The Influence of Mixing Degree between Coarse and Fine Particles on the Strength of Offshore and Coast Foundations
Abstract
:1. Introduction
2. Index of Mixing Degree and DEM Model Verification Result
2.1. Index of Mixing Degree
2.2. DEM Model Verification Result
3. Specimen’s Properties and Simulation Parameters
3.1. Specimen’s Properties
3.2. Simulation Parameters
4. Results and Analyses
4.1. Macroscopic Variation in Strength with Mixing Degree
4.1.1. Shear Strength
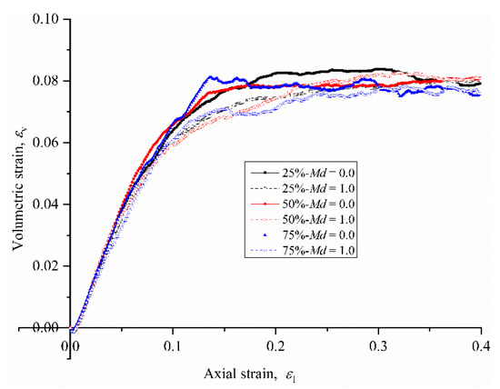
4.1.2. Volumetric Strain and Dilatancy Angle
4.2. Mesomechanism of the Variation in Strength with Mixing Degree
4.2.1. Contact Number
4.2.2. The Fabric Structure
4.2.3. Contact Force
4.2.4. Distribution of Contacts
4.2.5. Force–Fabric Anisotropies
4.3. Influence of Coarse Content on the Increased Range of Peak Shear Strength
5. Conclusions
- (1)
- The peak shear strength increases with increasing mixing degree, while the critical shear strength is not affected. This trend is consistent with that of volumetric strain with increasing mixing degree, and the variation in peak shear strength is directly related to the peak dilatancy angle.
- (2)
- The variations in both the peak and critical shear strengths are mainly affected by the cf contact type. Specifically, when the mixing degree increases, the mean normal force of cf contacts does not change, while the increase in the number of cf contacts and their global distribution contribute to the increase in peak shear strength. The increase in the cf contact number and the changes in the distribution of cf contacts from local to global offset the influence of the reduction in the mean normal forces of the cc, cf and ff contacts and the cc and ff contact numbers, which results in stable critical shear strength.
- (3)
- The force–fabric anisotropies of the whole contact network and three subnetworks are evaluated. The force–fabric anisotropies of the whole contact network explain the microscopic mechanism of the strength. The increase in peak strength is mainly caused by the increase in 0.4an. And the increase in 0.4an and 0.6at, with a decrease in 0.4ac, offsets each other, which maintain the stability of the critical strength. The meticulous analysis of the force–fabric anisotropies of three subnetworks affords a way to explain the micro-mechanisms that result in the dependency of the contributions of different contact types to the strength on the mixing degree.
- (4)
- The range of coarse contents conformed to the definition of binary geotechnical mixture and the influence of the mixing degree on the peak shear strength increases with increasing coarse content. This means that with a higher coarse content, a greater influence of the mixing degree on the shear strength performance of binary geotechnical mixture should be considered.
