Long-Term Development of Urban Agriculture: Resilience and Sustainability of Farmers Facing the Covid-19 Pandemic in Japan
Abstract
1. Introduction
1.1. Covid-19 Pandemic and Food System
1.2. Effects of Covid-19 Pandemic on Urban Agriculture in Japan
1.3. Farm Resilience and Urban Agriculture
1.4. Attributes of Farm Resilience
1.5. Objectives
2. Methodology
2.1. Conceptual Framework
2.2. Analytical Framework
3. Results
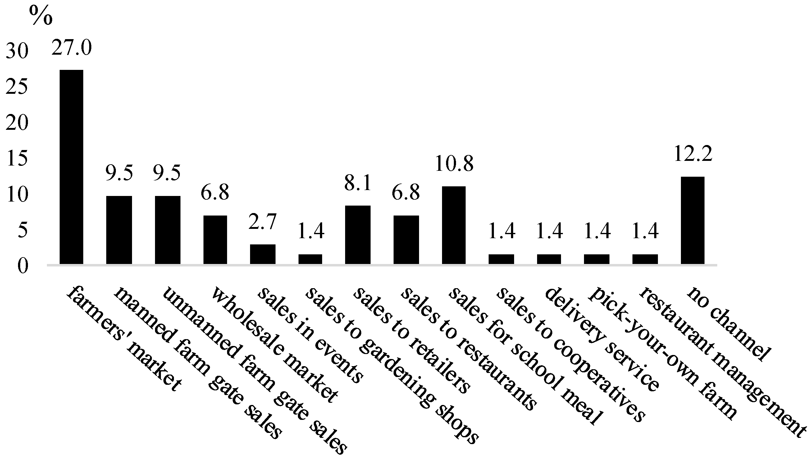
3.1. Description of Sample Farms
3.2. Effects of Covid-19 Pandemic and Resilience Capacity
3.3. Long-Term Farm Vision
3.4. Resilience Attributes
3.5. Regression Analysis
4. Discussion
5. Conclusions
Author Contributions
Funding
Data Availability Statement
Conflicts of Interest
References
- Savary, S.; Akter, S.; Almekinders, C.; Harris, J.; Korsten, L.; Rötter, R.; Waddington, S.; Watson, D. Mapping Disruption and resilience mechanisms in food systems. Food Secur. 2020, 12, 695–717. [Google Scholar] [CrossRef]
- Altieri, M.A.; Nicholls, C.I. Agroecology and the reconstruction of a post-COVID-19 agriculture. J. Peasant. Stud. 2020, 47, 881–898. [Google Scholar] [CrossRef]
- Du, Z.; Lai, X.; Long, W.; Gao, L. The short-and long-term impacts of the COVID-19 pandemic on family farms in China--Evidence from a survey of 2 324 farms. J. Integr. Agric. 2020, 19, 2877–2890. [Google Scholar] [CrossRef]
- Mastronardi, L.; Cavallo, A.; Romagnoli, L. Diversified farms facing the Covid-19 pandemic: First signals from Italian case studies. Sustainability 2020, 12, 5709. [Google Scholar] [CrossRef]
- Chang, H.-H.; Mishra, A.K.; Lee, T.-H. A Supply-side analysis of agritourism: Evidence from farm-level agriculture census data in Taiwan. Aust. J. Agric. Resour. Econ. 2019, 63, 521–548. [Google Scholar] [CrossRef]
- Lange, A.; Piorr, A.; Siebert, R.; Zasada, I. Spatial differentiation of farm diversification: How rural attractiveness and vicinity to cities determine farm households’ response to the CAP. Land Use Policy 2013, 31, 136–144. [Google Scholar] [CrossRef]
- Pölling, B.; Mergenthaler, M. The location matters: Determinants for “deepening” and “broadening” diversification strategies in Ruhr metropolis’ urban farming. Sustainability 2017, 9, 1168. [Google Scholar] [CrossRef]
- Yoshida, S.; Yagi, H.; Kiminami, A.; Garrod, G. Farm diversification and sustainability of multifunctional peri-urban agriculture: Entrepreneurial attributes of advanced diversification in Japan. Sustainability 2019, 11, 2887. [Google Scholar] [CrossRef]
- Walker, B.; Holling, C.S.; Carpenter, S.R.; Kinzig, A. Resilience, adaptability and transformability in social–ecological systems. Ecol. Soc. 2004, 9. [Google Scholar] [CrossRef]
- Darnhofer, I.; Fairweather, J.; Moller, H. Assessing a farm’s sustainability: Insights from resilience thinking. Int. J. Agric. Sustain. 2010, 8, 186–198. [Google Scholar] [CrossRef]
- Meuwissen, M.P.M.; Paas, W.H.; Slijper, T.; Coopmans, I.; Ciechomska, A.; Lievens, E.; Deckers, J.; Vroege, W.; Mathijs, E.; Kopainsky, B.; et al. Report on Resilience Framework for EU Agriculture: Sustainable and Resilient EU Farming Systems (SureFarm) Project Report, Work Package D1. 1; Wageningen University & Research: Wageningen, The Netherlands, 2018. [Google Scholar]
