Abstract
In the context of global climate governance and China’s carbon neutrality target, Shanxi Province, one of China’s major energy exporting regions, is under high pressure to achieve carbon neutrality. This paper sets up three carbon source scenarios and three carbon sink scenarios based on the Long-range Energy Alternatives Planning System (LEAP) and CA-Markov models to simulate the future change in carbon source and carbon sink of Shanxi from 2020 to 2060; it analyzes the achievement of the carbon peaking and carbon neutrality targets for each source–sink scenario. The results show that: (1) The total energy consumption and CO2 emissions have increased significantly, from 2000 to 2020, especially in heavy industry; (2) The CO2 emissions are predicted to peak at 381.6 Mt, 294.1 Mt and 282.7 Mt in 2040 (baseline scenario), 2030 (policy scenario), and 2025 (carbon neutrality scenario), respectively. The achievement of the carbon neutrality mainly depends on the reduction in CO2 emissions; (3) If Shanxi Province strives to reach the energy intensity of developed countries by 2060, with 80% of non-fossil energy generation, it has the potential to achieve the carbon neutrality target; (4) The popularization of carbon capture, utilization and storage (CCUS) technology will significantly accelerate the achievement of Shanxi Province’s carbon neutrality target.
1. Introduction
Scholars have traditionally emphasized the importance of environmental and economic sustainability (e.g., maritime industry, product supply chain) [1,2,3]. In contrast, the sustainability of society receives less attention [4]. However, with the considerable impact of global warming on society, achieving global carbon neutrality is an inevitable choice for mitigating climate warming and ensuring sustainable social development. In 2021, The Sixth Assessment Report (AR6) by the Intergovernmental Panel on Climate Change (IPCC) confirmed the relationship between the magnitude of global warming and CO2 emissions, stating that for every trillion tons of CO2 emitted by human activities the global average surface temperature will rise by 0.27 °C to 0.63 °C [5]. As the most important greenhouse gas, the concentration of CO2 in the atmosphere has increased from 300 ppm in 1950 to 410 ppm in 2019, which is 48% higher than pre-industrial levels [6]. This phenomenon has resulted in unprecedented changes in all the Earth’s major circles [7]. To reduce the negative effects of global warming, countries have formulated climate control targets such as net zero emission of CO2, climate neutrality and carbon neutrality [8,9,10]. China has committed to peak carbon CO2 emissions before 2030 and achieve carbon neutrality before 2060.
With carbon emissions becoming a hot topic in recent years, studies have begun to focus on the future trends of carbon emissions and make suggestions for lowering them. Schmalensee et al. [11] predicted the future global CO2 emissions up to 2050 using reduced-form models that were calculated with national-level panel data. Jie et al. [12] analyzed future energy consumption in the context of urbanization and confirmed the close relationship between carbon emissions and energy consumption. Based on the IPAT model, Zhang et al. [13] proposed three future scenarios and predicted the future carbon emissions of Anhui Province. They found that technology and mechanism innovation were highly important to reduce carbon emissions in China. In addition, several studies constructed future development scenarios through an energy optimization model [14], STIRPAT model [15], MARKAL-MACRO model [16] and optimized CGE model [17], and predicted carbon emissions and the driving factors of industries [18], such as transportation [19], agriculture [20] and other sectors or regions [21,22,23]. However, it was found that once the parameter setting is unreasonable, the panel data-based forecasting result will exhibit a large deviation from the reality [24]. In addition, models based on general equilibrium theory, such as the MARKAL-MACRO model and CGE model, focus on the optimization suggestions of allocation mechanisms, but cannot accurately reflect the technological changes and technological simulations in reality; thus, the simulation results may be quite different from the actual situation [25]. Among many forecasting models, the Long-range Energy Alternatives Planning System (LEAP) model, based on scenario analysis, has solved these problems to a great extent [26]. Emodi et al. used the LEAP model to simulate the energy consumption and carbon emissions of industries and regions [27]. Because of its simple data input and accurate prediction result, the LEAP model is commonly used.
Another path toward the reduction in CO2 concentration is absorbing CO2 from the atmosphere; thus, carbon sink also plays an important role in this regard [28,29]. Carbon sink is mainly classified as terrestrial and oceanic types [30]; China’s terrestrial carbon sink absorbs an average of 14.6–16.1% of industrial CO2 emissions annually [31]. As the mainstay of terrestrial ecosystems, forest is an important carbon sink. Their carbon sink capacity can be enhanced by afforestation, as well as improving the structure and quality of tree species [32,33]. For the prediction of future carbon sink, owing to the strong heterogeneity of terrestrial ecosystems, the estimation of terrestrial carbon sink has tremendous inherent uncertainty [34]. Previous studies have used ecosystem process models to predict future carbon sink [35,36]. Potter et al. [37] estimated carbon fluxes in terrestrial ecosystems in the United States by using a simulation model based on satellite observations of vegetation cover. Yamagata et al. [38] evaluated the future carbon sink by combining the simulation of carbon storage change and land use change. The CA-Markov model can not only accurately predict the future land use change, but also effectively simulate the spatial distribution of land use types [39]; therefore, this model can be an effective way to predict future carbon sink.
The achievement of the carbon neutrality target relies on both reducing CO2 emissions and increasing carbon sink. A carbon neutrality target is achieved if the source and sink offset each other or if the difference between the two is negative [40,41]. In addition, the adoption of carbon capture, utilization, and storage (CCUS) technology to reduce CO2 can also aid in achieving carbon neutrality targets [42]. As the realities of different regions differ greatly, such as in their resource endowments and development conditions, setting regional carbon neutrality pathways should highlight local advantages and be tailored to local conditions [43]. Overall, previous works laid a solid foundation for carbon neutrality research. However, most studies mainly focused on either carbon source or carbon sink [44,45], and rarely combined them to discuss the specific realization pathway to the carbon peaking and carbon neutrality targets.
Some studies have found that economic growth is the primary driver of China’s increased carbon emissions [46]. Furthermore, the increase in carbon emissions sources is influenced by energy intensity, energy structure, and industrial structure [47,48]. If carbon emissions sources are to be reduced without impacting economic output, it is necessary to reduce energy intensity, optimize industrial structure and increase the share of non-fossil energy sources [49]. As a major energy province, Shanxi Province, with high CO2 emissions, supplies energy to 14 provinces (autonomous regions and municipalities) in China and is under the high pressure to achieve carbon neutrality target. Therefore, based on the aforementioned research shortcomings, and in the context of social sustainability, it is particularly important to analyze the future development of carbon source and carbon sink in Shanxi Province; this is to evaluate the time nodes and specific CO2 emissions reduction paths for achieving the carbon peaking and carbon neutrality targets in different carbon source–sink scenarios.
In this study, the CO2 emissions generated by terminal energy in Shanxi Province from 2000 to 2020 were calculated. By combining the results with future development policies, three carbon source development scenarios (baseline, policy, and carbon neutrality scenario) were set to estimate carbon source trends from 2020 to 2060 using the LEAP model. In addition, the net primary productivity (NPP) obtained from remote sensing imagery data was used to estimate the carbon sink in this study area from 2000 to 2020. Subsequently, three carbon sink development scenarios (historical, sustainable, and ecological) were generated to predict carbon sink trends from 2020 to 2060 using the CA-Markov model. Finally, the achievement of the carbon peaking and carbon neutrality targets for each combination of carbon source and carbon sink pathways was analyzed. The results will provide scientific support for and carbon neutrality policymaking in Shanxi Province.
