A Study on Identifying Priority Management Areas and Implementing Best Management Practice for Effective Management of Nonpoint Source Pollution in a Rural Watershed, Korea
Abstract
1. Introduction
2. Materials and Methods
2.1. Target Area
2.2. Model Construction
2.3. Selection of Priority Management Areas for NPSs (NPS Measures)
2.4. Method of Selecting Appropriate BMPs
2.5. Analysis of the NPS Improvement Effect through the Application of Appropriate BMPs (NPS Reduction Facility Installation Point Evaluation)
3. Results
3.1. Results of Constructing the Watershed Model by Reflecting the Latest Watershed Information
3.2. Model Applicability Evaluation
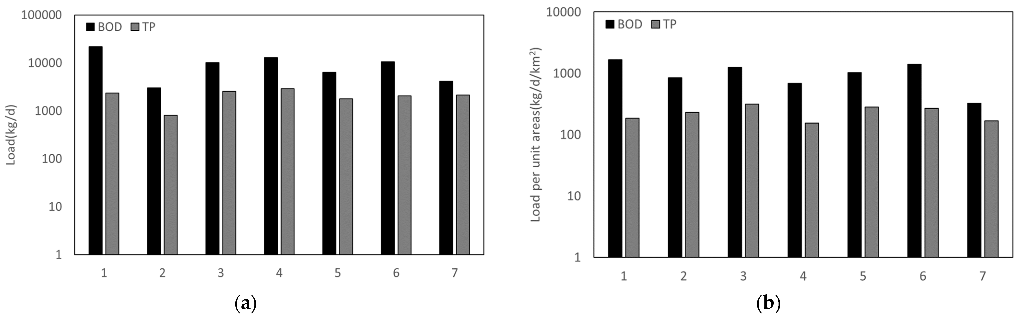
3.3. Calculation of the NPS Pollution Load by Subbasin Using the HSPF Model
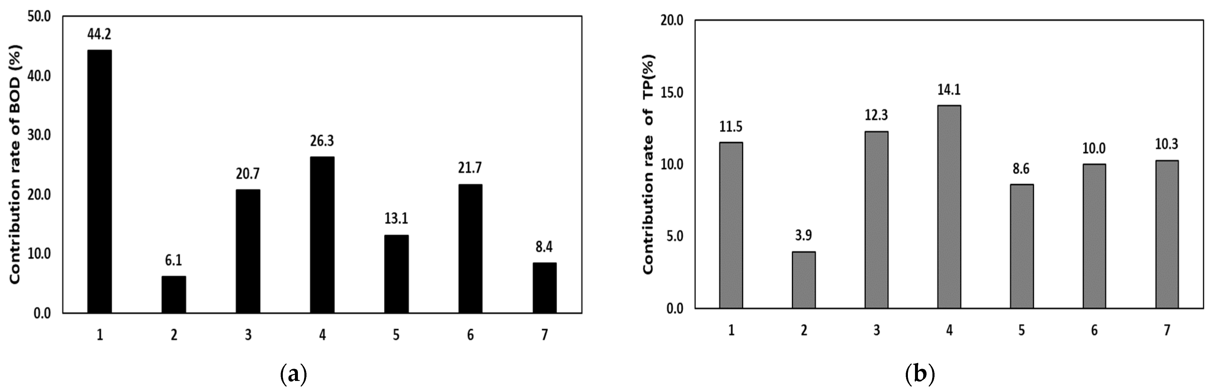
3.4. Selection of Priority Management Areas for NPSs (NPS Measures)
3.5. Analysis of the NPS Improvement Effect through the Application of Appropriate BMPs (NPS Reduction Facility Installation Point Evaluation)
4. Conclusions
Author Contributions
Funding
Institutional Review Board Statement
Informed Consent Statement
Data Availability Statement
Conflicts of Interest
References
- Ministry of Water and Environment Policy of Environment. The Third Comprehensive Measures for Rainfall Runoff; Ministry of Water and Environment Policy of Environment: Sejong-si, Korea, 2020.
