Climate Data to Predict Geometry of Cracks in Expansive Soils in a Tropical Semiarid Region
Abstract
:1. Introduction
2. Materials and Methods
2.1. Study Area
2.2. Data Acquisition
2.3. Artificial Neural Network
- Model I—this model included all variables with a significant correlation (p < 0.05) (Appendix A), which were SM, PPT01-PPT10, ET01-ET10, WB01-WB10
- Model II—this model included the variables with a high or very high Pearson coefficient (0.6 ≤ |r| < 0.8 or 0.8 ≤ |r| < 1, respectively), as suggested by Bisquerra et al. [23] with a significant correlation (p < 0.05), which were SM, ET01-ET10 (Appendix A).
2.4. Model Performance
3. Results and Discussions
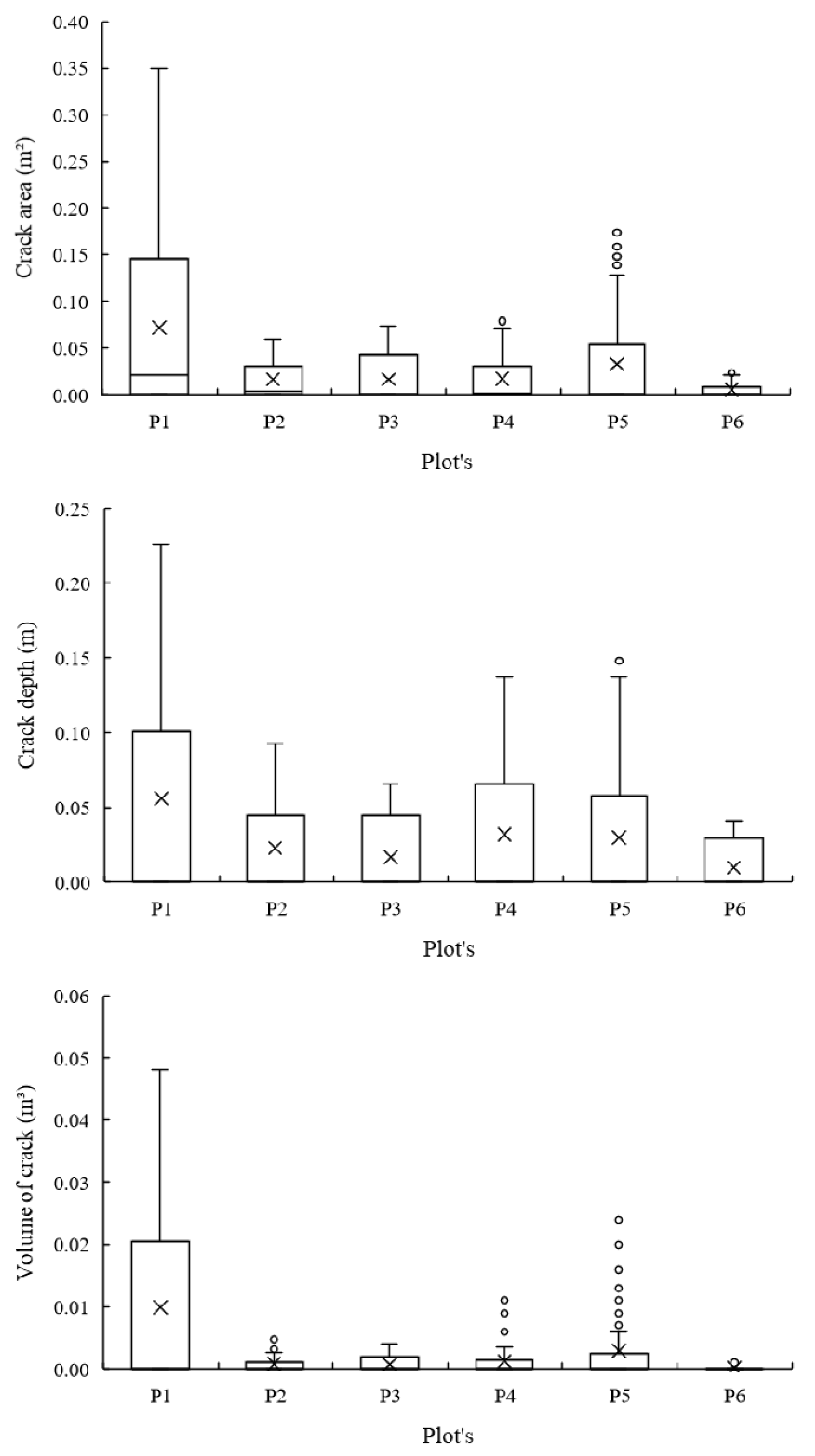
3.1. Spatial and Temporal Variability of Cracks’ Morphometric Characteristics
3.2. Models Performance
3.3. Morphometric Characteristics of Soil Cracks
4. Conclusions
Supplementary Materials
Author Contributions
Funding
Institutional Review Board Statement
Informed Consent Statement
Data Availability Statement
Acknowledgments
Conflicts of Interest
Appendix A
| Variables | Plot P1 | Plot P2 | Plot P3 | Plot P4 | Plot P5 | Plot P6 | ||||||||||||
|---|---|---|---|---|---|---|---|---|---|---|---|---|---|---|---|---|---|---|
| Area | Depth | Vol | Area | Depth | Vol | Area | Depth | Vol | Area | Depth | Vol | Area | Depth | Vol | Area | Depth | Vol | |
| SM | −0.89 ** | −0.90 ** | −0.87 ** | −0.84 ** | −0.89 ** | −0.75 ** | −0.85 ** | −0.88 ** | −0.83 ** | −0.75 ** | −0.88 ** | −0.71 ** | −0.77 ** | −0.81 ** | −0.69 ** | −0.74 ** | −0.82 ** | −0.63 ** |
| ET1 | 0.61 ** | 0.78 ** | 0.72 ** | 0.72 ** | 0.76 ** | 0.74 ** | 0.66 ** | 0.67 ** | 0.68 ** | 0.65 ** | 0.76 ** | 0.71 ** | 0.77 ** | 0.71 ** | 0.73 ** | 0.70 ** | 0.70 ** | 0.61 ** |
| ET2 | 0.63 ** | 0.87 ** | 0.79 ** | 0.79 ** | 0.84 ** | 0.82 ** | 0.71 ** | 0.72 ** | 0.72 ** | 0.76 ** | 0.84 ** | 0.81 ** | 0.85 ** | 0.79 ** | 0.83 ** | 0.74 ** | 0.74 ** | 0.60 ** |
| ET3 | 0.67 ** | 0.89 ** | 0.83 ** | 0.82 ** | 0.86 ** | 0.84 ** | 0.75 ** | 0.76 ** | 0.75 ** | 0.78 ** | 0.85 ** | 0.82 ** | 0.87 ** | 0.79 ** | 0.83 ** | 0.77 ** | 0.78 ** | 0.61 ** |
| ET4 | 0.67 ** | 0.90 ** | 0.82 ** | 0.83 ** | 0.87 ** | 0.85 ** | 0.74 ** | 0.76 ** | 0.75 ** | 0.78 ** | 0.88 ** | 0.83 ** | 0.88 ** | 0.82 ** | 0.84 ** | 0.75 ** | 0.77 ** | 0.61 ** |
