operating Constraints
2.3.1. Minimum Operating Time Constraint
2.3.2. Transient Conditions Constraints
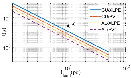
2.3.3. Equipment Damage Curves Constraints
3. Gradient-Based Optimizer
4. Simulation Results and Discussions
4.1. Test Case 1: IEEE 15-Bus Test Network
4.2. Test Case 2: Qarun Test Network
5. Conclusions
Author Contributions
Funding
Institutional Review Board Statement
Informed Consent Statement
Data Availability Statement
Conflicts of Interest
Appendix A. (Qarun Test Network Data)
| ID | |||
|---|---|---|---|
| Gen A and B | 19 | 28 | 155 |
| ID | Rating (kVA) | Impedance (%) |
|---|---|---|
| TR1, 6 | 2500 | 7 |
| TR2, 3, 7 | 750 | 6 |
| TR4, 5 | 2000 | 6 |
| TR8 | 1500 | 6 |
| ID | Rating (HP) | |
|---|---|---|
| Shipping Pumps: (A), (B), (C) | 600 | 103 |
| Disposal Pump | 400 | 71.29 |
| ID | Length (m) | Number of Parallel Conductors | |
|---|---|---|---|
| F 1_A | 45 | 240 | 3 |
| F A_2 | 40 | 240 | 1 |
| F A_3 | 180 | 120 | 1 |
| F A_4 | 530 | 240 | 1 |
| F A_5 | 80 | 240 | 2 |
| F A_6 | 800 | 120 | 1 |
| F A_7 | 800 | 120 | 1 |
| F 9_B | 45 | 240 | 3 |
| F B_10 | 45 | 240 | 1 |
| F B_11 | 80 | 240 | 2 |
| F B_12 | 80 | 120 | 1 |
| F B_13 | 800 | 120 | 1 |
| F B_14 | 800 | 120 | 2 |
| F B_15 | 340 | 120 | 1 |
| ID | kW | kVAr | |
|---|---|---|---|
| MCC of Bus A | 0.4 | 867 | 537.3 |
| Industrial Area | 0.4 | 325.5 | 201.8 |
| Storage MCC | 0.4 | 325.5 | 201.8 |
| MCC of Bus B | 0.4 | 867 | 537.3 |
| Utility MCC | 0.4 | 324.7 | 201.2 |
| Camp Supply | 0.4 | 650.3 | 403 |
| Qarun OHTL 1 | 11 | 555.3 | 233.9 |
| Qarun OHTL 2 | 11 | 556.5 | 235.4 |
Abbreviations
| DOCRs | Directional Over-Current Relays | TOT | Total Operating Time |
| CTI | Coordination Time Interval | SI | Standard Inverse |
| TCC | Time Current Characteristic | VI | Very Inverse |
| IEC | International Electrotechnical Commission | EI | Extremely Inverse |
| CCs | Characteristics | LI | Long Inverse |
| LP | Linear Programming | MI | Moderately Inverse |
| NLP | Non-Linear Programming | LTE | Let Through Energy |
| MILP | Mixed Integer Linear Programming | AAC | All Aluminum Conductor |
| CSA | Cuckoo Search Algorithm | ACAR | Aluminum Conductor Alloy Reinforced |
| DGs | Distributed Generators | ACSR | Aluminum Conductor Steel Reinforced |
| OFs | Objective Functions | GSR | Gradient Search Rule |
| GBO | Gradient-Based Optimizer | LEO | Local Escaping Operator |
| SMA | Slime Mold Algorithm | P/B | Primary/Backup |
| PSO | Particle Swarm Optimizer | ETAP | Electrical Transient Analyzer Program |
| WCA | Water Cycle Algorithm | MCCs | Motor Control Centers |
| pickup current | backup relay operating time | ||
| time dial | minimum tripping time of relay | ||
| relay operating time | starting current | ||
| tripping equation constants | relay operating time at the transient current | ||
| fault current | motor starting time or the transformer inrush current period | ||
| relay identifier | equipment withstand time | ||
| relay pair identifier | cross-sectional area | ||
| total number of primary relays | initial temperature | ||
| number of relays subjected to transient conditions constraints | final temperature | ||
| number of relays subjected to equipment damage curve constraints | constant | ||
| relay pairs number | solution at iteration n | ||
| boundaries of the decision variable | |||
| adjusting weighing factors | movement of direction | ||
| , respectively | random parameters | ||
| , respectively | best vector obtained | ||
| minimum value of CTI | the newest randomly generated vector | ||
| maximum value of CTI | binary number | ||
| primary relay operating time |
References
- Albasri, F.A.; Alroomi, A.R.; Talaq, J.H. Optimal Coordination of Directional Overcurrent Relays Using Biogeography-Based Optimization Algorithms. IEEE Trans. Power Deliv. 2015, 30, 1810–1820. [Google Scholar] [CrossRef]
- Alkaran, D.S.; Vatani, M.R.; Sanjari, M.J.; Gharehpetian, G.B.; Naderi, M.S. Optimal overcurrent relay coordination in interconnected networks by using fuzzy-based GA method. IEEE Trans. Smart Grid 2018, 9, 3091–3101. [Google Scholar] [CrossRef] [Green Version]
- Kida, A.A.; Rivas, A.E.L.; Gallego, L.A. An improved simulated annealing–linear programming hybrid algorithm applied to the optimal coordination of directional overcurrent relays. Electr. Power Syst. Res. 2020, 181, 106197. [Google Scholar] [CrossRef]
- IEC 60255; Electrical Relays. Part 3: Single Input Energizing Quantity Measuring Relays with Dependent or Independent Time. Advanced Test Equipment Corporation: San Diego, CA, USA, 1989.
- IEEE C37.112-2018; IEEE Standard for Inverse-Time Characteristics Equations for Overcurrent Relays. Institute of Electrical and Electronics Engineers: Piscataway, NJ, USA, 2019.