Author Contributions
Funding
Institutional Review Board Statement
Informed Consent Statement
Data Availability Statement
Conflicts of Interest
References
- Huang, Y.; Jin, P. Impact of human interventions on coastal and marine geological hazards: A review. Bull. Eng. Geol. Environ. 2018, 77, 1081–1090. [Google Scholar] [CrossRef]
- Fateh, A.M.A.; Eslami, A.; Fahimifar, A. Direct CPT and CPTu methods for determining bearing capacity of helical piles. Mar. Georesources Geotechnol. 2016, 35, 193–207. [Google Scholar] [CrossRef]
- Huang, Y.; Bao, Y.; Zhang, M.; Liu, C.; Lu, P. Analysis of the mechanism of seabed liquefaction induced by waves and related seabed protection. Nat. Hazards 2015, 79, 1399–1408. [Google Scholar] [CrossRef]
- Zhang, M.; Huang, Y.; Bao, Y. The mechanism of shallow submarine landslides triggered by storm surge. Nat. Hazards 2016, 81, 1373–1383. [Google Scholar] [CrossRef]
- Bondevik, S.; Mangerud, J.; Dawson, S.; Dawson, A.; Lohne, Ø. Evidence for three North Sea tsunamis at the Shetland Islands between 8000 and 1500 years ago. Quat. Sci. Rev. 2005, 24, 1757–1775. [Google Scholar] [CrossRef] [Green Version]
- Lee, C.-W.; Kim, Y.-S.; Yoon, Y.-S.; Chang, D.-S.; Choo, Y.W.; Jung, M.-C. Stability Study of a Tide Embankment Subjected to Sea Level Variations Using Centrifugal Model Tests. Mar. Georesources Geotechnol. 2015, 33, 376–390. [Google Scholar] [CrossRef]
- Azema, E.; Preechawuttipong, I.; Radjai, F. Binary mixtures of disks and elongated particles: Texture and mechanical properties. Phys. Rev. E 2016, 94, 042901. [Google Scholar] [CrossRef]
- Molinero Guerra, A.; Mokni, N.; Cui, Y.-J.; Delage, P.; Tang, A.M.; Aimedieu, P.; Bernier, F.; Bornert, M. Impact of initial structural heterogeneity on long-term swelling behavior of MX80 bentonite pellet/powder mixtures. Can. Geotech. J. 2020, 57, 1404–1416. [Google Scholar] [CrossRef]
- Dong, H.; Peng, B.; Gao, Q.-F.; Hu, Y.; Jiang, X. Study of hidden factors affecting the mechanical behavior of soil–rock mixtures based on abstraction idea. Acta Geotech. 2021, 16, 595–611. [Google Scholar] [CrossRef]
- Liu, S.; Hu, W.; Gong, J.; Nie, Z. An improved index of mixing degree and its effect on the strength of binary geotechnical mixtures. Granul. Matter 2021, 24, 1–19. [Google Scholar] [CrossRef]
- Cao, X.; Zhu, Y.; Gong, J. Effect of the intermediate principal stress on the mechanical responses of binary granular mixtures with different fines contents. Granul. Matter 2021, 23, 1–19. [Google Scholar] [CrossRef]
- Rahman, S.; Khattak, M.J.; Adhikari, B.; Adhikari, S. Discrete element modeling of bonded soil mixtures under uniaxial compression and indirect tension test. Transp. Geotech. 2021, 26, 100438. [Google Scholar] [CrossRef]
- Lacey, P.M.C. Developments in the theory of particle mixing. J. Appl. Chem. 1954, 4, 257–268. [Google Scholar] [CrossRef]
- Windows-Yule, C.R.K.; Scheper, B.J.; Horn, A.J.; Hainsworth, N.; Saunders, J.; Parker, D.J.; Thornton, A.R. Understanding and exploiting competing segregation mechanisms in horizontally rotated granular media. New J. Phys. 2016, 18, 023013. [Google Scholar] [CrossRef]
- Cho, M.; Dutta, P.; Shim, J. A non-sampling mixing index for multicomponent mixtures. Powder Technol. 2017, 319, 434–444. [Google Scholar] [CrossRef]
