Spatial and Seasonal Characteristics of Air Pollution Spillover in China
Abstract
1. Introduction
2. Materials and Methods
2.1. Data
2.2. Method
2.2.1. Step 1: Extracting the Relationship of Air Pollution Spillover among Cities Based on the GARCH-BEKK Model
2.2.2. Step 2: Dividing the Regions of Air Pollution Spillover Based on a Complex Network
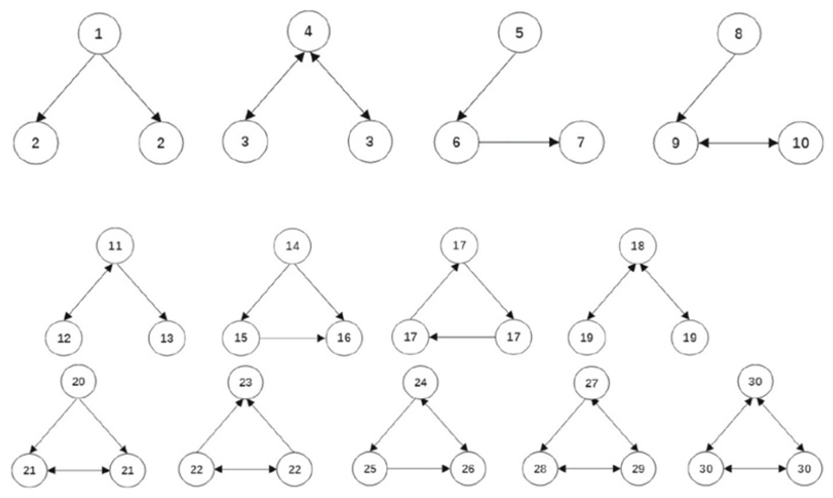
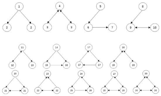
2.2.3. Step 3: Analyzing the Structure of Air Pollution Spillover among Regions Based on Motifs
3. Results
3.1. Regional Division Based on Air Pollution Spillover
3.2. Air Pollution’s Spillover among Regions
3.3. Structure of Air Pollution Spillover among Regions
4. Discussion and Conclusions
- From a seasonal perspective, the phenomenon of air pollution spillover is stronger in spring and winter and weaker in summer and autumn.
- From a spatial perspective, in general, the regions in North China often transport a negative influence to regions in East China through air pollution spillover.
- There is a core region in the air pollution spillover network, and each season has a different core region.
Author Contributions
Funding
Institutional Review Board Statement
Informed Consent Statement
Data Availability Statement
Acknowledgments
Conflicts of Interest
References
- Jia, R.X.; Ku, H.J. Is China’s Pollution the Culprit for the Choking of South Korea? Evidence from the Asian Dust. Econ. J. 2019, 129, 3154–3188. [Google Scholar] [CrossRef]
- Li, J.; Han, X.; Li, X.; Yang, J.; Li, X. Spatiotemporal Patterns of Ground Monitored PM2.5 Concentrations in China in Recent Years. Int. J. Environ. Res. Public Health 2018, 15, 114. [Google Scholar] [CrossRef]
- Du, L.; Wang, H.; Xu, H. Analysis of spatial-temporal association and factors influencing environmental pollution incidents in China. Environ. Impact Assess. Rev. 2020, 82, 106384. [Google Scholar] [CrossRef]
- Yang, J.; Xu, L. How does China’s air pollution influence its labor wage distortions? Theoretical and empirical analysis from the perspective of spatial spillover effects. Sci. Total Environ. 2020, 745, 140843. [Google Scholar] [CrossRef]
- Deng, T.; Li, X.; Ma, M. Evaluating impact of air pollution on China’s inbound tourism industry: A spatial econometric approach. Asia Pac. J. Tour. Res. 2020, 22, 771–780. [Google Scholar] [CrossRef]
- Yunesian, M.; Rostami, R.; Zarei, A.; Fazlzadeh, M.; Janjani, H. Exposure to high levels of PM5 and PM10 in the metropolis of Tehran and the associated health risks during 2016–2017. Microchem. J. 2019, 150, 1–9. [Google Scholar] [CrossRef]
- Amarloei, A.; Fazlzadeh, M.; Jafari, A.J.; Zarei, A.; Mazloomi, S. Particulate matter and bioaerosols during Middle East dust stormsevents in Ilam, Iran. Microchem. J. 2020, 152, 1–25. [Google Scholar] [CrossRef]
- Wu, D.; Xu, Y.; Zhang, S. Will joint regional air pollution control be more cost-effective? An empirical study of China’s Beijing-Tianjin-Hebei region. Environ. Manag. 2015, 149, 27–36. [Google Scholar] [CrossRef]
- Pei, X.; Shang, F. Study on Coordinated Governance and Evaluation of Air Pollution in Beijing-Tianjin-Hebei Region. IOP Conf. Ser. Earth Environ. Sci. 2020, 440, 042025. [Google Scholar] [CrossRef]
- Gómez-Losada, Á.; Pires, J.C.M.; Pino-Mejías, R. Characterization of background air pollution exposure in urban environments using a metric based on Hidden Markov Models. Atmos. Environ. 2016, 127, 255–261. [Google Scholar] [CrossRef]
- Wu, M.Y.; Kuo, S.L. Air Quality Time Series Based GARCH Model Analyses of Air Quality Information for a Total Quantity Control District. Aerosol. Air Qual. Res. 2012, 12, 331–343. [Google Scholar] [CrossRef]
