Effects of Restoration Years on Vegetation and Soil Characteristics under Different Artificial Measures in Alpine Mining Areas, West China
Abstract
:1. Introduction
2. Location and Methods
2.1. Experimental Area
2.2. Experimental Design
2.2.1. Grass Monoculture
2.2.2. Sowing Quantity
2.2.3. Topsoil Replacement
2.3. Test Methods
2.3.1. Sampling Method
2.3.2. Determination Method
2.4. Data Processing
3. Results
3.1. Effects of Different Grass Species Restoration on Vegetation Characteristics
3.2. Effects of Sowing Quantity on Vegetation Characteristics
3.3. Effects of Different Soil Covering Treatments on Vegetation Characteristics
3.4. Effects of Different Grass Species on Chemical Properties
3.5. Effects of Sowing Quantities on Soil Physical Properties
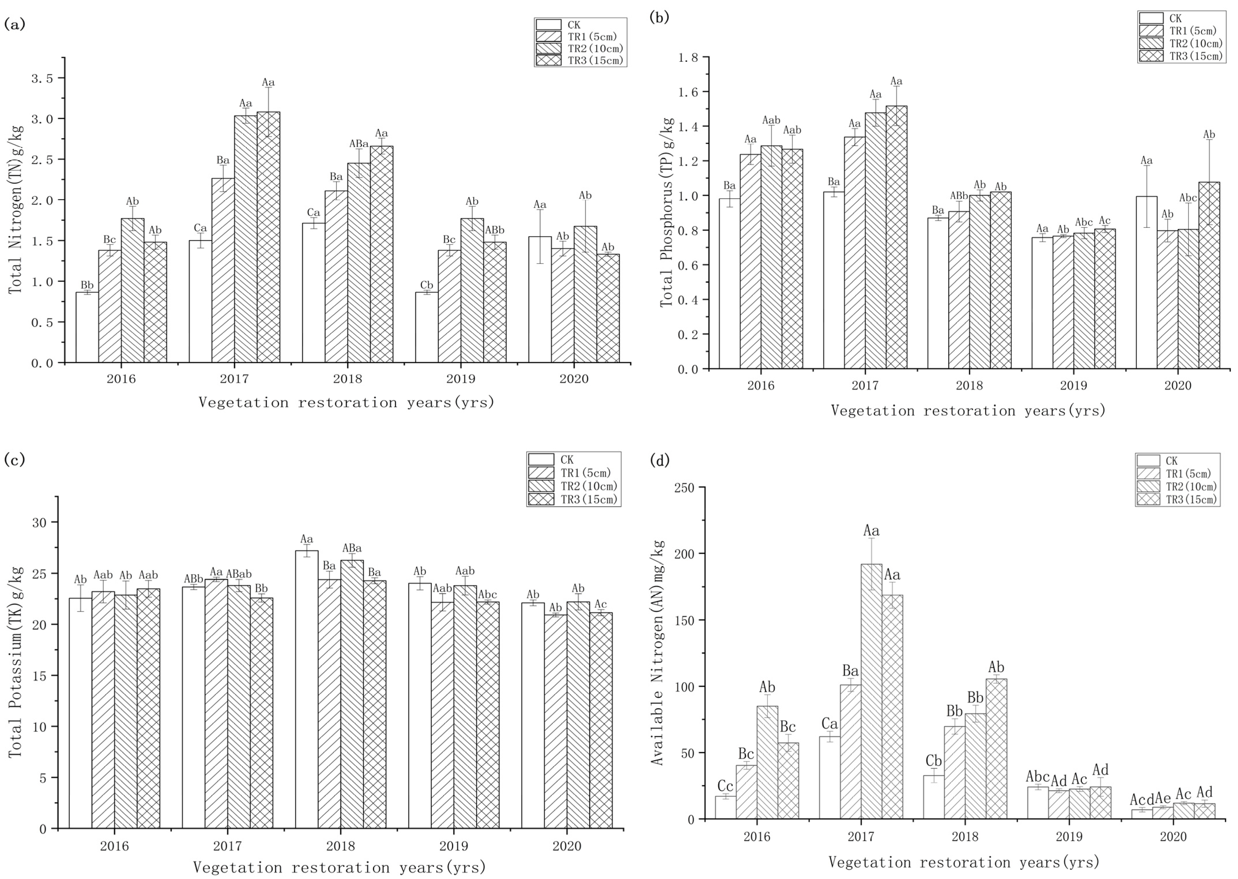
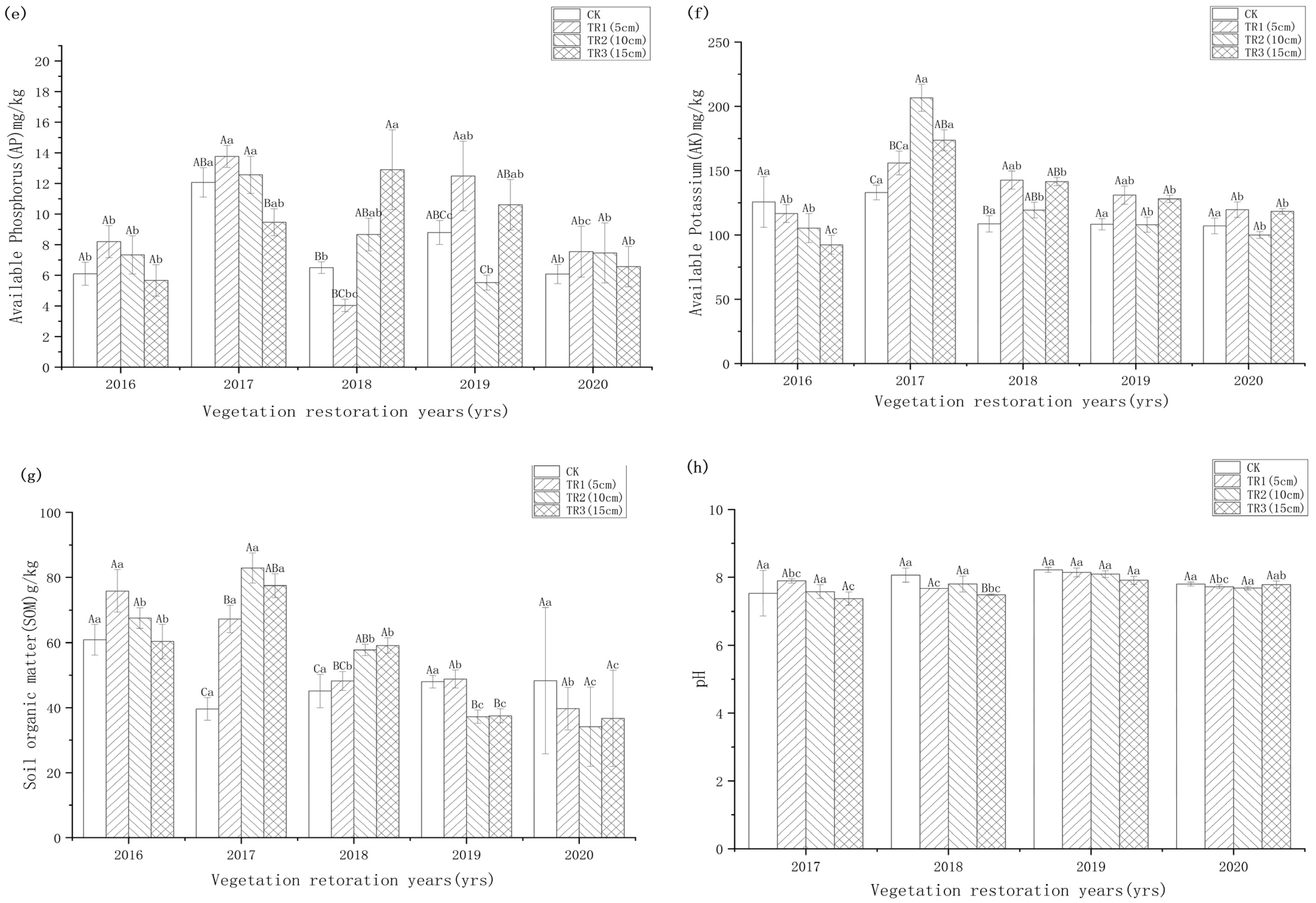
3.6. Effects of Soil Treatment on Soil Chemical Properties
4. Discussion
4.1. Effects of Restoration Measures on Vegetation Characteristics
4.2. Effects of Different Artificial Measures on Soil Properties
5. Conclusions
Author Contributions
Funding
Institutional Review Board Statement
Informed Consent Statement
Data Availability Statement
Acknowledgments
Conflicts of Interest
References
- Shi, X.; He, Y.; Han, C.; Zou, M.; Gu, B. Nutrient changes of artificial soil during ecological restoration of mines in Zhoushan Island. Soil Water Conserv. China 2013, 6, 29–31. [Google Scholar]
- Wang, H.; Jia, T.; Cao, M.; Chai, B. Characteristics of Soil Physicochemical Properties and Enzyme Activities over Different Reclaimed Years in a Copper Tailings Dam. Environ. Sci. 2018, 7, 3339–3348. [Google Scholar]
- Hu, Y.; Yu, Z.; Fang, X.; Zhang, W.; Liu, H. Influence of Mining and Vegetation Restoration on Soil Properties in the Eastern Margin of the Qinghai-Tibet Plateau. Int. J. Environ. Res. Public Health 2020, 17, 4288. [Google Scholar] [CrossRef]
- Yuan, M.; Ou, Y.; Zheng, S.; Tian, Y.; Sun, R.; Bao, R.; Li, T.; Yu, T. Research on Ecological Effect Assessment Method of Ecological Restoration of Open-Pit Coal Mines in Alpine Regions. Int. J. Environ. Res. Public Health 2022, 19, 7682. [Google Scholar] [CrossRef] [PubMed]
- Wang, S.; Cao, Y.; Pietrzykowski, M. Research on the influence of vegetation restoration in loess open-pit coal mines of China: Influencing factors and mechanism. Ecol. Eng. 2022, 177, 106549. [Google Scholar] [CrossRef]
- Carrick, P.; Kruger, R. Restoring degraded landscapes in lowland Namaqualand: Lessons from the mining experience and from regional ecological dynamics. J. Arid Environ. 2007, 4, 767–781. [Google Scholar] [CrossRef]