- Darnhofer, I. Resilience and why it matters for farm management. Eur. Rev. Agric. Econ. 2014, 41, 461–484. [Google Scholar] [CrossRef]
- Yokohari, M.; Takeuchi, K.; Watanabe, T.; Yokota, S. Beyond greenbelts and zoning: A new planning concept for the environment of Asian mega-cities. In Urban Ecology; Springer: Berlin/Heidelberg, Germany, 2008; pp. 783–796. [Google Scholar]
- Kurita, H.; Yokohari, M.; Bolthouse, J. The potential of intra-regional supply and demand of agricultural products in an urban fringe area: A case study of the Kanto Plain, Japan. Geogr. Tidsskr. J. Geogr. 2009, 109, 147–159. [Google Scholar] [CrossRef]
- Yoshida, S. Effects of urbanization on farmland size and diversified farm activities in Japan: An analysis based on the land parcel database. Land 2020, 9, 315. [Google Scholar] [CrossRef]
- Bryant, C.R.; Johnston, T.R.R. Agriculture in the City’s Countryside; Belhaven Press: London, UK, 1992. [Google Scholar]
- Reidsma, P.; Paas, W.H.; Accatino, F.; Appel, F.; Black, J.; Bijttebier, J.; Gavrilescu, C.; Kopainsky, B.; Krupin, V.; Manevska-Tasevska, G.; et al. D5. 6 Impacts of Improved Strategies and Policy Options on the Resilience of Farming Systems across the EU; Swedish University of Agricultural Sciences: Uppsala, Sweden, 2020. [Google Scholar]
- Nera, E.; Paas, W.; Reidsma, P.; Paolini, G.; Antonioli, F.; Severini, S. Assessing the resilience and sustainability of a hazelnut farming system in Central Italy with a participatory approach. Sustainability 2020, 12, 343. [Google Scholar] [CrossRef]
- Santo, R.; Palmer, A.; Kim, B. Vacant Lots to Vibrant Plots: A Review of the Benefits and Limitations of Urban Agriculture; John Hopkins Center for a Livable Future: Baltimore, MD, USA, 2016. [Google Scholar]
- Nicholls, E.; Ely, A.; Birkin, L.; Basu, P.; Goulson, D. The contribution of small-scale food production in urban areas to the sustainable development goals: A review and case study. Sustain. Sci. 2020, 15, 1585–1599. [Google Scholar] [CrossRef]
- Teitel-Payne, R.; Kuhns, J.; Nasr, J. Indicators for Urban Agriculture in Toronto: A Scoping Analysis; Toronto Urban Grow: Toronto, ON, Canada, 2016. [Google Scholar]
- Clerino, P.; Fargue-Lelièvre, A. Formalizing objectives and criteria for urban agriculture sustainability with a participatory approach. Sustainability 2020, 12, 7503. [Google Scholar] [CrossRef]
- Lovell, S.T. Multifunctional urban agriculture for sustainable land use planning in the United States. Sustainability 2010, 2, 2499–2522. [Google Scholar] [CrossRef]
- Piorr, A.; Zasada, I.; Doernberg, A.; Zoll, F.; Ramme, W. Research for AGRI Committee-Urban and Peri-Urban Agriculture in the EU; European Parliament: Brussels, Belgium, 2018. [Google Scholar]
- Azunre, G.A.; Amponsah, O.; Peprah, C.; Takyi, S.A.; Braimah, I. A review of the role of urban agriculture in the sustainable city discourse. Cities 2019, 93, 104–119. [Google Scholar] [CrossRef]
- Gulyas, B.Z.; Edmondson, J.L. Increasing city resilience through urban agriculture: Challenges and solutions in the Global North. Sustainability 2021, 13, 1465. [Google Scholar] [CrossRef]