2. Materials and Methods
2.1. Study Area
Shanxi Province is located on the eastern edge of the Loess Plateau, with the Taihang and Lvliang Mountains on its east and west sides, respectively. As the second largest tributary of the Yellow River, Fenhe River flows from the North to South through its central area (Figure 1). Since 2006, Shanxi Province has implemented afforestation and greening projects, with an average annual afforestation area of over 2666.7 km2 per year, making it one of the provinces with the largest increase in forest resources in China [50]. According to the NPP of vegetation obtained from remote sensing imagery data, the carbon sink reserves in Shanxi reached 59.6 Mt in 2020. Shanxi Province is rich in coal resources: in 2020, the coal output of this region was 1.06 billion tons, ranking first in China [51]. Its own coal consumption is large, and its coal-based energy structure is prominent. Thus, the energy and environmental sustainability of Shanxi Province will be severely challenged in the future.
Figure 1.
Location map of the study area.
2.2. Data Sources
The required data types include socio-economic statistic data, land use data, and remote sensing imagery data. The socio-economic statistic data were obtained from the Statistical Yearbook of Shanxi Province (2000–2020), including energy consumption, output value of industries, GDP, and population numbers. The land use data, used to calculate the areas of different land use types, were obtained from the Resource and Environment Science and Data Center of the Chinese Academy of Sciences (https://www.resdc.cn/, accessed on 22 November 2021). The MOD17A3HGF V6 product which was used to estimate the NPP values of different land use types was obtained from National Aeronautics and Space Administration (https://ladsweb.modaps.eosdis.nasa.gov/, accessed on 5 March 2022).
2.3. Carbon Source Assessment
2.3.1. Carbon Emissions Accounting
The CO2 emissions from fossil energy combustion are the main source of greenhouse gases. To account for the differences in greenhouse gas emissions in different regions, this study adopts the calculation approach of CO2 emissions in Shanxi Province according to the Guidelines for the Preparation of Provincial Greenhouse Gas Inventories (for trial implementation) for CO2 emissions accounting [52], which is primarily based on IPCC method 2. The calculation is based on the consumption of various types of energy in each production service sector and the CO2 emissions factors of different energy sources, which is calculated as follows:
where E is the CO2 emissions; EF is the energy emission factor; Activity is the consumption of fuel; i is the fuel type, i=1, 2..., 6 for coal, clean coal, coke, petroleum products, electricity, and natural gas, respectively [53]; j is the different activity sectors, j = 1, 2, 3, 4 for primary, secondary, tertiary, and residential life, respectively.
2.3.2. LEAP Model
LEAP is an energy accounting tool based on future scenario analysis, which can analyze future energy consumption and CO2 emissions under different scenarios. It is widely used in formulating energy policies and mitigating global climate change [26]. The parameter settings for the LEAP model are primarily based on indicators such as the results of carbon source accounting and relevant policies (Table 1). The future energy demand of the model is calculated as follows:
where Ef denotes the total future energy consumption; ALj denotes the level of j industrial activity; Ej denotes the energy use intensity; Ei,f denotes different energy consumption; and Pi denotes the share of i energy in future energy consumption.
Table 1.
Prediction methods and application parameters.
2.4. Research Methodology for Establishing Carbon Sink Scenarios
2.4.1. CA-Markov Model
The CA-Markov model consists of the Markov chain, multi-criteria evaluation, and cellular automata. The model can define transfer rules between land use types and establish suitability atlases through multi-criteria evaluation, which can effectively predict the amount and distribution of future land use [55]. The land use types in this study area were divided into six categories: farmland, woodland, grassland, water, construction land, and unutilized land. Based on the potential for future land use change, historical, sustainable, and ecological carbon sink scenarios were set up. A transfer matrix and suitability atlas (Table 2) were produced for different scenarios, and the CA-Markov was used to simulate the land use types in Shanxi Province under different scenarios in 2020, 2030, and 2060.
Table 2.
Carbon sink scenarios setting and suitability atlas establishment rules.
2.4.2. Carbon Sink Estimation
The amount of organic matter accumulated by green plants per unit area and per unit time (i.e., NPP) is commonly used to estimate carbon sink [57,58,59,60]. The change in the mean value of NPP for different land use types is greatly influenced by the change in vegetation cover and human activities [61]. Owing to the consistent implementation of afforestation and greening projects in Shanxi Province from 2000 to 2020, the NPP reached its peak value in 2020 [62]. Without external intervention, there is little room for an increase in the average value of the NPP category across the region in the future. Therefore, the mean NPP values of each raster under different land use types in 2020 were used as the NPP index for each land use type in the future (Table 3) to estimate the carbon sink for different future scenarios.
where H is the future carbon sink; i is the different land use types; j is the different years; Si,j is the area of land use type i in year j for different years; and Ti,j is the average value of NPP predicted for land use type i in year j.
Table 3.
NPP values for different land use types (gC/m2).
3. Results
3.1. Status of Carbon Source and Carbon Sink in Shanxi Province
3.1.1. Characteristics of Energy Consumption and Carbon Emissions in Shanxi Province
From 2000 to 2020, the total energy consumption in Shanxi Province increased by 286%, from 46.5 Mtc in 2000 to 179.4 Mtc in 2020, with a significant growth rate of 6 Mt·a−1 (Figure 2). In terms of the consumption of different energy sources, raw coal was one of the main energy sources in Shanxi Province. With the continuous optimization of the energy consumption structure, the consumption of coal products (coal, clean coal and coke) increased from 34.3 Mtc in 2000 to 56 Mtc in 2020, which is an increase of 69%. However, its share of total energy consumption decreased significantly, from 74% to 32%. In the past 20 years, the average annual increase rates of electricity and natural gas were 13.2% and 12.6%, respectively. Consequently, the energy consumption ratios of electricity and natural gas increased from 13% and 8% to 39% and 23%, respectively. Comparatively, electricity consumption gradually replaced raw coal to occupy the dominant position. This result indicates that the energy structure optimization of Shanxi Province has been effective. The generation of electricity will provide greater potential for regional energy sustainability.
Figure 2.
Varying energy consumption and CO2 emissions in Shanxi Province from 2000–2020.