- Cheng, L.; Zhang, T.; Chen, L.; Li, L.; Wang, S.; Hu, S.; Yuan, L.; Wang, J.; Wen, M. Investigating the Impacts of Urbanization on PM2.5 Pollution in the Yangtze River Delta of China: A Spatial Panel Data Approach. Atmosphere 2020, 11, 1058. [Google Scholar]
- Liao, S.; Wang, D.; Liang, Z.; Xia, C.; Guo, H.; Zhao, W. Spatial Spillover Effect and Sources of City-Level Haze Pollution in China: A Case Study of Guangdong Provinces. Pol. J. Environ. 2020, 29, 3213–3223. [Google Scholar] [CrossRef]
- Holloway, T.; Fiore, A.; Hastings, M.G. Intercontinental Transport of Air Pollution: Will Emerging Science Lead to a New Hemispheric Treaty? Environ. Sci. Technol. 2003, 37, 4535–4542. [Google Scholar] [CrossRef] [PubMed][Green Version]
- Chang, L.; Wu, Z.; Xu, J. Comparison of haze pollution variability in China using haze indices based on observations. Sci. Total Environ. 2020, 715, 136929. [Google Scholar] [CrossRef] [PubMed]
- Sun, C.; Lang, J.L.; Sun, X.W. Analysis of the Transportation of PM2.5 in the Middle and Lower Reaches of the Yangtze River. Environ. Prot. Eng. 2018, 44, 27–34. [Google Scholar]
- He, Q.; Gu, Y.; Zhang, M. Spatiotemporal trends of PM2.5 concentrations in central China from 2003 to 2018 based on MAIAC-derived high-resolution data. Environ. Int. 2020, 137, 105536. [Google Scholar] [CrossRef]
- Makiko, N.; Deng, S.J. Regional characteristics of air pollution in Japan. In Proceedings of the Remote Sensing of Clouds and the Atmosphere XXV, Online, 21–25 September 2020; p. 11531. [Google Scholar] [CrossRef]
- Chen, X.G.; Ye, J.J. When the wind blows: Spatial spillover effects of urban air pollution in China. J. Environ. Plan. 2018, 62, 1359–1376. [Google Scholar] [CrossRef]
- Zhou, D.; Lin, Z.; Liu, L.; Qi, J. Spatial-temporal characteristics of urban air pollution in 337 Chinese cities and their influencing factors. Environ. Sci. Pollut Res. Int. 2021, 28, 36234–36258. [Google Scholar] [CrossRef]
- Gong, J.P.; Hu, Y.M.; Liu, M.; Bu, R.C.; Chang, Y.; Li, C.L.; Wu, W. Characterization of Air Pollution Index and Its Affecting Factors in Industrial Urban Areas in Northeastern China. Pol. J. Environ. Stud. 2015, 24, 1579–1592. [Google Scholar] [CrossRef]
- Li, L.L.; Liu, Y.H.; Wang, Y.P. Monitoring an air pollution episode in Shenzhen by combining MODIS satellite images and the HYSPLIT model. IOP Conf. Ser. Earth Environ. Sci. 2017, 74, 012010. [Google Scholar] [CrossRef]
- Zhu, B.; Su, J.F.; Kang, H.Q.; Cai, Y. The impact of crop residue burning on air quality over Yangtze River delta, China: Observation and simulation. In Proceedings of the 2012 IEEE International Geoscience and Remote Sensing Symposium, Munich, Germany, 22–27 July 2012. [Google Scholar] [CrossRef]
- Watts, D.J.; Strogatz, S.H. Collective dynamics of ‘small-world’ networks. Nature 1998, 393, 440–442. [Google Scholar] [CrossRef] [PubMed]
- Zhang, N.N.; Ma, F.; Qin, C.B.; Li, Y.F. Spatiotemporal trends in PM2.5 levels from 2013 to 2017 and regional demarcations for joint prevention and control of atmospheric pollution in China. Chemosphere 2018, 210, 1176–1184. [Google Scholar] [CrossRef]
- Liu, B.; Zhao, H.P.; Liu, Y.X.; Wang, S.Y.; Li, J.Q.; Li, Y.; Lang, J.L.; Gu, R.T. Discovering multi-dimensional motifs from multi-dimensional time series for air pollution control. Concurr. Comput. Pract. Exp. 2020, 32, 1–15. [Google Scholar] [CrossRef]
- Liu, B.; Liu, Y.X.; Li, J.Q.; Lang, J.L.; Gu, R.T. Multi-Dimensional Motif Discovery in Air Pollution Data. In Proceedings of the 2017 IEEE International Conference on Systems, Man, and Cybernetics (SMC), Banff, AB, Canada, 5–8 October 2017; pp. 531–536. [Google Scholar] [CrossRef]
