Incorporation of Bentonite Mining Waste in Ceramic Formulations for the Manufacturing of Porcelain Stoneware
Abstract
1. Introduction
2. Materials and Methods
2.1. Materials
2.2. Sample Preparation, Sintering Treatments, and Characterizations
3. Results and Discussion
3.1. Raw Materials (Chemical and Mineralogical Composition)
3.2. Thermogravimetric Analysis of Raw Materials and Granulometry of the Bentonite Waste
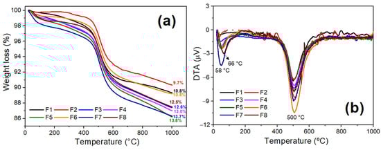
3.3. Ceramic Mass Formulations (Chemical, Mineralogical Composition, and Thermal Behavior)
3.4. Sintered Samples (Physical and Mechanical Properties)
3.5. Mineralogical Phases and Morphology of the Samples after Sintering
4. Conclusions
Author Contributions
Funding
Institutional Review Board Statement
Informed Consent Statement
Data Availability Statement
Acknowledgments
Conflicts of Interest
References
- Brazilian Mining Association—IBRAM: Mineral Sector 2021. Available online: https://ibram.org.br/ (accessed on 7 October 2022).
- Muhammad, N.; Siddiqua, S. Calcium Bentonite vs Sodium Bentonite: The Potential of Calcium Bentonite for Soil Foundation. Mater. Today Proc. 2022, 48, 822–827. [Google Scholar] [CrossRef]
- Magzoub, M.I.; Nasser, M.S.; Hussein, I.A.; Benamor, A.; Onaizi, S.A.; Sultan, A.S.; Mahmoud, M.A. Effects of Sodium Carbonate Addition, Heat and Agitation on Swelling and Rheological Behavior of Ca-Bentonite Colloidal Dispersions. Appl. Clay Sci. 2017, 147, 176–183. [Google Scholar] [CrossRef]
- Chakraborty, S.; Anoop, V.; George, N.; Bhagyasree, T.; Mary, N.L. Physicochemical Stability Evaluation of Cosmetic Formulations of PVA, Starch and MMT Clay Nanocomposites. SN Appl. Sci. 2019, 1, 581. [Google Scholar] [CrossRef]
- Cavalcanti, R.K.B.C.; Brasileiro, C.T.; Macedo, R.O.; Ferreira, H.S. Mineral Make up Developed from Natural and Organophilic Bentonite Clays. Ceramica 2018, 64, 266–275. [Google Scholar] [CrossRef][Green Version]
- Dardir, F.M.; Mohamed, A.S.; Abukhadra, M.R.; Ahmed, E.A.; Soliman, M.F. Cosmetic and Pharmaceutical Qualifications of Egyptian Bentonite and Its Suitability as Drug Carrier for Praziquantel Drug. Eur. J. Pharm. Sci. 2018, 115, 320–329. [Google Scholar] [CrossRef] [PubMed]
- Martsouka, F.; Papagiannopoulos, K.; Hatziantoniou, S.; Barlog, M.; Lagiopoulos, G.; Tatoulis, T.; Tekerlekopoulou, A.G.; Lampropoulou, P.; Papoulis, D. The Antimicrobial Properties of Modified Pharmaceutical Bentonite with Zinc and Copper. Pharmaceutics 2021, 13, 1190. [Google Scholar] [CrossRef]
- Magzoub, M.; Mahmoud, M.; Nasser, M.; Hussein, I.; Elkatatny, S.; Sultan, A. Thermochemical Upgrading of Calcium Bentonite for Drilling Fluid Applications. J. Energy Resour. Technol. Trans. ASME 2019, 141, 042902. [Google Scholar] [CrossRef]
- Zhang, J.; Xu, M.; Christidis, G.; Zhou, C. Clay Minerals in Drilling Fluids: Functions and Challenges. Clay Miner. 2020, 55, 1–11. [Google Scholar] [CrossRef]
- Rizzi, V.; Gubitosa, J.; Fini, P.; Romita, R.; Agostiano, A.; Nuzzo, S.; Cosma, P. Commercial Bentonite Clay as Low-Cost and Recyclable "Natural" Adsorbent for the Carbendazim Removal/Recover from Water: Overview on the Adsorption Process and Preliminary Photodegradation Considerations. Colloids Surfaces A Physicochem. Eng. Asp. 2020, 602, 125060. [Google Scholar] [CrossRef]
- Khalilzadeh Shirazi, E.; Metzger, J.W.; Fischer, K.; Hassani, A.H. Removal of Textile Dyes from Single and Binary Component Systems by Persian Bentonite and a Mixed Adsorbent of Bentonite/Charred Dolomite. Colloids Surfaces A Physicochem. Eng. Asp. 2020, 598, 124807. [Google Scholar] [CrossRef]
- Visentin, C.; Zanella, P.; Kronhardt, B.K.; da Trentin, A.W.S.; Braun, A.B.; Thomé, A. Use of Geosynthetic Clay Liner as a Waterproofing Barrier in Sanitary Landfills. J. Urban Environ. Eng. 2019, 13, 115–124. [Google Scholar] [CrossRef]
- Resumo Mineral Do Estado da Paraíba. Available online: http://www.cinep.pb.gov.br/ (accessed on 7 October 2022).