The CO2 emissions in Shanxi Province also showed a significant increasing trend from 2000 to 2020 (7.14 Mt·a−1). The CO2 emissions increased from 116.8 Mt in 2000 to 276.8 Mt in 2020, with an increase of 137% (Table 4). Among them, the industrial sector (construction industry, light industry, and heavy industry) accounted for the largest share of CO2 emissions. In particular, the average proportion of CO2 emissions from heavy industry reached to 76.5%. In addition, the CO2 emissions and the share of emissions from heavy industry are on the rise, with emissions increasing from 74.9 Mt in 2000 to 226.1 Mt in 2020. The CO2 emissions from the construction industry are relatively stable, maintained at approximately 2 Mt from 2000 to 2020, however, its emission share shows a decreasing trend. Both primary industry and light industry showed a decreasing trend in CO2 emissions, which decreased from 6.74 Mt and 10.64 Mt in 2000 to 4.32 Mt and 2.19 Mt, respectively, and their share of the total CO2 emissions decreased from 5.77% and 9.11% to 1.56% and 0.79%. CO2 emissions from various sectors in the tertiary industry showed a slight upward trend; however, the share of emissions is relatively stable, with the same proportion as in 2000. The share of residential emissions was 12.93% in 2000 and stabilized at approximately 7% during 2005–2020. However, residential CO2 emissions have been on an upward trend, increasing from 15.1 Mt in 2000 to 19.6 Mt in 2020. Overall, Shanxi Province has a heavy task and great potential to reduce CO2 emissions in the heavy industry sector, which is a key area for achieving rapid CO2 emissions reductions.
Table 4.
Proportion of CO2 emissions from production and service sectors in Shanxi Province from 2000 to 2020 (%).
3.1.2. Characteristics of Carbon Sink in Shanxi Province
Shanxi Province is in inland China, far from the ocean; thus, the carbon sink in the region is mainly manifested as terrestrial carbon sink [63], and the spatial distribution of the carbon sink is generally high in the southeast and low in the northwest (Figure 3). High-value carbon sink areas are mainly concentrated in the Taihang and Lvliang Mountains, whereas low-value carbon sink areas are distributed in the Fenhe River valley and the Loess Hilly Region of western and northern Shanxi. As the implementation of various ecological restoration projects in Shanxi Province in 2000, the quality of the ecological environment has been improved substantially. The annual average value of NPP from 2000 to 2020 showed an upward trend, increasing from 229 gC m−2 a−1 in 2000 to 419.7 gC m−2 a−1 in 2020, with an average annual growth rate of 9.54 gC m−2 a−1. Among them, the carbon sink in the Lvliang Mountains and the Loess Hilly Region of western and northern Shanxi Province has increased significantly, whereas the carbon sink in the Taihang Mountains has changed slightly. The quality of the ecological environment in the Fenhe River valley has improved owing to afforestation, and many low-value areas were observed to gradually turn into medium- and high-value areas.
Figure 3.
NPP distribution in Shanxi Province.
3.2. Carbon Source Scenarios and Parameter Settings
In the context of carbon peaking and carbon neutrality strategy, the future development scenarios for Shanxi Province were divided into baseline, policy, and carbon neutrality scenarios, based on the results of the discussed studies and relevant policies (Table 5). The baseline scenario predicts future energy consumption and CO2 emissions based on the historical development characteristics of various indicators and policies from 2000 to 2020. Based on the baseline scenario, the future policy interventions on energy intensity and industrial and energy structures are considered in the policy scenario. The carbon neutrality scenario assumes that the energy intensity will be further reduced, and the industrial and energy structures will be further optimized. Therefore, the low-carbon living will be greatly promoted in the carbon neutrality scenario [64,65].
Table 5.
Description of the realization paths for different carbon source scenarios.
The parameters of the LEAP model were set according to the realization paths of the three scenarios (Table 6). The future population was predicted by applying the logistic model based on the population data of Shanxi Province from 2000 to 2020. The population change is mainly influenced by policy factors in China [66]. Therefore, because of the unchanged setting of future population policy for all carbon source scenarios, there was no difference in future population growth rate among them. GDP growth exerts a great influence on future carbon emissions [67,68]. Considering China’s efforts to reduce carbon emissions while maintaining steady economic growth, all carbon source scenarios assume the same GDP growth rate as the sustainable shared socio-economic pathway (SSP1); that is, 3% for 2020–2030 and 1.5% for 2030–2060 [54]. For the setting of energy intensity, the baseline scenario projects the change in energy intensity in the subsequent 40 years through the logistic model. In the policy scenario, the energy intensity will be reduced by 13.5% in 2025 compared with that in 2020 and attain the national average in 2060 according to the policy requirement. The carbon neutrality scenario assumes that the energy intensity will be decreased by 14% in 2025, and will slightly decrease further, beyond the policy scenario thereafter, with an average annual decrease of 2%. According to the International Energy Agency projections, the future average annual growth rate of the share of non-fossil energy generation in China is 0.3% to 1.6% under the different CO2 emissions reduction strategies [69]. Combining the development status of the clean energy in Shanxi, the proportion of non-fossil energy generation under the three carbon source scenarios is projected to grow at an average annual rate of 0.6%, 1.3%, and 1.5%, respectively. Consequently, its proportion will increase from 20% in 2020 to 45%, 75%, and 80% in 2060 for these three scenarios, respectively.
Table 6.
Core parameter setting of the LEAP model in Shanxi Province.
3.3. Projected Results of Carbon Source and Carbon Sink in Shanxi Province during 2020–2060
3.3.1. Carbon Source Prediction Results
The future total energy consumption of the three carbon source scenarios shows an inverted U-shaped structure, with a continuous increase before peaking and a continuous decrease after peaking. However, the development rate, peaking time and energy consumption amount vary among the three scenarios (Figure 4). Specifically, the future total energy consumption in the baseline scenario tends to increase continuously before peaking, with a much higher annual growth rate than that in the policy and carbon neutrality scenarios. Moreover, the total energy consumption in this scenario is projected to peak at 271.3 Mtce in 2045. Under the combined effect of economic transformation, energy reform and reduced energy intensity, the policy scenario will reach the peak 10 years ahead of the baseline scenario and will reduce total energy consumption by 70.6 Mtce compared to the baseline scenario when energy consumption peaks. By 2060, the total energy consumption will be reduced by 88.3 Mtce compared to the baseline scenario. In the carbon neutrality scenario, the total energy consumption will be reduced by 79.4 Mtce compared to the baseline scenario when energy consumption peaks, and the peaking time will be advanced to 2025. By 2060, the total energy consumption is projected to be reduced by 165.7 Mtce compared to the baseline scenario.
Figure 4.
Total projected energy consumption under different scenarios.
CO2 emissions of the baseline, policy, and carbon neutrality scenarios are projected to peak at 381.6 Mt, 294.1 Mt, and 282.7 Mt in 2040, 2030, and 2025, respectively. In the baseline scenario, the change trend of energy structure is consistent with that of 2000–2020. The proportion of raw coal consumption will decrease, while the proportion of electricity and natural gas consumption will increase slightly, and the proportion of other non-fossil energy will increase slowly (Figure 5a). By 2060, the CO2 emissions will be slightly lower than that in 2020, reaching 273.9 Mt. The policy scenario relies heavily on technological innovation to increase the development of new energy sources and reduce energy intensity. Under this scenario, CO2 emissions will decrease from 276.8 Mt in 2020 to 156 Mt in 2060 (Figure 5b). In the carbon neutrality scenario, the energy structure will change more significantly (Figure 5c). The proportion of non-fossil energy in the energy structure will increase year by year, while the proportion of all kinds of fossil energy will decrease overall, especially coal, coke and natural gas. However, the clean coal and petroleum products with small contributions in the energy structure will change marginally. By 2060, the proportion of non-fossil energy consumption is projected to exceed that of fossil energy, whereas the total CO2 emissions are expected to fall from 276.8 Mt in 2020 to 62.5 Mt in 2060, achieving a significant reduction in CO2 emissions.
