Mechanical Responses of Soil-Geosynthetic Composite (SGC) Mass under Failure Load
Abstract
:1. Introduction
2. Materials and Methods
3. Results
3.1. Influence of Reinforcement Vertical Spacing
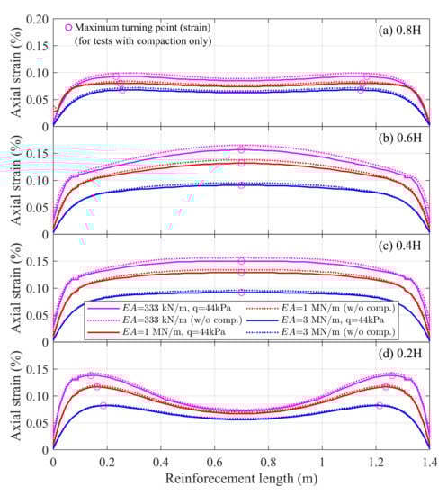
3.2. Influence of Reinforcement Axial Stiffness
3.3. Influence of Secant Modulus
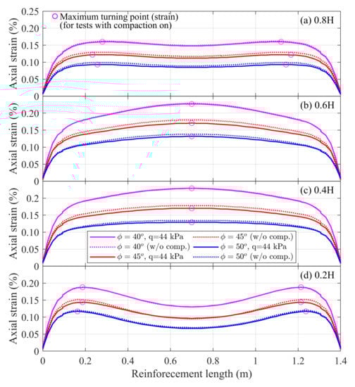
3.4. Influence of Angle of Internal Friction
4. Discussion
4.1. Influence of Reinforcement Stiffness and Spacing on Lateral Displacement
4.2. Influence of Reinforcement Strength and Spacing on Load-Carrying Capacity
4.3. Failure Surface of SGC Mass
5. Conclusions
- In general, the variation of the reinforcement spacing, reinforcement stiffness, soil modulus, and angle of friction of the backfill had negligible effect on the level of the reinforcement’s maximum axial strain, which corresponded to the possible rupture or failure surface of the composite mass.
- The study showed that the influence of the reinforcement stiffness on the load-carrying capacity of the composite mass was more apparent when was between 333 kN/m and 1000 kN/m than between 1000 kN/m and 3000 kN/m. The result suggested that for a consistent performance, the geotextile reinforcement to be adopted should have an axial stiffness of at least 1000 kN/m.
- Wu–Pham’s equation performed well in estimating the load-carrying capacity of the composite mass with reinforcement strengths of 23.3 kN/m and 70 kN/m, a range of internal friction angles of 40, and a range of reinforcement spacings of .
- Based on the result of the same reinforcement strength and reinforcement spacing ratio (Table 2), the reinforcement spacing was found to have a more profound effect than the reinforcement strength on the load-carrying capacity of the composite mass. This behavior was mainly attributed to the composite behavior created by the interface friction between the closely spaced geosynthetic-reinforcement layers and the backfill, in which a closer spacing resulted in an increased lateral confinement and hence, increasing the stiffness and load-carrying capacity of the SGC mass. A reasonable combination of was recommended, which is between (0.1 m, 70 kN/m) and (0.4 m, 280 kN/m), for which the load-carrying capacity reduced linearly between 5600 kPa and 2500 kPa, respectively.
- The failure surface of the composite soil mass beneath the concrete pad was found to be different from that observed in the GRS–IBS system, and that of the unreinforced soil; using the Rankine active wedge theory and the Mohr–Coulomb failure criterion, the backcalculated angle of friction of the SGC mass was found to be about 15% to 25% less than that of unreinforced soil. Thus, the failure mode of the GRS composite was different from that of the unreinforced soil and did not follow the Rankine—Mohr–Coulomb failure mode.
Author Contributions
Funding
Institutional Review Board Statement
Informed Consent Statement
Data Availability Statement
Conflicts of Interest
Abbreviations
| GRS | Geosynthetic-reinforced soil |
| IBS | Integrated bridge system |
| PP | Polypropylene |
| SGC | Soil-geosynthetic composite |
| GRS–IBS | Geosynthetic-reinforced soil–integrated bridge system |
References
- Elton, D.J.; Patawaran, M.A.B. Mechanically Stabilized earth reinforcement tensile strength from tests of geotextile-teinforced soil. Transp. Res. Rec. 2004, 1868, 81–88. [Google Scholar] [CrossRef] [Green Version]
- Adams, M.T.; Ketchart, K.; Wu, J.T.H. Mini pier experiments: Geosynthetic reinforcement spacing and strength as related to performance. In Proceedings of the Geo-Denver 2007: Geosynthetics in Reinforcement and Hydraulic Applications (Geotechnical Special Publication 165); Gabr, M.A., Bowders, J.J., Eds.; ASCE Geo-Institute: Reston, VA, USA, 2007. [Google Scholar] [CrossRef]
- Pham, T.Q. Investigating Composite Behavior of Geosynthetic-reinforced soil (GRS) mass. Ph.D. Thesis, University of Colorado, Denver, CO, USA, 2009; p. 378.
