Evolution of Green Space under Rapid Urban Expansion in Southeast Asian Cities
Abstract
:1. Introduction
2. Materials and Methods
2.1. Study Area
2.2. Data Acquisition and Processing
2.3. Landscape Change Analysis
2.4. Landscape Structure Analysis
3. Results
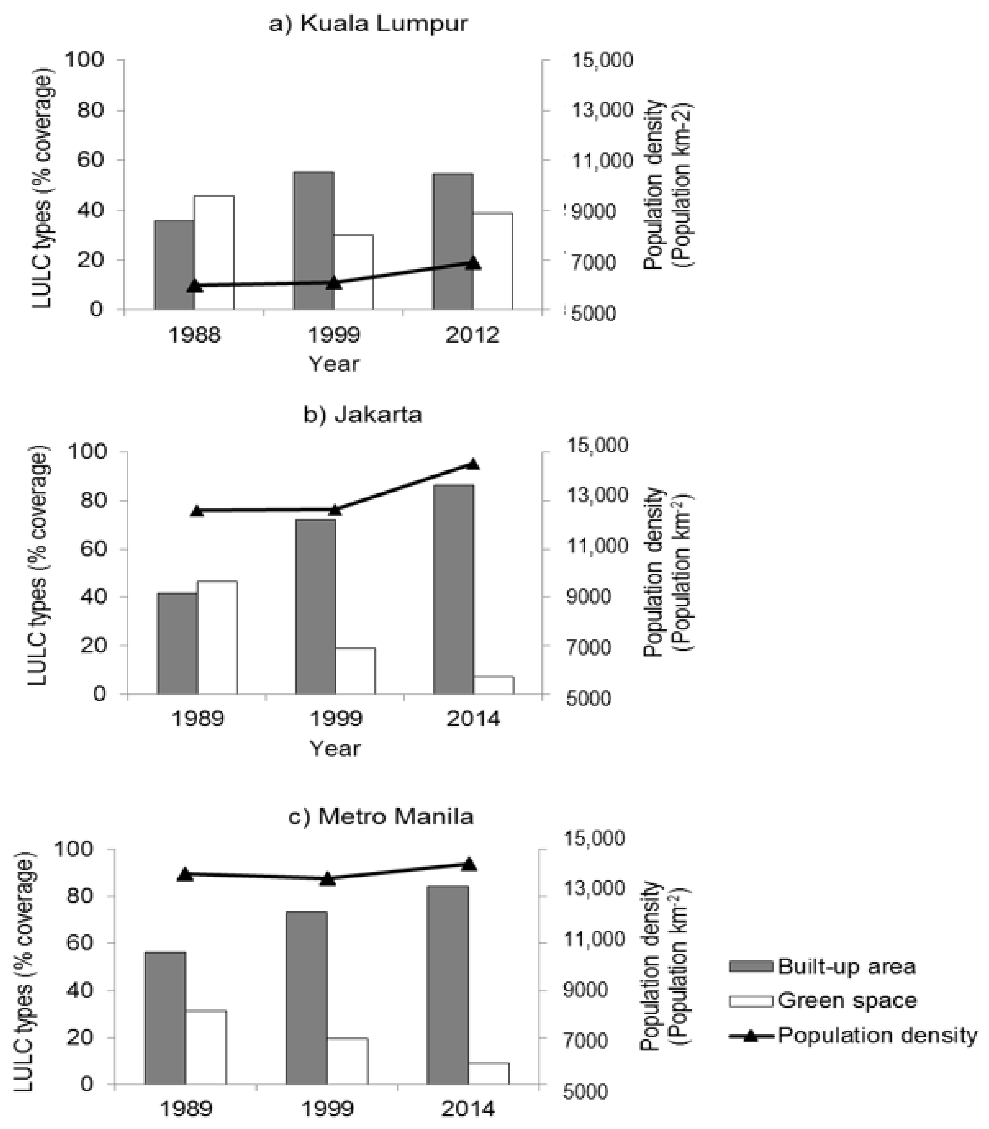
3.1. Landscape Change Analysis
3.2. Landscape Structure Analysis
4. Discussion
5. Conclusions
Author Contributions
Funding
Institutional Review Board Statement
Informed Consent Statement
Data Availability Statement
Acknowledgments
Conflicts of Interest
Appendix A
| 1988 | 1999 (%) | ||||
|---|---|---|---|---|---|
| Green Space | Built-Up Area | Cleared Land | Waterbody | Total | |
| Green space | 22.1 | 17.1 | 5.4 | 1.0 | 45.6 |
| Built-up area | 4.0 | 26.8 | 3.8 | 0.6 | 35.6 |
| Cleared land | 4.2 | 8.6 | 1.7 | 0.3 | 14.8 |
| Waterbody | 1.1 | 1.2 | 0.4 | 1.3 | 4 |
| Total | 31.4 | 53.7 | 11.2 | 3.2 | 100.00 |
| 1999 | 2014 (%) | ||||
| Green Space | Built-Up Area | Cleared Land | Waterbody | Total | |
| Green space | 11.7 | 19.1 | 0.7 | 0.5 | 31.9 |
| Built-up area | 6.1 | 46.5 | 0.6 | 0.6 | 53.8 |
| Cleared land | 1.7 | 9.1 | 0.3 | 0.2 | 11.2 |
| Waterbody | 0.9 | 1.5 | 0.0 | 0.8 | 3.2 |
| Total | 20.2 | 76.1 | 1.6 | 2.04 | 100.00 |
| 1989 | 1999 (%) | ||||
|---|---|---|---|---|---|
| Green Space | Built-Up Area | Cleared Land | Waterbody | Total | |
| Green space | 16.5 | 25.1 | 2.8 | 2.3 | 46.6 |
| Built-up area | 0.9 | 40 | 0.5 | 0.3 | 41.6 |
| Cleared land | 0.1 | 0.6 | 0.0 | 0.0 | 0.8 |
| Waterbody | 1.7 | 6.4 | 0.6 | 2.3 | 11.0 |
| Total | 19.1 | 72.01 | 3.9 | 4.9 | 100.00 |
| 1999 | 2014 (%) | ||||
| Green Space | Built-Up Area | Cleared Land | Waterbody | Total | |
| Green space | 5.7 | 11.9 | 1.1 | 0.4 | 19.1 |
| Built-up area | 0.7 | 69.8 | 1.3 | 0.4 | 72.0 |
| Cleared land | 0.3 | 2.4 | 1.1 | 0.1 | 3.9 |
| Waterbody | 0.6 | 2.3 | 0.1 | 2 | 4.9 |
| Total | 7.2 | 86.4 | 3.6 | 2.8 | 100.00 |
| 1989 | 1999 (%) | ||||
|---|---|---|---|---|---|
| Green Space | Built-Up Area | Cleared Land | Waterbody | Total | |
| Green space | 15.4 | 12.9 | 2.6 | 0.2 | 31.1 |
| Built-up area | 1.8 | 52.7 | 1.4 | 0.1 | 56.0 |
| Cleared land | 1.5 | 5.1 | 0.4 | 0.1 | 7.1 |
| Waterbody | 0.8 | 2.6 | 0.1 | 2.3 | 5.7 |