Figure 5.
Energy structure and total CO2 emissions under different scenarios: (a) Baseline scenario; (b) Policy scenario; (c) Carbon neutrality scenario.
3.3.2. Carbon Sink Projection Results
In the three carbon sink scenarios, carbon sink shows an upward trend. However, because the change in land use type is limited by policies and convertible land use areas, the growth rate of carbon sink is different in different scenarios. The overall increase in carbon sink for the ecological and sustainable scenarios is significant compared to the historical scenario (Figure 6). The carbon sink in the historical scenario exhibited a large increase of 1.25 Mt between 2020 and 2030, with an average annual growth rate of 0.21%. However, owing to the limitation of the area of convertible land, the average annual growth rate will be 0.002 Mt a−1 during 2030–2060. The carbon sink in the sustainable scenario will increase by 2.84 Mt in 2020–2030, slightly higher than that of the historical scenario, with an average annual growth rate of 0.47%; it also indicates a slow development during 2030–2060. By 2060, the carbon sink in the ecological scenario will be 63.04 Mt, indicating an increase of 5.83% compared to 2020. The rise is evident for 2020–2030, with the increase accounting for 87.6% of the total increase in 2020–2060. Moreover, the average annual growth rate during 2030–2060 is 0.014 Mt a−1, which is higher than that of both the historical and sustainable scenarios.
Figure 6.
Total carbon sink forecast in different scenarios of Shanxi Province during 2020–2060.
3.4. Achieving Carbon Neutrality in Shanxi Province without Using the CCUS Technology
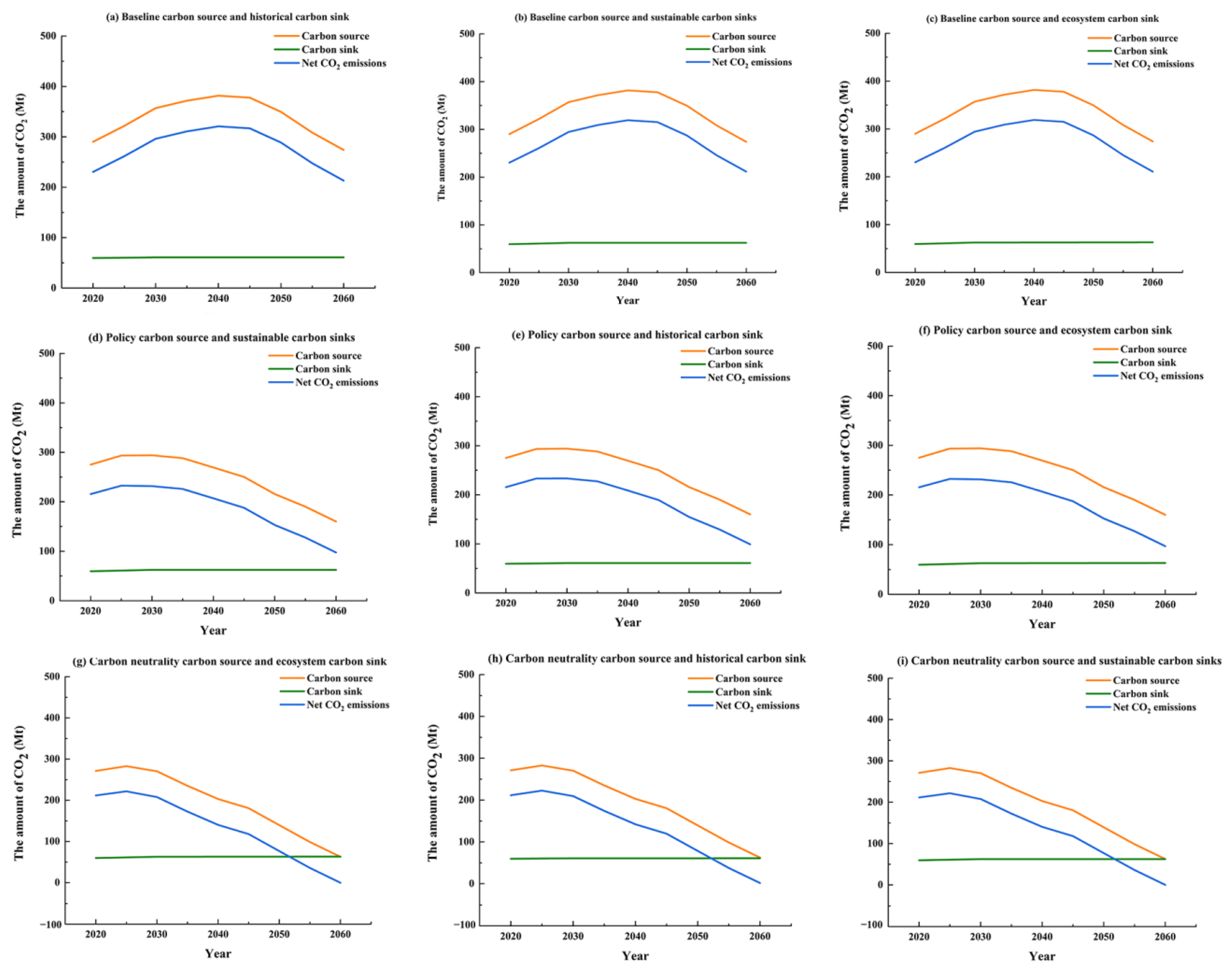
The three carbon source scenarios and the three carbon sink scenarios are combined with each other to construct nine source–sink scenarios (baseline–historical, baseline–sustainable, baseline–ecological, policy–sustainable, policy–historical, policy–ecological, carbon neutrality–ecological, carbon neutrality–historical, and carbon neutrality–sustainable scenarios), for simulating the achievement of the carbon peaking and carbon neutrality targets in Shanxi Province from 2020 to 2060 (Figure 7). The results show that only the carbon neutrality–ecological scenario can achieve the carbon neutrality target by 2060, whereas the net CO2 emissions in the carbon neutrality–historical and carbon neutrality–sustainable scenarios are close to zero, indicating that the neutrality target could be fundamentally achieved (Figure 7g–i). By reducing energy intensity and increasing the proportion of clean energy, the policy–historical, policy–sustainable, and policy–ecological scenarios will achieve significant reductions in the net CO2 emissions. Furthermore, by 2060, the CO2 emissions of the three source–sink scenarios will be reduced by 115.1 Mt compared with that in 2020, and the net CO2 emissions will be 99.1 Mt, 97.5 Mt and 96.9 Mt, respectively (Figure 7d–f), indicating to the feasibility of achieving carbon neutrality in the future. The net CO2 emissions in the baseline–historical, baseline–sustainable, and baseline–ecological scenarios will be 213.0 Mt, 211.5 Mt and 210.9 Mt by 2060, respectively (Figure 7a–c), leaving a big gap from achieving the carbon neutrality target.
Figure 7.
The CO2 emissions of nine source–sink scenarios in Shanxi Province during 2020–2060 without using the CCUS technology.