- Lin, M. Soil Water Conservation Features of Three Types of Artificial Vegetation Restoration in Abandoned Mining Area. Bull. Soil Water Conserv. 2015, 5, 296–308. [Google Scholar]
- Qian, D.; Yan, C.; Xing, Z. Monitoring coal mine changes and their impact on landscape patterns in an alpine region: A case study of the Muli coal mine in the Qinghai-Tibet Plateau. Environ. Monit. Assess. 2017, 11, 559. [Google Scholar] [CrossRef] [PubMed]
- Ahirwal, J.; Maiti, S.; Singh, A. Ecological restoration of coal mine-degraded lands in dry tropical climate: What has been done and what needs to be done? Environ. Qual. Manag. 2016, 26, 25–36. [Google Scholar] [CrossRef]
- Boruvka, L.; Kozák, J.; Mühlhanselová, M.; Donátová, H.; Nikodem, A.; Nemecek, K.; Drábek, O. Effect of covering with natural topsoil as a reclamation measure on brown-coal mining dumpsites. J. Geochem. Explor. 2012, 113, 118–123. [Google Scholar] [CrossRef]
- Gao, S.; He, R.; Jin, H.; Huang, Y.; Zhang, J.; Luo, D. Thermal recovery process of a backfilled open-pit in permafrost area at the Gulian strip coal mine in Northeast China. J. Mt. Sci. 2017, 11, 2212–2229. [Google Scholar] [CrossRef]
- Cao, W.; Sheng, Y.; Wu, J.; Li, J.; Li, J.; Chou, Y. Simulation analysis of the impact of excavation backfill on permafrost recovery in an opencast coal-mining pit. Environ. Earth Sci. 2016, 9, 837. [Google Scholar] [CrossRef]
- Liu, X.; Yan, J. Study on the influence of different soil cover thickness on Wheat Yield in coal mine reclaimed land-Taking Huainan coal grinding and stone filling cultivated land reclaimed land as an example. Energy Environ. Prot. 2013, 6, 8–11. [Google Scholar]
- Guo, Y.; Li, S.; Lu, Y. Research on Depth of the Covering Layer on Reclaimed Cultivated Land Backfilled with Coal Refuse in Subsidence Area. Mine Surv. 2008, 1, 59–62. [Google Scholar]
- Wang, J.; Yang, R.; Bai, Z. Succession law and model of soil quality in reclamation of open pit coal mine waste dump in grassland area. J. Agric. Eng. 2012, 14, 229–235. [Google Scholar]
- Helingerova, M.; Frouzb, J.; Santruckova, H. Microbial activity in reclaimed and unreclaimed post-mining sites near Sokolov (Czech Republic). Ecol. Eng. 2010, 36, 768–776. [Google Scholar] [CrossRef]
- Li, J.; Han, J.; Zhang, Y.; Li, X. Effects of Different Depth of Soil Thickness on Soil Physiochemical Properties and Winter Wheat Yield on Barren Gravel Land for Land Reclamation. J. Anhui Agric. Sci. 2013, 12, 5312–5314, 5341. [Google Scholar]
