Using Phenol Formaldehyde Resin, Hexamethylenetetramine and Matrix Asphalt to Synthesize Hard-Grade Asphalts for High-Modulus Asphalt Concrete
Abstract
1. Introduction
2. Materials and Methods
2.1. Modifiers of PFR and HMTA
2.2. Matrix Asphalt and the Control Hard-Grade Asphalt
2.3. Preparation Process of PFR/HMTA Synthetic Hard-Grade Asphalt
2.4. Mineral Aggregate Gradation of HMAC
2.5. Experiment for Hard-Grade Asphalts
2.5.1. Spectral Measurement
2.5.2. Fraction Analysis
2.5.3. Multiple Stress Creep Recovery (MSCR) Test
2.5.4. Thermal Stress and Critical Cracking Temperature Test
2.6. Experiment for High-Modulus Asphalt Concrete
2.6.1. Dynamic Modulus (DM) Test
2.6.2. Hamburg Rutting Wheel-Tracking Test (HWTT)
2.6.3. Three-Point Bending (3 PB) Test at Low-Temperatures
2.6.4. Four-Point Bending Fatigue (4 PB) Test
3. Results and Discussion
3.1. Determining Dosages of PFR/HMTA in Hard-Grade Asphalts by DM Tests
3.2. FTIR for PFR/HMTA Synthetic Hard-Grade Asphalts
3.3. Performance of PFR/HMTA Synthetic Hard-Grade Asphalts
3.3.1. Basic Properties and SARA Fractions of PFR/HMTA Synthetic Hard-Grade Asphalts
3.3.2. Resistance to Permanent Deformation of PFR/HMTA Synthetic Hard-Grade Asphalts
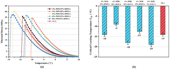
3.3.3. Critical Cracking Temperature of PFR/HMTA Synthetic Hard-Grade Asphalts
3.4. Performance of PFR/HMTA-HMAC
3.4.1. Rutting Resistance
3.4.2. Fatigue Resistance
3.4.3. Cracking Resistance
4. Conclusions
Author Contributions
Funding
Institutional Review Board Statement
Informed Consent Statement
Data Availability Statement
Acknowledgments
Conflicts of Interest
References
- Corté, J.-F. Review of the development and uses of hard grade asphalts in France. J. Road Eng. 2021, 1, 73–79. [Google Scholar] [CrossRef]
- NF P98-140; AFNOR Editions Asphalt Concrete-Base Layers: High Modulus Asphalt Concrete (EME). Association Francaise de Normalisation: Paris, France, 1999.
- EN 12697-24; CEN Bituminous Mixtures-Test Methods-Part 24: Resistance to Fatigue. European Committee for Standardizaiton: Brussels, Belgium, 2013.
- Chen, Y.; Wang, H.; Xu, S.; You, Z. High modulus asphalt concrete: A state-of-the-art review. Constr. Build. Mater. 2020, 237, 117653. [Google Scholar] [CrossRef]
- Wu, Y.; Zhou, X.; Wang, X.; Shan, L. Long-Term Service Performance of Hard-Grade Asphalt Concrete Base Pavement Based on Accelerated Loading Test of Full-Scale Structure. Sustainability 2022, 14, 9712. [Google Scholar] [CrossRef]
- Button, J.W. Perpetual Bituminous Pavements; Transportation Research Board: Washington, DC, USA, 2001. [Google Scholar]
- Shah, A.; Fishwick, R.; Wood, J.; Leeke, G.; Rigby, S.; Greaves, M. A review of novel techniques for heavy oil and bitumen extraction and upgrading. Energy Environ. Sci. 2010, 3, 700–714. [Google Scholar] [CrossRef]
- Yan, J.; Leng, Z.; Ling, C.; Zhu, J.; Zhou, L. Characterization and comparison of high-modulus asphalt mixtures produced with different methods. Constr. Build. Mater. 2020, 237, 117594. [Google Scholar] [CrossRef]
- Zhu, J.; Ma, T.; Fan, J.; Fang, Z.; Chen, T.; Zhou, Y. Experimental study of high modulus asphalt mixture containing reclaimed asphalt pavement. J. Clean. Prod. 2020, 263, 121447. [Google Scholar] [CrossRef]