As terrestrial carbon sink has been at a low level of development, the reduction in the net CO2 emissions relies heavily on the reduction in carbon source. With the implementation of CO2 emissions reduction measures the sources have been declining, substantially reducing the gap between source and sink and thereby improving the possibility of achieving carbon neutrality.
3.5. Achieving Carbon Neutrality in Shanxi Province with Using the CCUS Technology
These results discussed from Section 3.1, Section 3.2, Section 3.3 and Section 3.4 were obtained considering only carbon source and carbon sink in the process of achieving the carbon peaking and carbon neutrality targets. As CCUS technology matures, its use will be more prevalent. Therefore, using CCUS technology to reduce CO2 emissions is crucial for the future low-carbon development of Shanxi Province. According to the Development Research Centre of the State Council of China’s estimates of China’s future national CO2 emissions, the China CCUS report [70,71], and the actual conditions in Shanxi, maximum (Max), medium (Med), and minimum (Min) development potentials were set for future CCUS technology in Shanxi Province (Table 7) for capture, utilization, and the storage of carbon source in the source–sink scenarios, respectively (Figure 8). The result shows that the CO2 emissions will be further reduced in all source–sink scenarios using CCUS technology, and all of them have the potential of achieving carbon neutrality target.
Table 7.
Degree of realization of CCUS technology in Shanxi Province in the future.
Figure 8.
CO2 emissions of nine source–sink scenarios in Shanxi Province during 2020–2060 using the CCUS technology.
The baseline–historical, baseline–sustainable, and baseline–ecological scenarios can achieve the carbon neutrality target by 2055 when CCUS technology reaches its maximum potential (Figure 8a–c). In the policy–sustainable, policy–historical and policy–ecological scenarios (Figure 8d–f), all three scenarios can achieve the carbon neutrality target by 2058 when the CCUS technology attains its medium potential, and by 2053 when the CCUS technology attains its maximum potential. In the carbon neutrality–ecological, carbon neutrality–historical and carbon neutrality–sustainable scenarios (Figure 8g–i), the carbon neutrality target will be achieved by 2055, 2053, and 2051, respectively, when the CCUS technology attains its minimum, medium, and maximum potentials, respectively. Controlling and reducing CO2 emissions is an important means of achieving carbon neutrality; in addition, the popularization of CCUS technology will further accelerate the achievement of carbon neutrality, and thus plays an equally important role.
4. Discussion
The comprehensive application of non-fossil energy is the key to sustainable development [72]. The realization of the carbon peaking and carbon neutrality targets around the world largely depends on reducing energy intensity and increasing the share of non-fossil energy [73]. The path toward carbon neutrality in Shanxi Province is the same as that of most developed countries and regions, focusing on controlling total energy consumption and adjusting energy structures. However, unlike the United States, the European Union, Canada, and other countries that have taken the lead in completing the carbon peaking, the time interval between China’s carbon peaking target and carbon neutrality target is much shorter than that in developed countries [74], which implies that China faces an even tougher emissions reduction task. Moreover, it also means that China’s carbon peaking should be a low peak of rational development, which is consistent with our prediction results of the policy scenario and the carbon neutrality scenario for Shanxi Province. In addition, as a major energy province in China, Shanxi Province’s special industrial foundation and limited renewable resources render it more dependent on the CCUS technology in achieving carbon neutrality than other provinces in China, such as Beijing, Hainan, Yunnan and other regions with a low proportion of heavy industry or rich in renewable energy.
Accounting the carbon source and sink in Shanxi Province, followed by an exploration of the possibility and timing of achieving the carbon peaking and carbon neutrality targets via different pathways, will provide scientific support for the formulation of carbon neutrality policy in Shanxi Province. Although this study only considers CO2 emissions from energy consumption in the calculation of carbon source, previous studies have shown that CO2 from fossil energy combustion accounts for more than 80% of anthropogenic greenhouse gas emissions in China [75,76]. As a typical energy province in China, the proportion of CO2 generated by energy consumption in Shanxi is bound to increase further. Therefore, it is important to conduct carbon peaking and carbon neutrality studies in Shanxi Province using CO2 emissions from terminal energy consumption as the main carbon source. In addition, NPP changes are less persistent and future developments are highly uncertain [77]. Therefore, to reduce the impact of NPP changes on future carbon sink projections, this study only considers the possible future changes in land use and uses fixed values for NPP in 2020 for each category. The prediction results have little impact on the overall results of future carbon sink. However, as research progresses, the accurate accounting and prediction of carbon sink would be a key task for future research in the direction of carbon neutrality.
Combining the LEAP model with the CA-Markov model to predict the future development of carbon source and carbon sink, respectively, provides a novel approach to studying carbon neutrality pathways. However, in this study, the use of the LEAP model for future CO2 emission accounting did not subdivide the industrial sectors, such as iron and steel, metallurgy, machinery, real estate, and transportation sectors. In the future, if we further subdivide and predict CO2 emissions from various industrial sectors, our predictions will be increasingly close to reality. Furthermore, population, GDP growth, energy intensity, and the share of non-fossil energy are the primary factors for achieving carbon neutrality; all three carbon source scenarios assume the same population and GDP growth based on the aforementioned reasons. However, various intensities of carbon neutrality transition or carbon emissions reduction have been consistently shown to affect the GDP growth path in existing literature [67,68]. Population dynamics can be also affected by carbon neutrality-related effects. For example, more people might be willing to move to a region where the energy structure has been improved, whereas shocks to local employment associated with carbon transition (for example, coal mine or coal power plant employees) may lead to migration out of Shanxi if the transition is particularly rapid. Therefore, the potential change in population and GDP growth will be factored into our future work.
5. Conclusions
This study analyzed and predicted the achievement of carbon neutrality in Shanxi Province in the future primarily based on two aspects of carbon source and carbon sink. The main conclusions are as follows:
- From the perspective of historical total energy consumption and CO2 emissions over the past 20 years, Shanxi has shown a significant upward trend, with the heavy industry sector being the primary source of CO2 emissions. Meanwhile, since the implementation of ecological restoration projects in Shanxi Province in 2000, the overall ecological environment quality has improved, and the carbon sink has been increased significantly. Therefore, to achieve carbon neutrality as soon as possible, Shanxi Province should promote afforestation and greening projects continuously, effectively control CO2 emissions from heavy industry, and implement cleaner lifestyles such as transitioning from coal to electricity and/or gas.
- The contribution of increasing carbon sink in carbon neutrality by afforestation is far lower than that of reducing CO2 emissions, and energy conservation and emission reduction is the necessary path for achieving carbon neutrality in the future. If historical policy is followed, achieving carbon neutrality in Shanxi Province in the future will be difficult, and although future policy can reduce CO2 emissions significantly, it will still not meet China’s 2060 carbon neutrality target. If Shanxi Province strives to attain the energy intensity of developed countries by 2060, with 80% of non-fossil energy generation, it has the potential to achieve the carbon neutrality target.
- If the CCUS technology is promoted, the CO2 emissions will be further reduced, and all source–sink scenarios show potential for achieving carbon neutrality target by 2060.
Author Contributions
Conceptualization, M.L. and Y.Z.; data curation, Y.Z.; formal analysis, Y.Z.; funding acquisition, M.L. and H.L.; project administration, M.L. and H.L.; resources, M.L.; software, Y.Z.; investigation, Y.Z.; visualization, Y.Z.; writing—original draft, Y.Z.; writing—review and editing, M.L. and H.L. All authors have read and agreed to the published version of the manuscript.