- Alves, J.L.; Zanini, A.E.; de Souza, M.E.; Nascimento, M.L.F. Study of Selection and Purification of Brazilian Bentonite Clay by Elutriation: A XRF, SEM and Rietveld Analysis. Cerâmica 2016, 62, 1–8. [Google Scholar] [CrossRef]
- Ribeiro, A.; Kroetz, B.L.; Tarley, C.R.T.; Abrao, T.; Parreira, P.S.; Santos, M.J. Separating Selenium Species by Diffusion in Brazilian Bentonite: A Mathematical Modeling Approach. Environ. Sci. Pollut. Res. 2022, 29, 88119–88130. [Google Scholar] [CrossRef] [PubMed]
- Cota, T.; Reis, E.; Lima, R.; Cipriano, R.A.S. Incorporation of Waste from Ferromanganese Alloy Manufacture and Soapstone Powder in Red Ceramic Production. Appl. Clay Sci. 2018, 161, 274–281. [Google Scholar] [CrossRef]
- De Almeida, E.P.; de Brito, I.P.; Ferreira, H.C.; de Lira, H.L.; de Lima Santana, L.N.; de Araújo Neves, G. Cordierite Obtained from Compositions Containing Kaolin Waste, Talc and Magnesium Oxide. Ceram. Int. 2018, 44, 1719–1725. [Google Scholar] [CrossRef]
- de Brito, I.P.; de Almeida, E.P.; de Araújo Neves, G.; de Lucena Lira, H.; Menezes, R.R.; da Silva, V.J.; de Lima Santana, L.N. Development of Cordierite/Mullite Composites Using Industrial Wastes. Int. J. Appl. Ceram. Technol. 2021, 18, 253–261. [Google Scholar] [CrossRef]
- Fernandes, J.V.; Guedes, D.G.; da Costa, F.P.; Rodrigues, A.M.; de Neves, G.A.; Menezes, R.R.; Santana, L.N.d.L. Sustainable Ceramic Materials Manufactured from Ceramic Formulations Containing Quartzite and Scheelite Tailings. Sustainability 2020, 12, 9417. [Google Scholar] [CrossRef]
- De Figueirêdo, J.M.R.; da Costa, F.P.; Fernandes, J.V.; Rodrigues, A.M.; de Neves, G.A.; Menezes, R.R.; Santana, L.N.d.L. Development of Scheelite Tailings-Based Ceramic Formulations with the Potential to Manufacture Porcelain Tiles, Semi-Stoneware and Stoneware. Materials 2020, 13, 5122. [Google Scholar] [CrossRef]
- Fontes, W.C.; Franco de Carvalho, J.M.; Andrade, L.C.R.; Segadães, A.M.; Peixoto, R.A.F. Assessment of the Use Potential of Iron Ore Tailings in the Manufacture of Ceramic Tiles: From Tailings-Dams to “Brown Porcelain”. Constr. Build. Mater. 2019, 206, 111–121. [Google Scholar] [CrossRef]
- Marrocchino, E.; Zanelli, C.; Guarini, G.; Dondi, M. Recycling Mining and Construction Wastes as Temper in Clay Bricks. Appl. Clay Sci. 2021, 209, 106152. [Google Scholar] [CrossRef]
- Loutou, M.; Taha, Y.; Benzaazoua, M.; Daafi, Y.; Hakkou, R. Valorization of Clay By-Product from Moroccan Phosphate Mines for the Production of Fired Bricks. J. Clean. Prod. 2019, 229, 169–179. [Google Scholar] [CrossRef]
- Vilela, A.P.; Eugênio, T.M.C.; de Oliveira, F.F.; Mendes, J.F.; Ribeiro, A.G.C.; de Brandão Vaz, L.E.V.S.; Mendes, R.F. Technological Properties of Soil-Cement Bricks Produced with Iron Ore Mining Waste. Constr. Build. Mater. 2020, 262, 120883. [Google Scholar] [CrossRef]
- Benahsina, A.; Taha, Y.; Bouachera, R.; Elomari, M.; Bennouna, M.A. Manufacture and Characterization of Fired Bricks from Gold Mine Waste Rocks. Minerals 2021, 11, 695. [Google Scholar] [CrossRef]