- Sioen, G.B.; Terada, T.; Sekiyama, M.; Yokohari, M. Resilience with mixed agricultural and urban land uses in Tokyo, Japan. Sustainability 2018, 10, 435. [Google Scholar] [CrossRef]
- Ikejima, Y. Measuring Elderly people’s food access in urban food environments: The potential benefits of urban agriculture. Int. J. Sociol. Agric. Food 2019, 25, 21–41. [Google Scholar]
- Pulighe, G.; Lupia, F. Multitemporal geospatial evaluation of urban agriculture and (non)-sustainable food self-provisioning in Milan, Italy. Sustainability 2019, 11, 1846. [Google Scholar] [CrossRef]
- Guitart, D.; Pickering, C.; Byrne, J. Past results and future directions in urban community gardens research. Urban For. Urban Green. 2012, 11, 364–373. [Google Scholar] [CrossRef]
- Litt, J.S.; Schmiege, S.J.; Hale, J.W.; Buchenau, M.; Sancar, F. Exploring ecological, emotional and social levers of self-rated health for urban gardeners and non-gardeners: A path analysis. Soc. Sci. Med. 2015, 144, 1–8. [Google Scholar] [CrossRef] [PubMed]
- Litt, J.; Soobader, M.-J.; Turbin, M.S.; Hale, J.W.; Buchenau, M.; Marshall, J.A. The influence of social involvement, neighborhood aesthetics, and community garden participation on fruit and vegetable consumption. Am. J. Public Health 2011, 101, 1466–1473. [Google Scholar] [CrossRef] [PubMed]
- Barton, J.; Pretty, J. What is the best dose of nature and green exercise for improving mental health? A multi-study analysis. Environ. Sci. Technol. 2010, 44, 3947–3955. [Google Scholar] [CrossRef] [PubMed]
- van den Berg, A.E.; van Winsum-Westra, M.; de Vries, S.; van Dillen, S.M.E. Allotment gardening and health: A comparative survey among allotment gardeners and their neighbors without an allotment. Environ. Health 2010, 9, 74. [Google Scholar] [CrossRef]
- Soga, M.; Cox, D.T.C.; Yamaura, Y.; Gaston, K.J.; Kurisu, K.; Hanaki, K. Health benefits of urban allotment gardening: Improved physical and psychological well-being and social integration. Int. J. Environ. Res. Public Health 2017, 14, 71. [Google Scholar] [CrossRef]
- Harada, K.; Hino, K.; Iida, A.; Yamazaki, T.; Usui, H.; Asami, Y.; Yokohari, M. How does urban farming benefit participants’ health? A case study of allotments and experience farms in Tokyo. Int. J. Environ. Res. Public Health 2021, 18, 542. [Google Scholar] [CrossRef]
- Folke, C.; Carpenter, S.R.; Walker, B.; Scheffer, M.; Chapin, T.; Rockström, J. Resilience thinking: Integrating resilience, adaptability and transformability. Ecol. Soc. 2010, 15, 20. [Google Scholar] [CrossRef]
- Darnhofer, I.; Strauss, A. Resilience of family farms: Understanding the trade-offs linked to diversification. In Proceedings of the 11th European IFSA Symposium-Farming Systems Facing Global Challenges: Capacities and Strategies, Berlin, Germany, 1–4 April 2014; pp. 1–4. [Google Scholar]
- Darnhofer, I.; Strauss, A. Organic farming and resilience. Case Study Rep. Austria. Rethink. Proj. 2015. Available online: http://citeseerx.ist.psu.edu/viewdoc/download;jsessionid=30FE849D2547E43EEB586E60FC04F727?doi=10.1.1.705.7470&rep=rep1&type=pdf (accessed on 12 April 2021).