- Korashy, A.; Kamel, S.; Alquthami, T.; Jurado, F. Optimal Coordination of Standard and Non-Standard Direction Overcurrent Relays Using an Improved Moth-Flame Optimization. IEEE Access 2020, 8, 87378–87392. [Google Scholar] [CrossRef]
- Papaspiliotopoulos, V.A.; Korres, G.N.; Maratos, N.G. A Novel Quadratically Constrained Quadratic Programming Method for Optimal Coordination of Directional Overcurrent Relays. IEEE Trans. Power Deliv. 2015, 32, 3–10. [Google Scholar] [CrossRef]
- Damchi, Y.; Dolatabadi, M.; Mashhadi, H.R.; Sadeh, J. MILP approach for optimal coordination of directional overcurrent relays in interconnected power systems. Electr. Power Syst. Res. 2018, 158, 267–274. [Google Scholar] [CrossRef]
- Shrivastava, A.; Tripathi, J.M.; Krishan, R.; Parida, S. Optimal Coordination of Overcurrent Relays using Gravitational Search Algorithm with DG Penetration. IEEE Trans. Ind. Appl. 2018, 54, 1155–1165. [Google Scholar] [CrossRef]
- Dehghanpour, E.; Karegar, H.K.; Kheirollahi, R.; Soleymani, T. Optimal Coordination of Directional Overcurrent Relays in Microgrids by Using Cuckoo-Linear Optimization Algorithm and Fault Current Limiter. IEEE Trans. Smart Grid 2016, 9, 1365–1375. [Google Scholar] [CrossRef]
- Sharaf, H.M.; Zeineldin, H.H.; El-Saadany, E.F. Protection Coordination for Microgrids With Grid-Connected and Islanded Capabilities Using Communication Assisted Dual Setting Directional Overcurrent Relays. IEEE Trans. Smart Grid 2016, 9, 143–151. [Google Scholar] [CrossRef]
- Asl, S.A.F.; Gandomkar, M.; Nikoukar, J. Optimal protection coordination in the micro-grid including inverter-based distributed generations and energy storage system with considering grid-connected and islanded modes. Electr. Power Syst. Res. 2020, 184, 106317. [Google Scholar] [CrossRef]
- Yazdaninejadi, A.; Golshannavaz, S.; Nazarpour, D.; Teimourzadeh, S.; Aminifar, F. Dual-Setting Directional Overcurrent Relays for Protecting Automated Distribution Networks. IEEE Trans. Ind. Informatics 2018, 15, 730–740. [Google Scholar] [CrossRef]
- Beder, H.; Mohandes, B.; el Moursi, M.S.; Badran, E.A.; el Saadawi, M.M. A new communication-free dual setting protection coordination of microgrid. IEEE Trans. Power Deliver. 2021, 36, 2446–2458. [Google Scholar] [CrossRef]
- Zeineldin, H.H.; Sharaf, H.M.; Ibrahim, D.; El-Zahab, E.E.-D.A. Optimal Protection Coordination for Meshed Distribution Systems With DG Using Dual Setting Directional Over-Current Relays. IEEE Trans. Smart Grid 2014, 6, 115–123. [Google Scholar] [CrossRef]
- Farzinfar, M.; Jazaeri, M. A novel methodology in optimal setting of directional fault current limiter and protection of the MG. Int. J. Electr. Power Energy Syst. 2019, 116, 105564. [Google Scholar] [CrossRef]
- Elmitwally, A.; Kandil, M.S.; Gouda, E.; Amer, A. Mitigation of DGs Impact on Variable-Topology Meshed Network Protection System by Optimal Fault Current Limiters Considering Overcurrent Relay Coordination. Electr. Power Syst. Res. 2020, 186, 106417. [Google Scholar] [CrossRef]
- Sadeghi, M.H.; Dastfan, A.; Damchi, Y. Optimal coordination of directional overcurrent relays in distribution systems with DGs and FCLs considering voltage sag energy index. Electr. Power Syst. Res. 2020, 191, 106884. [Google Scholar] [CrossRef]
- Draz, A.; Elkholy, M.M.; El-Fergany, A.A. Soft Computing Methods for Attaining the Protective Device Coordination Including Renewable Energies: Review and Prospective. Arch. Comput. Methods Eng. 2021, 28, 4383–4404. [Google Scholar] [CrossRef]
- Mahboubkhah, A.; Talavat, V.; Beiraghi, M. Considering transient state in interconnected networks during fault for coordination of directional overcurrent relays. Electr. Power Syst. Res. 2020, 186, 106413. [Google Scholar] [CrossRef]
- Entekhabi-Nooshabadi, A.M.; Hashemi-Dezaki, H.; Taher, S.A. Optimal microgrid’s protection coordination considering N-1 contingency and optimum relay characteristics. Appl. Soft Comput. 2020, 98, 106741. [Google Scholar] [CrossRef]