- Wu, J.T.H.; Pham, T.Q. An Analytical model for evaluation of compaction-induced stresses in a reinforced soil mass. Int. J. Geotech. Eng. 2010, 4, 549–556. [Google Scholar] [CrossRef]
- Wu, J.T.H.; Yang, K.H.; Mohamed, S.; Pham, T.Q.; Chen, R.H. Suppression of soil dilation—A reinforcing mechanism of soil-geosynthetic composites. Transp. Infrastruct. Geotechnol. 2014, 1, 68–82. [Google Scholar] [CrossRef]
- Wu, J.T.H.; Tung, C.; Adams, M.T.; Nicks, J.E. Analysis of stress-deformation behavior of soil-geosynthetic composites in plane strain condition. Transp. Infrastruct. Geotechnol. 2018, 5, 210–230. [Google Scholar] [CrossRef]
- Yang, K.H.; Wu, J.T.H.; Chen, R.H.; Chen, Y.S. Lateral bearing capacity and failure mode of geosynthetic-reinforced soil barriers subject to lateral loadings. Geotext. Geomembr. 2016, 44, 799–812. [Google Scholar] [CrossRef]
- Gui, M.W.; Phan, T.T.; Pham, Q.T. Impacts of compaction load and pocedure on stress-deformation behaviors of a soil-geosynthetic composite (SGC) mass—A case study. Appl. Sci. 2020, 10, 6339. [Google Scholar] [CrossRef]
- Phan, T.T.T.; Gui, M.W.; Pham, Q.T. Numerical Simulation of Compaction Load on Stress Deformation Behavior of Soil-Geosynthetic Composite Mass Advances in Transportation Geotechnics IV (LNCE 165). In Advances in Transportation Geotechnics IV: Proceedings of the 4th International Conference on Transportation Geotechnics; Tutumluer, E., Nazarian, S., Al-Qadi, I., Qamhia, I.I.A., Eds.; Springer: Berlin/Heidelberg, Germany, 2021; Volume 2, pp. 945–956. [Google Scholar] [CrossRef]
- Abu-Farsakha, M.; Ardah, A.I.S.; Voyiadjis, G.Z. Numerical parametric study to evaluate the performance of a geosynthetic-reinforced soil–integrated bridge system (GRS-IBS) under service loading. Transp. Geotech. 2019, 20, 100238. [Google Scholar] [CrossRef]
- Ardah, A.; Abu-Farsakh, M.; Voyiadjis, G. Numerical evaluation of the performance of a geosynthetic-reinforced soil-integrated bridge system (GRS-IBS) under different loading conditions. Geotext. Geomembr. 2017, 45, 558–569. [Google Scholar] [CrossRef]
- Zheng, Y.W.; Fox, P.J. Numerical investigation of geosynthetic-reinforced soil bridge abutments under static loading. J. Geotech. Geoenviron. Eng. 2016, 142, 04016004. [Google Scholar] [CrossRef]
- Zheng, Y.W.; Fox, P.J. Numerical investigation of the geosynthetic-reinforced soil–integrated bridge system under static loading. J. Geotech. Geoenviron. Eng. 2017, 143, 04017008. [Google Scholar] [CrossRef]
- Zheng, Y.W.; Fox, P.J.; McCartney, J.S. Numerical simulation of deformation and failure behavior of geosynthetic-reinforced soil bridge abutments. J. Geotech. Geoenviron. Eng. 2018, 144, 04018037. [Google Scholar] [CrossRef] [Green Version]
- Zheng, Y.W.; Fox, P.J.; McCartney, J.S. Numerical study on maximum reinforcement tensile forces in geosynthetic-reinforced soil bridge abutments. Geotext. Geomembr. 2018, 46, 634–645. [Google Scholar] [CrossRef] [Green Version]
- Broms, B. Lateral Pressure Due to Compaction of Cohesionless Soils. In Proceedings of the 4th Budapest Conference on Soil Mechanics and Foundation Engineering: 3rd Danube-European Conference, Budapest, Hungary, 12–15 October 1971; pp. 373–384. [Google Scholar]