- Spiegel, A.; Soriano, B.; de Mey, Y.; Slijper, T.; Urquhart, J.; Bardají, I.; Vigani, M.; Severini, S.; Meuwissen, M. Risk Management and Its Role in Enhancing Perceived Resilience Capacities of Farms and Farming Systems in Europe; Wiley Online Library: Hoboken, NJ, USA, 2020. [Google Scholar]
- Shane, S.; Venkataraman, S. The promise of entrepreneurship as a field of research. Acad. Manag. Rev. 2000, 25, 217–226. [Google Scholar] [CrossRef]
- Soininen, J.; Martikainen, M.; Puumalainen, K.; Kyläheiko, K. Entrepreneurial orientation: Growth and profitability of Finnish small-and medium-sized enterprises. Int. J. Prod. Econ. 2012, 140, 614–621. [Google Scholar] [CrossRef]
- Zahra, S.A.; Covin, J.G. Contextual influences on the corporate entrepreneurship-performance relationship: A longitudinal analysis. J. Bus. Ventur. 1995, 10, 43–58. [Google Scholar] [CrossRef]
- Gellynck, X.; Cárdenas, J.; Pieniak, Z.; Verbeke, W. Association between innovative entrepreneurial orientation, absorptive capacity, and farm business performance. Agribusiness 2015, 31, 91–106. [Google Scholar] [CrossRef]
- Micheels, E.T.; Boecker, A. Competitive strategies among Ontario farms marketing direct to consumers. Agric. Food Econ. 2017, 5, 1–23. [Google Scholar] [CrossRef]
- Tang, G.; Chen, Y.; Jin, J. Entrepreneurial orientation and innovation performance: Roles of strategic HRM and technical turbulence. Asia Pac. J. Hum. Resour. 2015, 53, 163–184. [Google Scholar] [CrossRef]
- Zhang, J.A.; Edgar, F.; Geare, A.; O’Kane, C. The interactive effects of entrepreneurial orientation and capability-based HRM on firm performance: The mediating role of innovation ambidexterity. Ind. Mark. Manag. 2016, 59, 131–143. [Google Scholar] [CrossRef]
- Chen, Y.-C.; Li, P.-C.; Evans, K.R. Effects of interaction and entrepreneurial orientation on organizational performance: Insights into market driven and market driving. Ind. Mark. Manag. 2012, 41, 1019–1034. [Google Scholar] [CrossRef]
- Berkes, F. Understanding uncertainty and reducing vulnerability: Lessons from resilience thinking. Nat. Hazards 2007, 41, 283–295. [Google Scholar] [CrossRef]
- Soriano, B.; Bardaji, I.; Bertolozzi, D.; San Martín, C.; Spiegel, A.; Slijper, T.; Meuwissen, M.; Rommel, J.; Hansson, H.; Severini, S.; et al. D 2.6 Report on State and Outlook for Risk Management in EU Agriculture; Swedish University of Agricultural Sciences: Uppsala, Sweden, 2020. [Google Scholar]
- Jack, S.L.; Anderson, A.R. The effects of embeddedness on the entrepreneurial process. J. Bus. Ventur. 2002, 17, 467–487. [Google Scholar] [CrossRef]
- McKeever, E.; Jack, S.; Anderson, A. Embedded entrepreneurship in the creative re-construction of place. J. Bus. Ventur. 2015, 30, 50–65. [Google Scholar] [CrossRef]
- Akgün, A.A.; Nijkamp, P.; Baycan, T.; Brons, M. Embeddedness of entrepreneurs in rural areas: A comparative rough set data analysis. Tijdschr. Econ. Soc. Geogr. 2010, 101, 538–553. [Google Scholar] [CrossRef]
- Blundel, R. Network evolution and the growth of artisanal firms: A tale of two regional cheese makers. Entrep. Reg. Dev. 2002, 14, 1–30. [Google Scholar] [CrossRef]