- Du, T.; Wang, D.; Bai, Y.; Zhang, Z. Optimizing the formulation of coal gangue planting substrate using wastes: The sustainability of coal mine ecological restoration. Ecol. Eng. 2020, 143, 105669. [Google Scholar] [CrossRef]
- Li, S.; Liber, K. Influence of different revegetation choices on plant community and soil development nine years after initial planting on a reclaimed coal gob pile in the Shanxi mining area, China. Sci. Total Environ. 2018, 618, 1314–1323. [Google Scholar] [CrossRef]
- Shi, Y.; Xie, Y.; Mi, J.; Zhao, Q.; Liu, H.; Wan, X. Screening and evaluation of suitable lawn grass species under walnut forest in Chengdu plain area. J. Gansu Agric. Univ. 2020, 6, 140–149, 159. [Google Scholar]
- Liu, J.; Zhang, X.; Jin, X.; Yang, X.; Yang, L. Effects of fertilization and seed coating on the growth of planted herbage in sandy land. J. Arid Land Resour. Environ. 2020, 34, 148–153. [Google Scholar]
- Garau, M.; Castaldi, P.; Diquattro, S.; Pinna, M.V.; Senette, C.; Roggero, P.P.; Garau, G. Combining grass and legume species with compost for assisted phytostabilization of contaminated soils. Environ. Technol. Innov. 2021, 22, 101387. [Google Scholar] [CrossRef]
- Chalupniková, J.; Kundu, J.; Singh, K. Wheat streak mosaic virus: Incidence in field crops, potential reservoir within grass species and uptake in winter wheat cultivars. J. Integr. Agric. 2017, 3, 523–531. [Google Scholar] [CrossRef]
- Elgersma, A.; Soegaard, K. Effects of species diversity on seasonal variation in herbage yield and nutritive value of seven binary grass-legume mixtures and pure grass under cutting. Eur. J. Agron. 2016, 78, 73–83. [Google Scholar] [CrossRef]
- Shah, F.; Coulter, J.; Ye, C. Yield penalty due to delayed sowing of winter wheat and the mitigatory role of increased seeding rate. Eur. J. Agron. 2020, 119, 126120. [Google Scholar] [CrossRef]
- Melash, A.; Mengistu, D.; Aberra, D. The influence of seeding rate and micronutrients foliar application on grain yield and quality traits and micronutrients of durum wheat. J. Cereal Ence 2018, 85, 221–227. [Google Scholar] [CrossRef]
- Snider, J.; Raper, R.; Schwab, E. The effect of row spacing and seeding rate on biomass production and plant stand characteristics of non-irrigated photoperiod-sensitive sorghum (Sorghum bicolor (L.) Moench). Ind. Crops Prod. 2012, 1, 527–535. [Google Scholar] [CrossRef]
- Finnan, J.; Hyland, L.; Burke, B. The effect of seeding rate on radiation interception, grain yield and grain quality of autumn sown oats. Eur. J. Agron. 2018, 101, 239–247. [Google Scholar] [CrossRef]