- El-Fergany, A.A.; Hasanien, H. Water cycle algorithm for optimal overcurrent relays coordination in electric power systems. Soft Comput. 2019, 23, 12761–12778. [Google Scholar] [CrossRef]
- Alkaran, D.S.; Vatani, M.R.; Sanjari, M.J.; Gharehpetian, G.B.; Yatim, A.H. Overcurrent Relays Coordination in Interconnected Networks Using Accurate Analytical Method and Based on Determination of Fault Critical Point. IEEE Trans. Power Deliv. 2015, 30, 870–877. [Google Scholar] [CrossRef]
- Ojaghi, M.; Mohammadi, V. Use of Clustering to Reduce the Number of Different Setting Groups for Adaptive Coordination of Overcurrent Relays. IEEE Trans. Power Deliv. 2017, 33, 1204–1212. [Google Scholar] [CrossRef]
- Saleh, K.A.; Zeineldin, H.H.; Al-Hinai, A.; El-Saadany, E.F. Optimal Coordination of Directional Overcurrent Relays Using a New Time–Current–Voltage Characteristic. IEEE Trans. Power Deliv. 2014, 30, 537–544. [Google Scholar] [CrossRef]
- Aghdam, T.S.; Karegar, H.K.; Zeineldin, H.H. Optimal Coordination of Double-Inverse Overcurrent Relays for Stable Operation of DGs. IEEE Trans. Ind. Informatics 2018, 15, 183–192. [Google Scholar] [CrossRef]
- Dolatabadi, M.; Damchi, Y. Graph Theory Based Heuristic Approach for Minimum Break Point Set Determination in Large Scale Power Systems. IEEE Trans. Power Deliv. 2019, 34, 963–970. [Google Scholar] [CrossRef]
- Ghotbi-Maleki, M.; Chabanloo, R.M.; Ebadi, M.A.; Savaghebi, M. Determination of optimal breakpoint set of overcurrent relays using modified depth-first search and mixed-integer linear programming. IET Gener. Transm. Distrib. 2020, 14, 5607–5616. [Google Scholar] [CrossRef]
- Damchi, Y.; Dolatabadi, M. Hybrid VNS–LP algorithm for online optimal coordination of directional overcurrent relays. IET Gener. Transm. Distrib. 2020, 14, 5447–5455. [Google Scholar] [CrossRef]
- El-Fergany, A.A.; Hasanien, H.M. Optimized settings of directional overcurrent relays in meshed power networks using stochastic fractal search algorithm. Int. Trans. Electr. Energy Syst. 2017, 27, e2395. [Google Scholar] [CrossRef]
- El-Fergany, A. Optimal directional digital overcurrent relays coordination and arc-flash hazard assessments in meshed networks. Int. Trans. Electr. Energy Syst. 2015, 26, 134–154. [Google Scholar] [CrossRef]
- Ahmadianfar, I.; Bozorg-Haddad, O.; Chu, X. Gradient-based optimizer: A new metaheuristic optimization algorithm. Inf. Sci. 2020, 540, 131–159. [Google Scholar] [CrossRef]
- Mahdinia, S.; Rezaie, M.; Elveny, M.; Ghadimi, N.; Razmjooy, N. Optimization of PEMFC Model Parameters Using Meta-Heuristics. Sustainability 2021, 13, 12771. [Google Scholar] [CrossRef]
- Dehghani, M.; Ghiasi, M.; Niknam, T.; Kavousi-Fard, A.; Shasadeghi, M.; Ghadimi, N.; Taghizadeh-Hesary, F. Blockchain-Based Securing of Data Exchange in a Power Transmission System Considering Congestion Management and Social Welfare. Sustainability 2021, 13, 90. [Google Scholar] [CrossRef]
- Rizk-Allah, R.M.; El-Fergany, A.A. Effective coordination settings for directional overcurrent relay using hybrid Gradient-based optimizer. Appl. Soft Comput. 2021, 112, 107748. [Google Scholar] [CrossRef]
- Eelsayed, S.K.; Agwa, A.; Elattar, E.E.E.; El-Fergany, A. Steady-State Modelling of Pem Fuel Cells Using Gradient-Based Optimizer. DYNA—Ing. Ind. 2021, 96, 520–527. [Google Scholar] [CrossRef]
- El-Kordy, M.; El-Fergany, A.; Gawad, A.F.A. Various Metaheuristic-Based Algorithms for Optimal Relay Coordination: Review and Prospective. Arch. Comput. Methods Eng. 2021, 28, 3621–3629. [Google Scholar] [CrossRef]
- IEEE Std 242-2001; IEEE Recommended Practice for Protection and Coordination of Industrial and Commercial Power Systems. Institute of Electrical and Electronics Engineers: Piscataway, NJ, USA, 2001.