- Benahsina, A.; El Haloui, Y.; Taha, Y.; Elomari, M.; Bennouna, M.A. Substitution of Natural Clay by Moroccan Solid Mining Wastes to Manufacture Fired Bricks. Mater. Today Proc. 2022, 58, 1324–1330. [Google Scholar] [CrossRef]
- Carvalho Eugênio, T.M.; Francisco Fagundes, J.; Santos Viana, Q.; Pereira Vilela, A.; Farinassi Mendes, R. Study on the Feasibility of Using Iron Ore Tailing (Iot) on Technological Properties of Concrete Roof Tiles. Constr. Build. Mater. 2021, 279, 122484. [Google Scholar] [CrossRef]
- Veiga Simão, F.; Chambart, H.; Vandemeulebroeke, L.; Cappuyns, V. Incorporation of Sulphidic Mining Waste Material in Ceramic Roof Tiles and Blocks. J. Geochemical Explor. 2021, 225, 106741. [Google Scholar] [CrossRef]
- Ahmed, M.M.; Abadir, M.; Yousef, A.; El-Naggar, K.A.M. The Use of Aluminum Slag Waste in the Preparation of Roof Tiles. Mater. Res. Express 2021, 8, 125501. [Google Scholar] [CrossRef]
- Almeida, E.P.; Carreiro, M.E.A.; Rodrigues, A.M.; Ferreira, H.S.; Santana, L.N.L.; Menezes, R.R.; Neves, G.A. A New Eco-Friendly Mass Formulation Based on Industrial Mining Residues for the Manufacture of Ceramic Tiles. Ceram. Int. 2021, 47, 11340–11348. [Google Scholar] [CrossRef]
- Wang, W.; Chen, W.; Liu, H. Recycling of Waste Red Mud for Fabrication of SiC/Mullite Composite Porous Ceramics. Ceram. Int. 2019, 45, 9852–9857. [Google Scholar] [CrossRef]
- Da Silva, V.J.; da Silva, M.F.; Gonçalves, W.P.; de Menezes, R.R.; de Araújo Neves, G.; de Lucena Lira, H.; de Lima Santana, L.N. Porous Mullite Blocks with Compositions Containing Kaolin and Alumina Waste. Ceram. Int. 2016, 42, 15471–15478. [Google Scholar] [CrossRef]
- Da Costa, F.P.; da Morais, C.R.S.; Rodrigues, A.M. Sustainable Glass-Ceramic Foams Manufactured from Waste Glass Bottles and Bentonite. Ceram. Int. 2020, 46, 17957–17961. [Google Scholar] [CrossRef]
- Da Costa, F.P.; da Morais, C.R.S.; Pinto, H.C.; Rodrigues, A.M. Microstructure and Physico-Mechanical Properties of Al2O3-Doped Sustainable Glass-Ceramic Foams. Mater. Chem. Phys. 2020, 256, 123612. [Google Scholar] [CrossRef]
- De Medeiros, P.S.S.; Lira, H.D.L.; Rodriguez, M.A.; Menezes, R.R.; Neves, G.D.A.; Santana, L.N.D.L. Incorporation of Quartzite Waste in Mixtures Used to Prepare Sanitary Ware. J. Mater. Res. Technol. 2019, 8, 2148–2156. [Google Scholar] [CrossRef]
- Ferreira, I.C.; Galéry, R.; Henriques, A.B.; Paula De Carvalho Teixeira, A.; Prates, C.D.; Lima, A.S.; Souza Filho, I.R. Reuse of Iron Ore Tailings for Production of Metakaolin-Based Geopolymers. J. Mater. Res. Technol. 2022, 18, 4194–4200. [Google Scholar] [CrossRef]
- Goulart Bezerra, C.; Abelha Rocha, C.A.; de Siqueira, I.S.; Toledo Filho, R.D. Feasibility of Iron-Rich Ore Tailing as Supplementary Cementitious Material in Cement Pastes. Constr. Build. Mater. 2021, 303, 124496. [Google Scholar] [CrossRef]
- HK, T.; Hossiney, N. A Short Review on Environmental Impacts and Application of Iron Ore Tailings in Development of Sustainable Eco-Friendly Bricks. Mater. Today Proc. 2022, 61, 327–331. [Google Scholar] [CrossRef]