| ET5 | 0.68 ** | 0.90 ** | 0.83 ** | 0.84 ** | 0.88 ** | 0.87 ** | 0.74 ** | 0.78 ** | 0.75 ** | 0.80 ** | 0.89 ** | 0.85 ** | 0.89 ** | 0.83 ** | 0.86 ** | 0.75 ** | 0.77 ** | 0.61 ** |
| ET6 | 0.67 ** | 0.91 ** | 0.83 ** | 0.86 ** | 0.89 ** | 0.88 ** | 0.74 ** | 0.78 ** | 0.76 ** | 0.83 ** | 0.90 ** | 0.87 ** | 0.91 ** | 0.84 ** | 0.88 ** | 0.76 ** | 0.77 ** | 0.62 ** |
| ET7 | 0.67 ** | 0.91 ** | 0.83 ** | 0.86 ** | 0.90 ** | 0.89 ** | 0.75 ** | 0.79 ** | 0.77 ** | 0.83 ** | 0.90 ** | 0.88 ** | 0.92 ** | 0.85 ** | 0.89 ** | 0.77 ** | 0.78 ** | 0.63 ** |
| ET8 | 0.69 ** | 0.93 ** | 0.84 ** | 0.87 ** | 0.91 ** | 0.90 ** | 0.77 ** | 0.80 ** | 0.79 ** | 0.84 ** | 0.91 ** | 0.88 ** | 0.92 ** | 0.85 ** | 0.89 ** | 0.78 ** | 0.79 ** | 0.63 ** |
| ET9 | 0.68 ** | 0.92 ** | 0.84 ** | 0.86 ** | 0.90 ** | 0.90 ** | 0.75 ** | 0.79 ** | 0.77 ** | 0.84 ** | 0.91 ** | 0.88 ** | 0.92 ** | 0.85 ** | 0.89 ** | 0.77 ** | 0.78 ** | 0.63 ** |
| ET10 | 0.67 ** | 0.92 ** | 0.83 ** | 0.85 ** | 0.90 ** | 0.89 ** | 0.75 ** | 0.79 ** | 0.76 ** | 0.84 ** | 0.90 ** | 0.88 ** | 0.92 ** | 0.84 ** | 0.89 ** | 0.76 ** | 0.77 ** | 0.63 ** |
| PPT1 | −0.37 ** | −0.35 ** | −0.35 ** | −0.39 ** | −0.41 ** | −0.33 ** | −0.35 ** | −0.38 ** | −0.34 ** | −0.33 ** | −0.37 ** | −0.29 ** | −0.31 ** | −0.34 ** | −0.27* | −0.29 ** | −0.34 ** | −0.29 ** |
| PPT2 | −0.51 ** | −0.48 ** | −0.49 ** | −0.52 ** | −0.52 ** | −0.45 ** | −0.48 ** | −0.50 ** | −0.47 ** | −0.45 ** | −0.47 ** | −0.39 ** | −0.42 ** | −0.44 ** | −0.37 ** | −0.40 ** | −0.47 ** | −0.29 ** |
| PPT3 | −0.56 ** | −0.54 ** | −0.54 ** | −0.55 ** | −0.57 ** | −0.47 ** | −0.52 ** | −0.55 ** | −0.50 ** | −0.48 ** | −0.51 ** | −0.42 ** | −0.45 ** | −0.48 ** | −0.40 ** | −0.43 ** | −0.51 ** | −0.31 ** |
| PPT4 | −0.61 ** | −0.59 ** | −0.58 ** | −0.58 ** | −0.59 ** | −0.51 ** | −0.55 ** | −0.59 ** | −0.53 ** | −0.50 ** | −0.54 ** | −0.45 ** | −0.49 ** | −0.51 ** | −0.43 ** | −0.46 ** | −0.55 ** | −0.34 ** |
| PPT5 | −0.63 ** | −0.61 ** | −0.59 ** | −0.60 ** | −0.61 ** | −0.52 ** | −0.57 ** | −0.61 ** | −0.55 ** | −0.52 ** | −0.56 ** | −0.46 ** | −0.50 ** | −0.53 ** | −0.44 ** | −0.47 ** | −0.55 ** | −0.34 ** |
| PPT6 | −0.64 ** | −0.62 ** | −0.61 ** | −0.61 ** | −0.63 ** | −0.53 ** | −0.61 ** | −0.65 ** | −0.59 ** | −0.54 ** | −0.59 ** | −0.48 ** | −0.51 ** | −0.55 ** | −0.45 ** | −0.50 ** | −0.58 ** | −0.36 ** |