- Xia, Q.; Jiangping, G.; Hao-yuan, L.; Qigong, Z.; Hijie, L.; Fei, Y. Low-temperature performance of composite modified hard asphalt used in high modulus asphalt concrete. J. Jilin Univ. Technol. Ed. 2022, 52, 541–549. [Google Scholar] [CrossRef]
- Shen, J. Asphalt and Asphalt Mixtures Road Performance; China Communications Press: Beijing, China, 2001. [Google Scholar]
- Shen, J. Climate zoning and key technical indexes of road asphalt and asphalt mixture. China J. Highw. Transp. 1997, 1, 1–9. [Google Scholar]
- Ding, H.; Hesp, S.A.M. Quantification of crystalline wax in asphalt binders using variable-temperature Fourier-transform infrared spectroscopy. Fuel 2020, 277, 118220. [Google Scholar] [CrossRef]
- Tong, Y.; Shen, B.; Liu, J.; Yao, Z.; Fang, W. Preparation and evaluation of 30# hard grade asphalt. Pet. Sci. Technol. 2017, 35, 436–442. [Google Scholar] [CrossRef]
- Kamran, F.; Ghasemirad, A.; Moghaddam, T.B.; Bayat, A.; Hashemian, L. Performance Evaluation of High Modulus Asphalt Concrete (HMAC) Prepared Using Asphaltenes-Modified Binders. J. Test. Eval. 2022, 50, 16. [Google Scholar] [CrossRef]
- Zhou, J.; Li, J.; Liu, G.; Yang, T.; Zhao, Y. Recycling aged asphalt using hard asphalt binder for hot-mixing recycled asphalt mixture. Appl. Sci. 2021, 11, 5698. [Google Scholar] [CrossRef]
- Dong, F.; Yu, X.; Liu, S.; Wei, J. Rheological behaviors and microstructure of SBS/CR composite modified hard asphalt. Constr. Build. Mater. 2016, 115, 285–293. [Google Scholar] [CrossRef]
- Zhang, H.; Yang, X.; Li, Y.; Fu, Q.; Rui, H. Laboratory Evaluation of Dynamic Characteristics of a New High-Modulus Asphalt Mixture. Sustainability 2022, 14, 11838. [Google Scholar] [CrossRef]
- Al-Humeidawi, B.H.; Kadhim Medhlom, M.; Kadhim Hameed, K.; Kadhim, H.A. Production of Hard Grade Bitumen for Using in High Modulus Asphalt Concrete. J. Univ. Babylon Eng. Sci. 2018, 26, 157–174. [Google Scholar]
- Li, B.; Wang, B.; Zhang, X.; Lin, X.; Zhang, Y. High-Temperature Rheology Characteristics of Hard Petroleum Asphalt Used in China. Adv. Mater. Sci. Eng. 2022, 2022, 4901879. [Google Scholar] [CrossRef]
- Zeng, G.; Wu, W.; Li, J.; Xu, Q.; Li, X.; Yan, X.; Han, Y.; Wei, J. Comparative Study on Road Performance of Low-Grade Hard Asphalt and Mixture in China and France. Coatings 2022, 12, 270. [Google Scholar] [CrossRef]
- Pyshyev, S.; Demchuk, Y.; Poliuzhyn, I.; Kochubei, V. Obtaining and use adhesive promoters to bitumen from the phenolic fraction of coal tar. Int. J. Adhes. Adhes. 2022, 118, 103191. [Google Scholar] [CrossRef]
- Nciri, N.; Song, S.; Kim, N.; Cho, N. Chemical Characterization of Gilsonite Bitumen. J. Pet. Environ. Biotechnol. 2014, 5, 193. [Google Scholar] [CrossRef]
- Gajewski, M.; Bańkowski, W.; Pronk, A.C. Evaluation of fatigue life of high modulus asphalt concrete with use of three different definitions. Int. J. Pavement Eng. 2020, 21, 1717–1728. [Google Scholar] [CrossRef]
- EN13924-1:2015; British Standard Bitumen and Bituminous Binders—Specification Framework for Special Paving Grade Bitumen Part 1: Hard Paving Grade Bitumens. European Committee for Standardizaiton: Brussels, Belgium, 2015.