- Siraj, M.S.; Radl, S.; Glasser, B.J.; Khinast, J.G. Effect of blade angle and particle size on powder mixing performance in a rectangular box. Powder Technol. 2011, 211, 100–113. [Google Scholar] [CrossRef]
- Yan, Z.; Wilkinson, S.K.; Stitt, E.H.; Marigo, M. Investigating mixing and segregation using discrete element modelling (DEM) in the Freeman FT4 rheometer. Int. J. Pharm. 2016, 513, 38–48. [Google Scholar] [CrossRef]
- Konan, N.A.; Huckaby, E.D. Kinetic theory-based numerical modeling and analysis of bi-disperse segregated mixture fluidized bed. Powder Technol. 2017, 319, 71–91. [Google Scholar] [CrossRef]
- Dai, B.B.; Yang, J.; Liu, F.T.; Gu, X.Q.; Lin, K.R. A new index to characterize the segregation of binary mixture. Powder Technol. 2020, 363, 611–620. [Google Scholar] [CrossRef]
- Medley, E. Systematic characterization of melange bimrocks and other chaotic soil_rock mixtures. Felsbau 1999, 17, 152–162. [Google Scholar]
- Zhao, H.F.; Zhang, L.M. Effect of coarse content on shear behavior of unsaturated coarse granular soils. Can. Geotech. J. 2014, 51, 1371–1383. [Google Scholar] [CrossRef]
- Yan, X.; Zhan, W.; Hu, Z.; Yu, Y.; Xiao, D.; de Oliveira Correia, J.A.F. Experimental Study on the Effect of Compaction Work and Defect on the Strength of Soil-Rock Mixture Subgrade. Adv. Mater. Sci. Eng. 2021, 2021, 1–13. [Google Scholar] [CrossRef]
- Belheine, N.; Plassiard, J.P.; Donzé, F.V.; Darve, F.; Seridi, A. Numerical simulation of drained triaxial test using 3D discrete element modeling. Comput. Geotech. 2009, 36, 320–331. [Google Scholar] [CrossRef]
- Evans, T.M.; Valdes, J.R. The microstructure of particulate mixtures in one-dimensional compression: Numerical studies. Granul. Matter 2011, 13, 657–669. [Google Scholar] [CrossRef]
- Zhao, S.; Matthew, E.T.; Zhou, X. Shear-induced anisotropy of granular materials with rolling resistance and particle shape effects. Int. J. Solids Struct. 2018, 150, 268–281. [Google Scholar] [CrossRef]
- Abedi, S.; Mirghasemi, A.A. Particle shape consideration in numerical simulation of assemblies of irregularly shaped particles. Particuology 2011, 9, 387–397. [Google Scholar] [CrossRef]
- Gong, J.; Liu, J. Effect of aspect ratio on triaxial compression of multi-sphere ellipsoid assemblies simulated using a discrete element method. Particuology 2017, 32, 49–62. [Google Scholar] [CrossRef]
- Nie, Z.; Zhu, Y.; Wang, X.; Gong, J. Investigating the effects of Fourier-based particle shape on the shear behaviors of rockfill material via DEM. Granul. Matter 2019, 21, 1–15. [Google Scholar] [CrossRef]
- Yang, Y.; Wang, J.F.; Cheng, Y.M. Quantified evaluation of particle shape effects from micro-to-macro scales for non-convex grains. Particuology 2016, 25, 23–35. [Google Scholar] [CrossRef]
- Xu, W.J.; Xu, Q.; Hu, R.L. Study on the shear strength of soil–rock mixture by large scale direct shear test. Int. J. Rock Mech. Min. Sci. 2011, 48, 1235–1247. [Google Scholar]
- Zhou, W.; Xu, K.; Ma, G.; Yang, L.; Chang, X. Effects of particle size ratio on the macro- and microscopic behaviors of binary mixtures at the maximum packing efficiency state. Granul. Matter 2016, 18, 1–13. [Google Scholar] [CrossRef]
- Abbireddy, C.O.R.; Clayton, C.R.I. Varying initial void ratios for DEM simulations. Géotechnique 2010, 60, 497–502. [Google Scholar] [CrossRef]
- Zhao, S.; Evans, T.; Zhou, X. Effects of curvature-related DEM contact model on the macro-and micro-mechanical behaviours of granular soils. Géotechnique 2018, 68, 1085–1098. [Google Scholar] [CrossRef]