- Stam, W.; Elfring, T. Entrepreneurial orientation and new venture performance: The moderating role of intra-and extraindustry social capital. Acad. Manag. J. 2008, 51, 97–111. [Google Scholar] [CrossRef]
- Meuwissen, M.P.M.; Feindt, P.H.; Midmore, P.; Wauters, E.; Finger, R.; Appel, F.; Spiegel, A.; Mathijs, E.; Termeer, K.J.A.M.; Balmann, A.; et al. The Struggle of Farming Systems in Europe: Looking for Explanations through the Lens of Resilience; Wiley Online Library: Hoboken, NJ, USA, 2020. [Google Scholar]
- Meuwissen, M.P.M.; Feindt, P.H.; Spiegel, A.; Termeer, C.J.A.M.; Mathijs, E.; de Mey, Y.; Finger, R.; Balmann, A.; Wauters, E.; Urquhart, J.; et al. A framework to assess the resilience of farming systems. Agric. Syst. 2019, 176, 102656. [Google Scholar] [CrossRef]
- Miller, D. The correlates of entrepreneurship in three types of firms. Manag. Sci. 1983, 29, 770–791. [Google Scholar] [CrossRef]
- Covin, J.G.; Slevin, D.P. Strategic management of small firms in hostile and benign environments. Strateg. Manag. J. 1989, 10, 75–87. [Google Scholar] [CrossRef]
- McWilliams, A.; Siegel, D. Corporate social responsibility: A theory of the firm perspective. Acad. Manag. Rev. 2001, 26, 117–127. [Google Scholar] [CrossRef]
- Ramachandran, V. Strategic corporate social responsibility: A ‘dynamic capabilities’ perspective. Corp. Soc. Responsib. Environ. Manag. 2011, 18, 285–293. [Google Scholar] [CrossRef]
- Lebacq, T.; Baret, P.V.; Stilmant, D. Sustainability indicators for livestock farming. A review. Agron. Sustain. Dev. 2013, 33, 311–327. [Google Scholar] [CrossRef]
- Meul, M.; van Passel, S.; Nevens, F.; Dessein, J.; Rogge, E.; Mulier, A.; van Hauwermeiren, A. MOTIFS: A monitoring tool for integrated farm sustainability. Agron. Sustain. Dev. 2008, 28, 321–332. [Google Scholar] [CrossRef]
- Van Calker, K.J.; Berentsen, P.B.M.; Giesen, G.W.J.; Huirne, R.B.M. Identifying and ranking attributes that determine sustainability in Dutch dairy farming. Agric. Hum. Values 2005, 22, 53–63. [Google Scholar] [CrossRef]











| Short-Term Resilience Type | Sample Size | Average Sales Changes (yen/year) | By Marketing Channel Types | |
|---|---|---|---|---|
| 1st Channel (yen/year) | 2nd Channel (yen/year) | |||
| Highly resilient farms | 31 | 662,000 | 416,000 | 273,000 |
| Less resilient farms | 19 | −1,045,000 | −932,000 | −134,000 |
| Middle-resilient farms | 24 | 0 | 0 | 0 |
| total | 74 | 9000 | −65,000 | 81,000 |
| Highly resilient farms (n = 31) | Reasons for sales increase (multiple answers) (%) | ||||||||
| Customer increase in farmers’ markets | Customer increase at farm gate | Sales increase for retailers | Customer increase for farming experience service | Customer increase for delivery service | Increased production | Rise of product price | Change of production plan | Others | |
| 32.3 | 41.9 | 16.1 | 3.2 | 3.2 | 29.0 | 16.1 | 9.7 | 6.5 | |
| Less resilient farms (n = 19) | Reasons for sales decrease (multiple answers) (%) | ||||||||