- Yoon, C.G. Development of Nonpoint Source Pollution Reduction and Optimal Management Techniques for Paddies; Korean Society of Agricultural Engineering: Seoul, Korea, 2017.
- Korea Environment Institute (KEI). Reduction of the Non-Point Source Pollution in the Rice Paddy Field; Korea Environmental Institute: Sejong, Korea, 1998. [Google Scholar]
- Song, H.W. Application of HSPF Model for Effect Analyses of Watershed Management Plans on Receiving Water Qualities. J. Korean Soc. Environ. Eng. 2009, 31, 358–363. [Google Scholar]
- Maugis, C.; Celeux, G.; Martin-Magniette, M.L. Variable selection in model-based clustering: A general variable role modeling. Comput. Stat. Data Anal. 2009, 53, 3872–3882. [Google Scholar] [CrossRef]
- Daniel, N.M.; Jeffrey, G.A.; Michael, W.V.; Ronald, L.B.R.; Daren, H.; Tamie, L.V. Model Evaluation Guidelines for Systematic Quantification of Accuracy in Watershed Simulations. Am. Soc. Agric. Biol. Eng. 2007, 50, 885–900. [Google Scholar]
- National Institute of Environmental Research (NIER). A Study on the Preparation of Guidelines on Rural Non-Point Source Management Planning; National Institute of Environmental Research: Incheon, Korea, 2014.
- Kang, M.A. Loading Characteristics of Non-Point Source Pollutants during Rainfall. J. Eng. Geol. 2009, 19, 365–371. [Google Scholar]
- Korea Environment Institute (KEI). Discussion on Real-Time Water Quality Monitoring and Modeling System; Korea Environmental Institute: Sejong, Korea, 2009. [Google Scholar]
- Kang, Y.M. Standardization Method for Selecting Priority Ownership Area and Water Quality Improvement Using CE-QUAL-W2 Model; Kwangwoon University: Seoul, Korea, 2020. [Google Scholar]
- Zhenyao, S. A framework for priority non-point source area identification and load estimation integrated with APPI and PLOAD model in Fujiang Watershed, China. Agric. Water Manag. 2011, 98, 977–989. [Google Scholar]
- Kang, Y.M. Water Quality Improvement in Nakdong River Subwatershed by Priority Selection. J. Korean Soc. Urban Environ. 2019, 19, 181–188. [Google Scholar] [CrossRef]
- Natural Resources Conservation Service (usda.gov); U.S. Department of Agriculture-National Resources Conservation Service; USDA-NRCS. Available online: https://www.nrcs.usda.gov/ (accessed on 1 January 2018).
- National Institutue of Environment Research (NIER). Guidelines on Optimal Non-Point Source Management for TMDL; National Institute of Environmental Research: Incheon, Korea, 2017. [Google Scholar]
- Go, H.W. Statistical Analysis and Review of Event Mean Concentrations in Stormwater Runoff from Agricultural Nonpoint Source Pollution by Land Use Type. Korean Soc. Environ. Eng. 2021, 43, 664–678. [Google Scholar] [CrossRef]
- Kim, D.H. Assessing Water Quality Impacts of Governance Operation from Paddy Fields for Managing Agri-NPS Pollution; Korean Society of Agricultural Engineering: Seoul, Korea, 2019. [Google Scholar]
- Lee, D.G. Impact of Reduction of Non-Point Source Pollution Depending on Application of Best Management Practices on Stream; Korean Society of Agricultural Engineering: Seoul, Korea, 2017. [Google Scholar]
- National Institutes Environment Research (NIER). Manual for the Installation, Management, and Operation of Non-Point Source Pollution Reduction Facilities; National Institute of Environmental Research: Incheon, Korea, 2017. [Google Scholar]
- Republic of Korea of Ministry of Water and Environment Policy Ministry of Environment. Guidelines on National Subsidy Projects for Non-Point Source Reduction; Republic of Korea of Ministry of Water and Environment Policy Ministry of Environment: Sejong-si, Korea, 2021.