| Total | 19.6 | 73.2 | 4.5 | 2.7 | 100.00 |
| 1999 | 2014 (%) | ||||
| Green Space | Built-Up Area | Cleared Land | Waterbody | Total | |
| Green space | 6.6 | 10.0 | 2.8 | 0.1 | 19.5 |
| Built-up area | 1.3 | 70.4 | 1.1 | 0.4 | 73.2 |
| Cleared land | 0.1 | 3.9 | 0.5 | 0.0 | 4.5 |
| Waterbody | 0.5 | 0.4 | 0.1 | 1.8 | 2.8 |
| Total | 8.49 | 84.73 | 4.37 | 2.40 | 100.00 |
References
- Angel, S.; Parent, J.; Civco, D.L.; Blei, A.; Potere, D. The dimensions of global urban expansion: Estimates and projections for all countries, 2000–2050. Prog. Plan. 2011, 75, 53–107. [Google Scholar] [CrossRef]
- United Nations Population Fund [UNFPA]. State of World Population 2007. Unleashing the Potential of Urban Growth. POPLINE Document Number: 313671; UNFPA: New York, NY, USA, 2007. [Google Scholar]
- Sharifi, A.; Chiba, Y.; Okamoto, K.; Yokoyama, S.; Murayama, A. Can master planning control and regulate urban growth in Vientiane, Laos? Landsc. Urban Plan. 2014, 131, 1–13. [Google Scholar] [CrossRef]
- United Nations Department of Economic and Social Affairs [UNDESA]. World Urbanization Prospects: The 2011 Revision; United Nations Department of Economic and Social Affairs/Population Division: New York, NY, USA, 2012. [Google Scholar]
- Carrus, G.; Scopelliti, M.; Lafortezza, R.; Colangelo, G.; Ferrini, F.; Salbitano, F.; Agrimi, M.; Portoghesi, L.; Semenzato, P.; Sanesi, G. Go greener, feel better? The positive effects of biodiversity on the well-being of individuals visiting urban and peri-urban green areas. Landsc. Urban Plan. 2015, 134, 221–228. [Google Scholar] [CrossRef]
- Ward, C.D.; Parker, C.M.; Shackleton, C. The use and appreciation of botanical gardens as urban green spaces in South Africa. Urban For. Urban Green. 2010, 9, 49–55. [Google Scholar] [CrossRef] [Green Version]
- Xu, X.; Duan, X.; Sun, H.; Sun, Q. Green Space Changes and Planning in the Capital Region of China. Environ. Manag. 2011, 47, 456–467. [Google Scholar] [CrossRef]
- Tian, Y.; Jim, C.; Tao, Y.; Shi, T. Landscape ecological assessment of green space fragmentation in Hong Kong. Urban For. Urban Green. 2011, 10, 79–86. [Google Scholar] [CrossRef]