| Customer decrease in farmers markets | Sales decrease for restaurants | Sales decrease for school meal | Decrease of off-farm events | Decrease of on-farm events | Self- quarantine | Fall in production price | Change of production plan | Others | |
| 5.3 | 15.8 | 26.3 | 31.6 | 5.3 | 10.5 | 63.2 | 10.5 | 21.1 | |
| Short-Term Resilience Type | Sales in Million Yen | ||||||||
|---|---|---|---|---|---|---|---|---|---|
| No Sales | Less than 0.49 | 0.50– 0.99 | 1.00– 1.99 | 2.00– 2.99 | 3.00– 4.99 | 5.00– 9.99 | 10.00– 19.99 | More than 20.00 | |
| % of farms | |||||||||
| Highly resilient farms | 0.0 | 7.7 | 7.7 | 11.5 | 3.8 | 23.1 | 23.1 | 19.2 | 3.8 |
| Less resilient farms | 0.0 | 5.9 | 11.8 | 0.0 | 17.6 | 5.9 | 23.5 | 23.5 | 11.8 |
| Middle-resilient farms | 23.8 | 4.8 | 9.5 | 4.8 | 23.8 | 14.3 | 4.8 | 9.5 | 4.8 |
| Visions | |||||||
|---|---|---|---|---|---|---|---|
| Sales after Covid-19 Pandemic (Compared with Sales in 2019) | Long-Term Farm Vision (Farm Size in 2030) | ||||||
| Increase | Decrease | Status Quo | Enlarge | Downsize | Status Quo | ||
| Total (n = 74) | 35.1% | 8.1% | 56.8% | 43.2% | 12.2% | 44.6% | |
| Highly resilient farms (n = 31) | (A) | 41.9% | 6.5% | 51.6% | 61.3% | 3.2% | 35.5% |
| Less resilient farms (n = 19) | (B) | 26.3% | 15.8% | 57.9% | 36.8% | 10.5% | 52.6% |
| Middle-resilient farms (n = 24) | (C) | 33.3% | 4.2% | 62.5% | 25.0% | 25.0% | 50.0% |
| Fisher’s exact test | p value = 0.59 > 0.10 | p value = 0.03 < 0.05 | |||||
| Pairwise comparisons of Wilcoxon rank sum test | A > C * | A < C + | |||||
| Long-Term Intention to … | ||||||
|---|---|---|---|---|---|---|
| Designate Their Farmland as Specified Production Green Land | Preserve Their Farmland after Inheritance Taxation | Designate their Farmland as Disaster Prevention Farmland | Rent Farmland in the Future | |||
| Farm size in 2030 | Enlarge | (A) | 82.1% | 59.4% | 70.0% | 28.1% |
| Downsize | (B) | 42.9% | 11.1% | 44.4% | 11.1% | |
| Status quo | (C) | 90.6% | 72.7% | 65.6% | 12.1% | |
| Pairwise comparisons of Wilcoxon rank sum test | B < C ** | A > B *, C > B ** | ||||
| 1st Channel | Resilience Type | n | EO | Breakdown | |||||
|---|---|---|---|---|---|---|---|---|---|
| Innovativeness | Proactiveness | Risk Taking | |||||||
| R&D and Innovation | New Product | First- Mover | Competitive- ness | High-Risk Project | Bold Wide- Ranging Acts | ||||
| Direct marketing | Highly resilient farms | 21 | 18.4 | 3.3 | 3.1 | 3.6 | 2.9 | 2.6 | 2.9 |
| Less resilient farms | 9 | 15.2 | 3.4 | 2.7 | 2.7 | 2.1 | 2.1 | 2.2 | |
| Mass marketing | Highly resilient farms | 7 | 19.3 | 3.6 | 3.4 | 4.1 | 2.4 | 2.6 | 3.1 |
| Less resilient farms | 9 | 17.4 | 2.9 | 2.8 | 3.4 | 2.8 | 2.4 | 3.1 | |
| Questionnaire statements | |||||||||
| R&D and innovation | I prefer a strong emphasis on the tried-and-trusted products or services. | 1 2 3 4 5 | I prefer a strong emphasis on R&D and innovative products or services. | ||||||
| New product | I changed or newly marketed no products or services. | I changed or newly marketed many products or services. | |||||||