- IEC 60364-4-43; Low Voltage Electrical Installations Part 4-43: Protection for safety-protection against overcurrent. International Electrotechnical Commission: Geneva, Switzerland, 2008.
- IEEE C57.12.01-2015; IEEE Standard for General Requirements for Dry-Type Distribution and Power Transformers. Institute of Electrical and Electronics Engineers: Piscataway, NJ, USA, 2015.
- Alam, M.N.; Das, B.; Pant, V. A comparative study of metaheuristic optimization approaches for directional overcurrent relays coordination. Electr. Power Syst. Res. 2015, 128, 39–52. [Google Scholar] [CrossRef]
- Draz, A.; Elkholy, M.M.; El-Fergany, A.A. Slime mould algorithm constrained by the relay operating time for optimal coordination of directional overcurrent relays using multiple standardized tripping curves. Neural Comput. Appl. 2021, 33, 11875–11887. [Google Scholar] [CrossRef]
- Electrical Power System Analysis & Operation Software. Available online: https://etap.com/ (accessed on 23 December 2021).











| CCs Type | Std | ||||
|---|---|---|---|---|---|
| IEC | IEEE | ||||
| SI | ✓ | ✕ | 0.1400 | 0.0200 | 0.0000 |
| VI | ✓ | ✕ | 13.5000 | 1.0000 | 0.0000 |
| EI | ✓ | ✕ | 80.0000 | 2.0000 | 0.0000 |
| LI | ✓ | ✕ | 120.0000 | 1.0000 | 0.0000 |
| MI | ✕ | ✓ | 0.0515 | 0.0200 | 0.1140 |
| VI | ✕ | ✓ | 19.6100 | 2.0000 | 0.4910 |
| EI | ✕ | ✓ | 28.2000 | 2.0000 | 0.1217 |
| Power Cables | |||||||||
|---|---|---|---|---|---|---|---|---|---|
| Conductor | Type | Insulation | Type | (°C) | (°C) | Transmission Lines | |||
| Copper (CU) | 0.0297 | 234 | PVC | 70 | 160 | ||||
| XLPE/EPR | 90 | 250 | Type | ||||||
| Aluminum (AL) | 0.0125 | 228 | Rubber | 75 | 200 | AAC/ACAR | 132.4235 | ||
| Paper | 85 | 200 | ACSR | 170.1179 | |||||
| Relay ID | Scenario 1 | Scenario 2 | Scenario 3 | |||||
|---|---|---|---|---|---|---|---|---|
| 1 | 245.2154 | 0.0769 | 198.8608 | 0.0558 | EI | 200.6693 | 0.0674 | VI |
| 2 | 242.1648 | 0.0959 | 230.0005 | 0.0512 | EI | 230.0000 | 0.0734 | VI |
| 3 | 446.2669 | 0.0722 | 326.1272 | 0.0521 | EI | 387.1645 | 0.0548 | VI |
| 4 | 295.0000 | 0.0986 | 318.7285 | 0.0542 | EI | 407.6785 | 0.0490 | VI |
| 5 | 345.0000 | 0.0976 | 345.1292 | 0.0467 | EI | 349.3123 | 0.0558 | EI |
| 6 | 271.5379 | 0.0866 | 263.3328 | 0.0645 | EI | 250.0000 | 0.0739 | EI |
| 7 | 291.3159 | 0.0881 | 303.9544 | 0.0356 | EI | 271.9109 | 0.0539 | EI |
| 8 | 501.6190 | 0.0755 | 402.4457 | 0.0434 | EI | 396.0000 | 0.0574 | VI |
| 9 | 340.0234 | 0.0647 | 297.1377 | 0.0337 | EI | 340.4649 | 0.0374 | VI |
| 10 | 320.6639 | 0.0857 | 278.4108 | 0.0460 | EI | 293.2507 | 0.0516 | VI |
| 11 | 402.3677 | 0.0793 | 300.0018 | 0.0782 | EI | 303.3797 | 0.0730 | VI |
| 12 | 429.9626 | 0.0806 | 336.1315 | 0.0643 | EI | 447.4937 | 0.0542 | EI |
| 13 | 349.1431 | 0.0704 | 347.6792 | 0.0363 | VI | 357.7547 | 0.0360 | VI |
| 14 | 288.0940 | 0.0903 | 298.0157 | 0.0405 | EI | 271.1177 | 0.0648 | VI |
| 15 | 328.8095 | 0.0731 | 247.5089 | 0.0499 | EI | 303.5143 | 0.0538 | VI |
| 16 | 204.1901 | 0.0797 | 170.3275 | 0.0538 | EI | 209.0682 | 0.0529 | VI |
| 17 | 134.3431 | 0.0893 | 127.1071 | 0.0720 | EI | 135.0273 | 0.0645 | VI |
| 18 | 364.5879 | 0.0872 | 330.0068 | 0.0603 | VI | 393.5179 | 0.0755 | VI |
| 19 | 393.5610 | 0.0720 | 304.8611 | 0.0648 | EI | 333.1832 | 0.0609 | VI |
| 20 | 495.9189 | 0.0852 | 415.0082 | 0.0614 | EI | 441.5143 | 0.0647 | VI |
| 21 | 426.8790 | 0.0795 | 380.7279 | 0.0374 | EI | 460.0089 | 0.0638 | VI |
| 22 | 138.4039 | 0.0916 | 166.7603 | 0.0571 | VI | 137.5225 | 0.0689 | VI |
| 23 | 300.8530 | 0.0829 | 276.7387 | 0.0512 | VI | 322.4169 | 0.0527 | VI |
| 24 | 195.8838 | 0.0862 | 174.9163 | 0.0571 | VI | 170.0000 | 0.0648 | VI |
| 25 | 299.2712 | 0.0796 | 242.0540 | 0.0515 | EI | 266.1785 | 0.0456 | EI |
| 26 | 303.5105 | 0.0679 | 205.0000 | 0.0664 | EI | 223.3536 | 0.0620 | VI |
| 27 | 306.8094 | 0.0806 | 239.6638 | 0.0651 | VI | 236.8383 | 0.0602 | EI |