- ASTM D6373-21a; American Society for Testing and Material (ASTM) Standard Specification for Performance-Graded Asphalt Binder. American society for Testing and Material: West Conshohocken, PA, USA, 2021.
- ASTM D5/D5M-20; American Society for Testing and Material(ASTM) Standard Test Method for Penetration of Bituminous Materials. American society for Testing and Material: West Conshohocken, PA, USA, 2008.
- ASTM D36/D36M-14; American Society for Testing and Material(ASTM) Standard Test Method for Softening Point of Bitumen (Ring-and-Ball Apparatus). American Society for Testing and Material: West Conshohocken, PA, USA, 2020.
- Laboratoire Central des Ponts et Chaussées. LPC Bituminous Mixtures Design Guide; Laboratoire Central des Ponts et Chaussées: Lyon, France, 2007. [Google Scholar]
- Luo, H.; Huang, X. Research on the Change of Performance and Component of Recycled Oil Regenerated Asphalt during Secondary Aging. China J. Highw. Transp. 2021, 34, 98–110. [Google Scholar] [CrossRef]
- Luo, H.; Huang, X.; Tian, R.; Huang, J.; Zheng, B.; Wang, D.; Liu, B. Analysis of relationship between component changes and performance degradation of Waste-Oil-Rejuvenated asphalt. Constr. Build. Mater. 2021, 297, 123777. [Google Scholar] [CrossRef]
- Tian, R.; Luo, H.; Huang, X.; Zheng, Y.; Zhu, L. Correlation Analysis between Mechanical Properties and Fractions Composition of Oil-Rejuvenated Asphalt. Materials 2022, 15, 1889. [Google Scholar] [CrossRef] [PubMed]
- Qiu, Y.; Ding, H.; Rahman, A.; Wang, W. Damage characteristics of waste engine oil bottom rejuvenated asphalt binder in the non-linear range and its microstructure. Constr. Build. Mater. 2018, 174, 202–209. [Google Scholar] [CrossRef]
- Luo, H.; Leng, H.; Ding, H.; Xu, J.; Lin, H.; Ai, C.; Qiu, Y. Low-temperature cracking resistance, fatigue performance and emission reduction of a novel silica gel warm mix asphalt binder. Constr. Build. Mater. 2020, 231, 117118. [Google Scholar] [CrossRef]
- Luo, H.; Tian, R.; Zheng, Y.; Wang, D.; Chen, S.; Huang, X. Notched specimen cracking test: A novel method to directly measure low-temperature thermal stress of asphalt binder. Int. J. Pavement Eng. 2022, 1–15. [Google Scholar] [CrossRef]
- AASHTO TP62-03; American Association of State Highway and Transportation Officials (AASHTO) Standard Method of Test for Determining Dynamic Modulus of Hot-Mix Asphalt Concrete Mixtures. American society for Testing and Material: West Conshohocken, PA, USA, 2003.
- Walubita, L.; Zhang, J.; Das, G.; Hu, X.; Mushota, C.; Alvarez, A.; Scullion, T. Hot-mix asphalt permanent deformation evaluated by Hamburg wheel tracking, dynamic modulus, and repeated load tests. Transp. Res. Rec. 2012, 2296, 46–56. [Google Scholar] [CrossRef]
- AASHTO-T324-22; American Association of State Highway and Transportation Officials (AASHTO) Standard Method of Test for Hamburg Wheel-Track Testing of Compacted Asphalt Mixtures. American Association of State Highway and Transportation Officials: Washington, DC, USA, 2022.