- Seburanga, J.; Kaplin, B.; Zhang, Q.-X.; Gatesire, T. Amenity trees and green space structure in urban settlements of Kigali, Rwanda. Urban For. Urban Green. 2014, 13, 84–93. [Google Scholar] [CrossRef]
- Li, F.; Ye, Y.; Song, B.; Wang, R.; Tao, Y. Assessing the changes in land use and ecosystem services in Changzhou municipality, Peoples’ Republic of China, 1991–2006. Ecol. Indic. 2014, 42, 95–103. [Google Scholar] [CrossRef]
- Lo, A.Y.; Jim, C. Citizen attitude and expectation towards greenspace provision in compact urban milieu. Land Use Policy 2011, 29, 577–586. [Google Scholar] [CrossRef] [Green Version]
- Li, Z.; Zhong, J.; Sun, Z.; Yang, W. Spatial Pattern of Carbon Sequestration and Urban Sustainability: Analysis of Land-Use and Carbon Emission in Guang’an, China. Sustainability 2017, 9, 1951. [Google Scholar] [CrossRef] [Green Version]
- Yang, J.; Huang, C.; Zhang, Z.; Wang, L. The temporal trend of urban green coverage in major Chinese cities between 1990 and 2010. Urban For. Urban Green. 2013, 13, 19–27. [Google Scholar] [CrossRef]
- Yang, J.; Li, S.; Lu, H. Quantitative Influence of Land-Use Changes and Urban Expansion Intensity on Landscape Pattern in Qingdao, China: Implications for Urban Sustainability. Sustainability 2019, 11, 6174. [Google Scholar] [CrossRef] [Green Version]
- Estoque, R.C.; Murayama, Y. Intensity and spatial pattern of urban land changes in the megacities of Southeast Asia. Land Use Policy 2015, 48, 213–222. [Google Scholar] [CrossRef]
- Sodhi, N.S.; Posa, M.R.C.; Lee, T.M.; Bickford, D.; Koh, L.P.; Brook, B. The state and conservation of Southeast Asian biodiversity. Biodivers. Conserv. 2009, 19, 317–328. [Google Scholar] [CrossRef]
- Zhou, X.; Wang, Y.-C. Spatial–temporal dynamics of urban green space in response to rapid urbanization and greening policies. Landsc. Urban Plan. 2011, 100, 268–277. [Google Scholar] [CrossRef]
- Chen, W.Y.; Hu, F.Z.Y. Producing nature for public: Land-based urbanization and provision of public green space in China. Appl. Geogr. 2015, 58, 32–40. [Google Scholar] [CrossRef]
- Marcotullio, P.J.; Grant, J. (Eds.) Towards Sustainable Cities, East Asian, North American and European Perspectives on Managing Urban Regions, Aldershot; Ashgate Publishing Limited: Farnham, UK; pp. 38–58.