- Lee, H.S. Assessment of Apprehensive Area of Non-Point Source Pollution Using Watershed Model Application in Juam Dam Watershed. J. Korean Soc. Environ. Eng. 2015, 37, 551–557. [Google Scholar]
- Wikipedia Definition, Self-Purification of Rivers. Available online: https://ko.wikipedia.org/Rivers (accessed on 1 January 2018).
- Chang, I.S. Analysis of Correlation between Flow and Water Quality at Up and Down Streams. J. Korean Environ. Sci. Soc. 2010, 19, 771–778. [Google Scholar]
- Lim, H.M. Development of Natural Purification Technology Considering Material Cycle in River Reaches. Korea Ecol. Resilient Infrastruct. 2016, 3, 213–214. [Google Scholar] [CrossRef][Green Version]
- Kim, T.G. Assessment of Watershed Characteristics for Apprehensive Area of Non-Point Source Pollution Using Load Duration Curve. J. Korean Soc. Environ. Technol. 2014, 15, 1–11. [Google Scholar]
- Yi, H.S. Modeling Study of Turbid Water in the Stratified Reservoir using linkage of HSPF and CE-QUAL-W2. J. Korean Soc. Environ. Eng. 2008, 30, 69–78. [Google Scholar]
- Bicknel, B.R.; Imhoff, J.C.; Kittle, J.L.; Donigian, A.S.; Johanson, R.C. Hydrological Simulation Program-FORTRAN User's Manual for Release 12; U.S. Environmental Protection Agency, Environmental Research Laboratory: Athens, GA, USA, 1993.
- Agri-Food Farm Map Service. Available online: www.agis.epis.or.kr (accessed on 1 January 2018).
- Park, Y.H. Development of Non-Point Source Pollution Load Function Based on Rainfall Intensity and Land Use Type. Korean Soc. Environ. Eng. 2004, 26, 1070–1078. [Google Scholar]
- Republic of Korea Ministry of Agriculture, Food and Rural Affairs. Management and Control of Nonpoint Source Pollution in Rural Area; Republic of Korea Ministry of Agriculture, Food and Rural Affairs: Sejong, Korea, 2007.
- Water Environment Conservation Act, based on Living Conditions Criteria around Rivers. 2022. Available online: https://www.law.go.kr/ (accessed on 1 January 2018).
- Ryu, J.C. Evaluation of the Soil Erosion Mitigation through Muddy Water Reduction Project in the Doam Lake Watershed Non-Point Source Management Zone. J. Korea Environ. Policy Adm. Soc. 2018, 26, 1–19. [Google Scholar]
















| Type | Source | Scale | Information |
|---|---|---|---|
| Digital Elevation Models | National Geographic Information Institute | 1:5000 | Digital Elevation Model; 10 m × 10 m |
| Land-use map | Ministry of Environment | 1:25,000 | Large classification land cover |
| Meteorological data | Korea Meteorological Administration | Daily, hourly | Precipitation, average temperature, relative humidity, solar radiation quantity, wind velocity, cloud amount, etc. |
| Flow rate | Ministry of Environment/ Water resources Management Information System (WAMIS) | 8-day/ month | Auto/manual monitoring network, Water Quality Monitoring Networks Data |
| Water quality | Ministry of Environment/ Environmental Management Office | 8-day/ month | Water Quality Monitoring Networks Data (water temperature, DO, BOD, TN, TP, etc.) |