- Roy, R.; Wang, J.; Mostofa, M. Fine-tuning of soil water and nutrient fertilizer levels for the ecological restoration of coal-mined spoils using Elaeagnus angustifolia. J. Environ. Manag. 2020, 270, 110855. [Google Scholar] [CrossRef]
- Liu, X.; Zhou, W.; Bai, Z. Vegetation coverage change and stability in large open-pit coal mine dumps in China during 1990–2015. Ecol. Eng. 2016, 95, 447–451. [Google Scholar] [CrossRef]
- Huang, L.; Hu, Y.; Zhao, Y.; Zhang, P. Vegetation and soil restoration in refuse dumps from open pit coal mines. Ecol. Eng. J. Ecotechnology 2016, 94, 638–646. [Google Scholar]
- Yang, X.; Li, X.; Shi, M. The effects of replaced topsoil of different depths on the vegetation and soil properties of reclaimed coal mine spoils in an alpine mining area. Isr. J. Ecol. Evol. 2019, 65, 1–14. [Google Scholar] [CrossRef]
- Yang, X.; Li, X.; Jin, L. Changes in soil properties of coal mine spoils in an alpine coal mining area after short-term restoration. Acta Prataculturae Sin. 2018, 8, 30–38. [Google Scholar]
- Wang, R.; Li, X.; Zhang, J. Effect of artificial grass planting in Alpine mining areas on the surface matrix of waste dump. Acta Agrestia Sin. 2019, 4, 938–948. [Google Scholar]
- Sun, S.; Sun, H.; Zhang, D.; Zhang, J.; Cai, Z. Response of Soil Microbes to Vegetation Restoration in Coal Mining Subsidence Areas at Huaibei Coal Mine, China. Int. J. Environ. Res. Public Health 2019, 16, 1757. [Google Scholar] [CrossRef]
- Ye, Z.; Yang, Z.; Chan, G. Growth response of Sesbania rostrate and S. cannabina to sludge-amended lead/zine mine tailings:A greenhouse study. Environ. Int. 2001, 26, 449–455. [Google Scholar] [CrossRef]
- Hou, X.; Liu, S.; Cheng, F. Variability of environmental factors and the effects on vegetation diversity with different restoration years in a large open-pit phosphorite mine. Ecol. Eng. 2019, 127, 245–253. [Google Scholar] [CrossRef]
- Guo, Y.; Liu, X.; Tsolmon, B. The influence of transplanted trees on soil microbial diversity in coal mine subsidence areas in the Loess Plateau of China. Glob. Ecol. Conserv. 2019, 21, e00877. [Google Scholar] [CrossRef]
- Kullu, B.; Behera, N. Vegetational Succession on Different Age Series Sponge Iron Solid Waste Dumps with Respect to Top Soil Application. Res. J. Environ. Earth Sci. 2011, 1, 38–45. [Google Scholar]
- Li, Y.; Sun, Q.; Zhan, J. Soil-covered strategy for ecological restoration alters the bacterial community structure and predictive energy metabolic functions in mine tailings profiles. Appl. Microbiol. Biotechnol. 2017, 101, 2549–2561. [Google Scholar] [CrossRef]