- Aggour, M.S.; Brown, C.B. The Prediction of earth pressure on retaining walls due to compaction. Géotechnique 1974, 24, 489–502. [Google Scholar] [CrossRef]
- Seed, R. Compaction-Induced Stresses and Deflections on Earth Structure. Ph.D. Dissertation, Department of Civil Engineering, University of California, Berkeley, CA, USA, 1983; 447p. [Google Scholar]
- Duncan, J.M.; Seed, R.B. Compaction-induced earth pressures under K0-conditions. J. Geotech. Eng. ASCE 1986, 112, 1–22. [Google Scholar] [CrossRef]
- Seed, R.; Duncan, J. FE Analyses: Compaction-induced stresses and deformations. J. Geotech. Eng. ASCE 1986, 112, 23–43. [Google Scholar] [CrossRef]
- Hatami, K.; Bathurst, R.J. Development and verification of a numerical model for the analysis of geosynthetic-reinforced soil segmental walls under working stress conditions. Can. Geotech. J. 2005, 42, 1066–1085. [Google Scholar] [CrossRef]
- Hatami, K.; Bathurst, R.J. Numerical model for reinforced soil segmental walls under surcharge loading. J. Geotech. Geoenviron. Eng. 2006, 132, 673–684. [Google Scholar] [CrossRef]
- Bathurst, R.J.; Nernheim, A.; Walters, D.L.; Allen, T.M.; Burgess, P.; Saunders, D.D. Influence of reinforcement stiffness and compaction on the performance of four geosynthetic-reinforced soil walls. Geosynth. Int. 2009, 16, 43–59. [Google Scholar] [CrossRef]
- Yu, Y.; Bathurst, R.J.; Allen, T.M. Numerical modelling of two full-scale reinforced soil wrapped-face walls. Geotext. Geomembr. 2017, 45, 237–249. [Google Scholar] [CrossRef]
- Mirmoradi, S.H.; Ehrlich, M. Modeling of the Compaction-induced stresses in numerical analyses of GRS walls. Int. J. Comput. Methods Spec. Issue Comput. Geomech. 2014, 11, 1342002. [Google Scholar] [CrossRef]
- Mirmoradi, S.H.; Ehrlich, M. Modeling of the compaction-induced stress on reinforced soil walls. Geotext. Geomembr. 2015, 43, 82–88. [Google Scholar] [CrossRef]
- Mirmoradi, S.H.; Ehrlich, M. Numerical simulation of compaction-induced stress for the analysis of RS walls under working conditions. Geotext. Geomembr. 2018, 46, 354–365. [Google Scholar] [CrossRef]
- Esen, A.F.; Woodward, P.K.; Laghrouche, O.; Connolly, D.P. Stress distribution in reinforced railway structures. Transp. Geotech. 2022, 32, 100699. [Google Scholar] [CrossRef]
- Raja, M.N.A. and Shukla, S.K. Ultimate bearing capacity of strip footing resting on soil bed strengthened by wraparound geosynthetic reinforcement technique. Geotext. Geomembr. 2020, 48, 864–874. [Google Scholar] [CrossRef]
- Wu, J.T.H.; Pham, T.Q. Load-carrying capacity and required reinforcement strength of closely spaced soil-geosynthetic composites. J. Geotech. Geoenviron. Eng. 2013, 139, 1468–1476. [Google Scholar] [CrossRef]
- Hoffman, P.F.; Pham, T.Q.; Wu, J.T.H. Discussion: Xu, C., Liang, C., and Chen, P. “Experimental and theoretical studies on the ultimate bearing capacity of geogrid-reinforced sand. Geotextiles and Geomembranes. 2019, 47(3), 417–428”. Geotext. Geomembr. 2019, 47, 692–694. [Google Scholar] [CrossRef]
- Nicks, J.E.; Adams, M.T.; Ooi, P.S.K. Geosynthetic-Reinforced Soil Performance Testing: Axial Load Deformation Relationships; Report No. FHWA-HRT-13-066; Federal Highway Administration: McLean, VA, USA, 2013; p. 169. Available online: https://www.fhwa.dot.gov/publications/research/infrastructure/structures/13066/index.cfm (accessed on 2 February 2022).