| Pollution source | Ministry of Environment | - | National pollution source survey data |
| Quantity of water intake | local autonomous entity/ Water resources Management Information System(WAMIS) | Monthly, Daily | Data collection of intake/pumping station in target reservoir |
| Watershed map | Ministry of Environment | - | Unit watershed map, middle area map, large area map, and administrative district border map |
| Category and Items (A) | Evaluation Item (B) | Detailed Evaluation Item (C) | |
|---|---|---|---|
| Generation | Pollution source (per unit area) | Population density | Population per unit area |
| Number of livestock | Total number of livestock per unit area (sum of all livestock species) | ||
| Land use area | Area of fields and paddies per unit area | ||
| Farming conditions | Areas of fields, paddies, orchards, and ginseng farmland per field and paddy area | ||
| Discharge | Water quality | Average (monitoring) | EMC (BOD and TP) |
| Maximum (monitoring) | Peak water quality concentration (BOD and TP) | ||
| Average (simulation) | EMC (BOD and TP) | ||
| Maximum (simulation) | Peak water quality concentration (BOD and TP) | ||
| Load | Load (simulation) | Average load per unit area | |
| Nonpoint contribution rate | Nonpoint contribution (simulation) | BOD and TP | |
| Category | Method |
|---|---|
| STEP 1 | Calculation of eight subbasin values for each evaluation item: The results of the evaluation category of basins |
| STEP 2 | Calculation of eight subbasin rankings for each evaluation item |
| STEP 3 | Calculation of the sum of frequencies by ranking among eight subbasins for each evaluation item: |
| STEP 4 | Final selection of the three subbasins with the highest frequencies: 1st to 3rd ranking |
| Step | Method | Contents | |
| 1 | Analysis of the watershed characteristics | Consideration of the land use characteristics | |
| ▼ | |||
| Step | Method | Contents | Removal efficiency by facility |
| 2 | Major pollutants | Since discharged pollutant types are different depending on the land use, the characteristics of major pollutants per unit area are considered (e.g., water quality and load) | Ex) underground storage tank BOD 53%, TN 37%, TP 60% |
| ▼ | |||
| Step | Method | Contents | |
| 3 | Consideration of regional and environmental factors | Selection of appropriate facilities for the target watershed considering maintenance, local community, cost, safety, and habitat | |
| ▼ | |||
| Step | Method | Contents | |
| 4 | Appropriate treatment method selection | Appropriate management method selection according to Step 1~3 | |
| Category | Area (km2) | Proportion of the Land Use Compared to the Watershed Area (%) |
|---|---|---|
| Urbanization and drying | 5.14 | 4.3 |
| Agriculture | 30.50 | 25.5 |
| Forest | 73.16 | 61.1 |
| Pasture | 7.44 | 6.2 |
| Wetland | 1.13 | 0.9 |
| Bare land | 1.92 | 1.6 |
| Waters | 0.49 | 0.4 |
| Calibration | Validation | |||
|---|---|---|---|---|
| Result | Evaluation | Result | Evaluation | |
| %Diff | 14.83 | Good | 12.81 | Good |
| R2 | 0.797 | Very Good | 0.623 | Fair |