- Milo, R.; Shen-Orr, S.; Itzkovitz, S.; Kashtan, N.; Chklovskii, D.; Alon, U. Network Motifs: Simple Building Blocks of Complex Networks. Science 2002, 298, 824–827. [Google Scholar] [CrossRef] [PubMed]
- Yu, Y.Z.; Zhou, X.Y. Study on Detection of Environmental Air Pollution by Differential Optical Absorption Spectrometry. Adv. Mat. Res. 2013, 610-613, 1199–1202. [Google Scholar] [CrossRef]
- Gao, H.; Yang, W.; Yang, Y.; Yuan, G. Analysis of the Air Quality and the Effect of Governance Policies in China’s Pearl River Delta, 2015–2018. Atmosphere 2019, 10, 412. [Google Scholar] [CrossRef]
- Wang, J.Q.; Qu, W.J.; Li, C.; Zhao, C.H.; Zhong, X. Spatial distribution of wintertime air pollution in major cities over eastern China: Relationship with the evolution of trough, ridge and synoptic system over East Asia. Atmos. Res. 2018, 212, 186–201. [Google Scholar] [CrossRef]
- Han, X.D.; Fang, W.; Li, H.J. Heterogeneity of influential factors across the entire air quality spectrum in Chinese cities: A spatial quantile regression analysis. Environ. Pollut. 2020, 262, 114259. [Google Scholar] [CrossRef]
- Modarres, R. Modeling the relationship between climate oscillations and drought by a multivariate GARCH model. Water Resour. Res. 2014, 50, 601–618. [Google Scholar] [CrossRef]
- Song, C.; Huang, G.; Zhang, B.; Yin, B.; Lu, H. Modeling Air Pollution Transmission Behavior as Complex Network and Mining Key Monitoring Station. IEEE 2019, 7, 121245–121254. [Google Scholar] [CrossRef]
- Blondel, V.D.; Guillaume, J.L.; Lambiotte, R.; Lefebvre, E. Fast unfolding of communities in large networks. arXiv 2008. Available online: https://arxiv.org/abs/0803.0476 (accessed on 18 October 2021). [CrossRef]
- Liu, Y. The role of the world’s major steel markets in price spillover networks: An analysis based on complex network motifs. J. Econ. Interact. Coord. 2020, 14, 697–720. [Google Scholar] [CrossRef]
- Gu, L.L.; Yao, J.J.; Hu, Z. Typical Strong and Weak South Asian Summer Monsoon Years and Sea Surface Temperature of Arabian Sea. J. Trop. Meteorol. 2006, 22, 374–379. [Google Scholar]
- Ju, J.H.; Qian, C.; Cao, J. The Intraseasonal Oscillation of East Asian Summer Monsoon. Chin. J. Atmos. Sci. 2005, 29, 187–194. [Google Scholar]
- Huang, Q.; Guan, Y.P. Does the Asian monsoon modulate tropical cyclone activity over the South China Sea? Chin. J. Oceanol. Limnol. 2012, 30, 960–965. [Google Scholar] [CrossRef]
- Kashtan, N. Efficient sampling algorithm for estimating subgraph concentrations and detecting network motifs. Bioinformatics 2004, 20, 1746–1758. [Google Scholar] [CrossRef]
- Milo, R. Super families of Evolved and Designed Networks. Science 2004, 303, 1538–1542. [Google Scholar] [CrossRef]
- Mangan, S. Structure and function of the feed-forward loop network motif. Proc. Natl. Acad. Sci. USA 2003, 100, 11980–11985. [Google Scholar] [CrossRef]
- Zhou, Y.; Guanz, Y.; Zhang, Q.; Yin, Y.Y. Circulation anomalies and their impacts on autumn temperature variations over China in associationwith different phase combinations of atmospheric mass migration between lands and oceans and interhemispheric oscillations. Acta Meteorol. Sin. 2016, 74, 367–379. [Google Scholar]




| Season | Motif | Important | Included Regions | ||||
|---|---|---|---|---|---|---|---|
| Construct | Numbering | Z-Score | p-Value | Region 1 | Region 2 | Region 3 | |
| Spring | ![]() | #1 Complete connection | 7.7573 | 0 | northeast of North China Middle China west of East China west of East China west of East China | south of North China south of North China north south of East China north south of East China south of North China | southeast of North China west of East China southeast of North China east middle of East China east south of North China |