- Rowe, R.K.; Ho, S.K. Some insights into reinforced wall behavior on finite element analysis. In Earth Reinforcement Practice; Ochiai, H., Ed.; A.A. Balkema: Rotterdam, The Netherlands, 1993; pp. 485–490. [Google Scholar]
- Rowe, R.K.; Ho, S.K. Horizontal deformation in reinforced soil walls. Can. Geotech. J. 1998, 35, 312–327. [Google Scholar] [CrossRef]
- Ho, S.K.; Rowe, R.K. Effect of wall geometry on the behavior of reinforced soil walls. Geotext. Geomembr. 1997, 14, 521–541. [Google Scholar] [CrossRef]
- American Association of State Highway and Transportation Officials (AASHTO). Standard Specifications for Highway Bridges, 17th ed.; American Association of State Highway and Transportation Officials: Washington, DC, USA, 2002; p. 1051. [Google Scholar]
- ASTM D4595-17; Standard Test Method for Tensile Properties of Geotextiles by the Wide-Width Strip Method. ASTM International: West Conshohocken, PA, USA, 2017. [CrossRef]
- Wikipedia Contributors. Plane Stress; Wikipedia, The Free Encyclopedia. Available online: https://en.wikipedia.org/w/index.php?title=Plane_stress&oldid=1046695456 (accessed on 4 January 2022).
- Plaxis 2D—Version 8: Reference Manual; Delft University of Technology: Delft, The Netherlands, 2002; Available online: https://www.plaxis.com/support/manuals/plaxis-2d-manuals/ (accessed on 30 June 2021).
- Schanz, T.; Vermeer, P.A.; Bonnier, P.G. The hardening soil model: Formulation and verification. In Beyond 2000 in Computational Geotechnics; Ronald, B., Brinkgreve, J., Eds.; Taylor & Francis Group: London, UK, 1999; pp. 281–296. [Google Scholar]
- Elias, V.; Christopher, B.R.; Berg, R.R. Mechanically Stabilized Earth Walls and Reinforced Soil Slopes Design and Construction Guidelines; National Highway Institute Course No. 132042, FHWA NHI-00-043, Federal Highway Administration: Washington, DC, USA, 2001; Available online: http://www.coripa.com.ar/view/uploads/articles/article_file-332.PDF (accessed on 2 February 2022).
- Wu, J.T.H.; Lee, K.Z.Z.; Pham, T. Allowable bearing pressures of bridge sills on GRS abutments with flexible facing. Geotech. Geoenviron. Eng. 2006, 132, 830–841. [Google Scholar] [CrossRef]
- Leshchinsky, B. Limit analysis optimization of design factors for mechanically stabilized earth wall-supported footings. Transp. Infrastruct. Geotechnol. 2014, 1, 111–128. [Google Scholar] [CrossRef] [Green Version]
- Xu, C.; Liang, C.; Shen, P.P. Experimental and theoretical studies on the load-carrying capacity of geogrid-reinforced sand. Geotext. Geomembr. 2019, 47, 417–428. [Google Scholar] [CrossRef]
- Schanz, T.; Vermeer, P.A. On the Stiffness of Sands. In Géotechnique Symposium in Print: Pre-Failure Deformation Behaiour of Geometricals; Jardine, R.J., Davies, M.C.R., Hight, D.W., Smith, A.K.C., Stallebrass, S.E., Eds.; Thomas Telford Publishing: London, UK, 1998; pp. 383–387. Available online: https://www.icevirtuallibrary.com/doi/abs/10.1680/pdbog.26421.0027 (accessed on 20 February 2022).
- Hoffman, P.; Pham, T. The search for internal stability in reinforced soil. Transp. Infrastruct. Geotechnol. 2020, 7, 378–389. [Google Scholar] [CrossRef]
- Gui, M.W. Centrifuge and Numerical Modelling of Pile and Penetrometer in Sand. Ph.D. Thesis, University of Cambridge, Cambridge, UK, 1995. [Google Scholar]
- Wu, P.K.; Matsushima, K.; Tatsuoka, F. Effects of specimen size and some other factors on the strength and deformation of granular soil in direct shear tests. Geotechnical. Test. J. 2008, 31, GTJ100773. [Google Scholar] [CrossRef]
- Wu, J.T.H.; Pham, T.Q.; Adams, M.T. Composite Behavior of Geosynthetic-Reinforced Soil (GRS) Mass; Report No. FHWA-HRT-10-077; Federal Highway Administration: McLean, VA, USA, 2013; p. 211. Available online: https://www.fhwa.dot.gov/publications/research/infrastructure/10077/index.cfm (accessed on 2 February 2022).