| 1 | 2 | 3 | 4 | 5 | 6 | 7 | 8 | ||
|---|---|---|---|---|---|---|---|---|---|
| BOD | %Diff | 3.70 | (-)66.81 | 4.53 | 19.00 | 8.81 | 1.32 | 2.26 | 6.47 |
| grade | V.Good | Poor | V.Good | Good | V.Good | V.Good | V.Good | V.Good | |
| TP | %Diff | 8.49 | (-)76.17 | 16.03 | 20.55 | 15.79 | 51.75 | 15.56 | 10.13 |
| grade | V.Good | Poor | Good | Good | Good | Poor | Good | V.Good | |
| %Difference | ||||
|---|---|---|---|---|
| Calibration | Validation | |||
| %Diff. | Grade | %Diff. | Gsrade | |
| BOD | 6.38 | Very Good | 12.74 | Very Good |
| TP | 5.13 | Very Good | 18.67 | Good |
| Subbasins | Area Used for Farming and Proportion (%) | Used for Farming | Unused | |||||||
|---|---|---|---|---|---|---|---|---|---|---|
| Field | Paddy | Orchard | Facility | Ginseng Farm | Un-Cultivated Site | Total | Field + Paddy + Orchard + Facility + Ginseng Farm | Uncultivated Site | ||
| 1 | Area (km2) | 1.05 | 0.34 | 0.55 | 0.01 | 0.03 | 0.01 | 1.99 | 79.33 | 0.40 |
| Proportion (%) | 52.8 | 16.9 | 27.5 | 0.7 | 1.4 | 0.5 | 100 | 99.3 | 0.5 | |
| 2 | Area (km2) | 0.38 | 0.12 | 0.10 | 0.01 | - | 0.61 | 56.17 | 0.00 | |
| Proportion (%) | 62.6 | 19.9 | 16.0 | 1.0 | - | 0.5 | 100 | 99.5 | 0.5 | |
| 3 | Area (km2) | 1.16 | 0.77 | 0.19 | 0.02 | 0.00 | 0.01 | 2.14 | 81.27 | 0.30 |
| Proportion (%) | 54.1 | 35.8 | 8.8 | 0.9 | 0.2 | 0.4 | 100 | 99.8 | 0.4 | |
| 4 | Area (km2) | 2.50 | 1.76 | 0.32 | 0.04 | - | 0.03 | 4.65 | 84.80 | 0.48 |
| Proportion (%) | 53.8 | 37.8 | 6.9 | 1.0 | - | 0.6 | 100 | 99.5 | 0.6 | |
| 5 | Area (km2) | 0.81 | 0.32 | 0.04 | 0.01 | - | 0.00 | 1.18 | 72.80 | 0.11 |
| Proportion (%) | 68.5 | 26.9 | 3.6 | 0.9 | - | 0.1 | 100 | 99.9 | 0.1 | |
| 6 | Area (km2) | 1.09 | 0.48 | 0.03 | 0.02 | - | 0.00 | 1.62 | 168.17 | 0.18 |
| Proportion (%) | 67.1 | 29.8 | 1.6 | 1.4 | - | 0.1 | 100 | 99.9 | 0.1 | |
| 7 | Area (km2) | 1.47 | 0.71 | 0.07 | 0.02 | - | 0.00 | 2.27 | 20.24 | 0.10 |
| Proportion (%) | 64.8 | 31.1 | 3.0 | 0.9 | - | 0.1 | 100 | 99.8 | 0.1 | |
| Subbasins | Category | |||||||||||||
|---|---|---|---|---|---|---|---|---|---|---|---|---|---|---|
| Generation | Discharge | |||||||||||||
| Pollution Source | Water Quality(Monitoring) | |||||||||||||
| 1.The Population Density (Persons/km2) | 2. Livestock Density (Total numbers/km2) | 3. Area of Fields and Paddies Area by Subbasins (km2/ km2 ) | 4. Farming Condition Area (km2/ km2 ) | 5. Average during Rainfall (mg/L) | 6. Maximum during Rainfall (mg/L) | |||||||||
| Results | Ranking | Results | Ranking | Results | Ranking | Results | Ranking | Results | Ranking | Results | Ranking | |||
| BOD | TP | BOD | TP | |||||||||||
| 1 | 51 | 4 | 1912 | 4 | 19.7 | 7 | 79.3 | 4 | 4.4 | 0.677 | 3 | 40.1 | 10.003 | 2 |
| 2 | 87 | 1 | 193 | 7 | 31.2 | 2 | 56.2 | 7 | 2.5 | 0.464 | 5 | 17.3 | 1.699 | 4 |
| 3 | 43 | 7 | 20452 | 1 | 32.6 | 1 | 81.3 | 3 | 4.5 | 0.967 | 2 | 25.6 | 3.158 | 3 |
| 4 | 50 | 5 | 6946 | 3 | 29.3 | 3 | 84.8 | 2 | 1.6 | 0.388 | 7 | 6.4 | 1.714 | 7 |
| 5 | 45 | 6 | 1205 | 5 | 25.9 | 5 | 72.8 | 5 | 3.6 | 0.586 | 4 | 12.8 | 1.590 | 5 |