- Nie, Z.; Liu, S.; Hu, W.; Gong, J. Effect of local non-convexity on the critical shear strength of granular materials determined via the discrete element method. Particuology 2020, 52, 105–112. [Google Scholar] [CrossRef]
- Minh, N.H.; Cheng, Y.P. A DEM investigation of the effect of particle-size distribution on one-dimensional compression. Géotechnique 2013, 63, 44–53. [Google Scholar] [CrossRef]
- Gu, X.; Zhang, J.; Huang, X. DEM analysis of monotonic and cyclic behaviors of sand based on critical state soil mechanics framework. Comput. Geotech. 2020, 128, 103787. [Google Scholar] [CrossRef]
- Zhu, Y.; Nie, Z.; Gong, J. Influence of the rolling-resistance-based shape of coarse particles on the shear responses of granular mixtures. Particuology 2020, 52, 67–82. [Google Scholar] [CrossRef]
- Bolton, M.D. The strength and dilatancy of sands. Géotechnique 1986, 35, 65–78. [Google Scholar] [CrossRef] [Green Version]
- Simoni, A.; Houlsby, G.T. The Direct Shear Strength and Dilatancy of Sand-gravel Mixtures. Geotech. Geol. Eng. 2006, 24, 523–549. [Google Scholar] [CrossRef]
- Rowe, P.W. The relation between the shear strength of sands in triaxial compression, plane strain and direct. Geotech. 1969, 19, 75–86. [Google Scholar] [CrossRef]
- Thornton, C. Numerical simulations of deviatoric shear deformation of granular media. Géotechnique 2000, 50, 43–53. [Google Scholar] [CrossRef]
- Minh, N.H.; Cheng, Y.P.; Thornton, C. Strong force networks in granular mixtures. Granul. Matter 2014, 16, 69–78. [Google Scholar] [CrossRef]
- Gong, J.; Liu, J.; Cui, L. Shear behaviors of granular mixtures of gravel-shaped coarse and spherical fine particles investigated via discrete element method. Powder Technol. 2019, 353, 178–194. [Google Scholar] [CrossRef]
- De Frias Lopez, R.; Silfwerbrand, J.; Jelagin, D.; Birgisson, B. Force transmission and soil fabric of binary granular mixtures. Géotechnique 2016, 66, 578–583. [Google Scholar] [CrossRef]
- Vallejo, L.E. Interpretation of the limits in shear strength in binary granular mixtures. Can. Geotech. J. 2001, 38, 1097–1104. [Google Scholar] [CrossRef]
- Voivret, C.; Radjai, F.; Delenne, J.Y.; El Youssoufi, M.S. Multiscale force networks in highly polydisperse granular media. Phys. Rev. Lett. 2009, 102, 178001. [Google Scholar] [CrossRef] [PubMed] [Green Version]
- Gong, J.; Liu, J. Mechanical transitional behavior of binary mixtures via DEM: Effect of differences in contact-type friction coefficients. Comput. Geotech. 2017, 85, 1–14. [Google Scholar] [CrossRef]
- Sufian, A.; Russell, A.R.; Whittle, A.J. Anisotropy of contact networks in granular media and its influence on mobilised internal friction. Géotechnique 2017, 67, 1–14. [Google Scholar] [CrossRef]
- Ouadfel, H.; Rothenburg, L. ‘Stress-force-fabric’ relationship for assemblies of ellipsoids. Mech. Mater. 2001, 33, 201–221. [Google Scholar] [CrossRef]
- Guo, N.; Zhao, J. The signature of shear-induced anisotropy in granular media. Comput. Geotech. 2013, 47, 1–15. [Google Scholar] [CrossRef]
- Markauskas, D.; Kačianauskas, R.; Džiugys, A.; Navakas, R. Investigation of adequacy of multi-sphere approximation of elliptical particles for DEM simulations. Granul. Matter 2009, 12, 107–123. [Google Scholar] [CrossRef]