- Kowarik, I. Novel urban ecosystems, biodiversity, and conservation. Environ. Pollut. 2011, 159, 1974–1983. [Google Scholar] [CrossRef]
- Msofe, N.; Sheng, L.; Lyimo, J. Land Use Change Trends and Their Driving Forces in the Kilombero Valley Floodplain, Southeastern Tanzania. Sustainability 2019, 11, 505. [Google Scholar] [CrossRef] [Green Version]
- Dahiya, B. Cities in Asia, 2012: Demographics, economics, poverty, environment and governance. Cities 2012, 29, S44–S61. [Google Scholar] [CrossRef]
- Kuala Lumpur City Hall. Kuala Lumpur Structural Plan 2020; Kuala Lumpur Press: Kuala Lumpur, Malaysia, 2005. [Google Scholar]
- Nor, A.N.M.; Corstanje, R.; Harris, J.; Brewer, T. Impact of rapid urban expansion on green space structure. Ecol. Indic. 2017, 81, 274–284. [Google Scholar] [CrossRef]
- Murakami, A.; Zain, A.M.; Takeuchi, K.; Tsunekawa, A.; Yokota, S. Trends in urbanization and patterns of land use in the Asian mega cities Jakarta, Bangkok, and Metro Manila. Landsc. Urban Plan. 2005, 70, 251–259. [Google Scholar] [CrossRef]
- Jensen, J.R.; Lulla, K. Introductory digital image processing: A remote sensing perspective. Geocarto Int. 1987, 2, 65. [Google Scholar] [CrossRef]
- Tewolde, M.G.; Cabral, P. Urban Sprawl Analysis and Modeling in Asmara, Eritrea. Remote. Sens. 2011, 3, 2148–2165. [Google Scholar] [CrossRef] [Green Version]
- Rozenstein, O.; Karnieli, A. Comparison of methods for land-use classification incorporating remote sensing and GIS inputs. Appl. Geogr. 2011, 31, 533–544. [Google Scholar] [CrossRef]
- McGarigal, K.; Cushman, S.A.; Neel, M.C.; Ene, E. FRAGSTATS: Spatial Pattern Analysis Program for Categorical Maps. Computer Software Program Produced by the Authors at the University of Massachusetts, Amherst. 2002. Available online: http://www.umass.edu/landeco/research/fragstats/fragstats.html (accessed on 28 December 2016).
- Su, S.; Xiao, R.; Jiang, Z.; Zhang, Y. Characterizing landscape pattern and ecosystem service value changes for urbanization impacts at an eco-regional scale. Appl. Geogr. 2012, 34, 295–305. [Google Scholar] [CrossRef]
- Abdullah, S.A.; Nakagoshi, N. Changes in landscape spatial pattern in the highly developing state of Selangor, peninsular Malaysia. Landsc. Urban Plan. 2006, 77, 263–275. [Google Scholar] [CrossRef]
- Perotto-Baldivieso, H.; Wu, X.B.; Peterson, M.; Smeins, F.E.; Silvy, N.J.; Schwertner, T.W. Flooding-induced landscape changes along dendritic stream networks and implications for wildlife habitat. Landsc. Urban Plan. 2011, 99, 115–122. [Google Scholar] [CrossRef]
- Perotto-Baldivieso, H.L.; Meléndez-Ackerman, E.; García, M.A.; Leimgruber, P.; Cooper, S.M.; Martínez, A.; Calle, P.; Gonzáles, O.M.R.; Quiñones, M.; Christen, C.A.; et al. Spatial distribution, connectivity, and the influence of scale: Habitat availability for the endangered Mona Island rock iguana. Biodivers. Conserv. 2008, 18, 905–917. [Google Scholar] [CrossRef]
- Tian, Y.; Jim, C.; Wang, H. Assessing the landscape and ecological quality of urban green spaces in a compact city. Landsc. Urban Plan. 2014, 121, 97–108. [Google Scholar] [CrossRef]
- McGarigal, K. FRAGSTATS Help; University of Massachusetts: Amherst, MA, USA, 2015; p. 182. [Google Scholar]
- Byomkesh, T.; Nakagoshi, N.; Dewan, A. Urbanization and green space dynamics in Greater Dhaka, Bangladesh. Landsc. Ecol. Eng. 2011, 8, 45–58. [Google Scholar] [CrossRef]
- Rupprecht, C.; Byrne, J.; Lo, A. Memories of vacant lots: How and why residents used informal urban green space as children and teenagers in Brisbane, Australia, and Sapporo, Japan. Child. Geogr. 2015, 14, 340–355. [Google Scholar] [CrossRef] [Green Version]