| PPT7 | −0.65 ** | −0.63 ** | −0.62 ** | −0.61 ** | −0.63 ** | −0.54 ** | −0.62 ** | −0.66 ** | −0.61 ** | −0.53 ** | −0.60 ** | −0.49 ** | −0.53 ** | −0.57 ** | −0.47 ** | −0.52 ** | −0.60 ** | −0.37 ** |
| PPT8 | −0.67 ** | −0.65 ** | −0.64 ** | −0.61 ** | −0.64 ** | −0.54 ** | −0.64 ** | −0.68 ** | −0.62 ** | −0.54 ** | −0.62 ** | −0.50 ** | −0.54 ** | −0.58 ** | −0.48 ** | −0.53 ** | −0.61 ** | −0.38 ** |
| PPT9 | −0.68 ** | −0.66 ** | −0.65 ** | −0.61 ** | −0.64 ** | −0.54 ** | −0.65 ** | −0.68 ** | −0.63 ** | −0.54 ** | −0.62 ** | −0.50 ** | −0.55 ** | −0.60 ** | −0.49 ** | −0.54 ** | −0.62 ** | −0.39 ** |
| PPT10 | −0.68 ** | −0.67 ** | −0.65 ** | −0.61 ** | −0.64 ** | −0.54 ** | −0.66 ** | −0.69 ** | −0.64 ** | −0.55 ** | −0.64 ** | −0.51 ** | −0.56 ** | −0.61 ** | −0.50 ** | −0.56 ** | −0.63 ** | −0.40 ** |
| WB1 | −0.41 ** | −0.40 ** | −0.40 ** | −0.44 ** | −0.46 ** | −0.38 ** | −0.39 ** | −0.43 ** | −0.38 ** | −0.38 ** | −0.43 ** | −0.34 ** | −0.36 ** | −0.39 ** | −0.32 ** | −0.34 ** | −0.39 ** | −0.25* |
| WB2 | −0.55 ** | −0.54 ** | −0.55 ** | −0.57 ** | −0.59 ** | −0.52 ** | −0.53 ** | −0.55 ** | −0.52 ** | −0.51 ** | −0.53 ** | −0.46 ** | −0.49 ** | −0.50 ** | −0.44 ** | −0.46 ** | −0.53 ** | −0.34 ** |
| WB3 | −0.61 ** | −0.61 ** | −0.60 ** | −0.61 ** | −0.63 ** | −0.54 ** | −0.57 ** | −0.61 ** | −0.56 ** | −0.54 ** | −0.58 ** | −0.49 ** | −0.53 ** | −0.54 ** | −0.47 ** | −0.49 ** | −0.58 ** | −0.36 ** |
| WB4 | −0.65 ** | −0.65 ** | −0.64 ** | −0.64 ** | −0.66 ** | −0.58 ** | −0.60 ** | −0.64 ** | −0.59 ** | −0.57 ** | −0.61 ** | −0.52 ** | −0.56 ** | −0.58 ** | −0.50 ** | −0.52 ** | −0.60 ** | −0.39 ** |
| WB5 | −0.67 ** | −0.68 ** | −0.65 ** | −0.66 ** | −0.68 ** | −0.59 ** | −0.62 ** | −0.67 ** | −0.61 ** | −0.58 ** | −0.63 ** | −0.53 ** | −0.57 ** | −0.59 ** | −0.51 ** | −0.53 ** | −0.61 ** | −0.39 ** |
| WB6 | −0.68 ** | −0.69 ** | −0.66 ** | −0.68 ** | −0.70 ** | −0.60 ** | −0.66 ** | −0.71 ** | −0.64 ** | −0.61 ** | −0.66 ** | −0.55 ** | −0.59 ** | −0.62 ** | −0.53 ** | −0.56 ** | −0.64 ** | −0.41 ** |
| WB7 | −0.69 ** | −0.70 ** | −0.68 ** | −0.68 ** | −0.70 ** | −0.61 ** | −0.68 ** | −0.71 ** | −0.66 ** | −0.60 ** | −0.68 ** | −0.56 ** | −0.61 ** | −0.64 ** | −0.55 ** | −0.58 ** | −0.66 ** | −0.43 ** |