![]() | #2 Max output | 0.086047 | 0.452 | Middle China west of East China west of East China west of East China | west of East China southeast of East China southeast of East China southeast of East China | southeast of East China north south of East China south of North China southeast of North China | |
![]() | #3 Include core | 6.0967 | 0 | west of East China | southeast of East China | east middle of East China | |
| Season | Motif | Important | Include Regions | ||||
|---|---|---|---|---|---|---|---|
| Construct | Numbering | Z-Score | p-Value | Region 1 | Region 2 | Region 3 | |
| Summer | ![]() | #3 Include core | 69.254 | 0 | north of Middle China north of Middle China south of Middle China south of Middle China west of East China west of East China | middle of Middle China north of East China west of East China west of East China north of East China north of East China | north of East China west of East China north of East China south of East China south of East China east of North China |
![]() | #4 Uncomplete connection | undefined | 0 | south of Middle China | middle of Middle China | west of East China | |
![]() | #5 Notable Core | 27.037 | 0 | north of Middle China | east of North China | west of East China | |
| Season | Motif | Important | Include Regions | ||||
|---|---|---|---|---|---|---|---|
| Construct | Numbering | Z-Score | p-Value | Region 1 | Region 2 | Region 3 | |
| Autumn | ![]() | #1 Complete connect | 2.0143 | 0 | north of East China north of East China north of East China south of Middle China | south of East China south of East China middle of Middle China south of East China | middle of Middle China south of Middle China south of Middle China middle of Middle China |
![]() | #6 One node output | 0.7521 | 0 | east of South China | south of Southwest China | south of East China | |
| Season | Motif | Important | Include Regions | ||||
|---|---|---|---|---|---|---|---|
| Construct | Numbering | Z-Score | p-Value | Region 1 | Region 2 | Region 3 | |
| Winter | ![]() | #1 Complete connect | 5.8694 | 0 | east of South China south of North China northeast of Middle China northeast of Middle China | south of East China north of East China northwest of Middle China north of East China | south of Middle China north of North China north of North China north of North China |
![]() | #7 One node input | 1.7636 | 0 | south of North China | northeast of Middle China | south of East China | |
Publisher’s Note: MDPI stays neutral with regard to jurisdictional claims in published maps and institutional affiliations. |
© 2021 by the authors. Licensee MDPI, Basel, Switzerland. This article is an open access article distributed under the terms and conditions of the Creative Commons Attribution (CC BY) license (https://creativecommons.org/licenses/by/4.0/).
Share and Cite
Yu, B.; Fang, W.; Huang, S.; Liu, S.; Qi, Y.; Han, X. Spatial and Seasonal Characteristics of Air Pollution Spillover in China. Sustainability 2021, 13, 12272. https://doi.org/10.3390/su132112272
Yu B, Fang W, Huang S, Liu S, Qi Y, Han X. Spatial and Seasonal Characteristics of Air Pollution Spillover in China. Sustainability. 2021; 13(21):12272. https://doi.org/10.3390/su132112272
Chicago/Turabian StyleYu, Baocheng, Wei Fang, Shupei Huang, Siyao Liu, Yajie Qi, and Xiaodan Han. 2021. "Spatial and Seasonal Characteristics of Air Pollution Spillover in China" Sustainability 13, no. 21: 12272. https://doi.org/10.3390/su132112272
APA StyleYu, B., Fang, W., Huang, S., Liu, S., Qi, Y., & Han, X. (2021). Spatial and Seasonal Characteristics of Air Pollution Spillover in China. Sustainability, 13(21), 12272. https://doi.org/10.3390/su132112272