Funding
This research was funded by the Basic Research Projects in Shanxi Province (202103021224258), and the National Natural Science Foundation of China (41901071, 41701062).
Institutional Review Board Statement
Not applicable.
Informed Consent Statement
Not applicable.
Data Availability Statement
Not applicable.
Acknowledgments
We thank the editors and reviewers for reviewing this article and look forward to your valuable comments on this article.
Conflicts of Interest
The authors declare no conflict of interest.
References
- Kechagias, E.P.; Chatzistelios, G.; Papadopoulos, G.A.; Apostolou, P. Digital transformation of the maritime industry: A cybersecurity systemic approach Int. J. Crit. Infrastruct. Prot. 2022, 37, 100526. [Google Scholar] [CrossRef]
- Han, X.; Chen, Q. Sustainable supply chain management: Dual sales channel adoption, product portfolio and carbon emissions. J. Clean. Prod. 2021, 281, 125127. [Google Scholar] [CrossRef]
- Gayialis, S.P.; Kechagias, E.P.; Papadopoulos, G.A.; Masouras, D. A Review and Classification Framework of Traceability Approaches for Identifying Product Supply Chain Counterfeiting. Sustainability 2022, 14, 6666. [Google Scholar] [CrossRef]
- Gunasekaran, A.; Subramanian, N. Sustainable operations modeling and data analytics. Comput. Oper. Res. 2018, 89, 163–167. [Google Scholar] [CrossRef]
- Masson-Delmotte, V.; Zhai, P.; Pirani, A.; Connors, S.L.; Péan, C.; Chen, Y.; Goldfarb, L.; Gomis, M.I.; Matthews, J.B.R.; Berger, C.; et al. Climate Change 2021: The Physical Science Basis. Contribution of Working Group I to the Sixth Assessment Report of the Intergovernmental Panel on Climate Change; Cambridge University Press: Cambridge, UK; New York, NY, USA,, 2021. [Google Scholar] [CrossRef]
- UNEP. Emissions Gap Report 2018; United Nations Environment Programme: Nairobi, Kenya, 2018; Available online: https://www.unenvironment.org/resources/emissions-gap-report-2018 (accessed on 1 October 2022).
- IPCC. Summary for Policymakers of Climate Change 2007: The Physical Science Basis. In Contribution of Working Group I to the Fourth Assessment Report of the Intergovernmental Panel on Climate Change; Cambridge University Press: Cambridge, UK; New York, NY, USA,, 2007. [Google Scholar]
- Morthorst, P.E. National environmental targets and international emission reduction instruments. Energy Policy 2003, 31, 73–83. [Google Scholar] [CrossRef]
- Jeong, K.; Hong, T.; Kim, J. Development of a CO2 emission benchmark for achieving the national CO2 emission reduction target by 2030. Energy Build. 2018, 158, 86–94. [Google Scholar] [CrossRef]
- Meinshausen, M.; Jeffery, L.; Guetschow, J.; Robiou du Pont, Y.; Rogelj, J.; Schaeffer, M.; Höhne, N.; Elzen, M.D.; Oberthür, S.; Meinshausen, N. National post-2020 greenhouse gas targets and diversity-aware leadership. Nat. Clim. Change 2015, 5, 1098–1106. [Google Scholar] [CrossRef]
- Schmalensee, R.; Stoker, T.M.; Judson, R.A. World carbon dioxide emissions: 1950–2050. Rev. Econ. Stat. 1998, 80, 15–27. [Google Scholar] [CrossRef]
- Jie, F.; Pingxing, L. Analysis on the Future Energy Consumption and Preliminary Discussion on Carbon Emission of China from the Perspective Urbanization. Adv. Earth Sci. 2011, 26, 57–65. [Google Scholar] [CrossRef]
- Zhang, L.Q.; Chen, S.P.; Rong, H.F.; Xu, X.W. Prediction and Analysis of Carbon Emission under Different Scenarios in Anhui Province Based on IPAT Model. Geogr. Geo-Inf. Sci. 2012, 28, 60–664. [Google Scholar]
- Li, C.; Huang, G.; Cai, Y. The application of energy supply-demand optimization model in Beijing energy system. Energy Eng. 2009, 4, 1–5. [Google Scholar] [CrossRef]
- Wang, Q.; Huang, J.; Zhou, H.; Sun, J.; Yao, M. Carbon Emission Inversion Model from Provincial to Municipal Scale Based on Nighttime Light Remote Sensing and Improved STIRPAT. Sustainability 2022, 14, 6813. [Google Scholar] [CrossRef]
- Chen, W. The costs of mitigating carbon emissions in China: Findings from China MARKAL-MACRO modeling. Energy Policy 2005, 33, 885–896. [Google Scholar] [CrossRef]
- Chatri, F.; Yahoo, M.; Othman, J. The economic effects of renewable energy expansion in the electricity sector: A CGE analysis for Malaysia. Renew. Sustain. Energy Rev. 2018, 95, 203–216. [Google Scholar] [CrossRef]
- Narayan, P.K. Economic impact of tourism on Fiji’s economy: Empirical evidence from the computable general equilibrium model. Tour. Econ. 2004, 10, 419–433. [Google Scholar] [CrossRef]
- Basak, P.; Nandi, S. A statistical analysis and prediction of carbon dioxide emission in some eastern and northern states of India. Int. J. Environ. Sci. 2014, 4, 956–967. [Google Scholar] [CrossRef]
- Aziz, S.; Chowdhury, S.A. Analysis of agricultural greenhouse gas emissions using the STIRPAT model: A case study of Bangladesh. Environ. Dev. Sustain. 2022; in press. [Google Scholar] [CrossRef]
- Wang, C.; Wang, F.; Zhang, X.; Yang, Y.; Su, Y.; Ye, Y.; Zhang, H. Examining the driving factors of energy related carbon emissions using the extended STIRPAT model based on IPAT identity in Xinjiang. Renew. Sustain. Energy Rev. 2017, 67, 51–61. [Google Scholar] [CrossRef]
- Strachan, N.; Kannan, R.; Pye, S. Scenarios and Sensitivities in Long-term UK Carbon Reductions using the UK MARKAL and MARKAL-MACRO Energy System Models. Available online: https://ukerc.ac.uk/ (accessed on 18 October 2022).