| WB8 | −0.71 ** | −0.72 ** | −0.70 ** | −0.69 ** | −0.71 ** | −0.62 ** | −0.69 ** | −0.73 ** | −0.68 ** | −0.62 ** | −0.70 ** | −0.58 ** | −0.63 ** | −0.66 ** | −0.56 ** | −0.60 ** | −0.68 ** | −0.44 ** |
| WB9 | −0.72 ** | −0.74 ** | −0.71 ** | −0.69 ** | −0.72 ** | −0.63 ** | −0.70 ** | −0.74 ** | −0.69 ** | −0.62 ** | −0.70 ** | −0.58 ** | −0.64 ** | −0.67 ** | −0.57 ** | −0.61 ** | −0.68 ** | −0.45 ** |
| WB10 | −0.72 ** | −0.75 ** | −0.72 ** | −0.69 ** | −0.73 ** | −0.63 ** | −0.71 ** | −0.75 ** | −0.70 ** | −0.63 ** | −0.72 ** | −0.60 ** | −0.66 ** | −0.68 ** | −0.58 ** | −0.62 ** | −0.69 ** | −0.46 ** |
References
- USS Working Group WRB. World Reference Base for Soil Resources 2014, Update 2015. International Soil classification system for Naming Soils and Creating Legends for Soil Maps. World Soil Resources Reports No. 106. FAO: Rome, Italy, 2015. Available online: https://https://publications.jrc.ec.europa.eu/repository/handle/JRC91947 (accessed on 12 November 2021).
- UN. 2010–2020: UN Decade for Deserts and the Fight Against Desertification 2019. [WWW Document]. Available online: https://www.un.org/en/events/desertification_decade/whynow.shtml (accessed on 16 September 2021).
- Tang, C.S.; Zhu, C.; Cheng, Q.; Zeng, H.; Xu, J.J.; Tian, B.G.; Shi, B. Desiccation cracking of soils: A review of investigation approaches, underlying mechanisms, and influencing factors. Earth-Sci. Rev. 2021, 216, 103586. [Google Scholar] [CrossRef]
- Wang, C.; Zhang, Z.Y.; Qi, W.; Fan, S.M. Morphological approach to quantifying soil cracks: Application to dynamic crack patterns during wetting-drying cycles. Soil Sci. Soc. Am. J. 2018, 82, 757–771. [Google Scholar] [CrossRef]
- Cheng, Q.; Tang, C.S.; Xu, D.; Zeng, H.; Shi, B. Water infiltration in a cracked soil considering effect of drying-wetting cycles. J. Hydrol. 2021, 593, 125640. [Google Scholar] [CrossRef]
- Mohanty, M.; Sinha, N.K.; Somasundaram, J.; McDermid, S.S.; Patra, A.K.; Singh, M.; Chaudhari, S.K. Soil carbon sequestration potential in a Vertisol in central India-results from a 43-year long-term experiment and APSIM modeling. Agric. Syst. 2020, 184, 102906. [Google Scholar] [CrossRef]
- Dupdal, R.; Naik, B.S.; Patil, S.L.; Ramesha, M.N. Water Harvesting-Farm Pond as Source of Income and Livelihood Security for Rainfed Farmers in Semi-Arid Vertisols of Karnataka: A Success Story. Biot. Res. Today 2021, 3, 938–940. [Google Scholar]