| 28 | 381.8977 | 0.0783 | 303.2900 | 0.0582 | EI | 300.0001 | 0.0577 | EI |
| 29 | 620.8050 | 0.0755 | 450.4305 | 0.0525 | EI | 493.8575 | 0.0588 | VI |
| 30 | 138.8182 | 0.0951 | 137.0251 | 0.0691 | EI | 181.7429 | 0.0564 | EI |
| 31 | 263.4773 | 0.0816 | 221.5581 | 0.0559 | VI | 220.0000 | 0.0570 | VI |
| 32 | 255.4869 | 0.0702 | 190.0056 | 0.0426 | EI | 203.5645 | 0.0615 | VI |
| 33 | 354.8464 | 0.0779 | 299.0247 | 0.0437 | EI | 332.4263 | 0.0538 | VI |
| 34 | 263.2423 | 0.0829 | 200.0010 | 0.0767 | EI | 217.5601 | 0.0643 | EI |
| 35 | 323.5058 | 0.0748 | 255.6778 | 0.0602 | VI | 271.2643 | 0.0367 | EI |
| 36 | 353.9631 | 0.0816 | 355.4702 | 0.0550 | VI | 290.0001 | 0.0607 | VI |
| 37 | 438.0994 | 0.0886 | 400.0012 | 0.0630 | VI | 407.2676 | 0.0421 | EI |
| 38 | 290.5859 | 0.0724 | 229.4515 | 0.0500 | EI | 246.0091 | 0.0414 | EI |
| 39 | 264.6272 | 0.0778 | 201.6115 | 0.0613 | EI | 249.5618 | 0.0385 | EI |
| 40 | 485.1641 | 0.0792 | 489.8822 | 0.0428 | VI | 522.3651 | 0.0382 | VI |
| 41 | 261.9881 | 0.0748 | 200.0461 | 0.0574 | EI | 252.4027 | 0.0438 | VI |
| 42 | 269.6373 | 0.0884 | 252.0226 | 0.0548 | VI | 303.9431 | 0.0428 | VI |
| OF (s) | 10.2601 | 2.0474 | 2.8198 | |||||
| P/B Relay Pair | Scenario 1 | Scenario 2 | Scenario 3 | |||||||
|---|---|---|---|---|---|---|---|---|---|---|
| P | B | |||||||||
| 1 | 6 | 0.1946 | 0.3948 | 0.2002 | 0.0135 | 0.2465 | 0.2329 | 0.0534 | 0.2536 | 0.2002 |
| 2 | 4 | 0.2213 | 0.4217 | 0.2004 | 0.0103 | 0.2117 | 0.2014 | 0.0522 | 0.2521 | 0.1999 |
| 2 | 16 | 0.2213 | 0.4264 | 0.2050 | 0.0103 | 0.2386 | 0.2284 | 0.0522 | 0.2796 | 0.2275 |
| 3 | 1 | 0.2260 | 0.4264 | 0.2004 | 0.0281 | 0.2567 | 0.2286 | 0.0797 | 0.2799 | 0.2003 |
| 3 | 16 | 0.2260 | 0.4264 | 0.2004 | 0.0281 | 0.2386 | 0.2105 | 0.0797 | 0.2796 | 0.1999 |
| 4 | 7 | 0.2490 | 0.4548 | 0.2058 | 0.0230 | 0.2302 | 0.2072 | 0.0678 | 0.2749 | 0.2071 |
| 4 | 12 | 0.2490 | 0.4552 | 0.2062 | 0.0230 | 0.2867 | 0.2636 | 0.0678 | 0.4480 | 0.3801 |
| 4 | 20 | 0.2490 | 0.4549 | 0.2059 | 0.0230 | 0.2734 | 0.2504 | 0.0678 | 0.2823 | 0.2144 |
| 5 | 2 | 0.2949 | 0.4953 | 0.2004 | 0.0409 | 0.2718 | 0.2309 | 0.0500 | 0.3293 | 0.2793 |
| 6 | 8 | 0.2603 | 0.4634 | 0.2031 | 0.0515 | 0.2514 | 0.1999 | 0.0532 | 0.2661 | 0.2129 |
| 6 | 10 | 0.2603 | 0.4810 | 0.2207 | 0.0515 | 0.2517 | 0.2001 | 0.0532 | 0.2533 | 0.2000 |
| 7 | 10 | 0.2811 | 0.4810 | 0.1999 | 0.0428 | 0.2517 | 0.2089 | 0.0518 | 0.2533 | 0.2015 |
| 8 | 3 | 0.2309 | 0.4308 | 0.1999 | 0.0257 | 0.2308 | 0.2051 | 0.0713 | 0.2765 | 0.2051 |
| 8 | 12 | 0.2309 | 0.4552 | 0.2243 | 0.0257 | 0.2867 | 0.2610 | 0.0713 | 0.4480 | 0.3766 |
| 8 | 20 | 0.2309 | 0.4549 | 0.2240 | 0.0257 | 0.2734 | 0.2477 | 0.0713 | 0.2823 | 0.2109 |
| 9 | 5 | 0.2054 | 0.4815 | 0.2761 | 0.0278 | 0.2429 | 0.2152 | 0.0660 | 0.2974 | 0.2314 |
| 9 | 8 | 0.2054 | 0.4634 | 0.2580 | 0.0278 | 0.2514 | 0.2237 | 0.0660 | 0.2661 | 0.2001 |
| 10 | 14 | 0.2432 | 0.4431 | 0.1999 | 0.0225 | 0.2225 | 0.2000 | 0.0624 | 0.2625 | 0.2001 |
| 11 | 3 | 0.2277 | 0.4308 | 0.2031 | 0.0300 | 0.2308 | 0.2008 | 0.0740 | 0.2765 | 0.2024 |
| 11 | 7 | 0.2277 | 0.4548 | 0.2271 | 0.0300 | 0.2302 | 0.2002 | 0.0740 | 0.2749 | 0.2009 |
| 11 | 20 | 0.2277 | 0.4549 | 0.2272 | 0.0300 | 0.2734 | 0.2434 | 0.0740 | 0.2823 | 0.2082 |
| 12 | 13 | 0.2421 | 0.4418 | 0.1997 | 0.0332 | 0.2414 | 0.2082 | 0.0500 | 0.2499 | 0.1999 |
| 12 | 24 | 0.2421 | 0.4419 | 0.1998 | 0.0332 | 0.2331 | 0.1999 | 0.0500 | 0.2552 | 0.2053 |
| 13 | 9 | 0.2117 | 0.4119 | 0.2002 | 0.0558 | 0.2561 | 0.2003 | 0.0571 | 0.2569 | 0.1999 |
| 14 | 11 | 0.2217 | 0.4216 | 0.1999 | 0.0136 | 0.2698 | 0.2562 | 0.0547 | 0.2552 | 0.2004 |
| 14 | 24 | 0.2217 | 0.4419 | 0.2203 | 0.0136 | 0.2331 | 0.2195 | 0.0547 | 0.2552 | 0.2005 |
| 15 | 1 | 0.1871 | 0.4264 | 0.2392 | 0.0111 | 0.2567 | 0.2457 | 0.0500 | 0.2799 | 0.2300 |
| 15 | 4 | 0.1871 | 0.4217 | 0.2346 | 0.0111 | 0.2117 | 0.2006 | 0.0500 | 0.2521 | 0.2021 |