- Yin, W.; Hu, Y.; Liu, Y. A study on soil biological properties of artificial grassland over different cultivation times in Bayanbulak. Acta Pprataculture Sin. 2010, 5, 218–226. [Google Scholar]
- Zhang, H.; Li, X.; Li, L.; Zhang, J. Effects of Species Combination on Community Diversity and Productivity of Alpine Artificial Grassland. Acta Agrestia Sin. 2020, 5, 1436–1443. [Google Scholar]
- Zhang, Y.; Wei, J.; Bai, X. Response of Fatty Acids in Leaves of Poa Pratensis L to Low Temperature in Autumn. Acta Agrestia Sin. 2018, 3, 718–726. [Google Scholar]
- Tao, L.; Chu, G.; Liu, T. Impacts of organic manure partial substitution for chemical fertilizer on cotton yield, soil microbial community and enzyme activities in mono-cropping system in drip irrigation condition. Acta Ecol. Sin. 2014, 21, 6137–6146. [Google Scholar]
- Jin, L.; Li, X.L.; Song, Z. Response of vegetation restoration to the surface substrates of piling mining residuals in Muli Coal Field of Qinghai. Pratacultural Sci. 2018, 12, 18–27. [Google Scholar]
- Liang, Y.; Gu, Y.; Xiang, Q. Effect of Row Spacing and Plant Acreage and basal Fertilizer on Tassel of Ryegrass and Couch Grass. Heilongjiang J. Anim. Sci. Vet. Med. 2001, 7, 17–18. [Google Scholar]
- Wang, Y.; Ma, Y.; Deng, B. Effect of row spacing and seeding rate on the forage and seed yield of Elymus tangutorum. Chin. Qighai J. Anim. Vet. Sci. 2015, 3, 7–9. [Google Scholar]
- Oyonarte, C.; Aranda, V.; Durante, P. Soil surface properties in Mediterranean mountain ecosystems: Effects of environmental factors and implications of management. For. Ecol. Manag. 2008, 2, 156–165. [Google Scholar] [CrossRef]
- Kang, B.; Liu, S.; Cai, D. Soil physical and chemical characteristics under different vegetation restoration patterns in China south subtropical area. Chin. J. Appl. Ecol. 2010, 10, 2479–2486. [Google Scholar]
- Wang, J.; Wang, H.; Cao, Y. Effects of soil and topographic factors on vegetation restoration in opencast coal mine dumps located in a loess area. Sci. Rep. 2016, 6, 22058. [Google Scholar] [CrossRef]
- Mostert, E.; Gaertner, M.; Holmes, P.M.; Rebelo, A.G.; Richardson, D.M. Impacts of invasive alien trees on threatened lowland vegetation types in the Cape Floristic Region, South Africa. South Afr. J. Bot. 2017, 108, 209–222. [Google Scholar] [CrossRef]
- Ngugi, M.; Neldner, V.; Doley, D. Soil moisture dynamics and restoration of self-sustaining native vegetation ecosystem on an open-cut coal mine. Restor. Ecol. 2015, 23, 615–624. [Google Scholar] [CrossRef]