| First- mover | My farm is seldom the first to introduce new products, services, management techniques, operating technologies, etc. | My farm is very often the first to introduce new products, services, management techniques, operating technologies, etc. | |||||||
| Competitive-ness | My farm adopts a less competitive approach. | My farm adopts a more competitive approach. | |||||||
| High-risk project | I have a strong preference for low-risk projects. | I have a strong preference for high-risk projects. | |||||||
| Bold wide- ranging acts | Owing to the nature of the environment, it is best to act cautiously to achieve farm’s objectives. | Owing to the nature of the environment, bold, wide-ranging acts are necessary to achieve the farm’s objectives. | |||||||
| 1st Channel | Resilience Type | n | Social Network Score | Breakdown | |||||||||
|---|---|---|---|---|---|---|---|---|---|---|---|---|---|
| Local Farmers | Farmers in Other Areas | Farmers’ Cooperatives | Government, Extension Services | Input Traders | Distributors and Retailers | Retailers on Website | CEO of other Industries | Local Residents | Customers | ||||
| Direct marketing | Highly resilient farms | 21 | 29.5 | 2.9 | 2.7 | 3.2 | 2.6 | 2.9 | 2.7 | 2.8 | 2.8 | 3.5 | 3.4 |
| Less resilient farms | 9 | 26.3 | 3.0 | 2.2 | 2.9 | 2.6 | 3.1 | 2.2 | 2.1 | 2.4 | 2.8 | 3.0 | |
| Mass marketing | Highly resilient farms | 7 | 32.1 | 3.3 | 2.7 | 3.3 | 3.1 | 3.1 | 3.4 | 3.0 | 3.3 | 3.3 | 3.6 |
| Less resilient farms | 9 | 28.1 | 2.8 | 2.1 | 3.1 | 2.8 | 2.8 | 2.9 | 2.2 | 2.1 | 3.2 | 4.1 | |
| 1st Channel | Resilience Type | n | Management Capability Score | Breakdown | |||
|---|---|---|---|---|---|---|---|
| Production | Accounting | Marketing | Human Resource Management | ||||
| direct marketing | Highly resilient farms | 21 | 11.7 | 3.1 | 3.0 | 2.9 | 2.7 |
| Less resilient farms | 9 | 11.1 | 3.2 | 2.8 | 2.4 | 2.7 | |
| mass marketing | Highly resilient farms | 7 | 13.3 | 3.6 | 2.9 | 3.7 | 3.1 |
| Less resilient farms | 9 | 11.8 | 3.7 | 2.9 | 2.9 | 2.3 | |
| 1st Channel | Resilience Type | n | Social and Environmental Sustainability Index (SESI) | Breakdown (My farm tries to…) | |||||||
|---|---|---|---|---|---|---|---|---|---|---|---|
| Social | Environmental | ||||||||||
| External | Internal | ||||||||||
| Promote Understanding of Agriculture and Food | Promote Food Safety and Traceability | Participate in Local Activities | Improve Working Environments | Consider Employees’ Mental Health | Promote the Employees’ Participation in Management | Improve Agricultural Landscape | Reduce the Usage of Chemical Fertilizer and Pesticide | ||||
| Direct marketing | Highly resilient farms | 21 | 13.7 | 2.0 | 1.6 | 2.0 | 1.8 | 1.4 | 1.4 | 1.7 | 1.8 |
| Less resilient farms | 9 | 15.1 | 2.0 | 1.7 | 2.1 | 1.9 | 1.7 | 1.7 | 2.0 | 2.1 | |
| Mass marketing | Highly resilient farms | 7 | 17.9 | 2.3 | 2.4 | 2.4 | 2.1 | 2.0 | 2.0 | 2.3 | 2.3 |
| Less resilient farms | 9 | 15.9 | 2.2 | 2.1 | 2.2 | 2.2 | 1.8 | 1.8 | 1.7 | 1.9 | |
| SESI | Direct Marketing | Entrepreneurial Orientation | Networking | Management Capability | |
|---|---|---|---|---|---|
| Direct marketing dummy | −0.33 ** | 1.00 | |||
| Entrepreneurial orientation | 0.19 | −0.13 | 1.00 | ||