| 16 | 18 | 0.2280 | 0.4685 | 0.2405 | 0.0254 | 0.2713 | 0.2460 | 0.0741 | 0.4332 | 0.3591 |
| 16 | 26 | 0.2280 | 0.4306 | 0.2026 | 0.0254 | 0.2874 | 0.2620 | 0.0741 | 0.2742 | 0.2001 |
| 17 | 15 | 0.2308 | 0.4684 | 0.2376 | 0.0266 | 0.2788 | 0.2522 | 0.0676 | 0.3310 | 0.2634 |
| 17 | 26 | 0.2308 | 0.4306 | 0.1998 | 0.0266 | 0.2874 | 0.2608 | 0.0676 | 0.2742 | 0.2066 |
| 18 | 19 | 0.1884 | 0.3983 | 0.2099 | 0.0332 | 0.2692 | 0.2361 | 0.0500 | 0.2639 | 0.2139 |
| 18 | 22 | 0.1884 | 0.4117 | 0.2233 | 0.0332 | 0.2704 | 0.2372 | 0.0500 | 0.2537 | 0.2037 |
| 18 | 30 | 0.1884 | 0.4117 | 0.2233 | 0.0332 | 0.2331 | 0.1999 | 0.0500 | 0.3458 | 0.2958 |
| 19 | 3 | 0.2123 | 0.4308 | 0.2186 | 0.0303 | 0.2308 | 0.2004 | 0.0748 | 0.2765 | 0.2017 |
| 19 | 7 | 0.2123 | 0.4548 | 0.2426 | 0.0303 | 0.2302 | 0.1999 | 0.0748 | 0.2749 | 0.2001 |
| 19 | 12 | 0.2123 | 0.4552 | 0.2430 | 0.0303 | 0.2867 | 0.2564 | 0.0748 | 0.4480 | 0.3732 |
| 20 | 17 | 0.2118 | 0.4118 | 0.1999 | 0.0145 | 0.2715 | 0.2570 | 0.0534 | 0.2534 | 0.2000 |
| 20 | 22 | 0.2118 | 0.4117 | 0.1999 | 0.0145 | 0.2704 | 0.2559 | 0.0534 | 0.2537 | 0.2003 |
| 20 | 30 | 0.2118 | 0.4117 | 0.1999 | 0.0145 | 0.2331 | 0.2187 | 0.0534 | 0.3458 | 0.2923 |
| 21 | 17 | 0.1815 | 0.4118 | 0.2303 | 0.0062 | 0.2715 | 0.2653 | 0.0500 | 0.2534 | 0.2034 |
| 21 | 19 | 0.1815 | 0.3983 | 0.2168 | 0.0062 | 0.2692 | 0.2631 | 0.0500 | 0.2639 | 0.2139 |
| 21 | 30 | 0.1815 | 0.4117 | 0.2302 | 0.0062 | 0.2331 | 0.2269 | 0.0500 | 0.3458 | 0.2958 |
| 22 | 23 | 0.2362 | 0.4860 | 0.2498 | 0.0721 | 0.2722 | 0.2001 | 0.0706 | 0.3492 | 0.2785 |
| 22 | 34 | 0.2362 | 0.4389 | 0.2027 | 0.0721 | 0.2723 | 0.2003 | 0.0706 | 0.2723 | 0.2016 |
| 23 | 11 | 0.2020 | 0.4216 | 0.2195 | 0.0413 | 0.2698 | 0.2286 | 0.0500 | 0.2552 | 0.2052 |
| 23 | 13 | 0.2020 | 0.4418 | 0.2398 | 0.0413 | 0.2414 | 0.2002 | 0.0500 | 0.2499 | 0.1999 |
| 24 | 21 | 0.2391 | 0.4858 | 0.2467 | 0.0635 | 0.2690 | 0.2054 | 0.0700 | 0.4572 | 0.3872 |
| 24 | 34 | 0.2391 | 0.4389 | 0.1998 | 0.0635 | 0.2723 | 0.2088 | 0.0700 | 0.2723 | 0.2023 |
| 25 | 15 | 0.2682 | 0.4684 | 0.2002 | 0.0466 | 0.2788 | 0.2322 | 0.0500 | 0.3310 | 0.2810 |
| 25 | 18 | 0.2682 | 0.4685 | 0.2003 | 0.0466 | 0.2713 | 0.2247 | 0.0500 | 0.4332 | 0.3832 |
| 26 | 28 | 0.2301 | 0.4758 | 0.2457 | 0.0426 | 0.3223 | 0.2797 | 0.0900 | 0.3121 | 0.2221 |
| 26 | 36 | 0.2301 | 0.4944 | 0.2643 | 0.0426 | 0.3501 | 0.3075 | 0.0900 | 0.2902 | 0.2002 |
| 27 | 25 | 0.2945 | 0.4987 | 0.2043 | 0.1189 | 0.3191 | 0.2002 | 0.0677 | 0.3468 | 0.2791 |
| 27 | 36 | 0.2945 | 0.4944 | 0.1999 | 0.1189 | 0.3501 | 0.2312 | 0.0677 | 0.2902 | 0.2225 |
| 28 | 29 | 0.2846 | 0.4844 | 0.1998 | 0.0682 | 0.2713 | 0.2032 | 0.0661 | 0.2941 | 0.2280 |
| 28 | 32 | 0.2846 | 0.4844 | 0.1998 | 0.0682 | 0.2737 | 0.2055 | 0.0661 | 0.3426 | 0.2765 |
| 29 | 17 | 0.1983 | 0.4118 | 0.2135 | 0.0123 | 0.2715 | 0.2592 | 0.0500 | 0.2534 | 0.2034 |
| 29 | 19 | 0.1983 | 0.3983 | 0.2000 | 0.0123 | 0.2692 | 0.2570 | 0.0500 | 0.2639 | 0.2139 |
| 29 | 22 | 0.1983 | 0.4117 | 0.2134 | 0.0123 | 0.2704 | 0.2581 | 0.0500 | 0.2537 | 0.2037 |
| 30 | 27 | 0.2568 | 0.4569 | 0.2001 | 0.0346 | 0.2634 | 0.2288 | 0.0500 | 0.2638 | 0.2138 |
| 30 | 32 | 0.2568 | 0.4844 | 0.2276 | 0.0346 | 0.2737 | 0.2390 | 0.0500 | 0.3426 | 0.2926 |
| 31 | 27 | 0.2338 | 0.4569 | 0.2232 | 0.0632 | 0.2634 | 0.2002 | 0.0639 | 0.2638 | 0.1999 |
| 31 | 29 | 0.2338 | 0.4844 | 0.2507 | 0.0632 | 0.2713 | 0.2081 | 0.0639 | 0.2941 | 0.2302 |
| 32 | 33 | 0.2299 | 0.4542 | 0.2243 | 0.0290 | 0.2479 | 0.2189 | 0.0906 | 0.2910 | 0.2004 |
| 32 | 42 | 0.2299 | 0.5037 | 0.2738 | 0.0290 | 0.2846 | 0.2556 | 0.0906 | 0.2910 | 0.2004 |
| 33 | 21 | 0.2860 | 0.4858 | 0.1998 | 0.0598 | 0.2690 | 0.2091 | 0.1224 | 0.4572 | 0.3348 |
| 33 | 23 | 0.2860 | 0.4860 | 0.2000 | 0.0598 | 0.2722 | 0.2123 | 0.1224 | 0.3492 | 0.2268 |
| 34 | 31 | 0.3037 | 0.5038 | 0.2001 | 0.0846 | 0.2847 | 0.2002 | 0.0841 | 0.2872 | 0.2031 |