- Chi, Y.; Guo, Z.; Zheng, Y.; Zhang, X. Scenarios analysis of the energies’ consumption and carbon emissions in China based on a dynamic CGE Model. Sustainability 2014, 6, 487–512. [Google Scholar] [CrossRef]
- Wang, Z.; Zhu, Y.B.; Liu, C.X.; Ma, X. Integrated projection of carbon emission for China under the optimal economic growth path. Acta Geogr. Sin. 2010, 65, 1559–1568. [Google Scholar] [CrossRef]
- Du, Q.; Chen, Q.; Lu, N. Forecast of China’s carbon emissions based on modified IPAT model. Acta Sci. Circumstantiae 2012, 32, 2294–2302. [Google Scholar] [CrossRef]
- Wang, K.; He, H. Review of research on carbon peaking model in China. J. Hebei Acad. Sci. 2022, 39, 57–64. [Google Scholar] [CrossRef]
- Emodi, N.V.; Emodi, C.C.; Murthy, G.P.; Emodi, A.S.A. Energy policy for low carbon development in Nigeria: A LEAP model application. Renew. Sustain. Energy Rev. 2017, 68, 247–261. [Google Scholar] [CrossRef]
- Eric Sundquist, R.B.; Stephen Faulkner, R.G.; Jennifer Harden, Y.K.; Larry Tieszen, M.W. Carbon Sequestration to Mitigate Climate Change; USGS: Reston, VA, USA, 2008. [Google Scholar] [CrossRef]
- Le Quéré, C.; Raupach, M.R.; Canadell, J.G.; Marland, G.; Bopp, L.; Ciais, P.; Conway, T.J.; Doney, S.C.; Feely, R.A.; Foster, P.; et al. Trends in the sources and sinks of carbon dioxide. Nat. Geosci. 2009, 2, 831–836. [Google Scholar] [CrossRef]
- Whitehead, D. Forests as carbon sinks—Benefits and consequences. Tree Physiol. 2011, 31, 893–902. [Google Scholar] [CrossRef] [PubMed]
- Piao, S.; Fang, J.; Ciais, P.; Peylin, P.; Huang, Y.; Sitch, S.; Wang, T. The carbon balance of terrestrial ecosystems in China. Nature 2009, 458, 1009–1013. [Google Scholar] [CrossRef] [PubMed]
- Chen, K.; Cai, Q.; Zheng, N.; Li, Y.; Lin, C.; Li, Y. Forest Carbon Sink Evaluation–An Important Contribution for Carbon Neutrality. IOP Conf. Ser. Earth Environ. Sci. 2021, 811, 012009. [Google Scholar] [CrossRef]
- Wu, S.; Li, J.; Zhou, W.; Lewis, B.J.; Yu, D.; Zhou, L.; Jiang, L.H.; Dai, L. A statistical analysis of spatiotemporal variations and determinant factors of forest carbon storage under China’s Natural Forest Protection Program. J. For. Res. 2018, 29, 415–424. [Google Scholar] [CrossRef]
- Piao, S.; He, Y.; Wang, X.; Chen, F. Estimation of China’s terrestrial ecosystem carbon sink: Methods, progress and prospects. Sci. China Earth Sci. 2022, 65, 641–651. [Google Scholar] [CrossRef]
- Han, P.; Lin, X.; Zhang, W.; Wang, G.; Wang, Y. Projected changes of alpine grassland carbon dynamics in response to climate change and elevated CO2 concentrations under Representative Concentration Pathways (RCP) scenarios. PLoS ONE 2019, 14, e0215261. [Google Scholar] [CrossRef]
- Zhao, J.; Xie, H.; Ma, J.; Wang, K. Integrated remote sensing and model approach for impact assessment of future climate change on the carbon budget of global forest ecosystems. Glob. Planet. Change 2021, 203, 103542. [Google Scholar] [CrossRef]
- Potter, C.; Klooster, S.; Huete, A.; Genovese, V. Terrestrial carbon sinks for the United States predicted from MODIS satellite data and ecosystem modeling. Earth Interact. 2007, 11, 1–21. [Google Scholar] [CrossRef]
- Yamagata, Y.; Alexandrov, G.A. Would forestation alleviate the burden of emission reduction? An assessment of the future carbon sink from ARD activities. Clim. Policy 2001, 1, 27–40. [Google Scholar] [CrossRef]
- Mondal, M.; Sharma, N.; Garg, P.; Kappas, M. Statistical independence test and validation of CA-Markov land use land cover (LULC) prediction results. Egypt. J. Remote Sens. Space Sci. 2016, 19, 259–272. [Google Scholar] [CrossRef]
- Liu, Z.; Deng, Z.; He, G.; Wang, H.; Zhang, X.; Lin, J.; Qi, Y.; Liang, X. Challenges and opportunities for carbon neutrality in China. Nat. Rev. Earth Environ. 2022, 3, 141–155. [Google Scholar] [CrossRef]
- Wu, X.; Tian, Z.; Guo, J. A review of the theoretical research and practical progress of carbon neutrality. Sustain. Oper. Comput. 2022, 3, 54–66. [Google Scholar] [CrossRef]
- Leung, D.Y.C.; Caramanna, G.; Maroto-Valer, M.M. An overview of current status of carbon dioxide capture and storage technologies. Renew. Sustain. Energy Rev. 2014, 39, 426–443. [Google Scholar] [CrossRef]
- Hou, Z.M.; Xiong, Y.; Liu, J.H. Strategy, Technical Route and Action Plan Towards Carbon Peak and Carbon Neutrality in Henan Province. Adv. Eng. Sci. 2022, 54, 23–36. [Google Scholar] [CrossRef]
- Yang, T.; Liu, J.; Mi, H.; Cao, Z.; Wang, Y.; Han, H.; Luan, J.; Wang, Z. An Estimating Method for Carbon Emissions of China Based on Nighttime Lights Remote Sensing Satellite Images. Sustainability 2022, 14, 2269. [Google Scholar] [CrossRef]
- Martes, L.; Köhl, M. Improving the Contribution of Forests to Carbon Neutrality under Different Policies—A Case Study from the Hamburg Metropolitan Area. Sustainability 2022, 14, 2088. [Google Scholar] [CrossRef]
- Zhang, Y.J.; Da, Y.B. The decomposition of energy-related carbon emission and its decoupling with economic growth in China. Renew. Sustain. Energy Rev. 2015, 41, 1255–1266. [Google Scholar] [CrossRef]
- Xu, S.C.; He, Z.X.; Long, R.Y. Factors that influence carbon emissions due to energy consumption in China: Decomposition analysis using LMDI. Appl. Energy 2014, 127, 182–193. [Google Scholar] [CrossRef]
- Liu, Y.; Chen, Z.M.; Xiao, H.; Yang, W.; Liu, D.; Chen, B. Driving factors of carbon dioxide emissions in China: An empirical study using 2006–2010 provincial data. Front. Earth Sci. 2017, 11, 156–161. [Google Scholar] [CrossRef]
- Zhou, N.; Price, L.; Yande, D.; Creyts, J.; Khanna, N.; Fridley, D.; Lu, H.; Feng, W.; Liu, X.; Hasanbeigi, A.; et al. A roadmap for China to peak carbon dioxide emissions and achieve a 20% share of non-fossil fuels in primary energy by 2030. Appl. Energy 2019, 239, 793–819. [Google Scholar] [CrossRef]
- Promoting Afforestation and Afforestation in Shanxi Province for Forest Coverage Rate of More than 26% in 2020%. Available online: http://www.gov.cn/jrzg/2009-08/21/content_1398273.htm (accessed on 18 October 2022).
- Deng, G.; Zhou, Y. Regional Differences of Haze Pollution in China and Its Decoupling from Economic Growth. J. Xihua Univ. Philos. Soc. Sci. 2022, 41, 86–101. [Google Scholar] [CrossRef]
- Department of Climate Change, National Development and Reform Commission. Guidelines for Compiling Provincial Greenhouse Gas Inventories (for Trial Implementation). 2011. Available online: http://www.ncsc.org.cn/SY/tjkhybg/202003/t20200319_769763.shtml (accessed on 18 October 2022).