- Zhu, Y.; Nie, Z.; Gong, J.; Zou, J.; Zhao, L.; Li, L. An analysis of the effects of the size ratio and fines content on the shear behaviors of binary mixtures using DEM. Comput. Geotech. 2020, 118, 103353. [Google Scholar] [CrossRef]
- Zhu, Y.; Gong, J.; Nie, Z. Numerical investigation of the elastic properties of binary mixtures as a function of the size ratio and fines content. Int. J. Geomech. 2020, 20, 04020155. [Google Scholar] [CrossRef]
- Zhou, W.; Wu, W.; Ma, G.; Ng, T.-T.; Chang, X. Undrained behavior of binary granular mixtures with different fines contents. Powder Technol. 2018, 340, 139–153. [Google Scholar] [CrossRef]
- Yao, Y.; Li, J.; Ni, J.; Liang, C.; Zhang, A. Effects of gravel content and shape on shear behaviour of soil-rock mixture: Experiment and DEM modelling. Comput. Geotech. 2022, 141, 104476. [Google Scholar] [CrossRef]
- Scholtès, L.; Hicher, P.-Y.; Sibille, L. Multiscale approaches to describe mechanical responses induced by particle removal in granular materials. C. R. Mécanique 2010, 338, 627–638. [Google Scholar] [CrossRef] [Green Version]


















| State | Specimen | Ccc | Ccf | Cff | ||||
|---|---|---|---|---|---|---|---|---|
| peak | I = 0.0 | 2795.68 | 250.28 | 117.78 | 149.95 | 403 | 756 | 36,211 |
| I = 0.2 | 2796.66 | 246.22 | 126.88 | 160.88 | 362 | 2062 | 33,239 | |
| I = 0.4 | 2664.39 | 250.87 | 125.23 | 162.89 | 309 | 3083 | 30,310 | |
| I = 0.6 | 2936.14 | 248.44 | 127.54 | 164.82 | 227 | 5230 | 27,208 | |
| I = 0.8 | 2833.42 | 256.10 | 129.67 | 161.64 | 116 | 6714 | 25,614 | |
| I = 1.0 | 3272.87 | 255.50 | 124.99 | 169.73 | 96 | 7802 | 20,904 | |
| critical | I = 0.0 | 2104.77 | 326.81 | 114.41 | 144.26 | 398 | 1173 | 31,348 |
| I = 0.2 | 2153.30 | 312.60 | 113.70 | 149.69 | 343 | 2099 | 27,270 | |
| I = 0.4 | 1997.71 | 302.12 | 113.09 | 154.18 | 312 | 3006 | 24,827 | |
| I = 0.6 | 1853.70 | 290.62 | 106.88 | 154.75 | 210 | 4627 | 20,895 | |
| I = 0.8 | 1718.37 | 274.28 | 96.98 | 139.63 | 97 | 5863 | 19,102 | |
| I = 1.0 | 1649.24 | 245.63 | 99.41 | 136.64 | 76 | 6657 | 18,589 |
Publisher’s Note: MDPI stays neutral with regard to jurisdictional claims in published maps and institutional affiliations. |
© 2022 by the authors. Licensee MDPI, Basel, Switzerland. This article is an open access article distributed under the terms and conditions of the Creative Commons Attribution (CC BY) license (https://creativecommons.org/licenses/by/4.0/).
Share and Cite
Liu, S.; Nie, Y.; Hu, W.; Ashiru, M.; Li, Z.; Zuo, J. The Influence of Mixing Degree between Coarse and Fine Particles on the Strength of Offshore and Coast Foundations. Sustainability 2022, 14, 9177. https://doi.org/10.3390/su14159177
Liu S, Nie Y, Hu W, Ashiru M, Li Z, Zuo J. The Influence of Mixing Degree between Coarse and Fine Particles on the Strength of Offshore and Coast Foundations. Sustainability. 2022; 14(15):9177. https://doi.org/10.3390/su14159177
Chicago/Turabian StyleLiu, Shunkai, Yuxing Nie, Wei Hu, Mohammed Ashiru, Zhong Li, and Jun Zuo. 2022. "The Influence of Mixing Degree between Coarse and Fine Particles on the Strength of Offshore and Coast Foundations" Sustainability 14, no. 15: 9177. https://doi.org/10.3390/su14159177
APA StyleLiu, S., Nie, Y., Hu, W., Ashiru, M., Li, Z., & Zuo, J. (2022). The Influence of Mixing Degree between Coarse and Fine Particles on the Strength of Offshore and Coast Foundations. Sustainability, 14(15), 9177. https://doi.org/10.3390/su14159177