- Rodrigues, A.M.; da Costa, F.P.; Beltrão, S.L.D.; Fernandes, J.V.; Menezes, R.R.; Neves, G.d.A. Development of Eco-Friendly Mortars Produced with Kaolin Processing Waste: Durability Behavior Viewpoint. Sustainability 2021, 13, 11395. [Google Scholar] [CrossRef]
- da Silva, M.R.C.; Malacarne, C.S.; Longhi, M.A.; Kirchheim, A.P. Valorization of Kaolin Mining Waste from the Amazon Region (Brazil) for the Low-Carbon Cement Production. Case Stud. Constr. Mater. 2021, 15, e00756. [Google Scholar] [CrossRef]
- Carreiro, M.E.A.; da Silva, V.J.; Rodrigues, A.M.; de Barbosa, E.P.A.; da Costa, F.P.; Menezes, R.R.; Neves, G.A.; Santana, L.N.d.L. Firing Parameters Effect on the Physical and Mechanical Properties of Scheelite Tailings-Containing Ceramic Masses. Sustainability 2022, 14, 333. [Google Scholar] [CrossRef]
- Souza, M.M.; Anjos, M.A.S.; Sá, M.V.V.A. Using Scheelite Residue and Rice Husk Ash to Manufacture Lightweight Aggregates. Constr. Build. Mater. 2021, 270, 121845. [Google Scholar] [CrossRef]
- Barbosa, M.Z.; de Oliveira Dias, J.; Marvila, M.T.; de Azevedo, A.R.G. Life Cycle Approach Applied to the Production of Ceramic Materials Incorporated with Ornamental Stone Wastes. Environ. Sci. Pollut. Res. 2022, 29, 9957–9970. [Google Scholar] [CrossRef] [PubMed]
- Paes, A.L.; Alexandre, J.; de Xavier, G.C.; Monteiro, S.N.; de Azevedo, A.R.G. Feasibility Analysis of Mortar Development with Ornamental Rock Waste for Coating Application by Mechanized Projection. Sustainability 2022, 14, 5101. [Google Scholar] [CrossRef]
- De Oliveira Neto, R.E.; de Cartaxo, J.M.; Rodrigues, A.M.; Barros, S.V.A.; da Costa, F.P.; de Neves, G.A.; Menezes, R.R. New Sustainable Mortar Compositions Containing Perlite Waste. Clean Technol. Environ. Policy 2022, 24, 1403–1415. [Google Scholar] [CrossRef]
- Abed, M.; Fořt, J.; Rashid, K. Multicriterial Life Cycle Assessment of Eco-Efficient Self-Compacting Concrete Modified by Waste Perlite Powder and/or Recycled Concrete Aggregate. Constr. Build. Mater. 2022, 348, 128696. [Google Scholar] [CrossRef]
- Fabien, A.; Sebaibi, N.; Boutouil, M. Effect of Several Parameters on Non-Autoclaved Aerated Concrete: Use of Recycling Waste Perlite. Eur. J. Environ. Civ. Eng. 2022, 26, 58–75. [Google Scholar] [CrossRef]
- Evaristo De Oliveira Neto, R.; De Melo Cartaxo, J.; Mendes Rodrigues, A.; De Araújo Neves, G.; Rodrigues Menezes, R.; Pereira Da Costa, F.; Valensca, S.; Barros, A. Durability Behavior of Mortars Containing Perlite Tailings: Alkali-Silicate Reaction Viewpoint. Sustainability 2021, 13, 9203. [Google Scholar] [CrossRef]
- Araújo, M.E.B.; Silva, V.C.; Fernandes, J.V.; Cartaxo, J.M.; Rodrigues, A.M.; Menezes, R.R.; de Araújo Neves, G. Innovative Adsorbents Based on Bentonite Mining Waste for Removal of Cationic Dyes from Wastewater. Environ. Sci. Pollut. Res. 2022, 1–17. [Google Scholar] [CrossRef]
- ISO Internacional ISO 10545-3; Ceramic Tiles—Part 3: Determination of Water Absorption, Apparent Porosity, Apparent Relative Density and Bulk Density. Turkish Standards Institution: Ankara, Turkey, 2014.