- Moghadam, H.S.; Helbich, M. Spatiotemporal urbanization processes in the megacity of Mumbai, India: A Markov chains-cellular automata urban growth model. Appl. Geogr. 2013, 40, 140–149. [Google Scholar] [CrossRef]
- M’Ikiugu, M.M.; Kinoshita, I.; Tashiro, Y. Urban Green Space Analysis and Identification of its Potential Expansion Areas. Procedia Soc. Behav. Sci. 2012, 35, 449–458. [Google Scholar] [CrossRef] [Green Version]
- Huang, C.; Yang, J.; Lu, H.; Huang, H.; Yu, L. Green Spaces as an Indicator of Urban Health: Evaluating Its Changes in 28 Mega-Cities. Remote. Sens. 2017, 9, 1266. [Google Scholar] [CrossRef] [Green Version]
- Zheng, Q.; Yang, X.; Wang, K.; Huang, L.; Shahtahmassebi, A.R.; Gan, M.; Weston, M.V. Delimiting Urban Growth Boundary through Combining Land Suitability Evaluation and Cellular Automata. Sustainability 2017, 9, 2213. [Google Scholar] [CrossRef] [Green Version]
- Dytham, C.; Forman, R.T.T. Land Mosaics: The Ecology of Landscapes and Regions. J. Ecol. 1996, 84, 787. [Google Scholar] [CrossRef]
- Firman, T. 15. The dynamics of Jabodetabek development: The challenge of urban governance. In Regional Dynamics in a Decentralized Indonesia; ISEAS Publishing: Singapore, 2014. [Google Scholar]
- Malaque, I.I.R.; Yokohari, M. Urbanization process and the changing agricultural landscape pattern in the urban fringe of Metro Manila, Philippines. Environ. Urban. 2007, 19, 191–206. [Google Scholar] [CrossRef]
- Hudalah, D.; Firman, T. Beyond property: Industrial estates and post-suburban transformation in Jakarta Metropolitan Region. Cities 2012, 29, 40–48. [Google Scholar] [CrossRef]
- Pribadi, D.O.; Pauleit, S. The dynamics of peri-urban agriculture during rapid urbanization of Jabodetabek Metropolitan Area. Land Use Policy 2015, 48, 13–24. [Google Scholar] [CrossRef]
- Rukmana, D. The Change and Transformation of Indonesian Spatial Planning after Suharto’s New Order Regime: The Case of the Jakarta Metropolitan Area. Int. Plan. Stud. 2015, 20, 350–370. [Google Scholar] [CrossRef]
- Mutiara, S.; Isami, K. Characteristic of Public Small Park Usage in Asia Pacific Countries: Case Study in Jakarta and Yokohama City. Procedia Soc. Behav. Sci. 2012, 35, 412–419. [Google Scholar] [CrossRef] [Green Version]
- MMDA. Accomplishment Report; Metropolitan Manila Development Authority: Metro Manila, Philippines, 2012. [Google Scholar]
- Haq, S.M.A. Urban Green Spaces and an Integrative Approach to Sustainable Environment. J. Environ. Prot. 2011, 2, 601–608. [Google Scholar] [CrossRef] [Green Version]
- De la Barrera, F.; Rubio, P.; Banzhaf, E. The value of vegetation cover for ecosystem services in the suburban context. Urban For. Urban Green. 2016, 16, 110–122. [Google Scholar] [CrossRef]
- Kotharkar, R.; Bahadure, P.; Sarda, N. Measuring Compact Urban Form: A Case of Nagpur City, India. Sustainability 2014, 6, 4246–4272. [Google Scholar] [CrossRef] [Green Version]
- Yi, Y.; Ma, S.; Guan, W.; Li, K. An Empirical Study on the Relationship between Urban Spatial Form and CO2 in Chinese Cities. Sustainability 2017, 9, 672. [Google Scholar] [CrossRef] [Green Version]
- Fry, G.; Tveit, M.; Ode, Å.; Velarde, M. The ecology of visual landscapes: Exploring the conceptual common ground of visual and ecological landscape indicators. Ecol. Indic. 2009, 9, 933–947. [Google Scholar] [CrossRef]
- Turner, M.G.; Gardner, R.H.; O’Neill, R.V. Landscape Ecology in Theory and Practice: Pattern and Process; Springer: New York, NY, USA, 2001. [Google Scholar]