| Materials Properties | Test No.1 | Test No. 2 | Test No. 3 |
|---|---|---|---|
| Soila | |||
| Model | Hardening Soil | Hardening Soil | Hardening Soil |
| Unit weight (kN/m) | 25 | 25 | 25 |
| Dilation angle | 19 | 19 | 19 |
| Peak internal friction angle, | 50 | 50 | 50 |
| Apparent cohesion (kPa) | 70 | 70 | 70 |
| Maximum particle size (mm) | 33 | 33 | 33 |
| Secant modulus (kPa) | 62,374 | 62,374 | 62,374 |
| Unloading modulus (kPa) | 187,122 | 187,122 | 187,122 |
| Stress dependence exponent m | 0.5 | 0.5 | 0.5 |
| Poisson’s ratio | 0.2 | 0.2 | 0.2 |
| (kPa) | 100 | 100 | 100 |
| Reinforcement | Single-sheet | Double-sheet | Single-sheet |
| Geotex 4 × 4 | Geotex 4 × 4 | Geotex 4 × 4 | |
| Model | Elastic–perfectly plastic | Elastic–perfectly plastic | Elastic–perfectly plastic |
| Elastic axial stiffness at 1% strain (kN/m) | 1000 | 2000 | 1000 |
| Tensile strength (kN/m) | 70 | 140 | 70 |
| Reinforcement spacing (m) | 0.2 | 0.4 | 0.4 |
| Modular Block | |||
| Model | Linear elastic | Linear elastic | Linear elastic |
| Unit weight (kN/m) | 12.5 | 12.5 | 12.5 |
| Poisson’s ratio | 0 | 0 | 0 |
| Stiffness modulus (kPa) | 3 | 3 | 3 |
| Block–Block Interfaceb | |||
| Model | Mohr–Coulomb | Mohr–Coulomb | Mohr–Coulomb |
| Poisson’s ratio | 0.45 | 0.45 | 0.45 |
| Friction angle | 33 | 33 | 33 |
| Apparent cohesion (kPa) | 2 | 2 | 2 |
| Stiffness modulus (kPa) | 3 | 3 | 3 |
| Soil–Block Interfaceb | |||
| Model | Mohr–Coulomb | Mohr–Coulomb | Mohr–Coulomb |
| Poisson’s ratio | 0.45 | 0.45 | 0.45 |
| Friction angle | 33.33 | 33.33 | 33.33 |
| Apparent cohesion (kPa) | 46.67 | 46.67 | 46.67 |
| Stiffness modulus (kPa) | 74,830 | 74,830 | 74,830 |
| Soil–Reinforcement Interface | |||
| Model | Mohr–Coulomb | Mohr–Coulomb | Mohr–Coulomb |
| Poisson’s ratio | 0.45 | 0.45 | 0.45 |
| Friction angle | 43.63 | 43.63 | 43.63 |
| Apparent cohesion (kPa) | 56 | 56 | 56 |
| Stiffness modulus (kPa) | 106,685 | 106,685 | 106,685 |
| Geometrical Configuration | |||
| Wall height H (m) | 2 | 2 | 2 |
| Wall aspect ratio L/H | 0.7 | 0.7 | 0.7 |
| Numerical Result | Equation (5) | Difference between Proposed Equation (5) and Numerical Result | |||
|---|---|---|---|---|---|
| (m) | (kN/m) | (kPa) | (kPa) | (%) | |
| 0.1 | 35 | 350 | 3181 | 3372 | 6.00 |
| 0.2 | 70 | 350 | 2957 | 2384 | −19.38 |
| 0.3 | 105 | 350 | 1787 | 1947 | 8.95 |
| 0.4 | 140 | 350 | 1656 | 1686 | 1.81 |
Publisher’s Note: MDPI stays neutral with regard to jurisdictional claims in published maps and institutional affiliations. |
© 2022 by the authors. Licensee MDPI, Basel, Switzerland. This article is an open access article distributed under the terms and conditions of the Creative Commons Attribution (CC BY) license (https://creativecommons.org/licenses/by/4.0/).
Share and Cite
Gui, M.-W.; Phan, T.T.T.; Pham, T. Mechanical Responses of Soil-Geosynthetic Composite (SGC) Mass under Failure Load. Sustainability 2022, 14, 9629. https://doi.org/10.3390/su14159629
Gui M-W, Phan TTT, Pham T. Mechanical Responses of Soil-Geosynthetic Composite (SGC) Mass under Failure Load. Sustainability. 2022; 14(15):9629. https://doi.org/10.3390/su14159629
Chicago/Turabian StyleGui, Meen-Wah, Truc T. T. Phan, and Thang Pham. 2022. "Mechanical Responses of Soil-Geosynthetic Composite (SGC) Mass under Failure Load" Sustainability 14, no. 15: 9629. https://doi.org/10.3390/su14159629
APA StyleGui, M.-W., Phan, T. T. T., & Pham, T. (2022). Mechanical Responses of Soil-Geosynthetic Composite (SGC) Mass under Failure Load. Sustainability, 14(15), 9629. https://doi.org/10.3390/su14159629