- Qi, W.; Zhang, Z.Y.; Wang, C. Desiccation and cracking behaviour of clay loam subjected to different irrigation methods during wetting–drying cycles. Eur. J. Soil Sci. 2021, 72, 793–809. [Google Scholar] [CrossRef]
- Guney, Y.; Sari, D.; Cetin, M.; Tuncan, M. Impact of cyclic wetting–drying on swelling behavior of lime-stabilized soil. Build. Environ. 2007, 42, 681–688. [Google Scholar] [CrossRef]
- Bordoloi, S.; Ni, J.; Ng, C.W.W. Soil desiccation cracking and its characterization in vegetated soil: A perspective review. Sci. Total Environ. 2020, 729, 138760. [Google Scholar] [CrossRef] [PubMed]
- Bullard, J.E.; Ockelford, A.; Strong, C.L.; Aubault, H. Impact of multi-day rainfall events on surface roughness and physical crusting of very fine soils. Geoderma 2018, 313, 181–192. [Google Scholar] [CrossRef] [Green Version]
- Xiong, D.; Yan, D.; Long, Y.; Lu, X.; Han, J.; Han, X.; Shi, L. Simulation of morphological development of soil cracks in Yuanmou Dry-hot Valley region, Southwest China. Chin. Geogr. Sci. 2010, 20, 112–122. [Google Scholar] [CrossRef]
- Teixeira, L.C.; Mariani, P.P.; Pedrollo, O.C.; dos Reis Castro, N.M.; Sari, V. Artificial Neural Network and Fuzzy Inference System Models for Forecasting Suspended Sediment and Turbidity in Basins at Different Scales. Water Resour. Manag. 2020, 34, 3709–3723. [Google Scholar] [CrossRef]
- Sari, V.; Dos Reis Castro, N.M.; Pedrollo, O.C. Estimate of suspended sediment concentration from monitored data of turbidity and water level using artificial neural networks. Water Resour. Manag. 2017, 31, 4909–4923. [Google Scholar] [CrossRef]
- Campos, D.A.; de Andrade, E.M. Tendência Sazonal de VariáVeis Climáticas em uma área do Domínio Fitogeográfico da Caatinga. Revista Agro@mbiente On-line, v. 15. 2021, pp. 1–10. Available online: file:///C:/Users/MDPI/AppData/Local/Temp/6833-26737-1-PB.pdf (accessed on 15 May 2021).
- Guerreiro, M.S.; Andrade, E.M.D.; Palácio, H.A.D.Q.; Brasil, J.B. Enhancing Ecosystem Services to Minimize Impact of Climate Variability in a Dry Tropical Forest with Vertisols. Hydrology 2021, 8, 46. [Google Scholar] [CrossRef]
- Soil Survey Staff. Keys to Soil Taxonomy, 11th ed.; Chapter 16; United States Department of Agriculture, Natural Resources Conservation Service, U.S. Government Printing Office: Washington, DC, USA, 2010; pp. 287–298.