| 34 | 42 | 0.3037 | 0.5037 | 0.2000 | 0.0846 | 0.2846 | 0.2000 | 0.0841 | 0.2910 | 0.2069 |
| 35 | 25 | 0.2752 | 0.4987 | 0.2235 | 0.1130 | 0.3191 | 0.2061 | 0.0500 | 0.3468 | 0.2968 |
| 35 | 28 | 0.2752 | 0.4758 | 0.2006 | 0.1130 | 0.3223 | 0.2093 | 0.0500 | 0.3121 | 0.2621 |
| 36 | 38 | 0.2508 | 0.4511 | 0.2003 | 0.0901 | 0.2904 | 0.2003 | 0.0794 | 0.2795 | 0.2001 |
| 37 | 35 | 0.3008 | 0.5013 | 0.2005 | 0.1173 | 0.3175 | 0.2002 | 0.0521 | 0.2859 | 0.2338 |
| 38 | 40 | 0.3166 | 0.5168 | 0.2002 | 0.1099 | 0.3097 | 0.1997 | 0.1051 | 0.3061 | 0.2011 |
| 39 | 37 | 0.3168 | 0.5166 | 0.1998 | 0.0989 | 0.3291 | 0.2302 | 0.0962 | 0.2959 | 0.1997 |
| 40 | 41 | 0.2915 | 0.4961 | 0.2046 | 0.1067 | 0.3570 | 0.2503 | 0.1030 | 0.3030 | 0.2000 |
| 41 | 31 | 0.2544 | 0.5038 | 0.2494 | 0.0478 | 0.2847 | 0.2369 | 0.0868 | 0.2872 | 0.2003 |
| 41 | 33 | 0.2544 | 0.4542 | 0.1998 | 0.0478 | 0.2479 | 0.2001 | 0.0868 | 0.2910 | 0.2042 |
| 42 | 39 | 0.2410 | 0.4411 | 0.2001 | 0.0612 | 0.2615 | 0.2002 | 0.0587 | 0.2590 | 0.2003 |
| ∑ | 19.5582 | 37.2361 | 17.6782 | 3.5536 | 21.9888 | 18.4356 | 5.4143 | 24.4764 | 19.0615 | |
| P/B Relay Pair | 3-Phase Fault | 2-Phase Fault | |||
|---|---|---|---|---|---|
| P | B | ||||
| 2 | 1 | 6.174 | 4.537 | 5.567 | 4.045 |
| 3 | 1 | 6.211 | 4.317 | 5.565 | 3.836 |
| 4 | 1 | 5.712 | 3.97 | 5.101 | 3.516 |
| 5 | 1 | 6.349 | 4.535 | 5.716 | 4.043 |
| 6 | 1 | 4.865 | 3.493 | 4.293 | 3.086 |
| 7 | 1 | 4.865 | 3.493 | 4.298 | 3.083 |
| 8 | 5 | 0.945 | 3.15 | 0.834 | 3.209 |
| 10 | 9 | 6.185 | 4.531 | 5.548 | 4.041 |
| 11 | 9 | 6.367 | 4.535 | 5.705 | 4.044 |
| 12 | 9 | 6.442 | 4.464 | 5.759 | 3.977 |
| 13 | 9 | 4.869 | 3.484 | 4.287 | 3.081 |
| 14 | 9 | 5.656 | 4.008 | 5.03 | 3.549 |
| 15 | 9 | 5.812 | 4.078 | 5.147 | 3.62 |
| 16 | 11 | 0.946 | 3.154 | 0.833 | 3.206 |
| Relay ID | Scenario 1 | Scenario 2 | |||||||||
|---|---|---|---|---|---|---|---|---|---|---|---|
| Curve | IEC | IEEE | Curve | IEC | IEEE | ||||||
| 1 | 628.3 | 707.0480 | 0.3356 | VI | ✕ | ✓ | 779.6370 | 0.3040 | VI | ✕ | ✓ |
| 2 | 180.8 | 180.8000 | 0.2147 | VI | ✓ | ✕ | 269.4136 | 0.5192 | EI | ✕ | ✓ |
| 3 | 68 | 91.8804 | 0.3239 | EI | ✓ | ✕ | 91.5472 | 0.7414 | EI | ✕ | ✓ |
| 4 | 68 | 88.8047 | 0.3466 | EI | ✓ | ✕ | 91.9678 | 0.5890 | EI | ✕ | ✓ |
| 5 | 106 | 122.5999 | 0.4077 | VI | ✓ | ✕ | 137.8547 | 0.4262 | VI | ✓ | ✕ |
| 6 | 103.9 | 142.2529 | 0.9076 | EI | ✓ | ✕ | 144.7595 | 0.9375 | EI | ✓ | ✕ |
| 7 | 103.9 | 143.2030 | 0.8946 | EI | ✓ | ✕ | 147.0365 | 0.8538 | EI | ✓ | ✕ |
| 8 | 31.8 | 31.8000 | 0.1000 | EI | ✓ | ✕ | 41.4839 | 0.1000 | VI | ✓ | ✕ |
| 9 | 663.9 | 881.5404 | 0.2451 | VI | ✕ | ✓ | 866.5552 | 0.2168 | MI | ✕ | ✓ |
| 10 | 180.9 | 267.8911 | 0.5228 | EI | ✕ | ✓ | 269.8280 | 0.3294 | EI | ✓ | ✕ |
| 11 | 106.3 | 120.0446 | 0.4168 | VI | ✓ | ✕ | 146.3529 | 0.3806 | VI | ✓ | ✕ |
| 12 | 67.8 | 88.9917 | 0.6138 | EI | ✕ | ✓ | 73.8600 | 0.7654 | EI | ✕ | ✓ |
| 13 | 103.9 | 141.1091 | 0.9240 | EI | ✓ | ✕ | 151.3325 | 0.8243 | EI | ✓ | ✕ |
| 14 | 135.9 | 165.2193 | 0.4009 | EI | ✓ | ✕ | 166.0149 | 0.7253 | EI | ✓ | ✕ |
| 15 | 71.5 | 105.8773 | 0.7745 | EI | ✓ | ✕ | 107.2474 | 0.9999 | EI | ✓ | ✕ |
| 16 | 31.9 | 31.9000 | 0.1000 | EI | ✓ | ✕ | 46.1682 | 0.2648 | EI | ✕ | ✓ |
| TOT (s) | 0.7381 | 1.0387 | |||||||||
| Relay Pair ID | P/B Relay Pair | ||||||||
|---|---|---|---|---|---|---|---|---|---|
| P | B | ||||||||
| 1 | 2 | 1 | 0.0874 | 0.3286 | 0.2411 | 0.2002 | 0.1002 | 4.0142 | 3.9268 |
| 2 | 3 | 1 | 0.0057 | 0.3462 | 0.3405 | 0.1999 | 0.0999 | 0.5581 | 0.5525 |
| 3 | 4 | 1 | 0.0067 | 0.3804 | 0.3737 | 0.1998 | 0.0998 | 0.6600 | 0.6533 |
| 4 | 5 | 1 | 0.1084 | 0.3287 | 0.2204 | 0.1999 | 0.0999 | 5.9320 | 5.8237 |
| 5 | 6 | 1 | 0.0621 | 0.4459 | 0.3838 | 5.9974 | 2.9974 | 0.3698 | 0.3077 |
| 6 | 7 | 1 | 0.0621 | 0.4459 | 0.3839 | 5.9973 | 2.9973 | 0.3698 | 0.3077 |
| 7 | 8 | 5 | 0.0091 | 0.2229 | 0.2138 | - | - | - | - |