| 6 | 66 | 2 | 1642 | 6 | 29.1 | 4 | 100.0 | 1 | 5.9 | 1.228 | 1 | 49.8 | 10.138 | 1 |
| 7 | 51 | 3 | 10305 | 2 | 25.5 | 6 | 70.2 | 6 | 2.2 | 0.537 | 6 | 9.9 | 2.072 | 6 |
| Subbasins | Category | |||||||||||||
| Discharge | The Results of the Priority Management subbasins | |||||||||||||
| Water Quality(Simulation) | Load | NPS Contribution Rate | ||||||||||||
| 7. Average during Rainfall (mg/L) | 8. Maximum during Rainfall (mg/L) | 9. Average load per subbasins(kg/day) | 10. NPS contribution rate per subbains (load/total load) | |||||||||||
| Results | Ranking | Results | Ranking | Results | Ranking | Results | Ranking | Final Results | ||||||
| BOD | TP | BOD | TP | BOD | TP | BOD | TP | 1st rank: Mulhan Stream 2nd rank: Osan Stream 3rd rank: Upstream Area of The Songya Stream | ||||||
| 1 | 4.5 | 0.491 | 2 | 21.9 | 2.63 | 3 | 16.8 | 1.8 | 1 | 44.2 | 11.5 | 1 | ||
| 2 | 2.2 | 0.396 | 6 | 12.7 | 5.958 | 6 | 8.5 | 2.3 | 5 | 6.1 | 3.9 | 7 | ||
| 3 | 4.0 | 0.889 | 3 | 18.6 | 14.743 | 2 | 12.5 | 3.1 | 3 | 20.7 | 12.3 | 3 | ||
| 4 | 1.6 | 0.438 | 7 | 7.6 | 7.997 | 7 | 6.8 | 1.5 | 6 | 26.3 | 14.1 | 2 | ||
| 5 | 3.1 | 0.679 | 4 | 18.1 | 4.421 | 5 | 10.3 | 2.8 | 4 | 13.1 | 8.6 | 5 | ||
| 6 | 6.1 | 0.909 | 1 | 51.5 | 6.850 | 1 | 13.9 | 2.7 | 2 | 21.7 | 10.0 | 4 | ||
| 7 | 2.2 | 0.571 | 5 | 13.9 | 9.154 | 4 | 3.2 | 1.7 | 7 | 8.4 | 10.3 | 6 | ||
Publisher’s Note: MDPI stays neutral with regard to jurisdictional claims in published maps and institutional affiliations. |
© 2022 by the authors. Licensee MDPI, Basel, Switzerland. This article is an open access article distributed under the terms and conditions of the Creative Commons Attribution (CC BY) license (https://creativecommons.org/licenses/by/4.0/).
Share and Cite
Kim, J.; Choi, J.; Park, M.; Min, J.-H.; Lee, J.M.; Lee, J.; Na, E.H.; Jang, H. A Study on Identifying Priority Management Areas and Implementing Best Management Practice for Effective Management of Nonpoint Source Pollution in a Rural Watershed, Korea. Sustainability 2022, 14, 13999. https://doi.org/10.3390/su142113999
Kim J, Choi J, Park M, Min J-H, Lee JM, Lee J, Na EH, Jang H. A Study on Identifying Priority Management Areas and Implementing Best Management Practice for Effective Management of Nonpoint Source Pollution in a Rural Watershed, Korea. Sustainability. 2022; 14(21):13999. https://doi.org/10.3390/su142113999
Chicago/Turabian StyleKim, Jinsun, Jiyeon Choi, Minji Park, Joong-Hyuk Min, Jong Mun Lee, Jimin Lee, Eun Hye Na, and Heeseon Jang. 2022. "A Study on Identifying Priority Management Areas and Implementing Best Management Practice for Effective Management of Nonpoint Source Pollution in a Rural Watershed, Korea" Sustainability 14, no. 21: 13999. https://doi.org/10.3390/su142113999
APA StyleKim, J., Choi, J., Park, M., Min, J.-H., Lee, J. M., Lee, J., Na, E. H., & Jang, H. (2022). A Study on Identifying Priority Management Areas and Implementing Best Management Practice for Effective Management of Nonpoint Source Pollution in a Rural Watershed, Korea. Sustainability, 14(21), 13999. https://doi.org/10.3390/su142113999