- Bauer, T.; Strauss, P. A rule-based image analysis approach for calculating residues and vegetation cover under field conditions. Catena 2014, 113, 363–369. [Google Scholar] [CrossRef]
- Liu, C.; Tang, C.S.; Shi, B.; Suo, W.B. Automatic quantification of crack patterns by image processing. Comput. Geosci. 2013, 57, 77–80. [Google Scholar] [CrossRef]
- Stewart, R.D.; Najm, M.R.A. Field measurements of soil cracks. Soil Sci. Soc. Am. J. 2020 84, 1462–1476. [CrossRef]
- Hargreaves, G.H.; Samani, Z.A. Reference crop evapotranspiration from temperature. Appl. Eng. Agric. 1985, 1, 96–99. [Google Scholar] [CrossRef]
- De Lima, J.C.D.; Arraes, F.D.D.; Oliveira, J.B.D.; Nascimento, F.A.L.D.; Macêdo, K.G.D. Parametrização da equação de Hargreaves e Samani para estimativa da evapotranspiração de referência no Estado do Ceará, Brasil. Rev. Cienc. Agron. 2016, 47, 447–454. [Google Scholar] [CrossRef] [Green Version]
- Bisquerra, R.; Sarriera, J.C.; Martínez, F. Introdução à Estatística: Enfoque Informático Com o Pacote Estatístico SPSS; Artmed: Porto Alegre, Brazil, 2004; 254p. [Google Scholar]
- Rumelhart, D.E.; Hinton, G.E.; Williams, R.J. Learning representations by back-propagating errors. Nature 1986, 323, 533–536. [Google Scholar] [CrossRef]
- Nash, J.E.; Sutcliffe, J.V. River flow forecasting through conceptual models part I—A discussion of principles. J. Hydrol. 1970, 10, 282–290. [Google Scholar] [CrossRef]
- Moriasi, D.N.; Gitau, M.W.; Pai, N.; Daggupati, P. Hydrologic and water quality models: Performance measures and evaluation criteria. Trans. ASABE 2015, 58, 1763–1785. [Google Scholar] [CrossRef] [Green Version]
- Gupta, H.V.; Sorooshian, S.; Yapo, P.O. Status of automatic calibration for hydrologic models: Comparison with multilevel expert calibration. J. Hydrol. Eng. 1999, 4, 135–143. [Google Scholar] [CrossRef]
- Rayhani, M.H.T.; Yanful, E.K.; Fakher, A. Physical modeling of desiccation cracking in plastic soils. Eng. Geol. 2008, 97, 25–31. [Google Scholar] [CrossRef]
- Vogel, H.J.; Hoffmann, H.; Leopold, A.; Roth, K. Studies of crack dynamics in clay soil: II. A physically based model for crack formation. Geoderma 2005, 125, 213–223. [Google Scholar] [CrossRef]