- Hu, L.; Wang, C.; Wang, G. Changes in the activities of soil enzymes and microbial community structure at different degradation successional stages of alpine meadows in the headwater region of Three Rivers, China. Acta Prataculturae Sin. 2014, 3, 8–19. [Google Scholar]
- Li, Y.; Li, X.; Tang, J.; Jia, S. Studyon “Seven-step” Grass Planting Technology for Ecological Rehabilitation of Frigid Zone Muri Mining Area in Qinghai. Coal Geol. China 2021, 7, 57–60. [Google Scholar]
- Monzon, J.; Menza, N.; Cerrudo, A. Critical period for seed number determination in soybean as determined by crop growth rate, duration, and dry matter accumulation. Field Crops Res. 2021, 261, 108016. [Google Scholar] [CrossRef]
- Li, F.; Luo, R.; You, Y.; Hu, X.; Qian, X. Alternate freezing and thawing enhanced the sediment and nutrient run off loss in the restored soil of the alpine mining area. Special Issue on Disaster Risk Reduction in Mountain Areas. J. Mt. Sci. 2022, 6, 1823–1837. [Google Scholar] [CrossRef]
- Liu, S.; Li, M.; Zhang, J. Spatial Distribution and Seasonal Variation of Total Phosphorus in Soils of Yeyahu Wetland. Environ. Sci. Technol. 2012, 4, 4–8. [Google Scholar]
- Dao, R.; Zhang, Y.; Su, B.; Ma, L.; Tie, X. Diversity of soil bacteria in alpine coal slag mountain grassland in different vegetation restoration years. BMC Ann. Microbiol. 2022. preprint. [Google Scholar]










| Moisture | pH | Total N (g·kg−1) | Total P2O5 (g·kg−1) | Total K2O (g·kg−1) | Available N (mg·kg−1) | Available P (mg·kg−1) | Available K (mg·kg−1) | Organic Matter (g·kg−1) |
|---|---|---|---|---|---|---|---|---|
| 14.6% | 6.30 | 7.28 | 1.64 | 14.36 | 465.69 | 5.23 | 128.60 | 139.73 |
| Species | 2016 | 2017 | 2018 | 2019 | 2020 | |
|---|---|---|---|---|---|---|
| S1 | Height | 15.5 ± 0.7ACc | 35.0 ± 2.8Bb | 45.9 ± 4.9Aa | 42.3 ± 1.7Aab | 24.8 ± 3.4Ac |
| Coverage | 37.0 ± 3.1Ab | 60.0 ± 7.6ABa | 60.7 ± 4.9Aa | 53.7 ± 6.8Aab | 28.1 ± 1.9ABbc | |
| Density | 308.4 ± 17.8Ab | 81.8 ± 5.1Ba | 102.2 ± 10.6Aa | 204.5 ± 26.2Aab | 118.8 ± 17.0ABbc | |
| S2 | Height | 11.0 ± 0.8Bc | 46.4 ± 2.6Aa | 42.2 ± 3.1Aa | 19.9 ± 1.2Cb | 19.8 ± 1.9Ab |
| Coverage | 16.3 ± 1.2BCe | 75.0 ± 2.9Aa | 59.0 ± 4.6Ac | 40.7 ± 2.9Bb | 26.7 ± 1.7ABd | |
| Density | 148.4 ± 4.3Ca | 100.7 ± 2.3BCbc | 136.4 ± 20.8Aab | 119.2 ± 12.1BCabc | 84.9 ± 11.5BCc | |
| S3 | Height | 10.4 ± 0.3Bb | 27.4 ± 2.1Ca | 19 ± 7.2Cab | 24.1 ± 2.9BCa | 19.9 ± 2.0Aab |
| Coverage | 13.7 ± 0.9BCc | 60.0 ± 2.9ABa | 57.0 ± 4.5Aa | 51.3 ± 5.8ABa | 31.1 ± 2.4Ab | |
| Density | 225.7 ± 25.7Ba | 133.7 ± 12.4Bb | 124.4 ± 17.9Ab | 211.7 ± 25.9Aa | 178.1 ± 32.7Aab | |
| S4 | Height | 13.4 ± 2.7ABCc | 20.8 ± 2.0Cb | 31.2 ± 3.1Ba | 19.5 ± 0.9Cbc | 24.8 ± 2.3Aab |