- JTG E20-2011; Ministry of Transport of the People’s Republic of China Standard Test Methods of Bitumen and Bituminous Mixtures for Highway Engineering. China Communications Press: Beijing, China, 2011.
- AASHTO-D321-22; American Association of State Highway and Transportation Officials (AASHTO) Standard Method of Test for Determining the Fatigue Life of Compacted Asphalt Mixtures Subjected to Repeated Flexural Bending. American Association of State Highway and Transportation Officials: Washington, DC, USA, 2022.
- Cheng, H.; Liu, J.; Sun, L.; Liu, L.; Zhang, Y. Fatigue behaviours of asphalt mixture at different temperatures in four-point bending and indirect tensile fatigue tests. Constr. Build. Mater. 2021, 273, 121675. [Google Scholar] [CrossRef]
- Bańkowski, W. Evaluation of fatigue life of asphalt concrete mixtures with reclaimed asphalt pavement. Appl. Sci. 2018, 8, 469. [Google Scholar] [CrossRef]
- NF P98-140; Association Francaise de Normalisation Enrobés Hydrocarbonés-Couches d’assises: Enrobés à module élevé (EME)-Définition-Classification-Caractéristiques-Fabrication-Mise en oeuvre. Association Francaise de Normalisation: Paris, France, 1999.
- Wang, C.; Zhou, X.; Yuan, H.; Chen, H.; Zhou, L.; Fu, Y. Preparation and performance of UHMWP modified asphalt and its high modulus mixture. Constr. Build. Mater. 2021, 294, 123629. [Google Scholar] [CrossRef]
- Luo, H.; Qiu, Y.; Su, T. Evaluation of the Performance of SMC Modified Asphalt Mixtures and Its Environmental Benefits Analysis. Adv. Transp. Geotech. IV 2022, 164, 401–424. [Google Scholar] [CrossRef]












| Asphalt | Original | After Rolling Thin Film Oven Tester (RTFOT) | |||||
|---|---|---|---|---|---|---|---|
| PG b | °C [0.1 mm] | [°C] | PG (RTFOT) | Retained Penetration [%] | [°C] | Mass Loss [%] | |
| Matrix asphalt | 70-22 | 63 | 47.0 | 70-22 | 85.7 | 5 | 0.49 |
| TLA | 82-16 | 20 | 70.0 | 82-16 | 70.0 | 2 | 0.16 |
| Requirement for hard-grade asphalt in EN 13924-1 a | - | 15~25 | 55~71 | - | |||
| Sieve Size (mm) | 16 | 13.2 | 9.5 | 4.75 | 2.36 | 1.18 | 0.6 | 0.3 | 0.15 | 0.075 |
|---|---|---|---|---|---|---|---|---|---|---|
| Passing rate (mass%) | 100 | 84.3 | 58.5 | 50.6 | 32.7 | 24.2 | 19.7 | 15.9 | 13.6 | 9.0 |
| Absorption Bands [cm−1] | Function Groups | Area in IR Spectra [wt%] | ||
|---|---|---|---|---|
| Matrix Asphalt | 4% PFR/15% HMTA | 6% PFR/15% HMTA | ||
| 1478~1536 | 0 | 0.031 | 0.048 | |
| 1144~1192 and 909~1047 | 0.0414 | 0.0538 | 0.0862 | |
| Asphalt | Original | After RTFOT | |||||
|---|---|---|---|---|---|---|---|
| PG | °C [0.1 mm] | [°C] | PG (RTFOT) | Retained Penetration [%] | [°C] | Mass Loss [%] | |