- Dinka, T.M.; Morgan, C.L.; McInnes, K.J.; Kishné, A.S.; Harmel, R.D. Shrink–swell behavior of soil across a Vertisol catena. J. Hydrol. 2013, 476, 352–359. [Google Scholar] [CrossRef]
- Sadeghi, S.H.; Kheirfam, H.; Darki, B.Z. Controlling runoff generation and soil loss from field experimental plots through inoculating cyanobacteria. J. Hydrol. 2020, 585, 124814. [Google Scholar] [CrossRef]










| Soil Properties | Observed Plots | |||||
|---|---|---|---|---|---|---|
| P1 | P2 | P3 | P4 | P5 | P6 | |
| Grain size analysis | ||||||
| Sand (%) | 21 | 26 | 41 | 22 | 27 | 44 |
| Silt (%) | 43 | 46 | 33 | 41 | 41 | 36 |
| Clay (%) | 36 | 28 | 26 | 37 | 32 | 20 |
| Organic matter (%) | 0.8 | 1.5 | 1.3 | 1.4 | 1.9 | 2.2 |
| Base saturation (%) | 92 | 95 | 84 | 95 | 92 | 89 |
| pH | 6.6 | 7.1 | 6 | 6.8 | 6.6 | 6.7 |
| Specific gravity | 2.79 | 2.57 | 2.53 | 2.53 | 2.48 | 2.52 |
| Liquid limit (%) | 43 | 38 | 28 | 42 | 40 | 33 |
| Plastic limit (%) | 14 | 27 | 21 | 32 | 26 | 27 |
| Plasticity index | 30 | 12 | 7 | 10 | 14 | 7 |
| Textural Classification | Clay loam | Clay loam | Sandy clay loam | Clay loam | Clay loam | Sandy clay loam |
| Input Environmental Variables | Output Cracks’ Morphometric Characteristics Variables |
|---|---|
|
|
| Depth of Cracks | |||||
|---|---|---|---|---|---|
| Plot | Models | NS | PBIAS | ||
| Calibration | Validation | Calibration | Validation | ||
| P1 | Model I | 0.94 | 0.91 | 0.62 | 0.97 |
| Model II | 0.96 | 0.98 | 0.40 | 0.28 | |
| P2 | Model I | 0.70 | 0.77 | 1.29 | 0.88 |
| Model II | 0.92 | 1.86 | 0.34 | 0.51 | |
| P3 | Model I | 0.73 | 0.57 | 0.82 | 0.66 |
| Model II | 0.86 | 0.82 | 0.45 | 0.51 | |
| P4 | Model I | 0.88 | 0.88 | 0.68 | 0.79 |
| Model II | 0.93 | 0.94 | 0.40 | 0.4 | |
| P5 | Model I | 0.82 | 0.83 | 1.22 | 0.84 |
| Model II | 0.83 | 0.84 | 1.2 | 1.19 | |
| P6 | Model I | 0.65 | 0.55 | 0.56 | 0.66 |
| Model II | 0.75 | 0.76 | 0.80 | 0.77 | |
| Area of Cracks | |||||
| Plot | Models | NS | PBIAS | ||
| Calibration | Validation | Calibration | Validation | ||
| P1 | Model I | 0.80 | 0.79 | 2.36 | 2.42 |
| Model II | 0.83 | 0.82 | 2.03 | 2.07 | |
| P2 | Model I | 0.70 | 0.47 | 0.44 | 1.92 |
| Model II | 0.80 | 0.69 | 0.90 | 1.09 | |
| P3 | Model I | 0.68 | 0.52 | 1.01 | 1.30 |
| Model II | 0.84 | 0.82 | 0.49 | 0.50 | |
| P4 | Model I | 0.82 | 0.68 | 0.53 | 2.45 |