- Forman, R.T.T.; Godron, M. Landscape Ecology; Wiley: New York, NY, USA, 1986. [Google Scholar]
- Lee, A.C.K.; Maheswaran, R. The health benefits of urban green spaces: A review of the evidence. J. Public Health 2010, 33, 212–222. [Google Scholar] [CrossRef]
- Mukerjee, M.; Shaw, R. (Eds.) Ecosystem-Based Disaster and Climate Risk Resilience, Integration of Blue-Green Infrastructure in Sustainable Development; Springer: Berlin/Heidelberg, Germany, 2021. [Google Scholar]
- Peters, K.; Elands, B.; Buijs, A. Social interactions in urban parks: Stimulating social cohesion? Urban For. Urban Green. 2010, 9, 93–100. [Google Scholar] [CrossRef] [Green Version]
- Lee, W.H.; Abdullah, S.A. Framework to develop a consolidated index model to evaluate the conservation effectiveness of protect. Ecol. Indic. 2019, 102, 131–144. [Google Scholar] [CrossRef]
- Lepczyk, C.A.; Aronson, M.F.J.; Evans, K.L.; Goddard, M.; Lerman, S.B.; MacIvor, J.S. Biodiversity in the City: Fundamental Questions for Understanding the Ecology of Urban Green Spaces for Biodiversity Conservation. BioScience 2017, 67, 799–807. [Google Scholar] [CrossRef] [Green Version]
- Kityuttachai, K.; Tripathi, N.K.; Tipdecho, T.; Shrestha, R. CA-Markov Analysis of Constrained Coastal Urban Growth Modeling: Hua Hin Seaside City, Thailand. Sustainability 2013, 5, 1480–1500. [Google Scholar] [CrossRef] [Green Version]
- Hwang, Y.H.; Nasution, I.K.; Amonkar, D.; Hahs, A. Urban Green Space Distribution Related to Land Values in Fast-Growing Megacities, Mumbai and Jakarta–Unexploited Opportunities to Increase Access to Greenery for the Poor. Sustainability 2020, 12, 4982. [Google Scholar] [CrossRef]
- Wendel, H.E.W.; Zarger, R.K.; Mihelcic, J.R. Accessibility and usability: Green space preferences, perceptions, and barriers in a rapidly urbanizing city in Latin America. Landsc. Urban Plan. 2012, 107, 272–282. [Google Scholar] [CrossRef]
- Sreetheran, M.; van den Bosch, C.C.K. A socio-ecological exploration of fear of crime in urban green spaces—A systematic review. Urban For. Urban Green. 2014, 13, 1–18. [Google Scholar] [CrossRef]
- Marcotullio, P.J.; Keßler, C.; Gonzalez, R.Q.; Schmeltz, M. Urban Growth and Heat in Tropical Climates. Front. Ecol. Evol. 2021, 9, 616626. [Google Scholar] [CrossRef]








| Code | Land Use/Land Cover Categories | Description |
|---|---|---|
| 1. | Built-up area | Areas with all types of artificial and impervious surfaces, including residential, commercial and industrial areas, as well as transportation infrastructure |
| 2. | Green space | All green area covered with forest trees, shrubs, grassland and cropland |
| 3. | Water body | River, drain, reservoirs, lakes and ponds |
| 4. | Cleared land | Land with bare soil, bare exposed rock, quarries and disturbed ground at building sites and dirt roads (cleared but not developed or colonized by vegetation) |
| Metrics | Abbreviation | Description of Metric Level (Units) | ||
|---|---|---|---|---|
| Landscape-Level Metrics (The Landscape as a Whole) | Class-Level Metrics (Each Patch Type (Class) in the Landscape) | Patch-Level Metrics (Individual Patch in the Given Class, Where Applicable) | ||
| Percentage of area | PAREA (%) | n/a | The percentage of each patch type in the landscape. Proportional abundance of class types in the landscape | n/a |
| Patch density | PD | Number of patches per 100 ha | Number of patches per 100 ha in that class | n/a |
| Mean patch area | MPA (ha) | The area occupied by a particular patch type divided by the number of patches of that type. A function of the number of patches in the total area | A function of the number of patches in the class and total class area | A function of the difference in patch sizes among patches |