| Coverage | 18.7 ± 3.7Bbc | 53.3 ± 6.0Ba | 39.7 ± 5.8Ba | 42.0 ± 1.5ABCa | 25.3 ± 4.5ABb | |
| Density | 244.1 ± 38.9ABa | 194.2 ± 30.5Aa | 63.3 ± 11.3Bb | 105.4 ± 13.0BCb | 72.1 ± 10.9BCb | |
| S5 | Height | 11.8 ± 0.6ABCc | 26.9 ± 2.3Ca | 28.6 ± 2.3Ba | 24.5 ± 1.4BCab | 19.2 ± 1.6Ab |
| Coverage | 14.0 ± 2.3BCb | 48.3 ± 7.3Ba | 53.4 ± 5.2ABa | 39.7 ± 2.0Ba | 21.0 ± 4.9ABb | |
| Density | 292.3 ± 12.4ABa | 190.6 ± 18Ab | 142.4 ± 6.3Ac | 219.9 ± 10.4Ab | 184.4 ± 12.7Ab | |
| S6 | Height | 10.9 ± 0.8Bd | 42.4 ± 3.1Aa | 32.7 ± 1.8Bb | 31.7 ± 5.0Bb | 21.3 ± 2.0Ac |
| Coverage | 6.8 ± 2.9Cd | 54.2 ± 3.6Ba | 35.0 ± 3.0BCb | 31.0 ± 2.6BCb | 18.0 ± 4.7Bc | |
| Density | 55.7 ± 7.2Cc | 89.6 ± 11.9Ba | 108.2 ± 14.5Aab | 68.6 ± 8.9Ca | 45.1 ± 8.4Cc | |
| S7 | Height | 15.6 ± 2.3Ab | 35.0 ± 1.7Ba | 43.5 ± 2.8Aa | 36.6 ± 4.4ACa | 19.3 ± 2.8Ab |
| Coverage | 32.3 ± 7.8Abc | 59.0 ± 3.5Ba | 47.7 ± 4.4ABCab | 43.3 ± 2.2ABb | 22.4 ± 1.7ABc | |
| Density | 245.3 ± 26.1ABa | 124.0 ± 11.9Bb | 99.8 ± 16.4ABb | 136.8 ± 12.9Bb | 110.1 ± 15.9Bb | |
| Sowing Quantity | 2016 | 2017 | 2018 | 2019 | 2020 | |
|---|---|---|---|---|---|---|
| SR1 | Height | 10.1 ± 0.9Bc | 21.9 ± 1.7ABa | 17.3 ± 0.2Ab | 16.8 ± 0.5Ab | 16.6 ± 2.6Ab |
| Coverage | 27 ± 4.9BCc | 66 ± 3Aa | 35.3 ± 2.4Ac | 51.7 ± 1.3Bb | 30.4 ± 4Ac | |
| Density | 17.7 ± 2.6Bc | 46.7 ± 6.4Aab | 49.5 ± 11.3Aa | 29.1 ± 1.7Bbc | 22.5 ± 3.1Bc | |
| SR2 | Height | 10.7 ± 1.0Bc | 22.1 ± 1.7ABa | 18.0 ± 2.9Aab | 18.1 ± 2.0Aab | 15.1 ± 1.9Abc |
| Coverage | 22 ± 2.5Cb | 72.7 ± 2.0Aa | 40.3 ± 5.0Ab | 59 ± 2.6ABa | 32.1 ± 11.5Ab | |
| Density | 18.0 ± 2.2Bbc | 33.3 ± 4.1Aac | 37.6 ± 6.8Aa | 29 ± 1.3Babc | 23.3 ± 2.1Bc | |
| SR3 | Height | 16.9 ± 1.1Ab | 23.9 ± 1.1Aa | 16.7 ± 2.3Aa | 16.7 ± 1.9Aa | 14.5 ± 1.3Ab |
| Coverage | 39.3 ± 3.0Bb | 71.3 ± 0.3Aa | 40 ± 5.5Ab | 65 ± 2.6Aa | 19.6 ± 3.6Ac | |
| Density | 22.0 ± 2.9Bb | 33.5 ± 5.6Aab | 43.7 ± 8.3Aa | 30.0 ± 2.3Bab | 23.7 ± 1.7Bb | |
| SR4 | Height | 11.8 ± 0.9Bc | 19.0 ± 1.9Ba | 16.3 ± 1.0Aab | 16.3 ± 0.7Aab | 15.3 ± 0.7Abc |
| Coverage | 40 ± 6.4Bb | 71.7 ± 1.67Aa | 34.7 ± 2.9Ab | 60.7 ± 1.5Aa | 29.4 ± 7.8Ab | |
| Density | 24.6 ± 1.4Bbcd | 40.1 ± 6.6Aabc | 45.0 ± 6.0Aa | 31.3 ± 0.9ABb | 28.2 ± 2.9ABb | |
| SR5 | Height | 18.01 ± 2.9Aab | 19.7 ± 1.2ABa | 18.3 ± 0.5Aa | 18.4 ± 0.5Aa | 13.5 ± 0.1Ab |
| Coverage | 62.7 ± 3.5Aa | 67.7 ± 1.2Aa | 29.3 ± 1.3Ab | 62.7 ± 3.2Aa | 28.6 ± 4.9Ab | |
| Density | 34.3 ± 4.5Aa | 35 ± 1.9Aa | 68.2 ± 29.2Aa | 36.0 ± 6.2Aa | 31.5 ± 2.1Aa | |
| Thickness | 2016 | 2017 | 2018 | 2019 | 2020 | |
|---|---|---|---|---|---|---|