| Model II | 0.71 | 0.46 | 0.87 | 2.18 | |
| P5 | Model I | 0.95 | 0.83 | 0.35 | 1.29 |
| Model II | 0.95 | 0.83 | 0.35 | 1.26 | |
| P6 | Model I | 0.66 | 0.52 | 0.38 | 1.47 |
| Model II | 0.65 | 0.46 | 0.38 | 1.5 | |
| Volume of Cracks | |||||
| Plot | Models | NS | PBIAS | ||
| Calibration | Validation | Calibração | Validação | ||
| P1 | Model I | 0.82 | 0.86 | 0.44 | 0.88 |
| Model II | 0.8 | 0.64 | 0.47 | 0.28 | |
| P2 | Model I | 0.74 | 0.62 | 0.07 | 0.09 |
| Model II | 0.88 | 0.87 | 0.03 | 0.03 | |
| P3 | Model I | 0.63 | 0.69 | 0.07 | 0.05 |
| Model II | 0.80 | 0.82 | 0.04 | 0.03 | |
| P4 | Model I | 0.85 | 0.92 | 0.07 | 0.04 |
| Model II | 0.82 | 0.86 | 0.04 | 0.02 | |
| P5 | Model I | 0.81 | 0.84 | 0.1 | 0.06 |
| Model II | 0.86 | 0.94 | 0.16 | 0.06 | |
| P6 | Model I | 0,38 | 0.32 | 0.09 | 0.04 |
| Model II | 0.42 | 0.36 | 0.08 | 0.04 | |
Publisher’s Note: MDPI stays neutral with regard to jurisdictional claims in published maps and institutional affiliations. |
© 2022 by the authors. Licensee MDPI, Basel, Switzerland. This article is an open access article distributed under the terms and conditions of the Creative Commons Attribution (CC BY) license (https://creativecommons.org/licenses/by/4.0/).
Share and Cite
Ribeiro Filho, J.C.; de Andrade, E.M.; Guerreiro, M.S.; de Queiroz Palácio, H.A.; Brasil, J.B. Climate Data to Predict Geometry of Cracks in Expansive Soils in a Tropical Semiarid Region. Sustainability 2022, 14, 675. https://doi.org/10.3390/su14020675
Ribeiro Filho JC, de Andrade EM, Guerreiro MS, de Queiroz Palácio HA, Brasil JB. Climate Data to Predict Geometry of Cracks in Expansive Soils in a Tropical Semiarid Region. Sustainability. 2022; 14(2):675. https://doi.org/10.3390/su14020675
Chicago/Turabian StyleRibeiro Filho, Jacques Carvalho, Eunice Maia de Andrade, Maria Simas Guerreiro, Helba Araujo de Queiroz Palácio, and José Bandeira Brasil. 2022. "Climate Data to Predict Geometry of Cracks in Expansive Soils in a Tropical Semiarid Region" Sustainability 14, no. 2: 675. https://doi.org/10.3390/su14020675
APA StyleRibeiro Filho, J. C., de Andrade, E. M., Guerreiro, M. S., de Queiroz Palácio, H. A., & Brasil, J. B. (2022). Climate Data to Predict Geometry of Cracks in Expansive Soils in a Tropical Semiarid Region. Sustainability, 14(2), 675. https://doi.org/10.3390/su14020675