| Networking | 0.22 + | −0.03 | −0.08 | 1.00 | |
| Management capability | 0.35 ** | −0.26 * | 0.27 * | 0.08 | 1.00 |
| Unit | Dependent variables | |||||||
|---|---|---|---|---|---|---|---|---|
| Short-Term Resilience Type | SESI | Long-Term Farm Vision | ||||||
| Model 1 = Ordinal Logit | Model 2 = OSL | Model 3 = Ordinal Logit | ||||||
| n = 63 | n = 63 | n = 69 | ||||||
| Coefficients | p Value | Coefficients | p Value | Coefficients | p Value | |||
| Thresholds | Less resilient farms|Middle-resilient farms | 5.537 * | 0.018 | |||||
| Middle-resilient farms|Highly resilient farms | 6.920 ** | 0.004 | ||||||
| Intercept | 1.481 | 0.731 | ||||||
| Thresholds | Downsize|Status quo | −1.113 | 0.360 | |||||
| Status quo|Enlarge | 1.773 | 0.145 | ||||||
| Resilience attributes | Direct marketing dummy = 1 | 1.451 * | 0.029 | −1.951 + | 0.096 | |||
| Entrepreneurial orientation (EO) | 0.148 * | 0.050 | 0.086 | 0.513 | ||||
| Social network | 0.074 + | 0.054 | 0.101 | 0.171 | ||||
| Short-term resilience type | Middle-resilient farms = 1 | −0.914 | 0.189 | |||||
| Highly resilient farms = 1 | 1.203 * | 0.049 | ||||||
| Social and environmental sustainability index (SESI) | 0.147 * | 0.022 | ||||||
| Control variables | Management capability | 0.123 | 0.335 | 0.479 + | 0.062 | |||
| Log (sales in 2019) | Log (104 yen) | 0.045 | 0.607 | 0.448 * | 0.028 | −0.128 * | 0.042 | |
| Farmland | a (102 m2) | 0.000 | 0.902 | 0.003 | 0.391 | −0.003 | 0.131 | |
| Population density | Person/km2 | −0.087 | 0.163 | 0.101 | 0.379 | 0.000 | 0.996 | |
| Goodness of fit | AIC | 138.00 | 138.37 | |||||
| Nagelkerke R2 | 0.238 | 0.305 | ||||||
| Likelihood ratio test | 0.040 (p value) | 0.001 (p value) | ||||||
| Adjusted R-squared | 0.240 | |||||||
| F-statistic | 0.002 (p value) | |||||||
Publisher’s Note: MDPI stays neutral with regard to jurisdictional claims in published maps and institutional affiliations. |
© 2021 by the authors. Licensee MDPI, Basel, Switzerland. This article is an open access article distributed under the terms and conditions of the Creative Commons Attribution (CC BY) license (https://creativecommons.org/licenses/by/4.0/).
Share and Cite
Yoshida, S.; Yagi, H. Long-Term Development of Urban Agriculture: Resilience and Sustainability of Farmers Facing the Covid-19 Pandemic in Japan. Sustainability 2021, 13, 4316. https://doi.org/10.3390/su13084316
Yoshida S, Yagi H. Long-Term Development of Urban Agriculture: Resilience and Sustainability of Farmers Facing the Covid-19 Pandemic in Japan. Sustainability. 2021; 13(8):4316. https://doi.org/10.3390/su13084316
Chicago/Turabian StyleYoshida, Shingo, and Hironori Yagi. 2021. "Long-Term Development of Urban Agriculture: Resilience and Sustainability of Farmers Facing the Covid-19 Pandemic in Japan" Sustainability 13, no. 8: 4316. https://doi.org/10.3390/su13084316
APA StyleYoshida, S., & Yagi, H. (2021). Long-Term Development of Urban Agriculture: Resilience and Sustainability of Farmers Facing the Covid-19 Pandemic in Japan. Sustainability, 13(8), 4316. https://doi.org/10.3390/su13084316