| 4% PFR/15% HMTA | 82-16 | 17 | 73.0 b | 82-10 | 58.8 | 5 | 0.22 |
| 4% PFR/20% HMTA | 88-10 | 14 b | 77.0 b | 94-10 | 40.6 b | 7 | 0.17 |
| 6% PFR/10% HMTA | 82-16 | 22 | 69.5 | 82-16 | 76.2 | 4 | 0.42 |
| 6% PFR/15% HMTA | 88-10 | 12 b | 78.5 b | 88-10 | 58.3 | 6 | 0.22 |
| 8% PFR/5% HMTA | 82-16 | 26 | 65.5 | 82-16 | 76.9 | 3 | 0.38 |
| TLA | 82-16 | 20 | 70.0 | 82-16 | 70.0 | 2 | 0.16 |
| EME2 Requirement of EN 13924-1 a | - | 15~25 | 55~71 | - | |||
| HMAC | Asphalt Content [%] | Air Voids in Compacted Mixture |
|---|---|---|
| 4% PFR/15% HMTA | 4.8 | 2.8 |
| 4% PFR/20% HMTA | 2.6 | |
| 6% PFR/10% HMTA | 2.5 | |
| 6% PFR/15% HMTA | 1.8 | |
| 8% PFR/5% HMTA | 2.0 | |
| TLA | 2.4 |
| Mixture | Curves Parameter | ε [μm/m] | ||
|---|---|---|---|---|
| A | b | R2 | ||
| 4% PFR/15% HMTA | 2.58 × 1020 | −6.45 | 0.87 | 170.70 |
| 4% PFR/20% HMTA | 2.08 × 1016 | −5.01 | 0.69 | 114.68 |
| 6% PFR/10% HMTA | 5.54 × 1023 | −7.64 | 0.94 | 210.11 |
| 6% PFR/15% HMTA | 8.43 × 1018 | −5.96 | 0.70 | 147.49 |
| 8% PFR/5% HMTA | 1.55 × 1021 | −6.48 | 0.91 | 220.89 |
| TLA | 8.39 × 1016 | −5.45 | 0.76 | 178.78 |
Publisher’s Note: MDPI stays neutral with regard to jurisdictional claims in published maps and institutional affiliations. |
© 2022 by the authors. Licensee MDPI, Basel, Switzerland. This article is an open access article distributed under the terms and conditions of the Creative Commons Attribution (CC BY) license (https://creativecommons.org/licenses/by/4.0/).
Share and Cite
Xia, Q.; Li, Y.; Xu, H.; Luo, H.; Zheng, Y.; Zhao, R.; Xu, H. Using Phenol Formaldehyde Resin, Hexamethylenetetramine and Matrix Asphalt to Synthesize Hard-Grade Asphalts for High-Modulus Asphalt Concrete. Sustainability 2022, 14, 15689. https://doi.org/10.3390/su142315689
Xia Q, Li Y, Xu H, Luo H, Zheng Y, Zhao R, Xu H. Using Phenol Formaldehyde Resin, Hexamethylenetetramine and Matrix Asphalt to Synthesize Hard-Grade Asphalts for High-Modulus Asphalt Concrete. Sustainability. 2022; 14(23):15689. https://doi.org/10.3390/su142315689
Chicago/Turabian StyleXia, Quanping, Yingyong Li, Haining Xu, Haoyuan Luo, Yangzezhi Zheng, Runming Zhao, and Haichuan Xu. 2022. "Using Phenol Formaldehyde Resin, Hexamethylenetetramine and Matrix Asphalt to Synthesize Hard-Grade Asphalts for High-Modulus Asphalt Concrete" Sustainability 14, no. 23: 15689. https://doi.org/10.3390/su142315689
APA StyleXia, Q., Li, Y., Xu, H., Luo, H., Zheng, Y., Zhao, R., & Xu, H. (2022). Using Phenol Formaldehyde Resin, Hexamethylenetetramine and Matrix Asphalt to Synthesize Hard-Grade Asphalts for High-Modulus Asphalt Concrete. Sustainability, 14(23), 15689. https://doi.org/10.3390/su142315689