| Largest patch index | LPI (%) | Area (m2) of the largest patch of that type divided by total landscape area (m2), multiplied by 100 | An indication of the dominance of the different land cover classes | n/a |
| Landscape shape index | LSI (m/ha) | SHAPE equals patch perimeter (m) divided by the minimum perimeter of the corresponding patch area in a landscape. A measure of the overall geometric complexity of the landscape | A measure of the overall geometric complexity of the landscape of a focal class. Can also be interpreted as a measure of landscape disaggregation—the greater the value of LSI, the more dispersed the patch types | LSI is one patch and any patch edges (or class edges) measured by the perimeter |
| Euclidean Nearest-Neighbour Distance | MNN(m) | Distance (m) from a patch to nearest neighbouring patch in a landscape | The distance between a patch and its nearest neighbour of the same class, based on the distance between cell centres of the two closest cells from the respective patches | MNN deals explicitly with the degree to which patches are spatially isolated from each other. The context of a patch is defined by the proximity and area of neighbouring habitat patches; variation in nearest-neighbour distance among patches |
| Landscape Changes | Kuala Lumpur | Jakarta | Metro Manila |
|---|---|---|---|
| 1988–1999 | |||
| Green space to built-up area | 17% | 25% | 12% |
| Built-up area to green space | 4% | 0.8% | 1.8% |
| Green space persistence | 22% | 16% | 15% |
| 1999–2014 | |||
| Green space to built-up area | 19% | 12% | 10% |
| Built-up area to green space | 6.0% | 0.7% | 1.3% |
| Green space persistence | 11% | 5.7% | 6.6% |
Publisher’s Note: MDPI stays neutral with regard to jurisdictional claims in published maps and institutional affiliations. |
© 2021 by the authors. Licensee MDPI, Basel, Switzerland. This article is an open access article distributed under the terms and conditions of the Creative Commons Attribution (CC BY) license (https://creativecommons.org/licenses/by/4.0/).
Share and Cite
Muhamad Nor, A.N.; Abdul Aziz, H.; Nawawi, S.A.; Muhammad Jamil, R.; Abas, M.A.; Hambali, K.A.; Yusoff, A.H.; Ibrahim, N.; Rafaai, N.H.; Corstanje, R.; et al. Evolution of Green Space under Rapid Urban Expansion in Southeast Asian Cities. Sustainability 2021, 13, 12024. https://doi.org/10.3390/su132112024
Muhamad Nor AN, Abdul Aziz H, Nawawi SA, Muhammad Jamil R, Abas MA, Hambali KA, Yusoff AH, Ibrahim N, Rafaai NH, Corstanje R, et al. Evolution of Green Space under Rapid Urban Expansion in Southeast Asian Cities. Sustainability. 2021; 13(21):12024. https://doi.org/10.3390/su132112024
Chicago/Turabian StyleMuhamad Nor, Amal Najihah, Hasifah Abdul Aziz, Siti Aisyah Nawawi, Rohazaini Muhammad Jamil, Muhamad Azahar Abas, Kamarul Ariffin Hambali, Abdul Hafidz Yusoff, Norfadhilah Ibrahim, Nur Hairunnisa Rafaai, Ron Corstanje, and et al. 2021. "Evolution of Green Space under Rapid Urban Expansion in Southeast Asian Cities" Sustainability 13, no. 21: 12024. https://doi.org/10.3390/su132112024
APA StyleMuhamad Nor, A. N., Abdul Aziz, H., Nawawi, S. A., Muhammad Jamil, R., Abas, M. A., Hambali, K. A., Yusoff, A. H., Ibrahim, N., Rafaai, N. H., Corstanje, R., Harris, J., Grafius, D., & Perotto-Baldivieso, H. L. (2021). Evolution of Green Space under Rapid Urban Expansion in Southeast Asian Cities. Sustainability, 13(21), 12024. https://doi.org/10.3390/su132112024