- Pazniak, A.; Barantseva, S.; Kuzmenkova, O.; Kuznetsov, D. Effect of Granitic Rock Wastes and Basalt on Microstructure and Properties of Porcelain Stoneware. Mater. Lett. 2018, 225, 122–125. [Google Scholar] [CrossRef]
- Brasileiro, C.T.; de Filho, H.D.A.; Santana, G.L.; Lot, A.V.; Conte, S.; Zanelli, C.; Dondi, M.; Boschi, A.O. Sericite Instead of Feldspar in Porcelain Stoneware: Effect on Sintering and Phase Evolution. Int. J. Appl. Ceram. Technol. 2022, 19, 612–622. [Google Scholar] [CrossRef]
- ISO Internacional ISO 13006:2018; Ceramic Tiles—Definitions, Classification, Characteristics and Marking. International Organization for Standardization: Geneva, Switzerland, 2018.
- Issaoui, M.; Limousy, L.; Lebeau, B.; Bouaziz, J.; Fourati, M. Design and characterization of flat membrane supports elaborated from kaolin and aluminum powders. C. R. Chim. 2016, 19, 496–504. [Google Scholar] [CrossRef]
- Huo, W.; Zhang, X.; Chen, Y.; Hu, Z.; Wang, D.; Yang, J. Ultralight and High-Strength Bulk Alumina/Zirconia Composite Ceramic Foams through Direct Foaming Method. Ceram. Int. 2019, 45, 1464–1467. [Google Scholar] [CrossRef]
- da Silva, V.J.; Taveira, S.K.A.; Silva, K.R.; Neves, G.A.; Lira, H.L.; Santana, L.N.L. Refractory Ceramics of Clay and Alumina Waste. Mater. Res. 2021, 24, e20200485. [Google Scholar] [CrossRef]
- Ochen, W.; D’ujanga, F.M.; Oruru, B.; Olupot, P.W. Physical and Mechanical Properties of Porcelain Tiles Made from Raw Materials in Uganda. Results Mater. 2021, 11, 100195. [Google Scholar] [CrossRef]
- Karhu, M.; Lagerbom, J.; Solismaa, S.; Honkanen, M.; Ismailov, A.; Räisänen, M.L.; Huttunen-Saarivirta, E.; Levänen, E.; Kivikytö-Reponen, P. Mining Tailings as Raw Materials for Reaction-Sintered Aluminosilicate Ceramics: Effect of Mineralogical Composition on Microstructure and Properties. Ceram. Int. 2019, 45, 4840–4848. [Google Scholar] [CrossRef]
- Hou, Z.; Cui, B.; Liu, L.; Liu, Q. Effect of the Different Additives on the Fabrication of Porous Kaolin-Based Mullite Ceramics. Ceram. Int. 2016, 42, 17254–17258. [Google Scholar] [CrossRef]
- Xu, X.; Li, J.; Wu, J.; Tang, Z.; Chen, L.; Li, Y.; Lu, C. Preparation and Thermal Shock Resistance of Corundum-Mullite Composite Ceramics from Andalusite. Ceram. Int. 2017, 43, 1762–1767. [Google Scholar] [CrossRef]











| Formulations | Raw Materials (wt.%) | ||||
|---|---|---|---|---|---|
| Kaolin | Plastic clay | Feldspar | Quartz | BMW | |
| F1 | 23 | 27 | 35 | 15 | 0 |
| F2 | 23 | 27 | 47.5 | 0 | 2.5 |
| F3 | 23 | 27 | 45 | 0 | 5 |
| F4 | 23 | 27 | 40 | 0 | 10 |
| F5 | 23 | 27 | 35 | 0 | 15 |
| F6 | 23 | 27 | 30 | 0 | 20 |
| F7 | 23 | 29 | 23 | 0 | 25 |
| F8 | 23 | 29 | 8 | 0 | 40 |
| Samples | Oxides (wt.%) | ||||||||
|---|---|---|---|---|---|---|---|---|---|
| SiO2 | Al2O3 | Fe2O3 | K2O | MgO | CaO | TiO2 | Others | LOI * | |
| BMW | 44.61 | 12.35 | 15.06 | 0.30 | 4.15 | 5.66 | 2.10 | 0.27 | 15.50 |