| TR1 | Height | 13.4 ± 0.5Ad | 27.6 ± 1.3Aa | 18.1 ± 0.4Ac | 22.1 ± 0.6Bb | 13.9 ± 0.5Ad |
| Coverage | 50 ± 4.0Bc | 80.3 ± 0.9Ba | 62.7 ± 2.3Bb | 55.7 ± 1.2Bb | 67.6 ± 5Ab | |
| Density | 40.8 ± 3.2ABa | 20.3 ± 0.9Abc | 28.4 ± 5.3ABb | 32.9 ± 4.1Bab | 34.7 ± 0.5Bab | |
| TR2 | Height | 16.1 ± 1.7Ab | 26.6 ± 0.5Aa | 24.5 ± 3.1Aa | 24.8 ± 1.3Aa | 15.1 ± 0.7Ab |
| Coverage | 62.3 ± 2.4Ab | 81 ± 1Ba | 69 ± 0.6Aab | 63.3 ± 1.2Ab | 61.4 ± 8.4Ab | |
| Density | 39.1 ± 2.2ABa | 27.2 ± 7.2Ab | 31.6 ± 2.6ABab | 31.2 ± 0.1BCab | 30.7 ± 0.3Cab | |
| TR3 | Height | 13.5 ± 1.5Ab | 23.8 ± 1.5Ab | 24.2 ± 1.6Aa | 23.2 ± 0.3ABa | 15.0 ± 1.4Ab |
| Coverage | 59.7 ± 3.8Abc | 87.7 ± 0.9Aa | 76.3 ± 2.0Aac | 67.7 ± 1.2Ac | 52.4 ± 10.7Abc | |
| Density | 42.5 ± 0.9Aa | 27.5 ± 10.8Aa | 37.5 ± 6.2Aa | 43.1 ± 3.1Aa | 42.1 ± 0.4Aa | |
| CK | Height | 14.0 ± 2.1Ab | 24.6 ± 2.7Aa | 26.8 ± 1.2Aa | 22.3 ± 0.5Ba | 12.7 ± 0.9Ab |
| Coverage | 46 ± 2.1Bbc | 75.3 ± 0.7Ca | 58 ± 4.04Bb | 47 ± 2.5Cbc | 44.4 ± 7.9Ac | |
| Density | 33.7 ± 3.2Ba | 24.9 ± 2.6Ab | 21.9 ± 1.4Bb | 24.1 ± 0.9Cb | 22.5 ± 0.5Db | |
Publisher’s Note: MDPI stays neutral with regard to jurisdictional claims in published maps and institutional affiliations. |
© 2022 by the authors. Licensee MDPI, Basel, Switzerland. This article is an open access article distributed under the terms and conditions of the Creative Commons Attribution (CC BY) license (https://creativecommons.org/licenses/by/4.0/).
Share and Cite
Jin, L.; Li, X.; Sun, H.; Wang, J.; Zhang, J.; Zhang, Y. Effects of Restoration Years on Vegetation and Soil Characteristics under Different Artificial Measures in Alpine Mining Areas, West China. Sustainability 2022, 14, 10889. https://doi.org/10.3390/su141710889
Jin L, Li X, Sun H, Wang J, Zhang J, Zhang Y. Effects of Restoration Years on Vegetation and Soil Characteristics under Different Artificial Measures in Alpine Mining Areas, West China. Sustainability. 2022; 14(17):10889. https://doi.org/10.3390/su141710889
Chicago/Turabian StyleJin, Liqun, Xilai Li, Huafang Sun, Junteng Wang, Jing Zhang, and Yufang Zhang. 2022. "Effects of Restoration Years on Vegetation and Soil Characteristics under Different Artificial Measures in Alpine Mining Areas, West China" Sustainability 14, no. 17: 10889. https://doi.org/10.3390/su141710889
APA StyleJin, L., Li, X., Sun, H., Wang, J., Zhang, J., & Zhang, Y. (2022). Effects of Restoration Years on Vegetation and Soil Characteristics under Different Artificial Measures in Alpine Mining Areas, West China. Sustainability, 14(17), 10889. https://doi.org/10.3390/su141710889