| 8 | 10 | 9 | 0.0913 | 0.3094 | 0.2181 | 0.1999 | 0.0999 | 4.0000 | 3.9086 |
| 9 | 11 | 9 | 0.1081 | 0.3091 | 0.2010 | 0.1999 | 0.0999 | 5.8986 | 5.7905 |
| 10 | 12 | 9 | 0.0780 | 0.3154 | 0.2374 | 0.1999 | 0.0999 | 0.5188 | 0.4409 |
| 11 | 13 | 9 | 0.0621 | 0.4491 | 0.3870 | 6.0000 | 3.0000 | 0.3691 | 0.3070 |
| 12 | 14 | 9 | 0.0274 | 0.3647 | 0.3373 | 0.2000 | 0.1000 | 2.6899 | 2.6625 |
| 13 | 15 | 9 | 0.0206 | 0.3560 | 0.3354 | 5.9975 | 2.9975 | 0.1240 | 0.1035 |
| 14 | 16 | 11 | 0.0091 | 0.2226 | 0.2135 | - | - | - | - |
| ∑ | 0.7381 | 4.8249 | 4.0869 | ||||||
| Relay Pair ID | P/B Relay Pair | ||||||||
|---|---|---|---|---|---|---|---|---|---|
| P | B | ||||||||
| 1 | 2 | 1 | 0.0911 | 0.3307 | 0.2395 | 0.2001 | 0.1001 | 4.0142 | 3.9231 |
| 2 | 3 | 1 | 0.0948 | 0.3503 | 0.2555 | 0.2504 | 0.1504 | 0.5581 | 0.4634 |
| 3 | 4 | 1 | 0.0760 | 0.3884 | 0.3124 | 0.2001 | 0.1001 | 0.6600 | 0.5840 |
| 4 | 5 | 1 | 0.1277 | 0.3308 | 0.2031 | 0.2360 | 0.1360 | 5.9320 | 5.8044 |
| 5 | 6 | 1 | 0.0665 | 0.4618 | 0.3954 | 6.4341 | 3.4341 | 0.3698 | 0.3033 |
| 6 | 7 | 1 | 0.0624 | 0.4618 | 0.3994 | 6.0619 | 3.0619 | 0.3698 | 0.3073 |
| 7 | 8 | 5 | 0.0620 | 0.2633 | 0.2013 | - | - | - | - |
| 8 | 10 | 9 | 0.0502 | 0.3566 | 0.3064 | 0.2472 | 0.1472 | 4.0000 | 3.9497 |
| 9 | 11 | 9 | 0.1209 | 0.3565 | 0.2356 | 0.2243 | 0.1243 | 5.8986 | 5.7777 |
| 10 | 12 | 9 | 0.0960 | 0.3597 | 0.2637 | 0.2005 | 0.1005 | 0.5188 | 0.4229 |
| 11 | 13 | 9 | 0.0638 | 0.4204 | 0.3566 | 6.2322 | 3.2322 | 0.3691 | 0.3054 |
| 12 | 14 | 9 | 0.0500 | 0.3837 | 0.3336 | 0.3653 | 0.2653 | 2.6899 | 2.6399 |
| 13 | 15 | 9 | 0.0272 | 0.3796 | 0.3524 | 7.9646 | 4.9646 | 0.1240 | 0.0968 |
| 14 | 16 | 11 | 0.0501 | 0.2500 | 0.2000 | - | - | - | - |
| ∑ | 1.0387 | 5.0936 | 4.0549 | ||||||
| Scenario 1 | |||||||||||
|---|---|---|---|---|---|---|---|---|---|---|---|
| TOT | Min | Max | Mean | Median | SD | Elapsed Time (s) | |||||
| GBO | 0.7381 | 0.7385 | 1.2336 | 1.0116 | 1.0396 | 0.1774 | 0 | 1000 | 1000 | 10000 | 185.9983 |
| PSO | 1.1614 | 1.1610 | 3036.6235 | 1126.6009 | 40.2700 | 1532.762 | 0 | 1000 | 1000 | 10000 | 227.2286 |
| WCA | 1.0614 | 1.0619 | 42.7392 | 12.9535 | 1.2226 | 18.3029 | 0 | 1000 | 1000 | 10000 | 400.4712 |
| Scenario 2 | |||||||||||
| GBO | 1.0387 | 3.3137 | 4.3728 | 3.6892 | 3.4044 | 0.4815 | 100 | 10 | 10 | 100 | 175.8350 |
| PSO | 1.3181 | 3.9370 | 35.1902 | 10.3495 | 4.2033 | 13.8870 | 100 | 10 | 10 | 100 | 176.1993 |
| WCA | 1.1281 | 3.4031 | 4.7424 | 4.1908 | 4.2593 | 0.4858 | 100 | 10 | 10 | 100 | 420.3673 |
Publisher’s Note: MDPI stays neutral with regard to jurisdictional claims in published maps and institutional affiliations. |
© 2022 by the authors. Licensee MDPI, Basel, Switzerland. This article is an open access article distributed under the terms and conditions of the Creative Commons Attribution (CC BY) license (https://creativecommons.org/licenses/by/4.0/).
Share and Cite
Draz, A.; Elkholy, M.M.; El-Fergany, A. Over-Current Relays Coordination Including Practical Constraints and DGs: Damage Curves, Inrush, and Starting Currents. Sustainability 2022, 14, 2761. https://doi.org/10.3390/su14052761
Draz A, Elkholy MM, El-Fergany A. Over-Current Relays Coordination Including Practical Constraints and DGs: Damage Curves, Inrush, and Starting Currents. Sustainability. 2022; 14(5):2761. https://doi.org/10.3390/su14052761
Chicago/Turabian StyleDraz, Abdelmonem, Mahmoud M. Elkholy, and Attia El-Fergany. 2022. "Over-Current Relays Coordination Including Practical Constraints and DGs: Damage Curves, Inrush, and Starting Currents" Sustainability 14, no. 5: 2761. https://doi.org/10.3390/su14052761
APA StyleDraz, A., Elkholy, M. M., & El-Fergany, A. (2022). Over-Current Relays Coordination Including Practical Constraints and DGs: Damage Curves, Inrush, and Starting Currents. Sustainability, 14(5), 2761. https://doi.org/10.3390/su14052761