| Kaolin | 48.49 | 38.14 | 0.34 | 0.78 | NP ** | 0.07 | NP ** | 0.15 | 12.03 |
| Plastic clay | 42.62 | 36.51 | 2.85 | NP ** | NP ** | NP ** | 0.01 | 0.30 | 17.71 |
| Quartz | 91.84 | 3.66 | 0.12 | 0.90 | NP ** | 0.14 | NP ** | 0.40 | 2.94 |
| Feldspar | 61.03 | 19.26 | NP ** | 11.68 | NP ** | NP ** | NP ** | 0.59 | 7.44 |
| Formulations | Oxides (wt.%) | ||||||||
|---|---|---|---|---|---|---|---|---|---|
| SiO2 | Al2O3 | Fe2O3 | K2O | MgO | CaO | TiO2 | Others | LOI * | |
| F1 | 55.62 | 28.33 | 0.86 | 4.42 | NP ** | NP ** | 0.18 | 0.29 | 10.30 |
| F2 | 51.94 | 29.45 | 1.24 | 5.41 | 0.75 | 0.29 | 0.23 | 0.47 | 10.22 |
| F3 | 49.86 | 30.01 | 1.64 | 3.77 | 0.83 | 0.69 | 0.32 | 1.10 | 11.78 |
| F4 | 49.58 | 29.02 | 1.69 | 4.76 | 0.82 | 0.70 | 0.33 | 1.21 | 11.89 |
| F5 | 47.86 | 30.48 | 2.73 | 3.51 | 0.95 | 1.32 | 0.42 | 0.18 | 12.55 |
| F6 | 48.49 | 28.89 | 3.22 | 3.55 | 1.05 | 1.51 | 0.54 | 1.03 | 11.72 |
| F7 | 47.08 | 30.60 | 3.92 | 2.60 | 1.15 | 1.63 | 0.60 | 0.46 | 11.96 |
| F8 | 44.74 | 30.28 | 5.92 | 1.25 | 1.76 | 2.66 | 1.00 | 0.44 | 11.95 |
Publisher’s Note: MDPI stays neutral with regard to jurisdictional claims in published maps and institutional affiliations. |
© 2022 by the authors. Licensee MDPI, Basel, Switzerland. This article is an open access article distributed under the terms and conditions of the Creative Commons Attribution (CC BY) license (https://creativecommons.org/licenses/by/4.0/).
Share and Cite
Ferreira, J.F.; Costa, F.P.d.; Borborema, L.F.D.; Arimateia, R.R.d.; Leite, R.S.; Apolinário, R.C.; Pinto, H.C.; Rodrigues, A.M.; Neves, G.d.A.; Menezes, R.R. Incorporation of Bentonite Mining Waste in Ceramic Formulations for the Manufacturing of Porcelain Stoneware. Sustainability 2022, 14, 15973. https://doi.org/10.3390/su142315973
Ferreira JF, Costa FPd, Borborema LFD, Arimateia RRd, Leite RS, Apolinário RC, Pinto HC, Rodrigues AM, Neves GdA, Menezes RR. Incorporation of Bentonite Mining Waste in Ceramic Formulations for the Manufacturing of Porcelain Stoneware. Sustainability. 2022; 14(23):15973. https://doi.org/10.3390/su142315973
Chicago/Turabian StyleFerreira, Joabi Faustino, Fabiana Pereira da Costa, Luiz Fhelipe Diniz Borborema, Rafaela Reis de Arimateia, Raquel Santos Leite, Raira Chefer Apolinário, Haroldo Cavalcanti Pinto, Alisson Mendes Rodrigues, Gelmires de Araújo Neves, and Romualdo Rodrigues Menezes. 2022. "Incorporation of Bentonite Mining Waste in Ceramic Formulations for the Manufacturing of Porcelain Stoneware" Sustainability 14, no. 23: 15973. https://doi.org/10.3390/su142315973
APA StyleFerreira, J. F., Costa, F. P. d., Borborema, L. F. D., Arimateia, R. R. d., Leite, R. S., Apolinário, R. C., Pinto, H. C., Rodrigues, A. M., Neves, G. d. A., & Menezes, R. R. (2022). Incorporation of Bentonite Mining Waste in Ceramic Formulations for the Manufacturing of Porcelain Stoneware. Sustainability, 14(23), 15973. https://doi.org/10.3390/su142315973