- Liu, L.C.; Fan, Y.; Wu, G.; Wei, Y.M. Using LMDI method to analyze the change of China's industrial CO2 emissions from final fuel use: An empirical analysis. Energy Policy 2007, 35, 5892–5900. [Google Scholar] [CrossRef]
- Jiang, T.; Zhao, J.; Cao, L.; Wang, Y.; Su, B.; Jing, C.; Wang, R.; Gao, C. Projection of national and provincial economy under the shared socioeconomic pathways in China. Clim. Change Res. 2018, 14, 50. Available online: http://www.climatechange.cn/EN/Y2018/V14/I1/50 (accessed on 18 October 2022).
- Hamad, R.; Balzter, H.; Kolo, K. Predicting land use/land cover changes using a CA-Markov model under two different scenarios. Sustainability 2018, 10, 3421. [Google Scholar] [CrossRef]
- Liang, L.F. Permanent Ecological Public Welfare Forest System Construction Plan Layout and Zoning in Shanxi Province. For. Inventory Plan. 2016, 41, 77–82. [Google Scholar]
- Liu, J.; Chen, J.M.; Cihlar, J.; Chen, W. Net primary productivity distribution in the BOREAS region from a process model using satellite and surface data. J. Geophys. Res. Atmos. 1999, 104, 27735–27754. [Google Scholar] [CrossRef]
- Thompson, M.V.; Randerson, J.T.; Malmström, C.M.; Field, C.B. Change in net primary production and heterotrophic respiration: How much is necessary to sustain the terrestrial carbon sink? Glob. Biogeochem. Cycles 1996, 10, 711–726. [Google Scholar] [CrossRef]
- Fang, J.Y.; Guo, Z.D.; Piao, S.L.; Chen, A.P. Terrestrial vegetation carbon sinks in China, 1981–2000. Sci. China Ser. D Earth Sci. 2007, 50, 1341–1350. [Google Scholar] [CrossRef]
- Wei, X.; Yang, J.; Luo, P.; Lin, L.; Lin, K.; Guan, J. Assessment of the variation and influencing factors of vegetation NPP and carbon sink capacity under different natural conditions. Ecol. Indic. 2022, 138, 108834. [Google Scholar] [CrossRef]
- Wang, Z.; Li, D.K. Spatial-temporal distribution of vegetation net primary productivity and its driving factors from 2000 to 2015 in Shaanxi, China. J. Appl. Ecol. 2018, 29, 1876–1884. [Google Scholar] [CrossRef]
- Shao, J.H.; Li, J.; Yan, X.G.; Ma, T.Y.; Zhang, R. Spatial-temporal variation characteristics and driving force analysis of NPP in Shanxi Province from 2000 to 2020 based on geographical detectors. Environ. Sci. 2022, 1, 6–21. [Google Scholar] [CrossRef]
- Wang, G.; Sun, T.; Zan, G.; Wang, B.; Kong, X. Roles and suggestions of terrestrial ecosystem carbon sink in achieving carbon emission peak and carbon neutrality in China. China Geol. Surv. 2021, 8, 13–19. [Google Scholar] [CrossRef]
- De Jong, M.; Joss, S.; Schraven, D.; Zhan, C.; Weijnen, M. Sustainable–smart–resilient–low carbon–eco–knowledge cities; making sense of a multitude of concepts promoting sustainable urbanization. J. Clean. Prod. 2015, 109, 25–38. [Google Scholar] [CrossRef]
- He, J.K. Global low-carbon transition and China’s response strategies. Adv. Clim. Change Res. 2016, 7, 204–212. [Google Scholar] [CrossRef]
- Preston, S.H. Urban growth in developing countries: A demographic reappraisal. Popul. Dev. Rev. 1979, 5, 195–215. [Google Scholar] [CrossRef]
- Abbasi, K.R.; Hussain, K.; Redulescu, M.; Ozturk, I. Does natural resources depletion and economic growth achieve the carbon neutrality target of the UK? A way forward towards sustainable development. Resour. Policy 2021, 74, 102341. [Google Scholar] [CrossRef]
- Shao, X.; Zhong, Y.; Li, Y.; Altuntas, M. Does environmental and renewable energy R&D help to achieve carbon neutrality target? A case of the US economy. J. Environ. Manag. 2021, 296, 113229. [Google Scholar] [CrossRef]
- IEA. World Energy Outlook 2017. Available online: https://www.iea.org/reports/world-energy-outlook-2017 (accessed on 18 October 2022).
- Li, J.F.; Guo, J.F.; Gao, S.J. The path analysis of China’s carbon neutrality goal before 2060. Dev. Res. 2021, 38, 37–47. [Google Scholar]
- Cai, B.F.; Li, Q.; Zhang, X.; Cao, C.; Cao, L.B.; Liu, G.Z.; Peng, B.; Shi, M.W.; Tan, Y.S.; Wang, N.; et al. Annual Report on Car-bon Dioxide Capture, Utilization and Storage (CCUS) in China (2021)—CCUS Path Research in China. 2021. Available online: http://www.caep.org.cn/sy/dqhj/gh/202107/t20210725_851241.shtml (accessed on 18 October 2022).
- Colombo, E.; Bologna, S.; Masera, D. Renewable Energy for Unleashing Sustainable Development; Springer: London, UK, 2013; Volume 390. [Google Scholar]
- Wang, F.; Harindintwali, J.D.; Yuan, Z.; Wang, M.; Wang, F.; Li, S.; Chen, J.M. Technologies and perspectives for achieving carbon neutrality. Innovation 2021, 2, 100180. [Google Scholar] [CrossRef] [PubMed]
- Zhao, X.; Ma, X.; Chen, B.; Shang, Y.; Song, M. Challenges toward carbon neutrality in China: Strategies and countermeasures. Resour. Conserv. Recycl. 2022, 176, 105959. [Google Scholar] [CrossRef]
- Quadrelli, R.; Peterson, S. The energy–climate challenge: Recent trends in CO2 emissions from fuel combustion. Energy Policy 2007, 35, 5938–5952. [Google Scholar] [CrossRef]
- Hao, Q.T.; Huang, M.X.; Bao, G. Study on Carbon Emission Calculation Methods Overview and Its Comparison. Chin. J. Environ. Manag. 2011, 4, 51–55. [Google Scholar] [CrossRef]
- Zhu, Y.Y.; Han, L.; Zhao, Y.H.; Ao, Y.; Li, J.J.; Xu, K.B.; Liu, B.; Ge, Y.Y. Simulation and spatio-temporal pattern of vegetation NPP in northwest China. Chin. J. Ecol. 2019, 38, 1861–1871. [Google Scholar] [CrossRef]
Publisher’s Note: MDPI stays neutral with regard to jurisdictional claims in published maps and institutional affiliations. |
© 2022 by the authors. Licensee MDPI, Basel, Switzerland. This article is an open access article distributed under the terms and conditions of the Creative Commons Attribution (CC BY) license (https://creativecommons.org/licenses/by/4.0/).







